Sign in to use this feature.

Years

Between: -

Subjects

remove_circle_outline
remove_circle_outline
remove_circle_outline
remove_circle_outline
remove_circle_outline
remove_circle_outline
remove_circle_outline
remove_circle_outline
remove_circle_outline

Journals

remove_circle_outline
remove_circle_outline
remove_circle_outline

Article Types

Countries / Regions

remove_circle_outline
remove_circle_outline
remove_circle_outline
remove_circle_outline
remove_circle_outline

Search Results (257)

Search Parameters:
Keywords = curve fitting approximation

Order results
Result details
Results per page
Select all
Export citation of selected articles as:
19 pages, 3112 KB  
Article
Load Separation Criterion for Ductile Fracture Characterization of Thin Aluminum Sheets
by Mohammed Y. Abdellah, Fawaz M. Abdullah, Abdulrahman M. Al-Ahmari and Mohamed K. Hassan
Crystals 2026, 16(3), 209; https://doi.org/10.3390/cryst16030209 - 19 Mar 2026
Abstract
The characterization of ductile fracture in thin metallic sheets is challenging due to extensive plastic deformation and stable crack growth under plane-stress conditions. This study investigates the applicability of the load separation criterion as a single-specimen method for evaluating fracture behavior in thin [...] Read more.
The characterization of ductile fracture in thin metallic sheets is challenging due to extensive plastic deformation and stable crack growth under plane-stress conditions. This study investigates the applicability of the load separation criterion as a single-specimen method for evaluating fracture behavior in thin aluminum sheets. Experimental tests were performed on double-edge-notched tension (DENT) specimens manufactured from a 1.2 mm thick commercial aluminum sheet with ligament lengths ranging from 4 to 20 mm. Load–displacement responses were analyzed using curve-fitting techniques to determine the separation parameter, geometry function, plastic η-factor, and the plastic component of the J-integral. The separation parameter stabilized in the plastic regime, and the geometry function followed a power-law relationship with the normalized ligament ratio, confirming the validity of the load separation assumption. The calculated fracture toughness values showed consistent averages of approximately 58–60 kJ/m2 across different fitting approaches, which are in good agreement with the essential work of fracture (EWF) value of about 51.5 kJ/m2 reported for the same material. These results demonstrate that the load separation approach provides a reliable and efficient framework for determining fracture parameters in thin ductile aluminum sheets using a single specimen. The methodology offers practical advantages for fracture assessment and structural integrity analysis of lightweight sheet structures in aerospace, automotive, and marine applications. Full article
(This article belongs to the Section Crystalline Metals and Alloys)
Show Figures

Figure 1

15 pages, 2004 KB  
Article
Testing Five Nonlinear Equations for Quantifying Leaf Area Inequality of Semiarundinaria densiflora
by Hanzhou Qiu, Lin Wang and Johan Gielis
Symmetry 2026, 18(3), 501; https://doi.org/10.3390/sym18030501 - 15 Mar 2026
Viewed by 118
Abstract
Accurately quantifying the inequality of plant organ size distributions, such as leaf area, is essential for understanding plant resource allocation strategies, and this is commonly achieved using Lorenz curves. Previous studies have shown that the performance equation (PE) and its generalized form (GPE) [...] Read more.
Accurately quantifying the inequality of plant organ size distributions, such as leaf area, is essential for understanding plant resource allocation strategies, and this is commonly achieved using Lorenz curves. Previous studies have shown that the performance equation (PE) and its generalized form (GPE) effectively describe Lorenz curves that are rotated 135° counterclockwise around the origin and shifted rightward by 2 units. However, few studies have compared the fitting performance of PE (and GPE) with other traditional equations generating Lorenz curves in modeling empirical leaf area distributions, and even fewer have considered the validity of linear approximation assumptions in these nonlinear models. To address this gap, we quantified the inequality of leaf area distributions in Semiarundinaria densiflora, a bamboo species for which the abundant and measurable leaves per culm provide an ideal system for examining the ecological strategies underlying leaf allocation patterns. Five nonlinear models were employed to fit the leaf area distribution: PE, GPE, the Sarabia equation (SarabiaE), the Sarabia–Castillo–Slottje equation (SCSE), and the Sitthiyot–Holasut equation (SHE). Model performance was assessed using root-mean-square error (RMSE) and Akaike information criterion (AIC), while nonlinearity curvature measures were applied to evaluate the close-to-linear behavior of parameter estimates. In addition, the Lorenz asymmetry coefficient (LAC) was used to quantify the asymmetry of the Lorenz curves. Our results showed a clear trade-off between predictive accuracy and linear approximation behavior. Among the five models, GPE achieved the best fit, with the lowest RMSE and AIC values, yet did not show good close-to-linear behavior. In contrast, SHE provided the poorest fit but demonstrated the strongest close-to-linear properties. LAC values indicated that relatively abundant, larger leaves disproportionately contributed to the inequality in leaf area distribution. These findings highlight an inherent trade-off in using Lorenz-based models to describe leaf area frequency distributions: predictive accuracy does not necessarily align with statistical validity. By integrating model fit, nonlinearity diagnostics, and asymmetry assessment, this study provides new perspectives and methodological tools for future investigations into inequality in plant organ size distributions and their ecological significance. Full article
(This article belongs to the Section Mathematics)
Show Figures

