Sign in to use this feature.

Years

Between: -

Subjects

remove_circle_outline
remove_circle_outline
remove_circle_outline
remove_circle_outline
remove_circle_outline
remove_circle_outline
remove_circle_outline

Journals

Article Types

Countries / Regions

Search Results (160)

Search Parameters:
Keywords = cutaneous microenvironment

Order results
Result details
Results per page
Select all
Export citation of selected articles as:
24 pages, 3104 KB  
Review
Pathology of Cutaneous T Cell Lymphoma: A Narrative Review
by Ting Zhang, Yi Hu, Kexin Wang, Zhaohuai Zhang, Ying Wang, Yu Zhang and Zuotao Zhao
Cancers 2026, 18(7), 1169; https://doi.org/10.3390/cancers18071169 - 4 Apr 2026
Viewed by 214
Abstract
Cutaneous T-cell lymphoma (CTCL) comprises a heterogeneous group of extranodal non-Hodgkin lymphomas. With the publication of the fifth edition of the World Health Organization Classification of Hematolymphoid Tumors, the diagnostic framework for CTCL has shifted from primarily morphologic phenotypes toward an emphasis on [...] Read more.
Cutaneous T-cell lymphoma (CTCL) comprises a heterogeneous group of extranodal non-Hodgkin lymphomas. With the publication of the fifth edition of the World Health Organization Classification of Hematolymphoid Tumors, the diagnostic framework for CTCL has shifted from primarily morphologic phenotypes toward an emphasis on molecular drivers. Current research suggests that malignant clones may arise from somatic mutations at the hematopoietic stem cell stage and may follow a continuous hematogenous dissemination model with bidirectional trafficking between the skin and systemic circulation. At the molecular level, genomic instability, often associated with somatic copy-number variations, may promote activation of the janus kinase-signal transducer and activator of transcription (JAK/STAT) signaling pathway through gene-dosage effects. In parallel, chromatin remodeling linked to EZH2 overexpression and reduced special SATB1 expression may support a Th2-polarized program. This phenotype may contribute to epidermal barrier impairment via cytokines such as Interleukins-4 (IL-4) and IL-13, potentially creating conditions permissive for Staphylococcus aureus colonization. Microbial superantigens and exotoxins may further contribute to tumor progression and therapeutic resistance by reinforcing JAK/STAT signaling, particularly STAT3, and reducing CD8+ T-cell–mediated immune surveillance. In the dermis, reprogramming of cancer-associated fibroblasts and polarization of macrophages toward an M2 phenotype may collectively contribute to an immunosuppressive niche. Emerging biomarkers, including CD74, and acquired resistance mechanisms after anti-C-C chemokine receptor 4 therapy further extend the translational relevance of recent pathologic findings. Overall, CTCL evolution appears to be a systemic process shaped by interactions between tumor-intrinsic genetic alterations and the skin microenvironment. Full article
(This article belongs to the Special Issue Advances in Pathology of Lymphoma and Leukemia)
Show Figures

