Sign in to use this feature.

Years

Between: -

Subjects

remove_circle_outline
remove_circle_outline
remove_circle_outline
remove_circle_outline
remove_circle_outline
remove_circle_outline
remove_circle_outline
remove_circle_outline
remove_circle_outline

Journals

remove_circle_outline
remove_circle_outline
remove_circle_outline
remove_circle_outline
remove_circle_outline
remove_circle_outline
remove_circle_outline
remove_circle_outline
remove_circle_outline
remove_circle_outline
remove_circle_outline
remove_circle_outline
remove_circle_outline
remove_circle_outline
remove_circle_outline
remove_circle_outline

Article Types

Countries / Regions

remove_circle_outline
remove_circle_outline
remove_circle_outline
remove_circle_outline
remove_circle_outline
remove_circle_outline
remove_circle_outline
remove_circle_outline
remove_circle_outline

Search Results (1,872)

Search Parameters:
Keywords = critical source area

Order results
Result details
Results per page
Select all
Export citation of selected articles as:
52 pages, 9766 KB  
Article
Vegetation Phenological Responses to Multi-Factor Climate Forcing on the Tibetan Plateau: Nonlinear and Spatially Heterogeneous Mechanisms
by Liuxing Xu, Ruicheng Xu and Wenfu Peng
Land 2025, 14(11), 2238; https://doi.org/10.3390/land14112238 (registering DOI) - 12 Nov 2025
Abstract
The Tibetan Plateau is a globally critical climate-sensitive and ecologically fragile region. Vegetation phenology serves as a key indicator of ecosystem responses to climate change and simultaneously influences regional carbon cycling, water regulation, and ecological security. However, systematic quantitative assessments of phenological responses [...] Read more.
The Tibetan Plateau is a globally critical climate-sensitive and ecologically fragile region. Vegetation phenology serves as a key indicator of ecosystem responses to climate change and simultaneously influences regional carbon cycling, water regulation, and ecological security. However, systematic quantitative assessments of phenological responses under the combined effects of multiple climate factors remain limited. This study integrates multi-source remote sensing data (MODIS MCD12Q2) and ERA5-Land meteorological data from 2001 to 2023, leveraging the Google Earth Engine (GEE) cloud platform to extract key phenological metrics, including the start (SOS) and end (EOS) of the growing season, and growing season length (GSL). Sen’s slope estimation, Mann–Kendall trend tests, and partial correlation analyses were applied to quantify the independent effects and spatial heterogeneity of temperature, precipitation, solar radiation, and evapotranspiration (ET) on GSL. Results indicate that: (1) GSL on the Tibetan Plateau has significantly increased, averaging 0.24 days per year (Sen’s slope +0.183 days/yr, Z = 3.21, p < 0.001; linear regression +0.253 days/yr, decadal trend 2.53 days, p = 0.0007), primarily driven by earlier spring onset (SOS: Sen’s slope −0.183 days/yr, Z = −3.85, p < 0.001), while autumn dormancy (EOS) showed limited delay (Sen’s slope +0.051 days/yr, Z = 0.78, p = 0.435). (2) GSL changes exhibit pronounced spatial heterogeneity and ecosystem-specific responses: southeastern warm–wet regions display the strongest responses, with temperature as the dominant driver (mean partial correlation coefficient 0.62); in high–cold arid regions, warming substantially extends GSL (Z = 3.8, p < 0.001), whereas in warm–wet regions, growth may be constrained by water stress (Z = −2.3, p < 0.05). Grasslands (Z = 3.6, p < 0.001) and urban areas (Z = 3.2, p < 0.01) show the largest GSL extension, while evergreen forests and wetlands remain relatively stable, reflecting both the “climate sentinel” role of sensitive ecosystems and the carbon sequestration value of stable ecosystems. (3) Multi-factor interactions are complex and nonlinear; temperature, precipitation, radiation, and ET interact significantly, and extreme climate events may induce lagged effects, with clear thresholds and spatial dependence. (4) The use of GEE enables large-scale, multi-year, pixel-level GSL analysis, providing high-precision evidence for phenological quantification and critical parameters for carbon cycle modeling, ecosystem service assessment, and adaptive management. Overall, this study systematically reveals the lengthening and asymmetric patterns of GSL on the Tibetan Plateau, elucidates diverse land cover and climate responses, advances understanding of high-altitude ecosystem adaptability and climate resilience, and provides scientific guidance for regional ecological protection, sustainable management, and future phenology prediction. Full article
Show Figures