Figure 1

31 pages, 841 KB  
Article
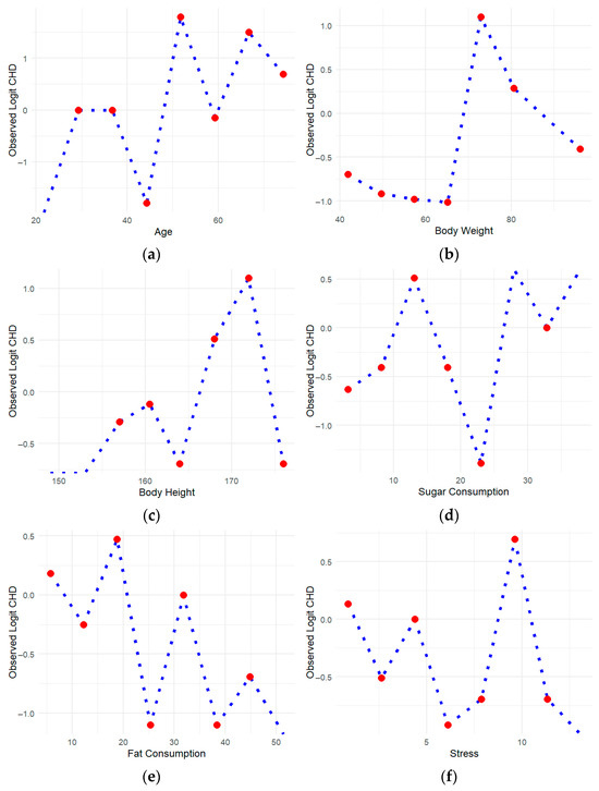
Penalized Spline Estimator for Semiparametric Binary Logistic Regression Model with Application to Coronary Heart Disease Risk Factors
by Nur Chamidah, Marisa Rifada, Budi Lestari, Dursun Aydin and Naufal Ramadhan Al Akhwal Siregar
Symmetry 2026, 18(3), 432; https://doi.org/10.3390/sym18030432 - 28 Feb 2026
Viewed by 208
Abstract
In this study, we develop a regression analysis method, namely, the Semiparametric Binary Logistic Regression (SBLR), by extending the classical logistic regression that integrates both parametric and nonparametric components, which allows it to simultaneously model linear and non-linear relationships. Here, to obtain the [...] Read more.
In this study, we develop a regression analysis method, namely, the Semiparametric Binary Logistic Regression (SBLR), by extending the classical logistic regression that integrates both parametric and nonparametric components, which allows it to simultaneously model linear and non-linear relationships. Here, to obtain the estimation of a nonparametric component in the form of a non-linear curve (sigmoid curve), we use the penalized spline, which is a smoothing technique used in the nonparametric approach due to its ability to produce smooth and adaptive curves for fluctuating data. In this smoothing technique, selecting the optimal smoothing parameters plays an important role in fitting the model. Commonly, this selection is based on the minimum value of ordinary Cross-Validation (CV) or Generalized Cross-Validation (GCV). However, these CV and GCV criteria cannot be used when the CV and GCV curves continuously decline and never rise; the minimum CV and GCV values would not be achieved because they are not directly applicable due to the non-quadratic nature of the log-likelihood function. Therefore, a Generalized Approximate Cross-Validation (GACV) criterion is used to address such cases. This distinguishes it from previous studies that used the CV or GCV criterion. In the application to real data, we define an SBLR model of Coronary Heart Disease (CHD) risk factors that can be used for prediction and interpretation purposes. The results of the study successfully demonstrate the efficacy of the proposed method in identifying critical non-linear thresholds for CHD risk factors, and it is statistically valid and highly effective for CHD risk prediction. In the future, we can use the results of this research as a basis of an early warning system, specifically alerting individuals with moderate stress levels and dietary habits exceeding the identified thresholds to be aware of the heightened probability of developing CHD. In addition, this research aligns with point three of the Sustainable Development Goals (SDGs), namely, premature mortality reduction from non-communicable diseases by 2030. Full article
(This article belongs to the Section Mathematics)
Show Figures