Figure 1

10 pages, 1173 KB  
Brief Report
Skin Microbiome Patterns Associated with Basal Cell Carcinoma: A Case Series
by Mavra Masood, David Ozog, Tengfei Ma, Marissa Ceresnie, Aunna Pourang, Christine C. Johnson, Xinyue Qiu, Albert Levin and Jesse Veenstra
Microorganisms 2026, 14(4), 822; https://doi.org/10.3390/microorganisms14040822 - 3 Apr 2026
Viewed by 241
Abstract
Basal cell carcinoma (BCC) is the most common malignancy worldwide, yet the role of the skin microbiome in BCC remains poorly defined. In this cross-sectional observational case series, we compared the cutaneous microbiome of BCC lesions with matched perilesional and control skin using [...] Read more.
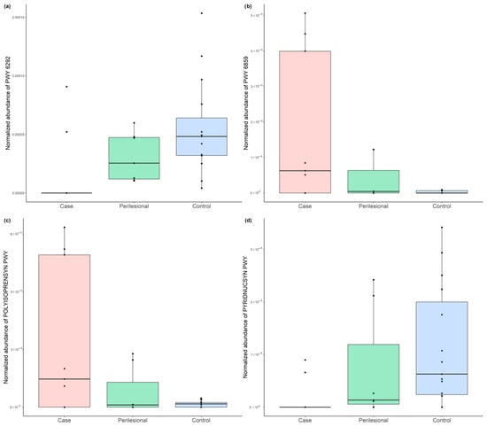
Basal cell carcinoma (BCC) is the most common malignancy worldwide, yet the role of the skin microbiome in BCC remains poorly defined. In this cross-sectional observational case series, we compared the cutaneous microbiome of BCC lesions with matched perilesional and control skin using whole-genome shotgun sequencing in an intra-patient, multi-site sampling design. BCC samples demonstrated reduced microbial richness and significant shifts in community composition compared with matched control skin. Specifically, BCC lesions exhibited significantly lower Chao1 diversity (β = −484.6, 95% CI: −772.1 to −197.2, p = 0.003). Differences in overall microbial composition were confirmed by PERMANOVA analysis based on Bray–Curtis and Jaccard distance metrics (R2 = 12.6% and 9.7%, respectively; both p = 0.01). At the species level, Cutibacterium acnes was significantly reduced in BCC samples compared with controls (β = −0.31, 95% CI: −0.45 to −0.16, p = 0.0004), corresponding to an approximately 27% lower geometric mean relative abundance. Functional profiling suggested shifts in microbial metabolic potential, with pathways related to redox balance and lipid-associated processes differentially represented in BCC samples relative to controls. Together, these findings demonstrate that BCC lesions are associated with localized alterations in microbial diversity, community composition, and inferred functional potential. These results support the presence of a tumor-associated microbiome signature in BCC; however, further studies in larger and more diverse cohorts are needed to determine whether these changes contribute to tumor development or reflect adaptation to the tumor microenvironment. Full article
(This article belongs to the Special Issue Skin Microbiome)
Show Figures

Figure 1

14 pages, 1516 KB  
Article
Exploring the Immune Microenvironment in Early-Stage Mycosis Fungoides and Large-Plaque Parapsoriasis: Diagnostic and Prognostic Significance of CD47, CD163, and B7-H3
by Rukiye Yasak Guner, Ramazan Oguz Yüceer and Ahmet Turan Unsal
Medicina 2026, 62(4), 678; https://doi.org/10.3390/medicina62040678 - 2 Apr 2026
Viewed by 234
Abstract
Background and Objectives: Mycosis fungoides (MF) is the predominant subtype of cutaneous T-cell lymphoma, whereas large plaque parapsoriasis (LPP) closely resembles early-stage MF, making differential diagnosis challenging. Immune markers, such as CD47, CD163, and B7-H3, play crucial roles in tumor immune evasion and [...] Read more.
Background and Objectives: Mycosis fungoides (MF) is the predominant subtype of cutaneous T-cell lymphoma, whereas large plaque parapsoriasis (LPP) closely resembles early-stage MF, making differential diagnosis challenging. Immune markers, such as CD47, CD163, and B7-H3, play crucial roles in tumor immune evasion and macrophage polarization. However, their expression profiles and potential diagnostic or prognostic implications in early-stage MF and LPP remain poorly defined. Therefore, this study aimed to evaluate the expression of CD47, CD163, and B7-H3 in early-stage MF and LPP and analyze their associations with clinicopathological characteristics and patient outcomes. Materials and Methods: This retrospective study evaluated the immunohistochemical expression of CD47, CD163, and B7-H3 in 46 patients with early-stage mycosis fungoides (MF) and 46 patients with large plaque parapsoriasis (LPP). Expression levels were assessed using an immunoreactivity scoring system and analyzed for their associations with clinical parameters and disease-free survival (DFS). The study included patients diagnosed and followed at Sivas Cumhuriyet University between 1 March 2015 and 31 March 2025. Results: High CD47 expression was detected in 72.7% of MF patients, high B7-H3 expression in 45.7%, and high CD163 expression in 46.7% compared with LPP patients (p < 0.001). These markers showed positive correlations, and elevated expression, especially of B7-H3 and CD163, was associated with shorter disease-free survival in univariate analysis. Conclusions: The higher expression of CD47, CD163, and B7-H3 in early-stage MF compared with LPP suggests that these markers may contribute to the differential diagnosis and could represent potential therapeutic targets; however, their independent prognostic value requires confirmation in larger studies. Full article
(This article belongs to the Special Issue Cutaneous Lymphomas: Diagnostic Challenges and Therapeutic Frontiers)
Show Figures