Graphical abstract

13 pages, 569 KB  
Article
Quality of Online Patient Information on Surgical Management of Hidradenitis Suppurativa: A Comprehensive Assessment Using the mEQIP Tool
by Marco Marcasciano, Martina Astolfi, Medea Pintaudi, Emanuele Vittori, Giuseppe Antonio D’Amico, Alessia Pagnotta, Luigi Bennardo, Michele Rosario Colonna, Steven Paul Nisticò and Manfredi Greco
J. Clin. Med. 2025, 14(22), 7990; https://doi.org/10.3390/jcm14227990 - 11 Nov 2025
Abstract
Background: Hidradenitis suppurativa (HS) is a chronic inflammatory disorder characterized by recurrent nodules, abscesses, and sinus tracts in apocrine gland-bearing areas. Surgery plays a key role in moderate-to-severe disease. As patients increasingly rely on the internet for decision-making, the quality of online information [...] Read more.
Background: Hidradenitis suppurativa (HS) is a chronic inflammatory disorder characterized by recurrent nodules, abscesses, and sinus tracts in apocrine gland-bearing areas. Surgery plays a key role in moderate-to-severe disease. As patients increasingly rely on the internet for decision-making, the quality of online information on HS surgery requires critical evaluation. Previous studies have shown poor quality and limited coverage of surgical aspects. This study systematically assesses publicly available websites on the surgical and reconstructive management of HS, quantifies their quality using the modified Ensuring Quality Information for Patients (mEQIP) tool, and identifies areas needing improvement to support informed decisions. Methods: Google, Bing, and Yahoo were searched using five HS surgery-related keywords. The first 50 results per keyword and engine were collected (n = 750), and 214 websites met the inclusion criteria. Sites were categorized by provenance (practitioners, hospitals, healthcare portals, professional societies, encyclopedias) and assessed using the 36-item mEQIP checklist. High quality was defined as ≥23/36 (75th percentile). Comparisons were made by publication era (pre-/post-COVID-19) and source type. Results: The mean mEQIP score was 21.7; only 51 websites (23.8%) met the high-quality threshold. No significant difference emerged between pre- and post-COVID publications. Healthcare portals scored highest (22.8), followed by practitioners (21.5) and hospital sites (21.2); professional societies (19.7) and encyclopedias (17.3) performed worst. Major deficiencies included limited discussion of surgical risks, quality-of-life outcomes, and postoperative care. Conclusions: Online resources on HS surgery are frequently incomplete and omit essential details on risks, recurrence, and reconstructive options. Surgeons should direct patients toward vetted sources, and professional societies should develop accessible, evidence-based patient guidelines. Full article
Show Figures

Figure 1

16 pages, 4838 KB  
Article
Exploring Accelerated Aging Stress for Physical Unclonable Function Self-Corruption
by Eric Hunt-Schroeder and Tian Xia
Chips 2025, 4(4), 48; https://doi.org/10.3390/chips4040048 - 11 Nov 2025
Abstract
Silicon-Based Physical Unclonable Functions (PUFs) exploit inherent manufacturing variations to produce a unique, random, and ideally unclonable secret key. As electronic devices are decommissioned and sent for End of Life (EOL) recycling, the encrypted critical program information remains within the device. However, conventional [...] Read more.
Silicon-Based Physical Unclonable Functions (PUFs) exploit inherent manufacturing variations to produce a unique, random, and ideally unclonable secret key. As electronic devices are decommissioned and sent for End of Life (EOL) recycling, the encrypted critical program information remains within the device. However, conventional PUFs remain vulnerable to invasive attacks and reverse engineering that with sufficient time, resources, and effort can enable an adversary to bypass the security enclave of the system and extract this secret data. Recent research has started to explore techniques to respond to tamper attempts using electromigration (EM) and time-dependent dielectric breakdown (TDDB) to the PUF entropy source, preventing future authentication attempts with well-known semiconductor reliability failure mechanisms. This work presents a Pre-Amplifier Physical Unclonable Function (Pre-Amp PUF) with a self-corruption function designed and manufactured in a 3 nm FinFET technology. This PUF can perform a destructive read operation as an EOL anti-counterfeit measure against recycled and reused electronics. The destructive read utilizes an accelerated aging technique that exploits both Hot Carrier Injection (HCI) and Bias Temperature Instability (BTI) degradations directly at the PUF entropy source bitcell data. This work demonstrates a silicon proven ability to irreversibly corrupt the encryption key, invalidating the PUF key, and blocking future authentication attempts. By utilizing HCI and BTI aging effects rather than physical damage a PUF that can self-corrupt its own key without being detectable with imaging techniques is demonstrated for the first time. A feedback loop enables corruption of up to ~30% of the PUF entropy source, which is approximately 3× more data corruption than the prior state of the art self-corrupting PUF. Our technique reuses on-chip stable (repeatable) PUF bitcells identifying circuitry and thereby minimizes the area overhead to support this differentiated feature. Full article
(This article belongs to the Special Issue Emerging Issues in Hardware and IC System Security)
Show Figures

