Sign in to use this feature.

Years

Between: -

Subjects

remove_circle_outline
remove_circle_outline
remove_circle_outline
remove_circle_outline
remove_circle_outline
remove_circle_outline
remove_circle_outline
remove_circle_outline
remove_circle_outline

Journals

remove_circle_outline
remove_circle_outline
remove_circle_outline
remove_circle_outline
remove_circle_outline
remove_circle_outline
remove_circle_outline
remove_circle_outline
remove_circle_outline
remove_circle_outline
remove_circle_outline
remove_circle_outline
remove_circle_outline
remove_circle_outline
remove_circle_outline
remove_circle_outline
remove_circle_outline
remove_circle_outline
remove_circle_outline
remove_circle_outline
remove_circle_outline
remove_circle_outline
remove_circle_outline
remove_circle_outline
remove_circle_outline
remove_circle_outline
remove_circle_outline
remove_circle_outline
remove_circle_outline
remove_circle_outline
remove_circle_outline
remove_circle_outline
remove_circle_outline
remove_circle_outline
remove_circle_outline
remove_circle_outline
remove_circle_outline
remove_circle_outline
remove_circle_outline
remove_circle_outline

Article Types

Countries / Regions

remove_circle_outline
remove_circle_outline
remove_circle_outline
remove_circle_outline
remove_circle_outline
remove_circle_outline
remove_circle_outline
remove_circle_outline
remove_circle_outline

Search Results (6,453)

Search Parameters:
Keywords = cumulative effects

Order results
Result details
Results per page
Select all
Export citation of selected articles as:
19 pages, 4750 KB  
Article
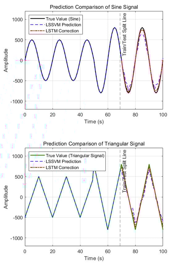
Research on Vehicle Operating Condition Prediction and Optimization Method Based on LSTM-LSSVM-CC
by Mengjie Li, Yongbao Liu and Xing He
Electronics 2026, 15(9), 1785; https://doi.org/10.3390/electronics15091785 (registering DOI) - 22 Apr 2026
Abstract
To address the limited accuracy of power demand prediction for hybrid electric vehicles under complex and dynamic driving conditions, this paper proposes a hybrid prediction approach based on the cascade correction of Long Short-Term Memory networks and Least Squares Support Vector Machines (LSTM-LSSVM-CC). [...] Read more.
To address the limited accuracy of power demand prediction for hybrid electric vehicles under complex and dynamic driving conditions, this paper proposes a hybrid prediction approach based on the cascade correction of Long Short-Term Memory networks and Least Squares Support Vector Machines (LSTM-LSSVM-CC). The proposed method adopts a stage-wise modeling framework that exploits the least-squares optimality of LSSVM for low-frequency steady-state signals and the dynamic compensation capability of LSTM for high-frequency non-stationary residuals, thereby achieving complementary feature representation in the frequency domain. Specifically, an LSSVM is first used to construct a baseline regression model that captures stationary components, followed by an LSTM network that performs deep temporal modeling of the residual sequence to correct nonlinear prediction errors. Extensive experiments conducted on three standard driving cycles—CLTC-P, WLTP, and UDDS—demonstrate that the proposed model consistently outperforms conventional methods including LSSVM, RNN, ELMAN, and Random Forest in multi-step predictions, achieving an average RMSE reduction of 28–52% and maintaining correlation coefficients (R2) between 0.87 and 0.99. Particularly under highly dynamic and abrupt load conditions, the model exhibits superior real-time performance and stability while significantly mitigating cumulative prediction errors. These results demonstrate that the proposed LSTM-LSSVM-CC model achieves robust modeling performance of non-stationary time series while balancing prediction accuracy and computational efficiency, providing an effective technical foundation for hybrid vehicle energy management optimization and offering a transferable theoretical framework for time-series prediction in complex systems. Full article
Show Figures