Graphical abstract

39 pages, 2860 KB  
Review
Skin Deep: Uncovering the Early Events of Crimean–Congo Hemorrhagic Fever Virus at the Tick–Host–Virus Interface
by Catherine Olal, Megan Burch and Dennis Bente
Viruses 2026, 18(4), 429; https://doi.org/10.3390/v18040429 - 1 Apr 2026
Viewed by 746
Abstract
Crimean-Congo hemorrhagic fever virus (CCHFV) is transmitted predominantly through the bite of infected Hyalomma ticks, yet the earliest events at the vector–host–virus interface in human skin remain largely undefined. This review synthesizes current knowledge of human cutaneous structure and immunity, tick feeding biology, [...] Read more.
Crimean-Congo hemorrhagic fever virus (CCHFV) is transmitted predominantly through the bite of infected Hyalomma ticks, yet the earliest events at the vector–host–virus interface in human skin remain largely undefined. This review synthesizes current knowledge of human cutaneous structure and immunity, tick feeding biology, and salivary immunomodulation to propose how local skin responses may shape systemic outcomes of CCHFV disease. We detail the roles and permissiveness of major skin-resident and infiltrating cell types, including keratinocytes, melanocytes, Langerhans cells, dermal dendritic cells, monocytes/macrophages, fibroblasts, granulocytes, T cells, B cells, NK cells, and innate lymphoid cells, in antiviral defense and as potential early targets or carriers of CCHFV. Emphasis is placed on how tick saliva components reprogram the cutaneous microenvironment, alter interferon, complement, inflammasome, and cytokine pathways, and may enable saliva-assisted transmission and viral dissemination from the dermis. We highlight mounting evidence from other arboviruses demonstrating that the skin can act as both a barrier and a major amplifying organ, and we extrapolate testable hypotheses on how early cutaneous immune dynamics might influence CCHFV severity and hemorrhagic manifestations. Finally, we outline key knowledge gaps that, if answered, may inform the development of vaccines and therapeutics that harness cutaneous immunity to block systemic spread. Full article
(This article belongs to the Special Issue Tick-Borne Viruses 2026)
Show Figures

Graphical abstract

26 pages, 683 KB  
Review
Hypoxia-Driven Mechanisms of Drug Resistance in Prostate Cancer
by Madeline R. Ressel, Caitlyn E. Flores and Noel A. Warfel
Cancers 2026, 18(6), 899; https://doi.org/10.3390/cancers18060899 - 11 Mar 2026
Viewed by 499
Abstract
Prostate cancer is the most common non-cutaneous malignancy in men and is the second leading cause of male cancer-related mortality. Unlike many cancers, prostate cancer lacks clear genetic driver mutations, suggesting that factors in the tumor microenvironment contribute to the genesis and progression [...] Read more.
Prostate cancer is the most common non-cutaneous malignancy in men and is the second leading cause of male cancer-related mortality. Unlike many cancers, prostate cancer lacks clear genetic driver mutations, suggesting that factors in the tumor microenvironment contribute to the genesis and progression of this disease. Hypoxia, or a physiological state of low oxygen, is a universal characteristic of solid tumors that enhances disease progression and therapeutic resistance. Prostate cancer develops in a hypoxic microenvironment and primarily metastasizes to bone, where oxygen availability is similarly limited. Therefore, hypoxia is a major obstacle to the effective treatment of prostate cancer across all disease stages. Clinically, hypoxia is correlated with worse patient outcomes, largely because it drives resistance to the frontline therapies used to treat both primary and metastatic prostate cancer. Despite the established role of hypoxia in prostate cancer progression and drug resistance, it has not been successfully targeted therapeutically. Emerging evidence indicates that exposure to distinct temporal patterns of hypoxia (acute, cyclic, and chronic) elicits unique cellular adaptations that dictate tumor growth and survival. This review synthesizes current evidence regarding the role of hypoxia in promoting resistance to therapy in prostate cancer. Full article
(This article belongs to the Special Issue The Impact of Treatment Resistance in Prostate Cancer)
Show Figures

