High-Kappa Eucalyptus Kraft Pulp in a Biorefinery Context: Balancing Sugar Production with Fiber-Reinforcement Potential
Abstract
1. Introduction
2. Materials and Methods
2.1. Origin and Characterization of the Pulp
2.2. Partial Enzymatic Hydrolysis
2.3. Papermaking
2.4. Properties of Pulps and Papers
2.5. X-Ray Diffraction (XRD) and Microscopy Analysis
2.6. Statistical Analysis
3. Results and Discussion
3.1. Characterization of the Pulp
3.2. Partial Enzymatic Hydrolysis
3.3. Properties of Pulps and Papers
3.4. X-Ray Diffraction (XRD) and Microscopy Analysis
4. Conclusions
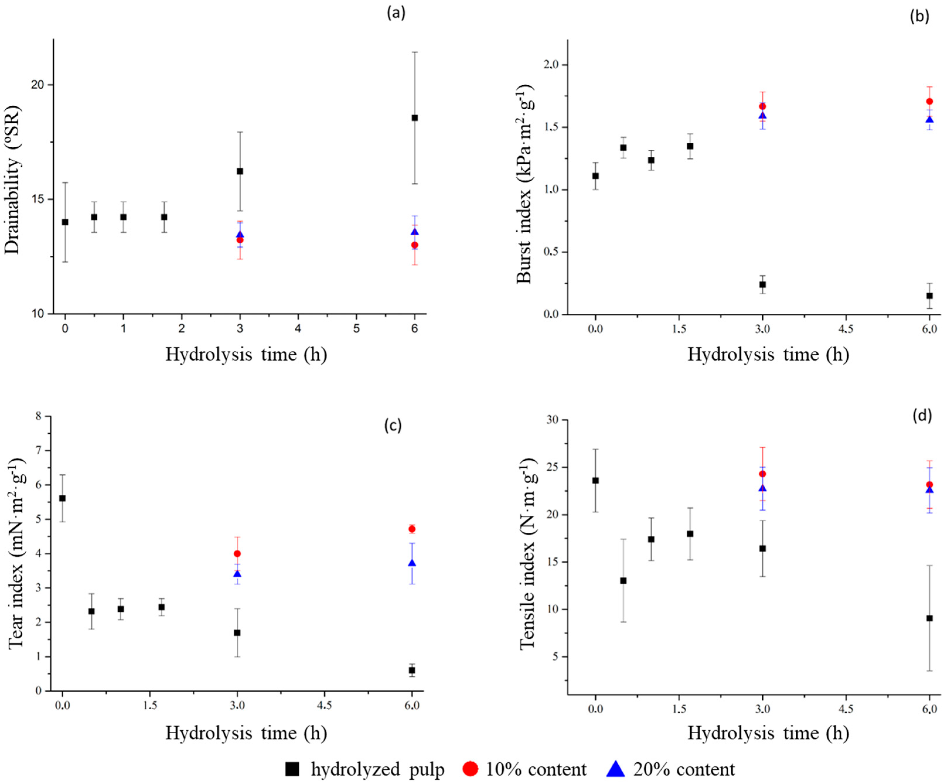
- Direct use: The production of paper solely from hydrolyzed pulp was constrained to a narrow operational window (reaction times ≤1.5 h or glucose conversion <5%). Beyond this point, the considerable decrease in viscosity and generation of fines caused a collapse in tear strength and unacceptable drainability values.
- Blending strategy: The most promising route is to use hydrolyzed residue as a reinforcing additive. Incorporating up to 20% hydrolyzed pulp into the refined commercial pulp preserved the tensile strength and improved the burst index, successfully overcoming the mechanical degradation observed in the pure sheets.