Figure 1

31 pages, 11349 KB  
Article
Recognition, Localization and 3D Geometric Morphology Calculation of Microblind Holes in Complex Backgrounds Based on the Improved YOLOv11 Network and AVC Algorithm
by Chengfen Zhang, Dong Xia, Ruizhao Chen, Qunfeng Niu, Tao Wang and Li Wang
J. Imaging 2026, 12(3), 96; https://doi.org/10.3390/jimaging12030096 - 24 Feb 2026
Viewed by 303
Abstract
Microblind hole processing quality inspection, especially accurately identifying microblind hole contour features and precisely detecting 3D and morphological parameters, has always been challenging, especially for accurately identifying those of different sizes, depths, and contour features simultaneously. This poses a great challenge for identifying [...] Read more.
Microblind hole processing quality inspection, especially accurately identifying microblind hole contour features and precisely detecting 3D and morphological parameters, has always been challenging, especially for accurately identifying those of different sizes, depths, and contour features simultaneously. This poses a great challenge for identifying and localizing microblind hole contours based on machine vision and accurately calculating three-dimensional parameters. This study takes cigarette microblind holes (diameter of 0.1–0.2 mm, depth of approximately 35 µm) as the research object. It focuses on solving two major challenges: recognizing and localizing microblind hole contours in complex texture backgrounds and accurately calculating their 3D geometric morphology. An improved YOLOv11s model is proposed for microblind hole image multiobject detection with complex texture backgrounds to extract their features completely. An Area–Volume Computation (AVC) algorithm, which utilizes discrete integral estimation and curve-fitting principles, is also proposed for computing their surface area and volume. The experimental results show that the precision, recall, mAP@0.5, mAP@0.5:0.95, and prediction time of the improved YOLOv11 network are 0.915, 0.948, 0.925, 0.615, and 1.27 ms, respectively. The relative errors (REs) of the surface area and volume calculation of the microblind holes are 5.236% and 3.964%, respectively. The proposed method achieves microblind hole recognition, localization and 3D morphology calculation accuracy, meeting cigarette on-site inspection criteria. Additionally, a reference for detecting other similar objects in complex texture backgrounds and accurately calculating 3D tasks is provided. Full article
(This article belongs to the Topic Computer Vision and Image Processing, 3rd Edition)
Show Figures

Figure 1

23 pages, 2859 KB  
Article
Seismic Retrofitting of Reinforced Concrete Frames Using Viscoelastic Layers at Beam–Column Joints
by Civan Yavas and Zdzisław Mikołaj Pawlak
Appl. Sci. 2026, 16(4), 1712; https://doi.org/10.3390/app16041712 - 9 Feb 2026
Viewed by 254
Abstract
This study investigates the use of viscoelastic (VE) material layers, reinforced with steel plates, for the seismic retrofitting of reinforced concrete (RC) frame structures. Conventional retrofitting approaches predominantly aim to enhance structural strength, which can undesirably shift the dynamic characteristics away from their [...] Read more.
This study investigates the use of viscoelastic (VE) material layers, reinforced with steel plates, for the seismic retrofitting of reinforced concrete (RC) frame structures. Conventional retrofitting approaches predominantly aim to enhance structural strength, which can undesirably shift the dynamic characteristics away from their original design intent. In contrast, the present work emphasises energy dissipation as the primary mechanism for improving seismic performance. A practical and efficient material characterisation methodology, based on Dynamic Mechanical Analysis (DMA) test data and subsequent derivation of Prony Series coefficients, is employed for numerical modelling, offering substantial advantages over traditional time-intensive techniques such as stress relaxation experiments. In this study, VE material properties are determined through a combination of DMA testing, curve-fitting approximation, and numerical validation. Once the material behaviour has been characterised, numerical simulations are conducted in both the frequency and time domains to assess the efficacy of the proposed retrofitting scheme in reducing resonant response and lateral displacements. The novelty of the retrofitting technique proposed in this research involves direct application of VE materials in the form of layers backed by metal plates. The results demonstrate that VE layers, combined with steel plates at beam–column joints, enhance the seismic performance of RC frames by increasing damping and reducing vibration amplitudes. The findings highlight the potential of VE-layer-based retrofitting as an effective strategy for controlling seismic responses while avoiding excessive stiffening and associated unfavourable shifts in dynamic response. Furthermore, DMA-based Prony series modelling implemented in Abaqus provides an effective and time-efficient approach for capturing viscoelastic behaviour and can be beneficial at an early stage of research. Full article
(This article belongs to the Section Civil Engineering)
Show Figures