Figure 1

23 pages, 1612 KB  
Review
Extracellular Vesicles Derived from Natural Biological Resources and Their Potential to Facilitate Skin Regeneration and Rejuvenation
by Zhuoyue Yang, Shijun Li, Hangyu Zhang, Zhigang Sui and Na Li
Pharmaceutics 2026, 18(3), 342; https://doi.org/10.3390/pharmaceutics18030342 - 10 Mar 2026
Cited by 1 | Viewed by 808
Abstract
The skin, the largest organ in the human body, serves as a crucial barrier against external stimuli. With the acceleration of social industrialization and the worsening of global climate change, the risk of physical, chemical and biological damage to the skin has significantly [...] Read more.
The skin, the largest organ in the human body, serves as a crucial barrier against external stimuli. With the acceleration of social industrialization and the worsening of global climate change, the risk of physical, chemical and biological damage to the skin has significantly increased. Among these, surgical wounds, accidental injuries, diabetic wounds, and ultraviolet (UV)-radiation-induced photoaging are particularly common. Cutaneous wound healing is a complex and dynamic process that requires precise coordination of numerous molecular events to effectively repair damaged skin. Skin photoaging, a phenomenon of premature aging caused by long-term UV exposure, is characterized by pigmentary abnormalities, telangiectasia, epidermal roughness, wrinkle formation, and precancerous lesions, all of which seriously affect skin health and appearance. Extracellular vesicles (EVs), a class of nano-sized vesicles secreted by various cells, play important regulatory roles in tissue regeneration. Although cell-culture-medium-derived EVs (C-EVs) have been proven to effectively promote skin wound healing and photodamage repair, their origin from a single cell type and challenges in large-scale production severely limit their broad application. In contrast, EVs derived from natural biological resources, including tissue-derived EVs (Ti-EVs) and plant-derived EVs (PDEVs), have emerged as novel therapeutic strategies for skin wounds and photoaging. These EVs better reflect the physiological microenvironment and demonstrate considerably higher production efficiencies. Ti-EVs, obtained from mammalian tissues composed of multiple cell types and extracellular matrix, contain more abundant regulatory factors, thus exhibiting superior bioactivity compared with C-EVs. PDEVs have also garnered significant attention due to their favorable stability, low immunogenicity, unique natural antioxidant components, and feasibility of large-scale extraction. This review will systematically elaborate on the characteristics and isolation methods of both Ti-EVs and PDEVs, as well as their therapeutic roles and underlying mechanism in wound healing and skin photoaging. Full article
Show Figures

Graphical abstract

19 pages, 1974 KB  
Review
Dermal Exposure to Heavy Metals in Urban Green Space Soils: A Review of Bioavailability, Toxic Mechanisms, and Precision Risk Assessment
by Yiping Cheng, Daolei Cui, Zhaolai Guo, Wei Hong, Yue Li, Chin Wei Lai and Ping Xiang
Toxics 2026, 14(3), 236; https://doi.org/10.3390/toxics14030236 - 10 Mar 2026
Viewed by 732
Abstract
Urban green spaces (UGSs) provide essential ecological services but also accumulate heavy metals (HMs) in their soils, posing a paradoxical health risk through dermal exposure. Traditional risk assessments, based solely on total HM concentrations, often overestimate threats by ignoring bioavailability (the fraction actually [...] Read more.
Urban green spaces (UGSs) provide essential ecological services but also accumulate heavy metals (HMs) in their soils, posing a paradoxical health risk through dermal exposure. Traditional risk assessments, based solely on total HM concentrations, often overestimate threats by ignoring bioavailability (the fraction actually absorbed by organisms) and dynamic skin microenvironment factors. This review synthesizes recent advances to propose a precision assessment framework that integrates bioavailability. The framework advocates for the incorporation of bioaccessibility (the fraction of pollutants dissolved in body fluids)-driven exposure metrics (e.g., physiologically based extraction tests), mechanistic dermal permeation models (e.g., Franz diffusion cells, 3D skin constructs), and population-specific susceptibility factors (e.g., children, individuals with compromised skin). We elucidate how soil properties (pH, organic matter) and metal speciation (e.g., Cr(III)/Cr(VI)) modulate cutaneous uptake, and detail toxicological mechanisms including oxidative stress, ferroptosis/cuproptosis, immunotoxicity, and pigmentation disorders. Case studies reveal heterogeneous HM hotspots in high-traffic and densely populated areas, while in vitro–in vivo extrapolation highlights the potential for misestimation in traditional models. Consequently, we discuss the limitations and future directions of this framework, aiming to shift UGS risk management from over-conservative assessment to bioavailability-based precision governance, thereby supporting the health security of sustainable urban habitats. Full article
(This article belongs to the Special Issue Soil Heavy Metal Pollution and Human Health)
Show Figures