Figure 1

15 pages, 430 KB  
Article
Early Norepinephrine Attenuates Fluid-Associated Albumin Decline in Sepsis: A Prospective Longitudinal Study
by Gianni Turcato, Arian Zaboli, Alessandra Eugenia Bionda, Michael Maggi, Fabrizio Lucente, Alberto Caregnato, Daniela Milazzo, Paolo Ferretto and Christian J. Wiedermann
J. Clin. Med. 2026, 15(9), 3203; https://doi.org/10.3390/jcm15093203 - 22 Apr 2026
Abstract
Background/Objectives: Hypoalbuminaemia is a consistent predictor of mortality in sepsis; however, the temporal dynamics of albumin decline and its relationship with fluid exposure and early norepinephrine therapy remain incompletely characterised. Determining whether early norepinephrine use is associated with attenuation of albumin loss could [...] Read more.
Background/Objectives: Hypoalbuminaemia is a consistent predictor of mortality in sepsis; however, the temporal dynamics of albumin decline and its relationship with fluid exposure and early norepinephrine therapy remain incompletely characterised. Determining whether early norepinephrine use is associated with attenuation of albumin loss could inform fluid management strategies and identify therapeutic windows for combined vasopressor–albumin interventions. The study aimed to assess whether serum albumin trajectories in sepsis are associated with fluid exposure, modulated by early norepinephrine therapy, and related to 30-day mortality. Methods: We conducted a prospective longitudinal study of patients admitted to an intermediate care unit (IMCU) with community-acquired sepsis. Serum albumin concentrations, cumulative fluid balance (CFB), and vasopressor use were recorded during the first 5 days of hospitalisation. Longitudinal mixed-effects and segmented linear models assessed the association of CFB and vasopressor therapy with albumin trajectories. Lagged mediation modelling explored the potential mediating role of albumin in the association between fluid exposure and 30-day mortality. Results: A total of 389 patients with community-acquired sepsis were included. Thirty-day mortality was 18%. Mean serum albumin at baseline was 2.58 g/dL and declined early to 2.24 g/dL at 72 h. Serum albumin was inversely correlated with cumulative fluid balance over time (r ranging from −0.235 to −0.348; p < 0.001). In longitudinal models, each 1% increase in ΔCFB was associated with a −0.029 g/dL decrease in serum albumin (p < 0.001), supporting an independent effect of fluid exposure. Before norepinephrine initiation, the albumin slope was −0.043 g/dL per interval and was −0.008 g/dL after vasopressor initiation (interaction p = 0.012). Lower albumin concentrations at 72 h predicted 30-day mortality (OR 1.49 per 0.5 g/dL decrease), and serum albumin mediated 18.6% of the association between fluid exposure and mortality. Conclusions: Cumulative fluid exposure was associated with a progressive decline in serum albumin in patients with community-acquired sepsis. Early norepinephrine initiation was associated with attenuation of this trajectory, consistent with the hypothesis that vasopressor-guided haemodynamic stabilisation may limit fluid-associated albumin loss. Full article
(This article belongs to the Special Issue Clinical Advances in Sepsis and Septic Shock)
Show Figures

Figure 1

13 pages, 1862 KB  
Article
Online Attention Competition and Polarization Among Beijing’s 5A–Level Tourist Attractions: A Baidu Index—BCG Matrix Analysis for Sustainable Destination Management
by Changhong Yao, Guifang Yang and Jiachen Lu
Sustainability 2026, 18(9), 4178; https://doi.org/10.3390/su18094178 - 22 Apr 2026
Abstract
In the digital era, online attention has become a key indicator of tourism competitiveness and destination visibility. This study proposes a two-dimensional framework to evaluate the competitive state of online attention by combining its current magnitude and growth dynamics. Using Baidu Index data, [...] Read more.
In the digital era, online attention has become a key indicator of tourism competitiveness and destination visibility. This study proposes a two-dimensional framework to evaluate the competitive state of online attention by combining its current magnitude and growth dynamics. Using Baidu Index data, the study applies the Boston Consulting Group (BCG) matrix and the coefficient of variation to analyze online attention patterns of Beijing’s 5A–level tourist attractions from 2011 to 2025. The results show clear polarization in online attention. A small number of iconic attractions consistently dominate digital visibility, while many other sites exhibit unstable and uneven attention trajectories. These patterns reflect the cumulative effects of consumer behavior, information-seeking preferences, and algorithmically mediated content environments, which reinforce attention concentration and competitive inequality over time. External shocks, particularly the COVID–19 pandemic, caused sharp declines in online attention in 2020, followed by an uneven recovery in subsequent years, highlighting the volatility of digital attention systems. The study also demonstrates the managerial value of the proposed framework. By classifying attractions according to attention levels and growth potential, the framework supports differentiated marketing and demand–redistribution strategies. For instance, increasing the visibility of high-potential but under-visited attractions can help redirect visitors away from overcrowded “Star/GC” sites and encourage more balanced spatial and temporal visitation. Overall, this study proposes a quantitative and replicable framework that integrates digital attention dynamics, algorithmic filtering, and consumer behavior into destination competitiveness analysis. The framework supports evidence-based and sustainability-oriented destination management by informing adaptive marketing and demand management strategies that can help alleviate overtourism and balance visitor flows. However, the study relies on a single digital platform and lacks direct sustainability indicators. Future research should integrate multi-platform data and link online attention metrics to measurable environmental, social, and economic sustainability outcomes. Full article
(This article belongs to the Section Tourism, Culture, and Heritage)
Show Figures

