Sign in to use this feature.

Years

Between: -

Subjects

remove_circle_outline
remove_circle_outline
remove_circle_outline
remove_circle_outline
remove_circle_outline
remove_circle_outline
remove_circle_outline
remove_circle_outline
remove_circle_outline

Journals

Article Types

Countries / Regions

Search Results (58)

Search Parameters:
Keywords = cranial vaults

Order results
Result details
Results per page
Select all
Export citation of selected articles as:
14 pages, 1182 KB  
Article
Endocranial Morphology in Metopism
by Silviya Nikolova, Diana Toneva and Gennady Agre
Biology 2025, 14(7), 835; https://doi.org/10.3390/biology14070835 - 9 Jul 2025
Viewed by 370
Abstract
Comparative investigations on homogenous cranial series have demonstrated that metopism is linked to a specific configuration of the cranial vault; however, there are no comparative data concerning the endocranial morphology in this condition. This study aimed to compare the endocranial space in metopic [...] Read more.
Comparative investigations on homogenous cranial series have demonstrated that metopism is linked to a specific configuration of the cranial vault; however, there are no comparative data concerning the endocranial morphology in this condition. This study aimed to compare the endocranial space in metopic and control crania using morphometric analysis and machine learning algorithms. For this purpose, a series of 230 (184 control and 46 metopic) dry crania of contemporary adult Bulgarian males were scanned using an industrial µCT system. The 3D coordinates of 47 landmarks were collected on the endocranial surface. All possible measurements between the landmarks were calculated as Euclidean distances. The resultant 1081 measurements represented the initial dataset, which was reduced to smaller datasets applying different criteria. The derived datasets were used for learning a set of classification models by machine learning algorithms. The morphometric analysis showed that in the metopic crania some segments of the anterior and middle cranial fossae were significantly longer, and the landmark endobregma was significantly closer to the anterior and middle sections of the cranial base. The most accurate model, with a classification accuracy of 85%, was the Naive Bayes one learned on a dataset of 69 attributes assembled after an attribute selection procedure. Full article
(This article belongs to the Section Medical Biology)
Show Figures

Figure 1

13 pages, 2839 KB  
Article
Cranial Vault Deformation and Its Association with Mandibular Deviation in Patients with Facial Asymmetry: A CT-Based Study
by Mayuko Nishimura, Chie Tachiki, Taiki Morikawa, Dai Ariizumi, Satoru Matsunaga, Keisuke Sugahara, Yasuo Aihara, Akira Watanabe, Akira Katakura, Takakazu Kawamata and Yasushi Nishii
Diagnostics 2025, 15(13), 1702; https://doi.org/10.3390/diagnostics15131702 - 3 Jul 2025
Cited by 1 | Viewed by 788
Abstract
Background/Objectives: Facial asymmetry is known to cause not only deformities in the facial skeleton but also alterations in the cranial vault. However, limited research has explored the association between mandibular asymmetry and cranial vault deformation. This study aimed to evaluate the three-dimensional [...] Read more.
Background/Objectives: Facial asymmetry is known to cause not only deformities in the facial skeleton but also alterations in the cranial vault. However, limited research has explored the association between mandibular asymmetry and cranial vault deformation. This study aimed to evaluate the three-dimensional craniofacial morphology, including the cranial vault, in patients with skeletal mandibular prognathism using computed tomography (CT) imaging. Methods: Patients were classified into two groups: those with facial asymmetry (ANB ≤ 0°, Menton deviation ≥ 4 mm) and those without (ANB ≤ 0°, Menton deviation < 3 mm). Reference planes were established in three orthogonal directions, and distances from anatomical landmarks on the maxilla and mandible to each reference plane were measured. Additionally, the cranial vault was segmented into four regions, and the volume of each section was calculated. Results: Compared with the symmetric group, the asymmetric group exhibited significant lateral displacement in the maxilla and both anteroposterior and lateral displacements in the mandible. Furthermore, a significant difference in the posterior cranial vault volume between the left and right sides was observed in the asymmetric group. A moderate positive correlation (r = 0.543, p = 0.045) was also found between the direction of mandibular deviation and the direction of posterior cranial vault deformation. Conclusions: A moderate positive correlation (r = 0.543, p = 0.045) was observed between mandibular deviation and posterior cranial vault asymmetry. These findings may suggest that the cranial vault morphology may influence facial asymmetry, and it may serve as one of the considerations for discussing the necessity of early intervention for cranial vault deformity during infancy. Full article
Show Figures