Graphical abstract

30 pages, 5719 KB  
Article
Development of a 3D Skin Model for Studying Melanoma Progression
by Dragana P. C. de Barros, Sara Ventura, Madalena Duque, Vanessa Ribeiro, Ana Sofia Lopes, Rita Zilhão, Ana Rita Carlos and Abel Oliva
Cells 2026, 15(4), 379; https://doi.org/10.3390/cells15040379 - 23 Feb 2026
Viewed by 516
Abstract
Despite advances in the treatment of cutaneous melanoma, there is still a high percentage of patients who fail to respond or develop resistance to treatment. Establishing robust in vitro melanoma models will enable mechanism-based drug screening while reducing animal testing. In this work, [...] Read more.
Despite advances in the treatment of cutaneous melanoma, there is still a high percentage of patients who fail to respond or develop resistance to treatment. Establishing robust in vitro melanoma models will enable mechanism-based drug screening while reducing animal testing. In this work, a three-dimensional (3D) melanoma skin model (3DMSM) was developed on a porous scaffold. The culture of three melanoma cell lines (SKMEL-1, A375, and G361) in co-culture with human fibroblasts, melanocytes, and keratinocytes allowed the formation of the dermis, and stratified epidermis. Tumors were established in this model using two methodologies: adding previously formed melanoma cell aggregates (CA) or seeding melanoma cells directly into the dermis (CD). In this model, melanoma cells remain in their original microenvironment and, after proliferation, invade the basal layer. The model recapitulates correct melanocyte localization, epidermal disruption, extracellular matrix (ECM) remodeling, including collagen deposition, and epithelial-to-mesenchymal transition (EMT). Additionally, the cytokine profiles studied indicate that the model could mirror the inflammatory and immune-evasive traits of melanoma. Overall, 3DMSM provides a useful tool for understanding the mechanisms of melanoma progression and invasion, and for developing personalized medicine strategies through the implementation of a patient-derived model. Full article
Show Figures

Figure 1

26 pages, 2240 KB  
Review
Cutaneous Dendritic Cells: Structure, Function and Immune Role
by Ioana Cristina Alexandru, Mariana Grigore and Olga Simionescu
Biomedicines 2026, 14(2), 460; https://doi.org/10.3390/biomedicines14020460 - 19 Feb 2026
Viewed by 1153
Abstract
Cutaneous antigen-presenting cells (APCs), particularly dendritic cells (DCs) and Langerhans cells (LCs), are a diverse population of cells that play a vital role in immune surveillance by initiating and shaping skin immune responses. They link innate and adaptive immunity by presenting antigens, migrating, [...] Read more.
Cutaneous antigen-presenting cells (APCs), particularly dendritic cells (DCs) and Langerhans cells (LCs), are a diverse population of cells that play a vital role in immune surveillance by initiating and shaping skin immune responses. They link innate and adaptive immunity by presenting antigens, migrating, and activating T lymphocytes, thereby acting as orchestrators of tissue immunity. This review provides an updated overview of the morphofunctional diversity of cutaneous APCs, ranging from epidermal LCs and DCs, to dermal conventional DCs (DC1/DC2), plasmacytoid DCs (pDCs), including newly defined subsets such as DC3, Axl+Siglec-6+ DCs (ASDCs) and LAMP3+ mature regulatory DCs (mRegDCs). Dynamic differences in APC composition and function between homeostatic and inflamed skin are discussed, with particular emphasis on inflammatory and autoimmune conditions such as psoriasis, lupus erythematosus and chronic atopic dermatitis, in which distinct DC subsets contribute to Th1 and Th17 immune circuits. This review is the first skin-related approach that extensively discusses the cutaneous role of APCs in the neuro-immune-cutaneous axis, as well as their interactions with the local microenvironment. Ongoing controversies regarding the classification and stability of certain DC populations are discussed. A better understanding of the diversity, migration mechanisms and microenvironmental interactions of cutaneous APCs could lead to the identification of new biomarkers and therapeutic targets for inflammatory, autoimmune, and oncological skin diseases. Full article
(This article belongs to the Special Issue Dermatology: From Fundamental to Clinical Research)
Show Figures