Author Contributions
Funding
Data Availability Statement
Acknowledgments
Conflicts of Interest
References
- Mäki, E.; Saastamoinen, H.; Melin, K.; Matschegg, D.; Pihkola, H. Drivers and Barriers in Retrofitting Pulp and Paper Industry with Bioenergy for More Efficient Production of Liquid, Solid and Gaseous Biofuels: A Review. Biomass Bioenergy 2021, 148, 106036. [Google Scholar] [CrossRef]
- Toppinen, A.; Pätäri, S.; Tuppura, A.; Jantunen, A. The European pulp and paper industry in transition to a bio-economy: A Delphi study. Futures 2017, 88, 1–14. [Google Scholar] [CrossRef]
- Phillips, R.B.; Jameel, H.; Chang, H.M. Integration of pulp and paper technology with bioethanol production. Biotechnol. Biofuels 2013, 6, 13. [Google Scholar] [CrossRef] [PubMed]
- Jönsson, L.J.; Martín, C. Pretreatment of Lignocellulose: Formation of Inhibitory by-Products and Strategies for Minimizing Their Effects. Bioresour. Technol. 2016, 199, 103–112. [Google Scholar] [CrossRef]
- Pala, H.; Mota, M.; Gama, F.M. Enzymatic Modification of Paper Fibres. Biocatal. Biotransform. 2009, 20, 353–361. [Google Scholar] [CrossRef]
- Lin, X.; Wu, Z.; Zhang, C.; Liu, S.; Nie, S. Enzymatic pulping of lignocellulosic biomass. Ind. Crops Prod. 2018, 120, 16–24. [Google Scholar] [CrossRef]
- Morais, F.P.; Carta, A.M.M.; Amaral, M.E.; Curto, J.M. Cellulose fiber enzymatic modification to improve the softness, strength, and absorption properties of tissue papers. BioResources 2021, 16, 846. [Google Scholar] [CrossRef]
- Signori-Iamin, G.; Marques, R.; Bastida, G.A.; Tarrés, Q.; Santos, A.F.; Delgado-Aguilar, M. Enzyme-assisted high-consistency fiber refining: Enhancing cellulose materials performance in the paper industry through process and physics-informed machine learning modeling. Cellulose 2026, 33, 1595–1615. [Google Scholar] [CrossRef]
- Frederick, W.J., Jr.; Lien, S.J.; Courchene, C.E.; DeMartini, N.A.; Ragauskas, A.J.; Iisa, K. Co-production of ethanol and cellulose fiber from southern pine: A technical and economic assessment. Biomass Bioenergy 2008, 32, 1293–1302. [Google Scholar] [CrossRef]
- Gurnagul, N.; Page, D.H.; Paice, M.G. The effect of cellulose degradation on the strength of wood pulp fibres. Nord. Pulp Pap. Res. J. 1992, 7, 152–154. [Google Scholar] [CrossRef]
- Małachowska, E.; Dubowik, M.; Boruszewski, P.; Łojewska, J.; Przybysz, P. Influence of Lignin Content in Cellulose Pulp on Paper Durability. Sci. Rep. 2020, 10, 19998. [Google Scholar] [CrossRef] [PubMed]
- Alam, I.; Sharma, C. Degradation of Paper Products Due to Volatile Organic Compounds. Sci. Rep. 2023, 13, 6426. [Google Scholar] [CrossRef]
- Shin, Y.L.; Lee, J.W. Tailoring lignin surface properties for enhanced enzymatic hydrolysis: Comparative insights from pine and eucalyptus. Bioresour. Technol. 2025, 436, 132972. [Google Scholar] [CrossRef]
- Weiss, N.D.; Felby, C.; Thygesen, L.G. Enzymatic hydrolysis is limited by biomass–water interactions at high-solids: Improved performance through substrate modifications. Biotechnol. Biofuels 2019, 12, 1–13. [Google Scholar] [CrossRef]
- Corrêa, L.J.; Badino, A.C.; Cruz, A.J.G. Energy Efficiency in Enzymatic Hydrolysis: Study with Different Pretreated Biomasses. Waste Biomass Valor. Valorization 2026. [Google Scholar] [CrossRef]
- Patel, R.; Dhar, P.; Babaei-Ghazvini, A.; Nikkhah Dafchahi, M.; Acharya, B. Transforming Lignin into Renewable Fuels, Chemicals, and Materials: A Review. Bioresour. Technol. Rep. 2023, 22, 101463. [Google Scholar] [CrossRef]
- Segers, B.; Nimmegeers, P.; Spiller, M.; Tofani, G.; Grojzdek, E.J.; Dace, E.; Kikas, T.; Marchetti, J.M.; Rajić, M.; Yildiz, G.; et al. Lignocellulosic biomass valorisation: A review of feedstocks, processes and potential value chains, and their implications for the decision-making process. RSC Sustain. 2024, 2, 3730–3749. [Google Scholar] [CrossRef]
- TAPPI T 236 om-22; Kappa Number of Pulp. Technical Association of the Pulp and Paper Industry: Peachtree Corners, GA, USA, 2022.