Figure 1

13 pages, 2022 KB  
Article
The Parametrization of Thermoelastic Martensite Phase Transformations at Constant Stress in Shape Memory Alloys Using a Sigmoidal Boltzmann Function
by Maxim A. Orlov, Matvey G. Fedin, Vladimir S. Kalashnikov, Victor V. Koledov, Kirill D. Aksenov, Anton V. Nesolenov, Gulbarshin K. Shambilova, Georgy I. Makarov and Ivan S. Levin
Metals 2026, 16(2), 194; https://doi.org/10.3390/met16020194 - 6 Feb 2026
Viewed by 291
Abstract
The parametrization of the thermomechanical behavior of shape memory alloys (SMAs) under constant load is described in terms of their functional properties. The deformation–temperature–stress behavior of SMAs from various alloy systems—such as Ni-Ti, Ni-Ti-Cu, and Ni-Mn-Ga—was parametrized using a sigmoidal function. This approach [...] Read more.
The parametrization of the thermomechanical behavior of shape memory alloys (SMAs) under constant load is described in terms of their functional properties. The deformation–temperature–stress behavior of SMAs from various alloy systems—such as Ni-Ti, Ni-Ti-Cu, and Ni-Mn-Ga—was parametrized using a sigmoidal function. This approach enables the characterization of phase transformation parameters, including transformation temperatures, kinetic parameters, and the relationship between recoverable deformation and applied stress. It is shown that the sigmoid function can serve as a universal descriptor of thermoelastic phase transformations across different alloy systems and transformation types, such as B2–R–B19′–R–B2 (Ni-Ti-Cu), B2–R–B19′–B2 (Ni-Ti), and B2 (L21)–B19′ (L20)–B2 (L21). A correlation coefficient of approximately 0.99 was achieved. The present work extends the theoretical framework of diffuse martensitic transitions in SMAs, for which the sigmoid function has been theoretically derived to describe phase fractions. The article’s novelty lies in shifting from pure mathematical approximation (curve fitting) to physical parametrization of SMA behavior specifically under constant stress (actuator mode). Full article
(This article belongs to the Special Issue Advances in Shape Memory Alloys: Theory, Experiment and Calculation)
Show Figures

Figure 1

18 pages, 2652 KB  
Article
Fluid–Structure Interaction Study of S-CO2 Radial Hydrodynamic Lubricated Bearings Under Different Rotational Speeds
by Chengtao Niu, Sung-Ki Lyu, Yu-Ting Wu, Zhen Qin, Shixuan Wang and Sicheng Niu
Coatings 2026, 16(2), 182; https://doi.org/10.3390/coatings16020182 - 1 Feb 2026
Viewed by 640
Abstract
High-speed rotating machinery often demands bearings with superior load capacity and thermal stability. Here, a four-chamber radial hydrodynamic sliding bearing using supercritical carbon dioxide (S-CO2) as a lubricant is investigated to address these requirements. The work is carried out on the [...] Read more.
High-speed rotating machinery often demands bearings with superior load capacity and thermal stability. Here, a four-chamber radial hydrodynamic sliding bearing using supercritical carbon dioxide (S-CO2) as a lubricant is investigated to address these requirements. The work is carried out on the ANSYS Workbench 2024 R1 platform. Computational fluid dynamics (CFD) and structural mechanics are combined to build a fluid–structure interaction (FSI) numerical model. The model accounts for real-gas thermophysical property variations. S-CO2 properties are dynamically retrieved using the REFPROP database and MATLAB curve fitting. Unlike previous studies that mainly focused on hydrostatic structures and general parameters, this research examines hydrodynamic lubrication behavior under ultra-high-speed conditions. It systematically analyzes the effects of rotational speed on oil film pressure distribution, load capacity, friction coefficient, and housing deformation. It also investigates cavitation characteristics in a specific speed range. Simulation outcomes reveal that higher rotational speeds lead to an increase in both oil film load capacity and peak pressure. In particular, when the speed rises from 4000 r/min to 12,000 r/min, the maximum positive pressure increases from about 10 MPa to approximately 10.4 MPa. Meanwhile, the negative pressure region becomes significantly larger, which raises the cavitation risk and indicates a less stable lubrication state at very high speeds. These results confirm that lubrication simulations incorporating real-gas effects can reliably represent the operating behavior and provide useful guidance. It also provides new theoretical support for the design optimization and engineering application of S-CO2-lubricated bearings in high-speed machinery. Full article
(This article belongs to the Section Liquid–Fluid Coatings, Surfaces and Interfaces)
Show Figures