Figure 1

20 pages, 1865 KB  
Review
Dermatologic Perspectives on Primary Cutaneous Lymphomas: Clinicopathologic Spectrum, Molecular Insights, and Evolving Treatment Paradigms
by Orsola Crespi, François Rosset, Umberto Santaniello, Valentina Pala, Cristina Sarda, Martina Accorinti, Pietro Quaglino and Simone Ribero
Lymphatics 2026, 4(1), 11; https://doi.org/10.3390/lymphatics4010011 - 16 Feb 2026
Viewed by 399
Abstract
Primary cutaneous lymphomas (PCLs) are a heterogeneous group of extranodal T- and B-cell neoplasms confined to the skin at diagnosis, characterised by distinct biological drivers, clinical behaviour, and therapeutic challenges compared with systemic lymphomas. Over the past decade, advances in genomic profiling, single-cell [...] Read more.
Primary cutaneous lymphomas (PCLs) are a heterogeneous group of extranodal T- and B-cell neoplasms confined to the skin at diagnosis, characterised by distinct biological drivers, clinical behaviour, and therapeutic challenges compared with systemic lymphomas. Over the past decade, advances in genomic profiling, single-cell and spatial transcriptomics, and tumour microenvironment analysis have substantially refined the understanding of PCL pathogenesis, highlighting immune evasion, clonal heterogeneity, and compartment-specific disease dynamics as key determinants of outcome and treatment response. These insights have coincided with a rapidly evolving therapeutic landscape that includes immunomodulatory agents, targeted therapies, and ADCs, while also exposing persistent limitations related to diagnostic delay, response heterogeneity, resistance, and lack of validated predictive biomarkers. In this review, we provide a dermatology-focused synthesis of primary cutaneous lymphomas, integrating contemporary classification and clinicopathologic features with molecular pathogenesis and tumour microenvironmental insights of direct clinical relevance. We discuss current diagnostic and staging approaches, critically appraise established and emerging therapeutic strategies in cutaneous T- and B-cell lymphomas, and highlight unresolved clinical challenges and unmet needs, including biomarker integration, longitudinal disease monitoring, and translation of molecular advances into routine practice. Full article
(This article belongs to the Collection Lymphomas)
Show Figures