Figure 1

19 pages, 1682 KB  
Article
Assessing Port Facility Safety: A Comparative Analysis of Global Accident and Injury Databases
by Antonio Giovannetti, Marco Gotelli, Vittorio Solina and Flavio Tonelli
Appl. Sci. 2025, 15(22), 11961; https://doi.org/10.3390/app152211961 - 11 Nov 2025
Abstract
Maritime transportation plays a vital role in international trade and commerce, with ports serving as critical points of connection between land and sea transportation systems. The operational efficiency of port facilities is essential to ensure the uninterrupted flow of goods and services, making [...] Read more.
Maritime transportation plays a vital role in international trade and commerce, with ports serving as critical points of connection between land and sea transportation systems. The operational efficiency of port facilities is essential to ensure the uninterrupted flow of goods and services, making port safety a top priority for governments, authorities, and shipping companies. Due to the importance of Occupational Health and Safety (OHS) within port environments, it is crucial to develop a structured framework in order to collect and analyze port accidents data. Today there are several different national agencies, private organizations, and/or local regulatory bodies taking charge of these data over different areas, each with variations in how they document and classify the events; in addition these are frequently limited to only major disasters and/or summary statistics. This paper aims to create a general framework to collect and fuse open-source port accident data from different sources in a structured way and to analyze the safety conditions of port facilities by conducting a comparative evaluation based on design of experiment (DoE). Through this analysis, we identify common causes of accidents and injuries in port facilities, as well as any differences in safety conditions across regions, types of port facilities, and other relevant factors. This information can be used to inform policies and practices aimed at improving port safety, reducing accidents and injuries, and ultimately enhancing the efficiency and sustainability of maritime transportation systems. The motivation to develop this research relies on the necessity to define requirements for the development of innovative solutions to be developed by the authors using modeling and simulation (M&S) and XR (extended reality) in order to increase safety in these contexts. Full article
Show Figures

Figure 1

18 pages, 5099 KB  
Article
Fleet Monitoring of Bridge Using Direct Calculation of Moving Reference Influence Line
by Yifei Ren, Jiangang Tian, Eugene J. OBrien, Tong Zhu, Ekin Ozer, Wanheng Li, Shoushan Cheng, Haifang He and Kun Feng
Appl. Sci. 2025, 15(22), 11960; https://doi.org/10.3390/app152211960 - 11 Nov 2025
Abstract
Bridges are critical components of transport networks, yet they inevitably deteriorate over time. Damage in a bridge reduces its stiffness, altering both its static and dynamic responses to loading. This change also affects the dynamic excitation of the loading source, such as a [...] Read more.
Bridges are critical components of transport networks, yet they inevitably deteriorate over time. Damage in a bridge reduces its stiffness, altering both its static and dynamic responses to loading. This change also affects the dynamic excitation of the loading source, such as a passing vehicle, meaning that vehicle vibrations can be used to infer bridge damage. Deflections under a moving instrumented axle are influenced by both bridge and vehicle properties, making them unique to each vehicle. To extract meaningful information about bridge conditions, these data must therefore be transformed into a form independent of vehicle characteristics. The bridge influence line, defined as the response to a unit moving load, provides a reliable descriptor of structural behaviour that is unaffected by vehicle properties. In this study, a fleet of vehicles is simulated to generate acceleration signals, from which bridge influence lines are derived using the inverse Newmark–beta method. Two damage indicators are proposed: D1, derived from the mid-span point of the mean Moving Reference Influence Line (MRIL), and D2, defined as the area under the mean MRIL curve. Results show that both indicators can effectively detect global bridge damage. D2 exhibits a clear linear relationship with stiffness loss and remains stable under varying speeds and noise levels, whereas D1 is more sensitive to factors such as measurement noise, vehicle speed, and variations in vehicle properties, but remains reliable at lower speeds and moderate noise levels. Measurement errors are simulated by adding random noise to the acceleration inputs, and the fleet monitoring approach is shown to mitigate these effects, enhancing the overall accuracy and robustness of bridge damage detection. Full article
(This article belongs to the Section Civil Engineering)
Show Figures