Figure 1

21 pages, 5523 KB  
Article
A Study on the Uniaxial Tensile and Compressive Mechanical Testing Methods of Ice Specimens Based on the Digital Image Correlation (DIC) Technique
by Nianming Hu, Mingyong Hu, Jing Wu, Linjie Wu, Zixu Zhu and Xi Zhu
Coatings 2026, 16(2), 171; https://doi.org/10.3390/coatings16020171 - 30 Jan 2026
Viewed by 360
Abstract
This study introduced the Digital Image Correlation (DIC) technique into the axial tensile and compression tests of ice materials. The surface strain distribution measured by DIC was compared with experimental phenomena to verify the accuracy of DIC measurement technology. Additionally, the strain data [...] Read more.
This study introduced the Digital Image Correlation (DIC) technique into the axial tensile and compression tests of ice materials. The surface strain distribution measured by DIC was compared with experimental phenomena to verify the accuracy of DIC measurement technology. Additionally, the strain data obtained from DIC were used to correct the stress–strain rate curves of ice materials under axial tension and compression, as measured by the universal testing machine. The study found that the constitutive relationship of a type of ice material under tension and compression can be fitted to a bi-linear model. After correction, the bi-linear two-stage moduli of the ice specimens frozen at −30 °C during tensile testing were approximately E¯1 = 687.50 MPa and E¯2 = 1.12 GPa; During compression, the bi-linear two-stage moduli are approximately E¯1 = 1.521 GPa and E¯2 = 7.734 GPa. The above research results are similar to those of previous studies and have a high degree of credibility. The mechanical properties of ice materials were found to be more stable at a freezing temperature of −30 °C compared to −10 °C. When microcracks form in ice materials under load, these cracks may refreeze internally, leading to viscoelastic behavior in the early stages of loading. Full article
(This article belongs to the Section Liquid–Fluid Coatings, Surfaces and Interfaces)
Show Figures

Figure 1

15 pages, 1881 KB  
Article
Finite-Range Scalar–Tensor Gravity: Constraints from Cosmology and Galaxy Dynamics
by Elie Almurr and Jean Claude Assaf
Galaxies 2026, 14(1), 7; https://doi.org/10.3390/galaxies14010007 - 27 Jan 2026
Viewed by 796
Abstract
Objective: We examine whether a finite-range scalar–tensor modification of gravity can be simultaneously compatible with cosmological background data, galaxy rotation curves, and local/astrophysical consistency tests, while satisfying the luminal gravitational-wave propagation constraint (cT=1) implied by GW170817 at low [...] Read more.
Objective: We examine whether a finite-range scalar–tensor modification of gravity can be simultaneously compatible with cosmological background data, galaxy rotation curves, and local/astrophysical consistency tests, while satisfying the luminal gravitational-wave propagation constraint (cT=1) implied by GW170817 at low redshifts. Methods: We formulate the model at the level of an explicit covariant action and derive the corresponding field equations; for cosmological inferences, we adopt an effective background closure in which the late-time dark-energy density is modulated by a smooth activation function characterized by a length scale λ and amplitude ϵ. We constrain this background model using Pantheon+, DESI Gaussian Baryon Acoustic Oscillations (BAOs), and a Planck acoustic-scale prior, including an explicit ΛCDM comparison. We then propagate the inferred characteristic length by fixing λ in the weak-field Yukawa kernel used to model 175 SPARC galaxy rotation curves with standard baryonic components and a controlled spherical approximation for the scalar response. Results: The joint background fit yields Ωm=0.293±0.007, λ=7.691.71+1.85Mpc, and H0=72.33±0.50kms1Mpc1. With λ fixed, the baryons + scalar model describes the SPARC sample with a median reduced chi-square of χν2=1.07; for a 14-galaxy subset, this model is moderately preferred over the standard baryons + NFW halo description in the finite-sample information criteria, with a mean ΔAICc outcome in favor of the baryons + scalar model (≈2.8). A Vainshtein-type screening completion with Λ=1.3×108 eV satisfies Cassini, Lunar Laser Ranging, and binary pulsar bounds while keeping the kpc scales effectively unscreened. For linear growth observables, we adopt a conservative General Relativity-like baseline (μ0=0) and show that current fσ8 data are consistent with μ00 for our best-fit background; the model predicts S8=0.791, consistent with representative cosmic-shear constraints. Conclusions: Within the present scope (action-level weak-field dynamics for galaxy modeling plus an explicitly stated effective closure for background inference), the results support a mutually compatible characteristic length at the Mpc scale; however, a full perturbation-level implementation of the covariant theory remains an issue for future work, and the role of cold dark matter beyond galaxy scales is not ruled out. Full article
Show Figures