Figure 1

17 pages, 2900 KB  
Article
A Simple Study of Hydrogen Production from Recycled Aluminum Microparticles in Alkaline Media
by Sergio Martínez-Vargas, José-Enrique Flores-Chan, Humberto-Julián Mandujano-Ramírez, Salatiel Pérez-Montejo, Damián Calan-Canche and Cristobal Patino-Carachure
Hydrogen 2026, 7(2), 55; https://doi.org/10.3390/hydrogen7020055 - 22 Apr 2026
Abstract
Hydrogen (H2) was produced from recycled aluminum microparticles (180–250, 300–425, and 425–500 μm) via alkaline hydrolysis using a 1.0 M NaOH solution to enhance oxide layer removal and aluminum dissolution. Maximum hydrogen flow rates of approximately 13, 15, and 19 mL·min [...] Read more.
Hydrogen (H2) was produced from recycled aluminum microparticles (180–250, 300–425, and 425–500 μm) via alkaline hydrolysis using a 1.0 M NaOH solution to enhance oxide layer removal and aluminum dissolution. Maximum hydrogen flow rates of approximately 13, 15, and 19 mL·min−1 were obtained, confirming that smaller particle sizes promote faster reaction rates due to increased specific surface area. The hydrogen evolution exhibited two-stage kinetic behavior: an initial stage characterized by rapid aluminum dissolution and increasing H2 production, followed by a gradual decline associated with the formation of a passivating Al(OH)3 layer. Despite the higher reaction rates observed for smaller particles, the maximum cumulative hydrogen production was obtained for the intermediate particle size (363 µm, 132 mL), compared to 106 mL and 102 mL for 215 µm and 463 µm, respectively, indicating a trade-off between surface area and passivation effects. Kinetic analysis based on the shrinking core model showed excellent agreement (R2 = 99.94–99.97%), with rate constants of 0.137, 0.064, and 0.050 min−1. The relationship k ∝ d−n (n ≈ 1.4) suggests a mixed kinetic regime involving both surface reaction and diffusion through the Al(OH)3 layer. These findings indicate that hydrogen generation can be modulated by particle size; however, the relatively low flow rates and yields limit its immediate practical applicability. Full article
(This article belongs to the Special Issue Women’s Special Issue Series: Hydrogen)
Show Figures

Graphical abstract

23 pages, 3022 KB  
Article
Pedestrian Physiological Response Map Prediction Model for Street Audiovisual Environments Using LSTM Networks
by Jingwen Xing, Xuyuan He, Xinxin Li, Tianci Wang, Siqing Mao and Luyao Li
Buildings 2026, 16(9), 1648; https://doi.org/10.3390/buildings16091648 - 22 Apr 2026
Abstract
Existing studies of street-related emotional perception mainly rely on static scene evaluations, which cannot capture the cumulative effects of environmental exposure during continuous walking. To address this limitation, this study proposes a method for predicting pedestrian physiological responses in sequential audiovisual street environments. [...] Read more.
Existing studies of street-related emotional perception mainly rely on static scene evaluations, which cannot capture the cumulative effects of environmental exposure during continuous walking. To address this limitation, this study proposes a method for predicting pedestrian physiological responses in sequential audiovisual street environments. Four real-world walking routes were selected, with outbound and return directions treated as independent paths, yielding eight paths and 32 valid samples. EEG, ECG, sound pressure level, first-person video, and GPS data were synchronously collected to construct a 1 s multimodal time-series dataset. Pearson correlation, Kendall correlation, and mutual information analyses were used to examine linear, monotonic, and nonlinear relationships between environmental variables and physiological indicators, and the resulting weights were incorporated into a Long Short-Term Memory (LSTM) model for multi-step prediction. Visual elements and noise exposure were the main factors influencing physiological responses. Among the models, the mutual-information-weighted LSTM performed best, achieving an R2 of 0.77 for heart rate variability (RMSSD), whereas prediction of the EEG ratio (β/α and θ/β) remained limited. An additional independent street sample outside the training set was then used to generate a dual-dimensional EEG-ECG physiological response map, demonstrating the model’s potential for identifying emotional risk segments and supporting street-level micro-renewal. Full article
19 pages, 545 KB  
Systematic Review
Rethinking Meta-Analytic Evidence in TAM-Based Research: From Pooled Effects to Generalizability in E-Banking Contexts
by Elena Druică, Ionela-Andreea Puiu, Călin Vâlsan and Irena Munteanu
J. Theor. Appl. Electron. Commer. Res. 2026, 21(5), 129; https://doi.org/10.3390/jtaer21050129 - 22 Apr 2026
Abstract
The Technology Acceptance Model (TAM) has been widely used to explain e-banking and digital technology adoption. Existing literature supports the robustness of its core relationships, but the magnitude of the effects varies considerably across studies, raising questions about their stability and generalizability in [...] Read more.
The Technology Acceptance Model (TAM) has been widely used to explain e-banking and digital technology adoption. Existing literature supports the robustness of its core relationships, but the magnitude of the effects varies considerably across studies, raising questions about their stability and generalizability in new contexts. Existing meta-analysis studies focus primarily on pooled effect sizes, providing limited insight into the temporal stability of relationships, their sensitivity to individual studies, and the extent to which observed heterogeneity reflects contextual variation. This study contributes by reinterpreting heterogeneity not as a problem to be reduced, but as a feature that defines the limits of generalizability. We advance the TAM literature by moving beyond average effects and rethinking empirical evidence through the joint lens of robustness, stability, and dispersion. We conduct a random-effects meta-analysis on 44 effect sizes (correlation coefficients) coming from 43 research papers indexed in Web of Science and Scopus. In addition to pooled correlations, the analysis employed cumulative meta-analysis, leave-one-out influence diagnostics, prediction intervals, and publication bias assessments to evaluate the evolution, consistency, and variability of TAM relationships across contexts. The findings show that core TAM relationships are consistently positive and stable at the aggregate level yet display substantial variation across empirical settings. While some relationships remain robust across contexts, others exhibit prediction intervals that include zero, indicating that their strength and even direction may depend on contextual conditions. As prior TAM meta-analyses have not systematically incorporated prediction intervals, this study provides new evidence to the extent to which TAM relationships generalize beyond average effects. The results further show that although TAM offers a reliable structural framework, interventions and policies based on its core relationships must be context-sensitive, because relying on average effects alone may lead to ineffective or inconsistent adoption outcomes. Full article
Show Figures