Figure 1

23 pages, 4140 KB  
Article
The Evolution of Renewable Energy Sources in the Visegrad Four Countries: A Comparative Study of Trends and Policies
by Maksym Mykhei, Lucia Domaracká, Marcela Taušová, Damiána Šaffová, Peter Tauš, Barbara Kowal and Ibrahim Alkhalaf
Energies 2025, 18(22), 5907; https://doi.org/10.3390/en18225907 - 10 Nov 2025
Abstract
This article examines the current state of renewable energy sources (RES) in the Visegrad Four (V4) countries in the context of historical developments and the influence of national policies. The primary aim of this study is to compare progress, challenges, and opportunities in [...] Read more.
This article examines the current state of renewable energy sources (RES) in the Visegrad Four (V4) countries in the context of historical developments and the influence of national policies. The primary aim of this study is to compare progress, challenges, and opportunities in RES development across the V4 countries between 2014 and 2022, using standardised per capita indicators and combining political and technical analyses. Our methodology involves analysing statistical data from Eurostat and the IEA, conducting a qualitative assessment of RES support policies, and performing ANOVA to verify the statistical significance of differences between countries. The findings suggest that countries such as the Czech Republic and Hungary have made significant progress in decarbonising their energy sectors. At the same time, Poland and Slovakia face greater challenges—Slovakia, in particular, due to its greater reliance on biomass and political turbulence. Poland has long lagged in developing RES, mainly due to its strong dependence on coal, but it is now becoming a leader in implementing RES within the V4. The main obstacles to the development of RES include insufficient political and legislative support and administrative barriers that hinder the adoption of new technologies. Another critical factor is public concern about the potential negative impacts of RES on quality of life, which may stem from a lack of information and education in this area, as well as from political intentions. To improve the situation, it is necessary to increase transparency, provide relevant education, and involve local communities in decision-making processes. Ensuring a stable political and legislative framework and adequate financing are key to achieving ambitious renewable energy targets in the region. Full article
(This article belongs to the Special Issue Sustainable Energy Management for a Circular Economy)
Show Figures

Figure 1

18 pages, 443 KB  
Article
Detection Method for Closed-Source VxWorks Memory Protection Mechanisms Based on Dynamic Instruction Translation Monitoring
by Yixin Guo, Youwei Zhang and Yan Cao
Electronics 2025, 14(22), 4382; https://doi.org/10.3390/electronics14224382 - 10 Nov 2025
Abstract
In embedded real-time operating systems, memory protection mechanisms are critical for ensuring system security. However, for closed-source platforms like VxWorks, widely used in critical domains such as aerospace and industrial control, existing methods struggle to effectively detect the runtime status of memory protection [...] Read more.
In embedded real-time operating systems, memory protection mechanisms are critical for ensuring system security. However, for closed-source platforms like VxWorks, widely used in critical domains such as aerospace and industrial control, existing methods struggle to effectively detect the runtime status of memory protection mechanisms without access to source code. In contrast, research on memory protection mechanisms (e.g., ASLR and DEP) in Windows and Linux has developed into a mature field, highlighting the research intensity in this area. This paper proposes a detection method tailored for VxWorks, which instruments function call instructions at the QEMU TCG layer to dynamically reconstruct call chains and combines this with static modeling to automatically identify the activation status of key memory protection mechanisms, such as text segment write protection and stack non-executability. To validate the method’s effectiveness, three groups of firmware samples were designed, representing scenarios with no protection, partial protection, and full protection enabled. Experimental results demonstrate that the method delivers stable and reliable detection across various configurations, with no false positives or false negatives. Furthermore, open-source test cases enhance the credibility and reproducibility of the experiments. This approach, characterized by automation, non-intrusiveness, and high adaptability, provides an efficient tool for verifying the security configurations of closed-source embedded systems. Full article
Show Figures