- TAPPI T 282 om-23; Hexeneuronic Acid Content of Chemical Pulp. Technical Association of the Pulp and Paper Industry: Peachtree Corners, GA, USA, 2023.
- TAPPI T 222 om-21; Acid-insoluble Lignin in Wood and Pulp. Technical Association of the Pulp and Paper Industry: Peachtree Corners, GA, USA, 2021.
- Sluiter, A.; Hames, B.; Ruiz, R.; Scarlata, C.; Sluiter, J.; Templeton, D.; Crocker, D. Determination of structural carbohydrates and lignin in biomass. Lab. Anal. Proced. 2010, 1617, 1–16. [Google Scholar]
- TAPPI T 204 cm-17; Solvent Extractives of Wood and Pulp. Technical Association of the Pulp and Paper Industry: Peachtree Corners, GA, USA, 2017.
- TAPPI T 211 om-22; Ash in Wood, Pulp, Paper and Paperboard: Combustion at 525 °C. Technical Association of the Pulp and Paper Industry: Peachtree Corners, GA, USA, 2022.
- Sun, F.F.; Hong, J.; Hu, J.; Saddler, J.N.; Fang, X.; Zhang, Z.; Shen, S. Accessory enzymes influence cellulase hydrolysis of the model substrate and the realistic lignocellulosic biomass. Enzym. Microb. Technol. 2015, 79, 42–48. [Google Scholar] [CrossRef]
- ISO 5269-2:2004; Pulps—Preparation of Laboratory Sheets for Physical Testing—Part 2: Rapid-Köthen Method. International Standardization Organization: Geneva, Switzerland, 2008.
- TAPPI T 402 sp-13; Standard Conditioning and Testing Atmospheres for Paper, Board, Pulp Handsheets, and Related Products. Technical Association of Pulp and Paper Industry: Atlanta, GA, USA, 2013.
- TAPPI/ANSI T 230 om-23; Viscosity of Pulp (Capillary Viscometer Method). Technical Association of the Pulp and Paper Industry: Peachtree Corners, GA, USA, 2023.
- ISO 5267-1:1999; Pulps—Determination of drainability—Part 1: Schopper-Riegler method. International Organization for Standardization: Geneva, Switzerland, 1999.
- TAPPI T 494 om-22; Tensile Properties of Paper and Paperboard (Using Constant Rate of Elongation Apparatus). Technical Association of Pulp and Paper Industry: Atlanta, GA, USA, 2022.
- TAPPI T 403 om-22; Bursting Strength of Paper. Technical Association of Pulp and Paper Industry: Atlanta, GA, USA, 2023.
- TAPPI T 414 om-21; Internal Tearing Resistance of Paper (Elmendorf-Type Method). Technical Association of Pulp and Paper Industry: Atlanta, GA, USA, 2021.
- Segal, L.; Creely, J.J.; Martin, A.E., Jr.; Conrad, C.M. An Empirical Method for Estimating the Degree of Crystallinity of Native Cellulose Using the X-ray Diffractometer. Text. Res. J. 1959, 29, 786–794. [Google Scholar] [CrossRef]
- R Core Team. R: A Language and Environment for Statistical Computing; R Foundation for Statistical Computing: Vienna, Austria, 2026. [Google Scholar]
- Bonfatti Júnior, E.A.; Raia, R.Z.; Bila, N.F.; Lopes, M.S.; Klock, U.; Andrade, A.S.; Vivian, M.A. Kraft pulping and papermaking of Cryptomeria japonica. Sci. For. 2019, 47, 811–822. [Google Scholar] [CrossRef]
- Li, J.; Zhang, Y.; Shi, S.; Tu, M. Effect of residual extractable lignin on acetone–butanol–ethanol production in SHF and SSF processes. Biotechnol. Biofuels 2020, 13, 67. [Google Scholar] [CrossRef]
- Bonfatti Júnior, E.A.; Silva Júnior, F.G. Removal of hexenuronic acids by extended oxygen delignification of high-kappa eucalyptus kraft pulp. Nord. Pulp Pap. Res. J. 2025, 40, 0033. [Google Scholar] [CrossRef]
- Hu, J.; Arantes, V.; Saddler, J.N. The enhancement of enzymatic hydrolysis of lignocellulosic substrates by the addition of accessory enzymes such as xylanase: Is it an additive or synergistic effect? Biotechnol. Biofuels 2011, 4, 36. [Google Scholar] [CrossRef]