Figure 1

24 pages, 2463 KB  
Article
Operational Energy and Lifecycle Assessment of Envelope Retrofit Strategies for District-Heated Residential Buildings: Comparison of Expanded Polystyrene and Bio-Based Insulation
by Dimitrije Manić, Mirko Komatina, Jelena Topić Božič and Milica Perić
Processes 2026, 14(9), 1329; https://doi.org/10.3390/pr14091329 - 22 Apr 2026
Abstract
Improving the energy performance of existing multi-apartment residential buildings is critical for reducing energy consumption and greenhouse gas emissions in Central and Eastern Europe, where large stocks of post-war buildings with limited insulation are connected to district heating systems. This study evaluates façade [...] Read more.
Improving the energy performance of existing multi-apartment residential buildings is critical for reducing energy consumption and greenhouse gas emissions in Central and Eastern Europe, where large stocks of post-war buildings with limited insulation are connected to district heating systems. This study evaluates façade insulation retrofit strategies for two representative typologies in Novi Beograd, Serbia—a high-rise tower and an elongated slab-type (‘lamella’) building—using calibrated dynamic energy models and cradle-to-use lifecycle assessment (LCA) over a 50-year service life. Models were calibrated against measured 2023–2024 heating consumption data (NMBE < 1%, CVRMSE < 15%) and normalized with Typical Meteorological Year weather for consistent scenario comparison. Retrofit scenarios applied expanded polystyrene (EPS) and cellulose insulation at 10, 12, and 15 cm thicknesses. Results show that external insulation reduces annual heating demand by approximately 19–20% compared to the uninsulated baseline (192 kWh/m2·a), with the majority of savings achieved at 10 cm and only marginal gains from additional thickness. Insulation thickness has a stronger influence on operational energy reduction than material choice, as differences between EPS and cellulose remain below 0.5%. LCA indicates 23.6–26.0% lower climate change impacts and 23.6–25.8% reduced cumulative energy demand in retrofit scenarios, with cellulose offering modest advantages due to lower embodied emissions and biogenic carbon storage. These findings support targeted envelope retrofits as an effective strategy for decarbonizing district-heated residential buildings in the region. Full article
(This article belongs to the Special Issue Manufacturing Processes and Thermal Properties of Composite Materials)
Show Figures