Figure 1

23 pages, 15702 KB  
Article
Provenance of Wushan Loess in the Yangtze Three Gorges Region: Insights from Detrital Zircon U-Pb Geochronology and Late Pleistocene East Asian Monsoon Variations
by Xulong Hu, Yufen Zhang, Chang’an Li, Guoqing Li, Juxiang Liu, Yawei Li, Jianchao Su and Mingming Jia
Minerals 2025, 15(11), 1180; https://doi.org/10.3390/min15111180 - 9 Nov 2025
Viewed by 122
Abstract
The Wushan Loess, situated in the Yangtze Three Gorges region of China, represents the southernmost aeolian loess deposit in China and provides critical insights into Late Pleistocene paleoenvironmental conditions and East Asian monsoon dynamics. Despite its significance, the genesis and provenance of this [...] Read more.
The Wushan Loess, situated in the Yangtze Three Gorges region of China, represents the southernmost aeolian loess deposit in China and provides critical insights into Late Pleistocene paleoenvironmental conditions and East Asian monsoon dynamics. Despite its significance, the genesis and provenance of this unique loess deposit remain controversial. This study employs an integrated multi-proxy approach combining detrital zircon U-Pb geochronology, optically stimulated luminescence (OSL) dating, and detailed grain size analysis to systematically investigate the provenance and depositional mechanisms of the Wushan Loess. Three representative loess–paleosol profiles (Gaotang-GT, Badong-BD, and Zigui-ZG) were analyzed, yielding 17 OSL ages, 729 grain size measurements, and approximately 420 analyses per profile were conducted, yielding 1189 valid ages (GT 406, BD 391, ZG 402). OSL chronology constrains the deposition period to 18–103 ka (Marine Isotope Stages 2–5), coinciding with enhanced East Asian winter monsoon activity during the Last Glacial period. Grain size analysis reveals a dominant silt fraction (modal size: 20–25 μm) characteristic of aeolian transport, with coarse silt (20–63 μm) averaging 47.1% and fine silt (<20 μm) averaging 44.2% of the sediments. Detrital zircon U-Pb age spectra exhibit consistent major peaks at 200–220 Ma, 450–500 Ma, 720–780 Ma, and 1800–1850 Ma across all profiles. Kernel Density Estimation (KDE) and Multi-Dimensional Scaling (MDS) analyses indicate a mixed provenance model. Non-negative least squares (NNLS) unmixing confirms this quantitative source apportionment., dominated by proximal contributions from the upper Yangtze River basin (including the Three Gorges area and Sichuan Basin, ~65%–70%), supplemented by distal dust input from the Loess Plateau and northern Chinese deserts (~30%–35%). This study establishes for the first time a proximal-dominated provenance model for the Wushan Loess, providing new evidence for understanding southern Chinese loess formation mechanisms and Late Pleistocene East Asian monsoon evolution. Full article
(This article belongs to the Section Mineral Geochemistry and Geochronology)
Show Figures

Graphical abstract

22 pages, 11720 KB  
Article
Evaluating Consistency and Accuracy of Public Tidal Flat Datasets in China’s Coastal Zone
by Qianqian Su, Hui Lei, Shiqi Shen, Pengyu Cheng, Wenxuan Gu and Bin Zhou
Remote Sens. 2025, 17(22), 3679; https://doi.org/10.3390/rs17223679 - 9 Nov 2025
Viewed by 153
Abstract
Tidal flats, as critical transitional ecosystems between land and sea, face significant threats from climate change and human activities, necessitating accurate monitoring for conservation and management. However, publicly available tidal flat datasets exhibit substantial discrepancies due to variations in data sources, spectral indices, [...] Read more.
Tidal flats, as critical transitional ecosystems between land and sea, face significant threats from climate change and human activities, necessitating accurate monitoring for conservation and management. However, publicly available tidal flat datasets exhibit substantial discrepancies due to variations in data sources, spectral indices, and classification methods. This study systematically evaluates six widely used 2020 tidal flat datasets (GTF30, GWL_FCS30, MTWM-TP, DCTF, CTF, and TFMC) across China’s coastal zone, assessing their spatial consistency, area estimation differences, and edge classification accuracy. Using a novel edge validation point set (3150 samples) derived from tide gauge stations and low-tide imagery, we demonstrate that MTWM-TP (OA = 0.85) and TFMC (OA = 0.84) achieve the highest accuracy, while DCTF and GTF30 show systematic underestimation and overestimation, respectively. Spatial agreement is strongest in Jiangsu (49.8% unanimous pixels) but weak in turbid estuaries (e.g., Zhejiang). Key methodological divergences include sensor resolution (Sentinel-2 outperforms Landsat in low-tide coverage), spectral index selection (mNDWI reduces false positives in turbid waters), and boundary constraints (high-tide masks suppress inland misclassification). We propose establishing an automated multi-source framework integrating optical (Sentinel-2, Landsat) and radar (Sentinel-1) observation data to enhance low-tide coverage, constructing region-adaptive spectral indices and improving boundary accuracy through the combination of machine learning and thresholding algorithms. This study provides a critical benchmark for dataset selection and methodological advancements in coastal remote sensing. Full article
Show Figures