Figure 1

19 pages, 302 KB  
Review
Cytokine Profiling in Cutaneous Melanoma: The Emerging Role of Interleukins in Prognostic Stratification with an Up-to-Date Overview of Published Data
by Paola Negovetić, Klara Gaćina, Nika Franceschi and Marija Buljan
J. Pers. Med. 2026, 16(2), 120; https://doi.org/10.3390/jpm16020120 - 15 Feb 2026
Viewed by 485
Abstract
Background: Cutaneous melanoma is an aggressive malignancy driven by complex interactions between tumor cells and the host immune system. Tumor progression is shaped not only by intrinsic tumor characteristics but also by immune-mediated processes within the tumor microenvironment. Cytokines, particularly interleukins, are key [...] Read more.
Background: Cutaneous melanoma is an aggressive malignancy driven by complex interactions between tumor cells and the host immune system. Tumor progression is shaped not only by intrinsic tumor characteristics but also by immune-mediated processes within the tumor microenvironment. Cytokines, particularly interleukins, are key regulators of inflammation, immune cell recruitment, and tumor behavior. Cytokine profiling provides an integrated assessment of soluble immune mediators from tumor and stromal cells, reflecting both local and systemic immune responses. Methods: This narrative review summarizes and synthesizes the current literature addressing the biological and clinical relevance of selected interleukins, including IL-6, IL-8, IL-10, IL-2, IL-17, and IL-18, in cutaneous melanoma. Published data were evaluated with a focus on their immunomodulatory functions and potential implications for prognostic assessment. Results: Interleukins demonstrated distinct and context-dependent prognostic and predictive relevance in cutaneous melanoma. Elevated IL-2 levels correlated with sentinel lymph node positivity, supporting its prognostic value in early disease. Increased circulating IL-6 and IL-8 were consistently associated with tumor burden, advanced disease, and reduced survival. IL-10 expression reflected tumor progression and immune modulation. IL-17 signatures predicted response to combined immune checkpoint inhibition, particularly in BRAFV600-mutant melanoma. IL-18 exhibited dual roles, associating with both immune activation and favorable outcomes depending on tumor context. Conclusions: Interleukin profiling offers a biologically relevant framework for understanding immune regulation in cutaneous melanoma. Integrating interleukin signatures into prognostic models may support more refined risk stratification and advance the implementation of personalized medicine approaches in melanoma management. Full article
(This article belongs to the Special Issue Translational Research and Novel Therapeutics in Cutaneous Melanoma)
16 pages, 528 KB  
Review
Histological and Genetic Markers of Cellular Senescence in Keratinocyte Cancers and Actinic Keratosis: A Systematic Review
by Piotr Sobolewski, Mateusz Koper, Anna Wasaznik-Jedras, Malgorzata Kolos and Irena Walecka
Int. J. Mol. Sci. 2026, 27(3), 1520; https://doi.org/10.3390/ijms27031520 - 4 Feb 2026
Viewed by 742
Abstract
Cellular senescence is a stress-induced cell-cycle arrest that constrains expansion of ultraviolet-damaged keratinocytes yet can remodel the microenvironment. This systematic review evaluated histological and genetic or epigenetic senescence markers in actinic keratosis (AK), cutaneous squamous cell carcinoma (cSCC), and basal cell carcinoma (BCC). [...] Read more.
Cellular senescence is a stress-induced cell-cycle arrest that constrains expansion of ultraviolet-damaged keratinocytes yet can remodel the microenvironment. This systematic review evaluated histological and genetic or epigenetic senescence markers in actinic keratosis (AK), cutaneous squamous cell carcinoma (cSCC), and basal cell carcinoma (BCC). PubMed, Scopus, and Web of Science were searched (January 2005–May 2025); 34 human studies were included. AK showed an early senescent signature with frequent cyclin-dependent kinase inhibitor p21 (p21CIP1) expression (82.1%) and DNA damage signaling, including phosphorylated histone H2AX (gamma-H2AX) positivity (77%). In invasive cSCC, p21CIP1 fell to 43.9% and tumor suppressor p53 immunoreactivity often declined, whereas cyclin-dependent kinase inhibitor p16 (p16INK4a) commonly accumulated without arrest, including cytoplasmic staining at invasion fronts. Reported escape pathways involved c-Jun N-terminal kinase 2 activity and long noncoding RNA PVT1–dependent repression of p21. Telomerase reverse transcriptase (TERT) promoter mutations were prevalent in cSCC (about 50%) and BCC (up to 78%) but uncommon in AK, consistent with late telomerase activation. Study heterogeneity, variable antibody scoring, and limited assessment of senescence-associated beta-galactosidase and secretory mediators restricted cross-study comparability. Standardized, spatially resolved profiling may refine risk stratification and support senescence-targeted prevention and therapy in keratinocyte cancers. Full article
Show Figures

Figure 1

14 pages, 585 KB  
Review
Uveal Melanoma: Biology, Prognostication, and Emerging Therapies to Outsmart an Immune-Cold Melanoma
by Danielle Brazel and Elizabeth Buchbinder
Cancers 2026, 18(3), 432; https://doi.org/10.3390/cancers18030432 - 29 Jan 2026
Viewed by 698
Abstract
Uveal melanoma (UM) is a rare but highly aggressive malignancy arising from melanocytes of the uveal tract. Despite high local control rates for primary disease, half of patients ultimately develop metastatic disease with historically dismal outcomes. Unlike cutaneous melanoma, UM is characterized by [...] Read more.
Uveal melanoma (UM) is a rare but highly aggressive malignancy arising from melanocytes of the uveal tract. Despite high local control rates for primary disease, half of patients ultimately develop metastatic disease with historically dismal outcomes. Unlike cutaneous melanoma, UM is characterized by a low tumor mutational burden, distinct driver mutations, and an immunosuppressive tumor microenvironment which together limit the efficacy of immune checkpoint inhibitors. Over the past decade, major advancements in molecular classification, prognostication, and therapeutic development have reshaped the clinical landscape for some patients with UM. This review synthesizes the current understanding of UM epidemiology, characteristics, prognostic biomarkers, immune biology, and contemporary management for both localized and metastatic disease. While survival gains remain modest, the rapid expansion of biologically informed and immune-based strategies offers cautious optimism for improving outcomes in this historically treatment-refractory disease. Full article
(This article belongs to the Special Issue Precision Oncology for Rare Skin Cancers)
Show Figures