Figure 1

10 pages, 898 KB  
Article
A Novel Prophylactic Device Against Head Deformity to Prevent Severe Positional Plagiocephaly
by Yukari Tanaka, Hiroshi Miyabayashi, Takanori Noto, Risa Kato, Nobuhiko Nagano and Ichiro Morioka
J. Clin. Med. 2025, 14(9), 3261; https://doi.org/10.3390/jcm14093261 - 7 May 2025
Viewed by 1553
Abstract
Background/Objectives: Preventing head deformity in the early postnatal period could avert positional plagiocephaly (PP). Accordingly, we developed a novel prophylactic device to prevent head deformity and examined its impact on the incidence of PP and prevention of severe PP at 3 months [...] Read more.
Background/Objectives: Preventing head deformity in the early postnatal period could avert positional plagiocephaly (PP). Accordingly, we developed a novel prophylactic device to prevent head deformity and examined its impact on the incidence of PP and prevention of severe PP at 3 months of age. Methods: The newly developed prophylactic device was used immediately after birth or at the 1-month checkup, and cranial shape was measured before device application and at 3 months of age. The diagnostic threshold for PP was >5% for cranial vault asymmetry index (CVAI); cranial asymmetry (CA) of ≥13 mm was deemed severe. A database comprising cranial geometry of 3-month-old healthy Japanese infants (n = 110) served as the control. Results: This study included 42 infants who started using the novel prophylactic device immediately after birth or at the 1-month checkup. Measurements at 3 months of age revealed that the prophylactic device group had significantly lower CA and CVAI than the control group (CA [median]: 5.5 vs. 8.0, respectively, p = 0.007; CVAI: 4.3 vs. 5.8, respectively, p = 0.048). However, the PP prevalence did not differ significantly between the two groups (41% vs. 57%, respectively, p = 0.094). The number of infants with severe PP was significantly lower in the prophylactic device group than in the control group (0% vs. 14%, respectively; p = 0.012). At 3 months of age, no significant differences in CA or CVAI were observed between the immediate postnatal and 1-month groups. Conclusions: The novel prophylactic device against head deformity could prevent severe PP. Full article
Show Figures

Figure 1

11 pages, 1109 KB  
Review
The Correlation Between Infant Head Shape in Craniometric Studies and Psychomotor Development Disorders
by Natalia Zielińska, Maria Górska, Anna Skrzek and Agnieszka Dębiec-Bąk
J. Clin. Med. 2025, 14(6), 1985; https://doi.org/10.3390/jcm14061985 - 14 Mar 2025
Viewed by 2214
Abstract
Objectives: The objective of this study was to analyze the correlation between muscle tone distribution disorders and asymmetry, with specific postnatal positional cranial deformities in infants. The study focused on assessing the level of unilateral occipital flattening and the extent of symmetrical [...] Read more.
Objectives: The objective of this study was to analyze the correlation between muscle tone distribution disorders and asymmetry, with specific postnatal positional cranial deformities in infants. The study focused on assessing the level of unilateral occipital flattening and the extent of symmetrical occipital flattening. Methods: The study involved 60 infants aged between 1 and 5 months. Each infant was neurologically diagnosed and assigned to one of three groups: asymmetry, reduced muscle tone, or increased muscle tone. Each group consisted of 20 infants (10 girls and 10 boys). A MIMOS craniometer was used to measure the infants’ head shapes, calculating the cranial vault asymmetry (mm) and cranial index (%). The data were analyzed and processed using Statistica software and appropriate statistical tests. Results: The results revealed a correlation between asymmetry and reduced muscle tone, increased muscle tone, and specific positional head deformities in infants up to the age of 5 months. Full article
(This article belongs to the Section Clinical Rehabilitation)
Show Figures