Figure 1

31 pages, 1934 KB  
Review
Prospective of Colorectal Cancer Screening, Diagnosis, and Treatment Management Using Bowel Sounds Leveraging Artificial Intelligence
by Divyanshi Sood, Surbhi Dadwal, Samiksha Jain, Iqra Jabeen Mazhar, Bipasha Goyal, Chris Garapati, Sagar Patel, Zenab Muhammad Riaz, Noor Buzaboon, Ayushi Mendiratta, Avneet Kaur, Anmol Mohan, Gayathri Yerrapragada, Poonguzhali Elangovan, Mohammed Naveed Shariff, Thangeswaran Natarajan, Jayarajasekaran Janarthanan, Shreshta Agarwal, Sancia Mary Jerold Wilson, Atishya Ghosh, Shiva Sankari Karuppiah, Joshika Agarwal, Keerthy Gopalakrishnan, Swetha Rapolu, Venkata S. Akshintala and Shivaram P. Arunachalamadd Show full author list remove Hide full author list
Cancers 2026, 18(2), 340; https://doi.org/10.3390/cancers18020340 - 21 Jan 2026
Viewed by 775
Abstract
Background: Colorectal cancer (CRC) is the second leading cause of cancer-related mortality worldwide, accounting for approximately 10% of all cancer cases. Despite the proven effectiveness of conventional screening modalities such as colonoscopy and fecal immunochemical testing (FIT), their invasive nature, high cost, and [...] Read more.
Background: Colorectal cancer (CRC) is the second leading cause of cancer-related mortality worldwide, accounting for approximately 10% of all cancer cases. Despite the proven effectiveness of conventional screening modalities such as colonoscopy and fecal immunochemical testing (FIT), their invasive nature, high cost, and limited patient compliance hinder widespread adoption. Recent advancements in artificial intelligence (AI) and bowel sound-based signal processing have enabled non-invasive approaches for gastrointestinal diagnostics. Among these, bowel sound analysis—historically considered subjective—has reemerged as a promising biomarker using digital auscultation and machine learning. Objective: This review explores the potential of AI-powered bowel sound analytics for early detection, screening, and characterization of colorectal cancer. It aims to assess current methodologies, summarize reported performance metrics, and highlight translational opportunities and challenges in clinical implementation. Methods: A narrative review was conducted across PubMed, Scopus, Embase, and Cochrane databases using the terms colorectal cancer, bowel sounds, phonoenterography, artificial intelligence, and non-invasive diagnosis. Eligible studies involving human bowel sound-based recordings, AI-based sound analysis, or machine learning applications in gastrointestinal pathology were reviewed for study design, signal acquisition methods, AI model architecture, and diagnostic accuracy. Results: Across studies using convolutional neural networks (CNNs), gradient boosting, and transformer-based models, reported diagnostic accuracies ranged from 88% to 96%. Area under the curve (AUC) values were ≥0.83, with F1 scores between 0.71 and 0.85 for bowel sound classification. In CRC-specific frameworks such as BowelRCNN, AI models successfully differentiate abnormal bowel sound intervals and spectral patterns associated with tumor-related motility disturbances and partial obstruction. Distinct bowel sound-based signatures—such as prolonged sound-to-sound intervals and high-pitched “tinkling” proximal to lesions—demonstrate the physiological basis for CRC detection through bowel sound-based biomarkers. Conclusions: AI-driven bowel sound analysis represents an emerging, exploratory research direction rather than a validated colorectal cancer screening modality. While early studies demonstrate physiological plausibility and technical feasibility, no large-scale, CRC-specific validation studies currently establish sensitivity, specificity, PPV, or NPV for cancer detection. Accordingly, bowel sound analytics should be viewed as hypothesis-generating and potentially complementary to established screening tools, rather than a near-term alternative to validated modalities such as FIT, multitarget stool DNA testing, or colonoscopy. Full article
(This article belongs to the Section Methods and Technologies Development)
Show Figures

Figure 1

19 pages, 5648 KB  
Article
A Composite Material Repair Structure: For Defect Repair of Branch Pipe Fillet Welds in Oil and Gas Pipelines
by Liangshuo Zhao, Yingjie Qiao, Zhongtian Yin, Bo Xie, Bangyu Wang, Jingxue Zhou, Siyu Chen, Zheng Wang, Xiaodong Wang, Xiaohong Zhang, Xiaotian Bian, Xin Zhang, Yan Wu and Peng Wang
Materials 2026, 19(2), 222; https://doi.org/10.3390/ma19020222 - 6 Jan 2026
Cited by 1 | Viewed by 446
Abstract
In the oil and gas pipeline industry, numerous small-diameter branch pipe fillet welds exist, which are prone to stress concentration because of diverse geometric shapes. The internal welding defects within these welds pose severe hazards to safe production. Specifically, the irregular geometry often [...] Read more.
In the oil and gas pipeline industry, numerous small-diameter branch pipe fillet welds exist, which are prone to stress concentration because of diverse geometric shapes. The internal welding defects within these welds pose severe hazards to safe production. Specifically, the irregular geometry often leads to internal root defects where the weld metal fails to fully penetrate the joint or fuse with the base material (referred to as incomplete penetration and incomplete fusion). This study developed a GF-CF-GF (CF is carbon fiber, GF is glass fiber) sandwich composite reinforcement structure for pipe fittings with these specific internal defects (main pipe: Φ323.9 × 12.5 mm; branch pipe: Φ76 × 5 mm) through a combination of finite element analysis (FEA) and burst test verification. The inherent correlation between structural factors and pressure-bearing capacity was revealed by analyzing the influence of defect sizes. Based on FEA, the repair layer coverage should be designed to be within 400 mm from the defect along the main pipe wall direction and within 100 mm from the defect along the branch pipe wall direction, with required thicknesses of 5.6 mm for incomplete penetration and 3.2 mm for incomplete fusion. Analysis of the actual burst test pressure curve showed that the elastic-plastic transition interval of the repaired pipes increased by approximately 2 MPa compared to normal undamaged pipes, and their pressure-bearing capacities rose by 1.57 MPa (incomplete penetration) and 1.76 MPa (incomplete fusion). These results demonstrate the feasibility of the proposed reinforcement design, which has potential applications in the safety and integrity of oil and gas transportation. Full article
Show Figures