Figure 1

21 pages, 4871 KB  
Article
Study on Spatio-Temporal Evolution Characteristics of Vegetation Carbon Sink in the Hexi Corridor, China
by Qiang Yang, Shaokun Jia, Chang Li, Wenkai Chen, Yutong Liang and Yuanyuan Chen
Land 2025, 14(11), 2215; https://doi.org/10.3390/land14112215 - 8 Nov 2025
Viewed by 184
Abstract
As a critical ecological barrier in the arid and semi-arid regions of northwestern China, the spatio-temporal evolution of vegetation carbon sequestration in the Hexi Corridor is of great significance to the ecological security of this region. Based on multi-source remote sensing and meteorological [...] Read more.
As a critical ecological barrier in the arid and semi-arid regions of northwestern China, the spatio-temporal evolution of vegetation carbon sequestration in the Hexi Corridor is of great significance to the ecological security of this region. Based on multi-source remote sensing and meteorological data, this study integrated second-order partial correlation analysis, ridge regression, and other methods to reveal the spatio-temporal evolution patterns of Gross Primary Productivity (GPP) in the Hexi Corridor from 2003 to 2022, as well as the response characteristics of GPP to air temperature, precipitation, and Vapor Pressure Deficit (VPD). From 2003 to 2022, GPP in the Hexi Corridor showed an overall increasing trend, the spatial distribution of GPP showed a pattern of being higher in the east and lower in the west. In the central oasis region, intensive irrigation agriculture supported consistently high GPP values with sustained growth. Elevated air temperatures extended the growing season, further promoting GPP growth. Due to irrigation and sufficient soil moisture, the contributions of precipitation and VPD were relatively low. In contrast, desert and high-altitude permafrost areas, constrained by water and heat limitations, exhibited consistently low GPP values, which further declined due to climate fluctuations. In desert regions, high air temperatures intensified evaporation, suppressing GPP, while precipitation and VPD played more significant roles. This study provides a detailed analysis of the spatio-temporal change patterns of GPP in the Hexi Corridor and its response to climatic factors. In the future, the Hexi Corridor needs to adopt dual approaches of natural restoration and precise regulation, coordinate ecological security, food security, and economic development, and provide a scientific paradigm for carbon neutrality and ecological barrier construction in arid areas of Northwest China. Full article
Show Figures

Figure 1

26 pages, 355 KB  
Review
Satellite-Based Methane Emission Monitoring: A Review Across Industries
by Seyed Mostafa Mehrdad and Ke Du
Remote Sens. 2025, 17(22), 3674; https://doi.org/10.3390/rs17223674 - 8 Nov 2025
Viewed by 162
Abstract
Satellite remote sensing has become an increasingly important approach for detecting and quantifying methane emissions across spatial and temporal scales. While most reviews in the literature have addressed aspects of methane monitoring, they often focus primarily on satellite platforms or provide discussions on [...] Read more.
Satellite remote sensing has become an increasingly important approach for detecting and quantifying methane emissions across spatial and temporal scales. While most reviews in the literature have addressed aspects of methane monitoring, they often focus primarily on satellite platforms or provide discussions on retrieval methodologies. This review offers an integrated assessment of recent developments in satellite-based methane detection, combining technical evaluations of satellite instruments with detailed analysis of retrieval techniques and sector-specific applications. The paper distinguishes between area flux mappers and point-source imagers and reviews both established and recent satellite missions, including GHGSat, MethaneSAT, and PRISMA. Retrieval methods are critically compared, covering full-physics models, CO2 proxy approaches, optimal estimation, and emerging data-driven techniques such as machine learning. The review further examines methane emission characteristics in key sectors, i.e., oil and gas, coal mining, agriculture, and waste management, and discusses how satellite data are applied in emission estimation and mitigation contexts. The paper concludes by identifying technical and operational challenges and outlining research directions to enhance the accuracy, accessibility, and policy relevance of satellite-based methane monitoring. Full article
(This article belongs to the Special Issue Using Remote Sensing Technology to Quantify Greenhouse Gas Emissions)
Show Figures