Figure 1

15 pages, 1523 KB  
Review
ABCB5: A Key Regulator Linking Stem Cell Plasticity, Tumor Microenvironment, and Therapy Resistance in Cutaneous Melanoma
by Andreea Cătălina Tinca, Adrian Horațiu Sabău, Andreea Raluca Cozac-Szoke, Diana Maria Chiorean, Bianca Andreea Lazar, Raluca-Diana Hagău, Iuliu Gabriel Cocuz, Raluca Niculescu, Irina Bianca Kosovski, Sofia Teodora Muntean, Sabin Gligore Turdean and Ovidiu Simion Cotoi
Cancers 2026, 18(3), 424; https://doi.org/10.3390/cancers18030424 - 28 Jan 2026
Viewed by 439
Abstract
Cutaneous melanoma is one of the most aggressive skin cancers. Over the years, multiple studies have focused on identifying novel treatment strategies, with increasing attention directed toward immune-modulating mechanisms within the tumor microenvironment. Among these, ATP-binding cassette transporters and stem-associated pathways have been [...] Read more.
Cutaneous melanoma is one of the most aggressive skin cancers. Over the years, multiple studies have focused on identifying novel treatment strategies, with increasing attention directed toward immune-modulating mechanisms within the tumor microenvironment. Among these, ATP-binding cassette transporters and stem-associated pathways have been shown to influence drug response and immune escape. ABCB5 is a gene with multiple isoforms that significantly influences the immune response. In melanoma, the ABCB5α isoform is predominantly expressed, particularly in tumor stem-like cells where it promotes chemoresistance through active drug efflux. ABCB5 has also been linked to the regulation of PI3K/Akt, BCL-2, and miR-145-associated pathways. Moreover, ABCB5-positive cells contribute to the formation of an immunosuppressive microenvironment by secreting cytokines (IL-6, IL-8, TGF-β) and expressing immune checkpoint ligands, such as PD-L1, thereby favoring tumor progression and a poor prognosis. This review integrates current data on the molecular and microenvironmental mechanisms underlying melanoma progression and therapy resistance, and positions ABCB5 within the broader landscape of melanoma resistance mechanisms, emphasizing both its potential and its current limitations as a biomarker and therapeutic target. Full article
(This article belongs to the Section Cancer Pathophysiology)
Show Figures

Figure 1

21 pages, 696 KB  
Systematic Review
Tumor Infiltrating Lymphocytes in Cutaneous Squamous Cell Carcinoma—A Systematic Review
by Li Yang Loo, Shi Huan Tay and Choon Chiat Oh
Dermatopathology 2026, 13(1), 6; https://doi.org/10.3390/dermatopathology13010006 - 13 Jan 2026
Viewed by 720
Abstract
Cutaneous squamous cell carcinoma (cSCC) is an immunogenic malignancy with variable immune infiltration and inconsistent responses to checkpoint blockade. Tumor-infiltrating lymphocytes (TILs) influence tumor progression and therapeutic outcome, yet their phenotypic and functional diversity across disease contexts remains incompletely understood. This review systematically [...] Read more.
Cutaneous squamous cell carcinoma (cSCC) is an immunogenic malignancy with variable immune infiltration and inconsistent responses to checkpoint blockade. Tumor-infiltrating lymphocytes (TILs) influence tumor progression and therapeutic outcome, yet their phenotypic and functional diversity across disease contexts remains incompletely understood. This review systematically characterizes the TIL landscape in human cSCC. Following PRISMA 2020 guidelines, PubMed and Embase were searched up to May 2025 and restricted to studies evaluating tumor-infiltrating lymphocytes in human cSCC, using the modified Newcatle–Ottawa score to assess risk of bias. Data were synthesized qualitatively given methodological heterogeneity. 48 studies met inclusion criteria. cSCCs exhibited dense CD3+ infiltrates composed of cytotoxic (CD8+GzmB+, Ki-67+, CD69+) and regulatory (FOXP3+, CCR4+) subsets. Higher CD8+ activity correlated with smaller tumors and longer disease-free survival, whereas FOXP3+ enrichment and TGF-β2 signaling promoted immune evasion. Immunosuppressed patients demonstrated diminished CD8+ density and clonality. Immune modulation with PD-1/PD-L1 blockade, imiquimod, HPV vaccination, or OX40 stimulation enhanced effector function. The cSCC immune microenvironment reflects a balance between cytotoxic and suppressive factors. Harmonizing multimodal immune profiling and integrating spatial context with systemic immune status may advance both prognostic stratification and therapeutic design. Full article
Show Figures

Figure 1

Back to TopTop