Figure 1

14 pages, 520 KB  
Article
Early Postoperative Outcomes with the Toumai® Surgical System for Robot-Assisted Radical Prostatectomy: A Prospective Comparative Study with da Vinci®
by Bernardo Rocco, Simona Presutti, Antonio Silvestri, Giuseppe Pallotta, Pierluigi Russo, Sara Mastrovito, Simone Assumma, Filippo Maria Turri, Enrico Panio, Francesco Rossi, Giovanni Battista Filomena, Filippo Gavi, Vincenzo Cavarra, Or Schubert, Giovanni Balocchi, Carlo Gandi, Francesco Pinto, Nazario Foschi, Angelo Totaro and Maria Chiara Sighinolfi
Cancers 2026, 18(9), 1321; https://doi.org/10.3390/cancers18091321 - 22 Apr 2026
Abstract
Background: Prostate cancer (PCa) imposes a substantial global health burden, with robot-assisted radical prostatectomy (RARP) established as the gold standard for localized disease. While da Vinci® Xi maintains market dominance, Toumai® MT-1000 offers a potentially cost-competitive alternative lacking prospective validation. [...] Read more.
Background: Prostate cancer (PCa) imposes a substantial global health burden, with robot-assisted radical prostatectomy (RARP) established as the gold standard for localized disease. While da Vinci® Xi maintains market dominance, Toumai® MT-1000 offers a potentially cost-competitive alternative lacking prospective validation. Objective: To evaluate perioperative safety, oncologic quality (primary endpoint: positive surgical margins), early functional recovery (continence), and surgeon learning curve between Toumai® MT-1000 (T-RARP) and da Vinci® Xi RARP (DV-RARP) performed in high-volume European practice. Materials and Methods: This is a prospective single-center comparative study carried out at Policlinico Gemelli, Rome (May–November 2025), enrolling 80 patients with localized or locally advanced PCa, elected for radical prostatectomy and casually allocated to receive surgery with Toumai or the da Vinci robotic platform. The primary endpoint was the comparison of positive surgical margin (PSM) rates. Secondary endpoints included the comparison of operative time (skin-to-skin), estimated blood loss, length of hospital stay, 45-day postop outcomes, specifically Clavien–Dindo complications, urinary continence recovery (0–1 pad/day), and IIEF-5 scores. Learning curve was evaluated through the cumulative summation (CUSUM) analysis of operative times and linear regression of operative times (n = 80 cases). The analyses used STATA 19 with two-sided tests at p < 0.05 significance. Results: Baseline characteristics showed balance between cohorts (p > 0.05 for most covariates). Perioperative outcomes proved equivalent: median operative time (OT) was 192.5 min (IQR 165–230) for Toumai® versus 183.5 min (IQR 147–225) for da Vinci® Xi (p = 0.38); estimated blood loss (EBL) was 150 mL in both groups (p = 0.87); length of hospital stay (LOS) was 2 days in both groups (p = 0.92). PSM rates were identical at 17.5% (p = 0.79). Continence recovery reached 72.5% versus 80% (p = 0.43). Complications (Clavien–Dindo ≥ II) occurred in 7.5% versus 12.5% of cases (p = 0.45). The CUSUM analysis demonstrated operative time proficiency after only four procedures; operative time regression showed no significant trend (p = 0.38). Conclusions: Toumai® MT-1000 demonstrates similar performance to da Vinci® Xi across different RARP quality metrics, with no detectable learning curve for surgeons previously experienced with da Vinci. These findings support a safe integration of cost-effective platforms into clinical practice, pending multicenter randomized confirmation. Full article
Show Figures