Graphical abstract

27 pages, 10846 KB  
Article
Spatiotemporal Distribution of the Magnitude of Completeness and b-Values in Mainland China Based on a Fused Multi-Source Earthquake Catalog
by Chen Li, Ziyi Li, Mengqiao Duan and Lianqing Zhou
Entropy 2025, 27(11), 1137; https://doi.org/10.3390/e27111137 - 5 Nov 2025
Viewed by 228
Abstract
The b-value is a critical parameter for gauging seismic activity and is essential for seismic hazard assessment, monitoring stress evolution in focal zones, and forecasting major earthquakes. The minimum magnitude of completeness (Mc), a key indicator of the completeness of [...] Read more.
The b-value is a critical parameter for gauging seismic activity and is essential for seismic hazard assessment, monitoring stress evolution in focal zones, and forecasting major earthquakes. The minimum magnitude of completeness (Mc), a key indicator of the completeness of an earthquake catalog, reflects the monitoring capability of a seismic network and serves as a crucial foundation for the accurate calculation of the b-value. We began by integrating multi-source earthquake catalogs for mainland China using the nearest-neighbor method. Building on this, we employed a combination of partitioned time-series analysis and a grid-based spatial scanning technique to systematically investigate the spatiotemporal evolution of the Mc and the b-value across mainland China and its adjacent regions. Our findings indicate the following: (1) Since the 1980s, the overall trend of Mc has shifted from high and unstable values to low and stable ones. However, significant earthquake events can cause a notable short-term increase in the Mc. (2) The b-value exhibits strong fluctuations, primarily influenced by the dual effects of the tectonic stress field and catalog completeness. These fluctuations are particularly pronounced in highly active seismic regions such as the Sichuan–Yunnan area and Taiwan, whereas the western Tibetan Plateau has consistently maintained a low b-value. (3) The spatial distributions of both the Mc and the b-value are markedly heterogeneous. By developing a unified and complete earthquake catalog for mainland China, our research highlights the qualitative leap in monitoring capabilities brought about by the continuous densification and technological upgrading of seismic networks. This dataset provides a solid foundation for future seismological research, disaster prevention practices, and especially for the development of AI-based earthquake prediction models. Full article
(This article belongs to the Section Statistical Physics)
Show Figures

Figure 1

13 pages, 4234 KB  
Article
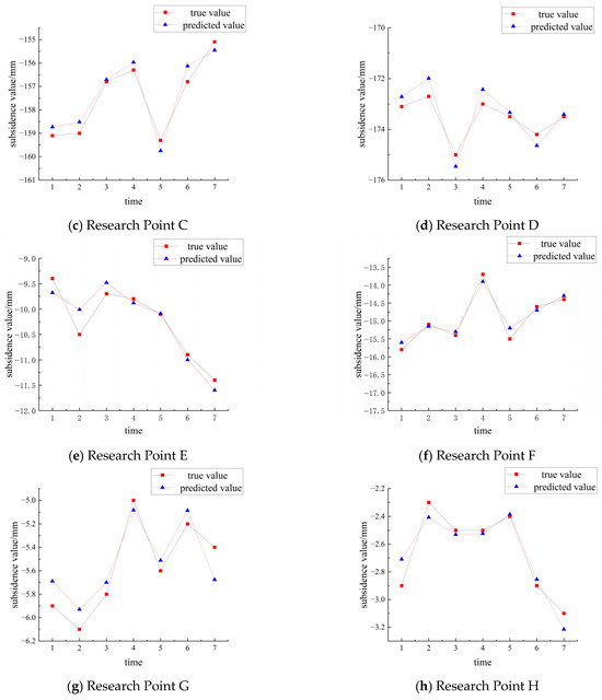
Predicting Surface Subsidence in Northern Huainan Based on a Hybrid LSTM–Transformer Model
by Jia Xu, Hao Tan, Roucen Liu, Jinling Duan and Mingfei Zhu
Appl. Sci. 2025, 15(21), 11780; https://doi.org/10.3390/app152111780 - 5 Nov 2025
Viewed by 171
Abstract
As one of the world’s primary energy sources, coal has driven economic development but has also led to severe surface subsidence. Currently, many regions around the world face significant ground deformation risks due to ongoing or legacy mining activities. Accurate monitoring and trend [...] Read more.
As one of the world’s primary energy sources, coal has driven economic development but has also led to severe surface subsidence. Currently, many regions around the world face significant ground deformation risks due to ongoing or legacy mining activities. Accurate monitoring and trend prediction are critical for enhancing subsidence early-warning capabilities and urban resilience. The northern region of Huainan City exhibits a spatial pattern characterized by the coexistence of mining areas, urban areas, and decommissioned mining sites, among which the mining areas show more pronounced surface deformation due to prolonged mining activities. To fully understand the subsidence evolution characteristics and differences across various regions, an LSTM–Transformer prediction model was constructed based on SBAS-InSAR monitoring technology to predict the surface subsidence processes in the three types of areas separately. The results indicated that the subsidence rate and cumulative subsidence in the mining areas were significantly greater than those in the urban and decommissioned areas, demonstrating more intense deformation activity. The average subsidence rates for the mining areas, urban areas, and decommissioned mining sites were −57.42 mm/yr, −5.37 mm/yr, and −3.21 mm/yr, respectively. The model’s prediction results demonstrated good accuracy across different regions, with the root mean square errors (RMSEs) for the mining areas, urban areas, and decommissioned mining sites being 2.16 mm, 1.03 mm, and 0.22 mm, respectively. The study shows that the constructed LSTM–Transformer hybrid model not only possesses strong capability in fitting subsidence trends but will also provide a scientific basis for future monitoring and early warning of surface subsidence hazards. Full article
Show Figures