- Ju, X.; Engelhard, M.; Zhang, X. An advanced understanding of the specific effects of xylan and surface lignin contents on enzymatic hydrolysis of lignocellulosic biomass. Bioresour. Technol. 2013, 132, 137–145. [Google Scholar] [CrossRef]
- Berlin, A.; Balakshin, M.; Gilkes, N.; Kadla, J.; Maximenko, V.; Kubo, S.; Saddler, J. Inhibition of cellulase, xylanase and beta-glucosidase activities by softwood lignin preparations. J. Biotechnol 2006, 125, 198–209. [Google Scholar] [CrossRef]
- Saini, J.K.; Patel, A.K.; Adsul, M.; Singhania, R.R. Cellulase adsorption on lignin: A roadblock for economic hydrolysis of biomass. Renew. Energy 2016, 98, 29–42. [Google Scholar] [CrossRef]
- Siqueira, G.; Arantes, V.; Saddler, J.N.; Ferraz, A.; Milagres, A.M. Limitation of cellulose accessibility and unproductive binding of cellulases by pretreated sugarcane bagasse lignin. Biotechnol. Biofuels 2017, 10, 1–12. [Google Scholar] [CrossRef]
- Modenbach, A.A.; Nokes, S.E. Enzymatic hydrolysis of biomass at high-solids loadings—A review. Biomass Bioenergy 2013, 56, 526–544. [Google Scholar] [CrossRef]
- Kristensen, J.B.; Felby, C.; Jorgensen, H. Yield-determining factors in high-solids enzymatic hydrolysis of lignocellulose. Biotechnol. Biofuels 2009, 2, 11. [Google Scholar] [CrossRef]
- Yang, X.; Berthold, F.; Berglund, L.A. Preserving Cellulose Structure: Delignified Wood Fibers for Paper Structures of High Strength and Transparency. Biomacromolecules 2018, 19, 3020–3029. [Google Scholar] [CrossRef] [PubMed]
- Arantes, V.; Saddler, J.N. Access to Cellulose Limits the Efficiency of Enzymatic Hydrolysis: The Role of Amorphogenesis. Biotechnol. Biofuels 2010, 3, 4. [Google Scholar] [CrossRef]
- Cao, Y.; Tan, H. Study on Crystal Structures of Enzyme-Hydrolyzed Cellulosic Materials by X-Ray Diffraction. Enzym. Microb. Technol. 2005, 36, 314–317. [Google Scholar] [CrossRef]
- Silva, V.T.F.; Milagres, A.M.F. A Rapid Parameter of Enzyme-Treated Cellulosic Material Revealed by Reducing Sugar Release. J. Renew. Mater. 2024, 12, 539–551. [Google Scholar] [CrossRef]
- Meng, X.; Yoo, C.G.; Li, M.; Ragauskas, A.J. Physicochemical Structural Changes of Cellulosic Substrates during Enzymatic Saccharificatio. J. Appl. Biotechnol. Bioeng. 2016, 1, 00015. [Google Scholar] [CrossRef]
- Bastida, G.A.; Zanuttini, M.A.; Tarrés, Q.; Fiol, N.; Aguilar, M.D.; Galván, M.V. Innovative system based on natural polyelectrolyte complex and cellulose micro/nanofibers to improve drainability and properties of recycled paper. Cellulose 2023, 30, 5895–5910. [Google Scholar] [CrossRef]
- Ceccherini, S.; Ståhl, M.; Sawada, D.; Hummel, M.; Maloney, T.C. Effect of enzymatic depolymerization of cellulose and hemicelluloses on the direct dissolution of prehydrolysis kraft dissolving pulp. Biomacromolecules 2021, 22, 4805–4813. [Google Scholar] [CrossRef] [PubMed]
- Li, K.; Zhao, L.; He, B. Probing effect of papirindustriens forskningsinstitut (pfi) refining on aggregation structure of cellulose: Crystal packing and hydrogen-bonding network. Polymers 2020, 12, 2912. [Google Scholar] [CrossRef]
- Carvalho, M.G.; Ferreira, P.J.; Figueiredo, M.M. Cellulose Depolymerisation and Paper Properties in E. globulus Kraft Pulps. Cellulose 2000, 7, 359–368. [Google Scholar] [CrossRef]
- Ju, X.; Bowden, M.; Brown, E.E.; Zhang, X. An improved X-ray diffraction method for cellulose crystallinity measurement. Carbohydr. Polym. 2015, 123, 476–481. [Google Scholar] [CrossRef]