Figure 1

61 pages, 1488 KB  
Review
Synergistic Interactions Between Medicinal Plant Bioactive and Standard Chemotherapy in Gastric Cancer: Preclinical Evidence and Translational Pitfalls
by Emilia Daliana Muntean, Daniela-Cornelia Lazăr, Ana-Maria Pah, Christian Banciu, Sorin-Dan Chiriac, Iasmina Denisa Boantă, Florin Muntean, Iulian-Alexandru Blidişel, George-Andrei Drăghici and Radu Jipa
Biomedicines 2026, 14(4), 947; https://doi.org/10.3390/biomedicines14040947 - 21 Apr 2026
Abstract
Gastric cancer remains a highly heterogeneous malignancy in which chemotherapy response is limited by intrinsic and acquired resistance, cumulative toxicity, and the restricted predictive value of conventional preclinical models. This review critically synthesizes evidence on selected medicinal plants and their bioactive phytocompounds as [...] Read more.
Gastric cancer remains a highly heterogeneous malignancy in which chemotherapy response is limited by intrinsic and acquired resistance, cumulative toxicity, and the restricted predictive value of conventional preclinical models. This review critically synthesizes evidence on selected medicinal plants and their bioactive phytocompounds as adjuncts to standard chemotherapy for gastric cancer, with an emphasis on mechanistic plausibility, preclinical synergy, and translational barriers. Across the reviewed literature, phytocompounds from Curcuma longa, Scutellaria baicalensis, Camellia sinensis, Syzygium aromaticum, Glycyrrhiza glabra, Allium sativum, Marsdenia tenacissima, and Rhus verniciflua showed anticancer or chemopreventive activity through multitarget effects on apoptosis, proliferation, invasion, inflammation, oxidative stress, and resistance-associated signaling. The most convincing chemosensitizing evidence involved curcumin, wogonin, baicalein, EGCG, which enhanced the activity of fluoropyrimidines, platinum agents, paclitaxel, doxorubicin, or related antitumor regimens in selected gastric cancer models. However, the evidence base remains heterogeneous and is constrained by variable extract standardization, incomplete dose reporting, poor bioavailability, insufficient pharmacokinetic/pharmacodynamic integration, and underuse of clinically relevant model systems. Overall, medicinal plant bioactives remain promising adjunct candidates in gastric cancer. Still, meaningful translation will require chemically defined interventions, rigorous synergy analysis, interaction-aware study design, and validation in advanced preclinical and clinical settings. Full article
(This article belongs to the Section Cancer Biology and Oncology)
21 pages, 1095 KB  
Article
Risk Assessment of Distribution Network Based on Dirichlet Process Mixture Model and the Cumulant Method
by Yuxuan Huang, Yuwei Chen, Zhenguo Shao, Feixiong Chen, Yunting Shao, Yifan Zhang and Changming Chen
Inventions 2026, 11(2), 42; https://doi.org/10.3390/inventions11020042 - 21 Apr 2026
Abstract
To address the increased operational risk in distribution network caused by the grid integration of distributed wind power, a distribution network risk assessment method that combines a Dirichlet process mixture model (DPMM) with the cumulant method (CM) is proposed, to achieve effective quantification [...] Read more.
To address the increased operational risk in distribution network caused by the grid integration of distributed wind power, a distribution network risk assessment method that combines a Dirichlet process mixture model (DPMM) with the cumulant method (CM) is proposed, to achieve effective quantification of operational risk. Firstly, a DPMM is employed to cluster wind power output data, and adaptive kernel density estimation is introduced to construct a probabilistic model of wind power output, thereby improving local fitting accuracy. Secondly, uncertainties arising from wind generation and load are considered, and a probabilistic power flow model for the distribution network is established based on the CM and the Gram–Charlier series expansion, in order to obtain the probability distributions of state variables and branch power flows. Then, distribution entropy theory is introduced to quantify the severity of limit violations for state variables such as voltage and power, so that operational risk assessment is enabled. Finally, simulations are conducted on a modified IEEE 34-bus distribution test system, and the results demonstrate the effectiveness of the proposed method. Full article
(This article belongs to the Special Issue Recent Advances and Challenges in Emerging Power Systems: 3rd Edition)
12 pages, 523 KB  
Systematic Review
Management of Ogilvie’s Syndrome: A Network Meta-Analysis
by Orestis Ioannidis, Christos Chatzakis, Ioannis Mitrogiannis, Elissavet Anestiadou, Aliki Brenta, Savvas Symeonidis, Stefanos Bitsianis, Efstathios Kotidis, Manousos George Pramateftakis, Ioannis Mantzoros and Stamatios Angelopoulos
J. Clin. Med. 2026, 15(8), 3177; https://doi.org/10.3390/jcm15083177 - 21 Apr 2026
Abstract
Background/Objectives: Ogilvie’s syndrome, or acute colonic pseudo-obstruction (ACPO), is defined by acute colonic dilatation without mechanical obstruction and carries a risk of ischemia and perforation if not promptly managed. Treatment strategies include conservative supportive care, neostigmine administration, colonoscopic decompression, and combinations of these [...] Read more.
Background/Objectives: Ogilvie’s syndrome, or acute colonic pseudo-obstruction (ACPO), is defined by acute colonic dilatation without mechanical obstruction and carries a risk of ischemia and perforation if not promptly managed. Treatment strategies include conservative supportive care, neostigmine administration, colonoscopic decompression, and combinations of these approaches. The aim of this study was to compare the relative effectiveness of these interventions for symptom resolution using a network meta-analysis. Methods: A systematic search of PubMed, Embase, Scopus, the Cochrane Central Register of Controlled Trials, ClinicalTrials.gov, and grey literature was conducted from inception in February 2025 to November 2025. Prospective cohort and case–control studies evaluating conservative supportive care, neostigmine, colonoscopic decompression, or their combinations were included. A random-effects network meta-analysis was performed using odds ratios (ORs) with 95% confidence intervals (CIs). Treatment ranking was assessed using surface under the cumulative ranking curve (SUCRA) values. Risk of bias was evaluated using the Newcastle–Ottawa Scale (NOS). Results: Four studies comprising 172 patients were included. Compared with supportive care alone, supportive care combined with neostigmine was associated with higher odds of symptom resolution (network OR 13.86, 95% CI 3.06–62.83). Supportive care combined with colonoscopic decompression demonstrated an even greater effect (network OR 65.65, 95% CI 11.70–368.50). Colonoscopic decompression versus neostigmine yielded a network OR of 4.74 (95% CI 1.17–19.25). SUCRA rankings indicated that colonoscopic decompression combined with supportive care had the highest probability of being the most effective strategy. Conclusions: Active interventions, particularly colonoscopic decompression or neostigmine combined with supportive care, were associated with a higher incidence of symptom resolution compared to supportive care alone. Larger comparative studies are needed to confirm these findings and refine treatment selection. Full article
(This article belongs to the Special Issue Personalized Management of Abdominal Surgery and Complications)
35 pages, 2319 KB  
Review
An Overview of the Application of Modern Statistical Techniques in Semiconductor Manufacturing
by Hsuan-Yu Chen and Chiachung Chen
Appl. Syst. Innov. 2026, 9(4), 83; https://doi.org/10.3390/asi9040083 - 21 Apr 2026
Abstract
The semiconductor industry has long relied on Statistical Process Control (SPC) for yield and reliability management. In early technology nodes, classic univariate tools such as Shewhart charts, cumulative sums (CUSUM), exponentially weighted moving averages (EWMA), and the Cp/Cpk exponent could effectively monitor a [...] Read more.
The semiconductor industry has long relied on Statistical Process Control (SPC) for yield and reliability management. In early technology nodes, classic univariate tools such as Shewhart charts, cumulative sums (CUSUM), exponentially weighted moving averages (EWMA), and the Cp/Cpk exponent could effectively monitor a finite set of key variables. However, sub-5nm and emerging 3 nm technologies have fundamentally changed the statistical environment. Advanced patterning, high-aspect-ratio etching, atomic layer deposition (ALD), chemical-mechanical polishing (CMP), and novel materials have drastically narrowed the process window. At these scales, nanometer-level deviations in critical dimensions (CD), overlay, or surface roughness can significantly impact yield. Simultaneously, modern wafer fabs generate massive amounts of high-frequency sensor data and high-dimensional metrology data. Traditional SPC assumptions—such as independence, normality, low dimensionality, and stationarity—often do not hold. Semiconductor data exhibits: (i) extremely high-dimensionality and strong intervariate correlations; (ii) a hierarchical structure encompassing fab → tooling → chamber → recipe → batch → wafer → field; and (iii) metrological delays and sampling limitations leading to incomplete and asynchronous observations. To address these challenges, this paper reviews advanced statistical methods applicable to wafer fabrication. These methods include multivariate statistical process control (MSPC) approaches such as Hotelling T2 statistics, PCA/PLS combining T2 and Q statistics, contribution diagnostics, time-series drift and change point detection, and Bayesian hierarchical modeling for uncertainty-aware monitoring in data-limited scenarios. Furthermore, we discuss how to integrate these methods with fault detection and classification (FDC), line-to-line monitoring (R2R), advanced process control (APC), and manufacturing execution systems (MES). This paper focuses on scalable, interpretable, and maintainable implementations that transform statistical analysis from a passive monitoring tool into an active component of data-driven fab control. Full article
Show Figures