Graphical abstract

42 pages, 6566 KB  
Article
Proxy-Calibration Approach for Transient Simulation of Variable Refrigerant Flow Systems in Energy Performance Assessment of an Existing Building
by Beom-Jun Kim, Ki-Hyung Yu, Seong-Hoon Yoon and Hansol Lim
Buildings 2026, 16(1), 210; https://doi.org/10.3390/buildings16010210 - 2 Jan 2026
Viewed by 500
Abstract
This study investigates a Proxy-Calibration method for modeling Variable Refrigerant Flow (VRF) systems in TRNSYS, addressing the absence of a dedicated simulation component. The approach approximates part-load behavior through indoor-unit combination mapping, utilizing empirical data from a public office building in Seoul. Simulation [...] Read more.
This study investigates a Proxy-Calibration method for modeling Variable Refrigerant Flow (VRF) systems in TRNSYS, addressing the absence of a dedicated simulation component. The approach approximates part-load behavior through indoor-unit combination mapping, utilizing empirical data from a public office building in Seoul. Simulation results were compared with one year of monitored data. While indoor temperature trends showed moderate agreement (R2 = 0.68), electricity consumption diverged significantly from actual measurements. The coefficient of variation in the root mean square error (CVRMSE) ranged from 95% to 118% for the boiler and 153% to 590% for the VRF system, indicating a substantial discrepancy well beyond standard calibration thresholds. These findings underscore the limitations of using static performance maps without explicit control logic. Consequently, this study defines the proposed method as an exploratory investigation; while it establishes a procedural framework for approximating VRF operation, rigorous energy prediction requires further refinement through empirical curve fitting and detailed control representation. Full article
(This article belongs to the Section Building Energy, Physics, Environment, and Systems)
Show Figures

Figure 1

19 pages, 3253 KB  
Article
Intelligent Prediction of Sea Level in the South China Sea Using a Hybrid SSA-LSTM Model
by Huiling Zhang, Hang Yang, Wenbo Hong, Hongbo Dai, Guotao Zhang and Changqing Li
J. Mar. Sci. Eng. 2025, 13(12), 2377; https://doi.org/10.3390/jmse13122377 - 15 Dec 2025
Viewed by 453
Abstract
As an important marginal sea in the western Pacific, sea-level changes in the South China Sea not only respond to global warming but are also regulated by regional ocean dynamics and climate modes, exerting profound impacts on the socioeconomic development and engineering safety [...] Read more.
As an important marginal sea in the western Pacific, sea-level changes in the South China Sea not only respond to global warming but are also regulated by regional ocean dynamics and climate modes, exerting profound impacts on the socioeconomic development and engineering safety of coastal regions. To address the widespread issues of low accuracy and robustness in existing sea-level prediction models when handling nonlinear, multi-scale sequences, as well as the complexity of sea-level change mechanisms in the South China Sea, this study constructs a hybrid model combining Singular Spectrum Analysis and Long Short-Term Memory neural networks (SSA-LSTM). The coral skeletal oxygen isotope ratio (δ18O) used in this study is a key indicator for characterizing the marine environment, defined as the per mille difference in the 18O/16O ratio of a sample relative to a standard. Based on coral δ18O data from the South China Sea, the sea level from 1850 to 2015 is reconstructed. SSA is then applied to decompose the sea-level data into trend and periodic components. The trend component, accounting for 37.03%, and components 2 to 11, containing major periodic information, are extracted to reconstruct the sea-level series. The reconstructed series retains 95.89% of the original information. The trend component is modeled through curve fitting, while the periodic components are modeled using an LSTM neural network. Optimal hyperparameters for the LSTM are determined through parameter sensitivity analysis. An integrated SSA-LSTM model is constructed to predict sea level in the South China Sea, and its predictions are compared with those from a Singular Spectrum Analysis-Autoregressive Integrated Moving Average (SSA-ARIMA) model. The results indicate that from 1850 to 2015, sea level in the South China Sea exhibits periodic fluctuations with a significant overall upward trend. Specifically, the growth rate from 1921 to 1940 reaches 5.49 mm/yr. Predictions from the SSA-LSTM model are significantly higher than those from the SSA-ARIMA model. The SSA-LSTM model projects that from 2016 to 2035, sea level in the South China Sea will continue to rise at a fluctuating rate of 0.75 mm/yr, with a cumulative rise of approximately 15 mm. This study provides a novel methodology for investigating the mechanisms of sea-level change in the South China Sea and offers a scientific basis for coastal risk management. Full article
(This article belongs to the Section Physical Oceanography)
Show Figures