- Kulasinski, K.; Keten, S.; Churakov, S.V.; Derome, D.; Carmeliet, J. A comparative molecular dynamics study of crystalline, paracrystalline and amorphous states of cellulose. Cellulose 2014, 21, 1103–1116. [Google Scholar] [CrossRef]
- Park, S.; Baker, J.O.; Himmel, M.E.; Parilla, P.A.; Johnson, D.K. Cellulose crystallinity index: Measurement techniques and their impact on interpreting cellulase performance. Biotechnol. Biofuels 2010, 3, 10. [Google Scholar] [CrossRef] [PubMed]
- Taipale, T.; Österberg, M.; Nykänen, A.; Roukolainen, J.; Laine, J. Effect of microfibrillated cellulose and fines on the drainage of kraft pulp suspension and paper strength. Cellulose 2010, 17, 1005–1020. [Google Scholar] [CrossRef]








| Parameter | Mean ± Standard Deviation |
|---|---|
| Kappa number | 49.40 ± 1.30 |
| Hexenuronic acid content (µmol g−1) | 18.90 ± 0.80 |
| Acid-insoluble lignin content (%) | 5.77 ± 0.72 |
| Acid-soluble lignin content (%) | 1.40 ± 0.15 |
| Total lignin content (%) | 7.17 ± 0.83 |
| Total extractives content (%) | 0.38 ± 0.01 |
| Holocellulose content (%) | 92.45 ± 0.60 |
| Ash content (%) | 0.66 ± 0.08 |
| Glucose (%) | 73.39 ± 0.45 |
| Xylose (%) | 14.28 ± 0.25 |
| Galactose (%) | 0.51 ± 0.03 |
| Arabinose (%) | 0.20 ± 0.02 |
| Mannose (%) | 0.09 ± 0.01 |
Disclaimer/Publisher’s Note: The statements, opinions and data contained in all publications are solely those of the individual author(s) and contributor(s) and not of MDPI and/or the editor(s). MDPI and/or the editor(s) disclaim responsibility for any injury to people or property resulting from any ideas, methods, instructions or products referred to in the content. |
© 2026 by the authors. Licensee MDPI, Basel, Switzerland. This article is an open access article distributed under the terms and conditions of the Creative Commons Attribution (CC BY) license.
Share and Cite
Rocha, C.F.; Lengowski, E.C.; Sampaio, N.M.F.M.; Higuti do Nascimento, P.T.; Zanoni, P.R.S.; de Oliveira, P.R.; Magalhães, W.L.E.; Fontana, J.D.; Bonfatti Júnior, E.A. High-Kappa Eucalyptus Kraft Pulp in a Biorefinery Context: Balancing Sugar Production with Fiber-Reinforcement Potential. Forests 2026, 17, 358. https://doi.org/10.3390/f17030358
Rocha CF, Lengowski EC, Sampaio NMFM, Higuti do Nascimento PT, Zanoni PRS, de Oliveira PR, Magalhães WLE, Fontana JD, Bonfatti Júnior EA. High-Kappa Eucalyptus Kraft Pulp in a Biorefinery Context: Balancing Sugar Production with Fiber-Reinforcement Potential. Forests. 2026; 17(3):358. https://doi.org/10.3390/f17030358
Chicago/Turabian StyleRocha, Clarissa Fleury, Elaine Cristina Lengowski, Naiara Mariana Fiori Monteiro Sampaio, Priscila Tiemi Higuti do Nascimento, Patrícia Raquel Silva Zanoni, Paulo Roberto de Oliveira, Washington Luiz Esteves Magalhães, José Domingos Fontana, and Eraldo Antonio Bonfatti Júnior. 2026. "High-Kappa Eucalyptus Kraft Pulp in a Biorefinery Context: Balancing Sugar Production with Fiber-Reinforcement Potential" Forests 17, no. 3: 358. https://doi.org/10.3390/f17030358
APA StyleRocha, C. F., Lengowski, E. C., Sampaio, N. M. F. M., Higuti do Nascimento, P. T., Zanoni, P. R. S., de Oliveira, P. R., Magalhães, W. L. E., Fontana, J. D., & Bonfatti Júnior, E. A. (2026). High-Kappa Eucalyptus Kraft Pulp in a Biorefinery Context: Balancing Sugar Production with Fiber-Reinforcement Potential. Forests, 17(3), 358. https://doi.org/10.3390/f17030358