Figure 1

28 pages, 2196 KB  
Article
Modeling Hybrid Renewable Microgrids in Remote Northern Regions: A Comparative Simulation Study
by Nurcan Kilinc-Ata and Liliana N. Proskuryakova
Energies 2025, 18(21), 5827; https://doi.org/10.3390/en18215827 - 4 Nov 2025
Viewed by 527
Abstract
Remote northern regions face unique energy challenges due to geographic isolation, harsh climates, and limited access to centralized power grids. In response to growing environmental and economic pressures, there is a rising interest in hybrid energy systems that integrate renewable and conventional sources. [...] Read more.
Remote northern regions face unique energy challenges due to geographic isolation, harsh climates, and limited access to centralized power grids. In response to growing environmental and economic pressures, there is a rising interest in hybrid energy systems that integrate renewable and conventional sources. This study investigates sustainable and cost-effective energy supply strategies for off-grid northern communities through the modeling and simulation of multi-energy microgrids. Focusing on case studies from Yakutia (Russia), Hordaland (Norway), and Alaska (United States), the research employs a comprehensive methodology that combines a critical literature review, system design using HOMER Pro software (version 3.16.2), and a comparative analysis of simulation outcomes. Three distinct microgrid configurations are proposed, incorporating various combinations of solar photovoltaic (PV), wind energy, diesel generators, and battery storage systems. The findings reveal that integrating solar PV significantly enhances economic efficiency, particularly in regions with high solar irradiance, underscoring its pivotal role in shaping resilient, sustainable energy systems for remote northern areas. This study is innovative in its cross-regional comparative approach, linking techno-economic simulation with climatic variability analysis to identify context-specific energy strategies. The key findings highlight how hybrid microgrids combining PV, wind, and storage systems can reduce both costs and emissions by up to 35% compared to diesel-only systems, offering practical pathways toward sustainable electrification in high-latitude regions. Full article
(This article belongs to the Special Issue Advanced Grid Integration with Power Electronics: 2nd Edition)
Show Figures

Figure 1

13 pages, 593 KB  
Article
Toxicity Profiling Validates Trajectory Modeling for Identifying Sogatella furcifera Migration Sources in Southern China
by Jian Zhu, Pengqi Quan, Yan Wu, Chao Li and Mingyong Ma
Insects 2025, 16(11), 1129; https://doi.org/10.3390/insects16111129 - 4 Nov 2025
Viewed by 278
Abstract
Sogatella furcifera (Horváth) is a major migratory rice pest, yet accurate source attribution for this insect remains a persistent challenge. To assess the accuracy of trajectory modeling in determining the source areas of S. furcifera, we examined an early-season migration event [...] Read more.
Sogatella furcifera (Horváth) is a major migratory rice pest, yet accurate source attribution for this insect remains a persistent challenge. To assess the accuracy of trajectory modeling in determining the source areas of S. furcifera, we examined an early-season migration event into HN in May 2024. Backward trajectories were simulated from 15 sites in HN, and insecticide toxicity assays were conducted to determine LC50 values for pymetrozine and nitenpyram in 26 field populations collected from HN and GX. Trajectory analyses indicated that northwestern HN populations were traced primarily to western GX and northern Vietnam, central HN populations to central/southern GX, western GD, and northern Vietnam, and southeastern HN populations to northeastern/southeastern GX and western GD. Critically, toxicity tests confirmed the trajectory predictions. In particular, no statistically significant differences in LC50 values were detected between HN populations and their identified source areas for either insecticide, while significant differences occurred in comparisons with non-source regions for both insecticides. These findings demonstrate that combining trajectory modeling with toxicity testing effectively identifies S. furcifera source areas during early migration. This study confirms the utility of trajectory analyses and provides an actionable strategy for monitoring and early warning systems targeting migratory pests. Full article
(This article belongs to the Special Issue Travelers on the Wind: Migratory Insects as Emerging Research Models)
Show Figures

Figure 1

Back to TopTop