Figure 1

15 pages, 2388 KB  
Article
Sustainable Composites from Recycled Polypropylene and Hazelnut Shell Flour for Application in Irrigation Systems
by Francesco Paolo La Mantia, Roberto Scaffaro, Giuseppe Balsamo, Carmelo Giuffré, Erica Gea Rodi, Simone Corviseri and Maria Clara Citarrella
Polymers 2025, 17(23), 3207; https://doi.org/10.3390/polym17233207 - 1 Dec 2025
Viewed by 667
Abstract
The irrigation sector urgently needs more eco-sustainable materials able to guarantee the same performance as traditional fittings manufactured from virgin fossil-based polymers. In this study, sustainable composites were developed by melt-compounding virgin and recycled polypropylene (RPP) with hazelnut shell (HS) powder with or [...] Read more.
The irrigation sector urgently needs more eco-sustainable materials able to guarantee the same performance as traditional fittings manufactured from virgin fossil-based polymers. In this study, sustainable composites were developed by melt-compounding virgin and recycled polypropylene (RPP) with hazelnut shell (HS) powder with or without maleic-anhydride-grafted polypropylene (PPC) coupling agent. The materials were characterized by a rheological and mechanical point of view. At high shear rates, the viscosity curves of matrices and composites converge, making the difference between neat and filled systems negligible in terms of processability. This indicates that standard injection-molding parameters used for the neat matrices can also be applied to the composites without significant adjustments. Tensile tests showed that adding 10 wt% HS powder increased the elastic modulus by approximately 30% (from 960 MPa to 1.2 GPa) while reducing elongation at break by about 90% compared with neat RPP. The use of PPC mitigated this loss of ductility, partially restoring tensile strength and increasing EB from 6% to 18% in RPP-based composites (+200%). Finally, sleeve bodies and nuts injection-molded from RPP/HS5 and RPP/HS5/PPC successfully resisted internal water pressure up to 3.5 bar without leakage or structural damage. These findings demonstrate that agro-industrial waste can be effectively valorized as a functional filler in recycled polypropylene, enabling the manufacture of irrigation fittings with mechanical and processing performances comparable to those of virgin PP and supporting the transition toward a circular economy. Full article
Show Figures

Figure 1

23 pages, 715 KB  
Article
Diffusion Dominated Drug Release from Cylindrical Matrices
by George Kalosakas and Eirini Gontze
Processes 2025, 13(12), 3850; https://doi.org/10.3390/pr13123850 - 28 Nov 2025
Viewed by 687
Abstract
Drug delivery from cylindrical tablets of arbitrary dimensions is discussed here, using the analytical solution of diffusion equation. Utilizing dimensionless quantities, we show that the release profiles are determined by a unique parameter, represented by the aspect ratio of the cylindrical formulation. Fractional [...] Read more.
Drug delivery from cylindrical tablets of arbitrary dimensions is discussed here, using the analytical solution of diffusion equation. Utilizing dimensionless quantities, we show that the release profiles are determined by a unique parameter, represented by the aspect ratio of the cylindrical formulation. Fractional release curves are presented for different values of the aspect ratio, covering a range of many orders of magnitude. The corresponding release profiles lie in between the two opposite limits of release from thin slabs and two-dimensional radial release, pertinent to the cases of thin and long cylinders, respectively. In a quest for a part of the delivery process closer to a zero-order release, the release rate is calculated, which is found to exhibit the typical behavior of purely diffusional release systems. Two simple fitting formulae, containing two parameters each, are considered to approximate the infinite series of the exact solution: The stretched exponential (Weibull) function and a recently suggested expression interpolating between the correct time dependencies at the initial and final stages of the process. The latter provides a better fitting in all cases. The variation of the fitting parameters with the aspect ratio of the device is presented for both fitting functions. We also calculate the characteristic release time, which is found to correspond to an amount of fractional release between 64% and around 68% depending on the cylindrical aspect ratio. We discuss how the last quantities can be used to estimate the drug diffusion coefficient from experimental release profiles and apply these ideas to published drug delivery data. Full article
Show Figures

Figure 1

Back to TopTop