Figure 1

22 pages, 5240 KB  
Article
Visual Localization for Deep-Sea Mining Vehicles During Operation
by Yangrui Cheng, Bingkun Wang, Xiaojun Zhuo, Kai Liu and Yingjie Guan
J. Mar. Sci. Eng. 2026, 14(8), 759; https://doi.org/10.3390/jmse14080759 - 21 Apr 2026
Abstract
Deep-sea mining operations demand continuous, drift-free positioning over multi-day missions—a requirement that traditional acoustic dead-reckoning systems struggle to meet due to cumulative error accumulation and frequent DVL bottom-lock loss in sediment plume environments. Inspired by Google Cartographer’s 2D grid mapping paradigm, we present [...] Read more.
Deep-sea mining operations demand continuous, drift-free positioning over multi-day missions—a requirement that traditional acoustic dead-reckoning systems struggle to meet due to cumulative error accumulation and frequent DVL bottom-lock loss in sediment plume environments. Inspired by Google Cartographer’s 2D grid mapping paradigm, we present a prior map-based visual localization framework that decouples offline mapping from real-time localization, fundamentally eliminating drift through absolute image registration against pre-built seabed mosaics. By integrating adaptive keyframe selection, Multi-Scale Retinex (MSR) enhancement, and the AD-LG deep feature matching architecture, our system constructs globally consistent seabed maps for absolute positioning. The framework leverages deformable convolutions and LightGlue to effectively mitigate challenges such as low texture and non-rigid distortion. Quantitative validation on tank simulation datasets demonstrates significant superiority over IMU-only and standard fusion schemes; qualitative deployment on real Pacific CCZ imagery confirms near-real-time operational feasibility on an embedded Jetson Orin NX platform. This system establishes visual navigation as a viable backup to acoustic systems, addressing a critical gap in deep-sea mining vehicle autonomy. Full article
(This article belongs to the Special Issue Advances in Underwater Positioning and Navigation Technology)
23 pages, 2751 KB  
Article
Evaluating the Role of Conserved Lands in Supporting Wetland Hydrology in Working Agricultural Landscapes
by Pranjay Joshi, Jahangeer Jahangeer and Zhenghong Tang
Sustainability 2026, 18(8), 4124; https://doi.org/10.3390/su18084124 - 21 Apr 2026
Abstract
Conserved lands play a central role in sustaining ecological functions within working agricultural regions, yet their capacity to maintain wetland conditions varies widely depending on hydrologic persistence and seasonal dynamics. This study assesses the hydrologic performance of Nebraska’s major conservation programs using multi-year [...] Read more.
Conserved lands play a central role in sustaining ecological functions within working agricultural regions, yet their capacity to maintain wetland conditions varies widely depending on hydrologic persistence and seasonal dynamics. This study assesses the hydrologic performance of Nebraska’s major conservation programs using multi-year Sentinel-2 satellite observations spanning from 2018 to 2024. Five land-protection categories were evaluated: the Wetlands Reserve Program (WRP), Wildlife Management Areas (WMAs), Waterfowl Production Areas (WPAs), the Conservation Reserve Program (CRP), and additional protected lands mapped in the Protected Areas Database of the United States (PAD-US). To capture hydrologic dynamics across scales, we quantified parcel-level inundation percentages alongside program-level wetness metrics that represent cumulative surface-water extent. Lands enrolled in WRP and WPA generally exhibited higher inundation levels at the 0% threshold across annual and seasonal periods, with variability across programs, reflecting their role in wetland restoration and habitat provision. WMAs showed greater seasonal variability but retained water under higher persistence thresholds (≥25% and ≥50%), underscoring their importance in maintaining semi-permanent wetland conditions during drier periods. Wetland-associated CRP lands provide essential short-duration wetness that supports regional hydrologic connectivity across working agricultural landscapes. Similar seasonal patterns were observed across other protected lands, which generally contributed to episodic surface water rather than long-term hydrologic storage. Seasonal analyses highlighted strong intra-annual variability driven by snowmelt, precipitation regimes, and evapotranspiration. Collectively, the results demonstrate substantial differences in hydrologic function among conservation programs and provide an empirical basis for prioritizing investments toward lands that most effectively sustain wetland habitats and water-quality benefits. Full article
Show Figures

Figure 1

17 pages, 412 KB  
Article
Functional Evaluation of Pomegranate (Punica granatum) Juice Byproducts as Dietary Additives in Red Seabream (Pagrus major): Effects on Growth Performance, Antioxidant Response, Immunity, and Resistance to Edwardsiella tarda
by Ki-Tae Kim, Tae Hoon Lee, Hwa Yong Oh, Da Ye Kang, Do Hyun Kwon, Young Wook Kim, Bo Seong Gu, Dona Thilini Udarika Samaraweera and Hee Sung Kim
Antioxidants 2026, 15(4), 517; https://doi.org/10.3390/antiox15040517 - 21 Apr 2026
Abstract
This study evaluated the potential of pomegranate (Punica granatum) juice byproducts (PJB) as a functional dietary additive for juvenile red seabream (Pagrus major). Four experimental diets were formulated to contain various levels of PJB (0, 2.5, 5.0, and 10.0 [...] Read more.
This study evaluated the potential of pomegranate (Punica granatum) juice byproducts (PJB) as a functional dietary additive for juvenile red seabream (Pagrus major). Four experimental diets were formulated to contain various levels of PJB (0, 2.5, 5.0, and 10.0 g/kg) and fed to fish with an initial body weight of 7.0 ± 0.01 g for 8 weeks. Growth performance, feed utilization, digestive enzyme activity, whole-body composition, plasma biochemical parameters, antioxidant responses, immune parameters, and resistance to Edwardsiella tarda infection were evaluated. Fish fed the diet containing 2.5 g/kg PJB exhibited significantly higher final body weight, weight gain, and specific growth rate compared with the control group and those with higher PJB doses, whereas feed intake, feed efficiency, and protein efficiency ratio were not significantly affected by dietary treatment. Intestinal trypsin and lipase activities were significantly elevated in the PJB2.5 group, whereas amylase activity remained unchanged. Whole-body proximate composition and plasma biochemical parameters, including aspartate aminotransferase, alanine aminotransferase, total cholesterol, glucose, and total protein, were not significantly influenced by dietary PJB supplementation. Dietary inclusion of PJB at 2.5 g/kg also significantly enhanced plasma antioxidant enzyme activities, as evidenced by increased superoxide dismutase and glutathione levels, while catalase activity was elevated in fish fed the PJB2.5 and PJB5 diets. Innate immune responses were also stimulated, with significantly higher serum lysozyme activity and interleukin-1 levels observed in fish fed the PJB2.5 diet. Following experimental challenge with E. tarda, fish fed diets containing 2.5 and 5.0 g/kg PJB exhibited significantly higher cumulative survival than the control group. In conclusion, dietary supplementation with PJB at 2.5 g/kg improved growth performance, digestive capacity, antioxidant status, innate immune responses, and disease resistance in juvenile P. major without adverse physiological effects. Full article
(This article belongs to the Special Issue Natural Antioxidants and Aquatic Animal Health—3rd Edition)
Show Figures

Figure 1

Back to TopTop