Figure 1

12 pages, 1835 KB  
Article
Natural Progression of Cranial Shape Following Helmet Therapy for Deformational Plagiocephaly
by Risa Kato, Nobuhiko Nagano, Mari Sasano, Koichiro Sumi and Ichiro Morioka
J. Clin. Med. 2025, 14(2), 357; https://doi.org/10.3390/jcm14020357 - 9 Jan 2025
Viewed by 4539
Abstract
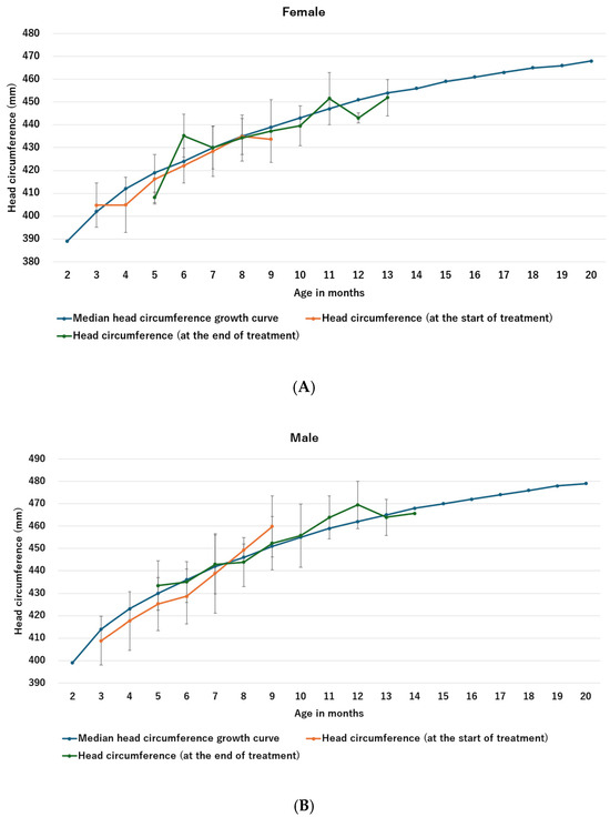
Objectives: This study aimed to examine the natural progression of the cranial shape from the end of helmet therapy for deformational plagiocephaly to 1 year of age. Methods: This study included infants with moderate to severe deformational plagiocephaly who began treatment at our [...] Read more.
Objectives: This study aimed to examine the natural progression of the cranial shape from the end of helmet therapy for deformational plagiocephaly to 1 year of age. Methods: This study included infants with moderate to severe deformational plagiocephaly who began treatment at our department between December 2022 and July 2023. The cranial shape was assessed using a 3D scanner (VECTRA®H2) at the start of treatment, end of treatment, and 12 months of age. Changes in the Cranial Vault Asymmetry Index (ΔCVAI), an indicator of cranial deformity, and the severity of deformity (normal, mild, moderate, severe, very severe) were assessed between the end of treatment and 12 months. Results: The study included 32 infants: 30 were full-term and 2 were preterm (gestational ages: 34 and 36 weeks). The median age at the start of treatment was 4 months (range: 2–7 months), with a mean CVAI of 10.5 ± 2.2%. At the end of treatment, the median age was 9 months (range: 5–11 months), with a mean CVAI of 4.2 ± 1.8%. The ΔCVAI from the end of treatment to 12 months of age was 0.3 ± 0.8%. Regarding severity, an improvement was observed in one infant (3%) (from moderate to mild), no change in 28 infants (88%) (23 classified as normal, three as mild, and two as moderate), and worsening in three infants (9%) (one from mild to moderate and two from normal to mild). Conclusions: The severity of cranial deformity showed minimal worsening during the natural progression from the end of helmet therapy to 1 year of age. Full article
(This article belongs to the Section Clinical Pediatrics)
Show Figures

Figure 1

20 pages, 2296 KB  
Article
Two-Dimensional and Three-Dimensional Changes in Deformational Head Shapes During Repositioning Therapy and Cranial Remolding Treatment
by Tiffany Graham, Jijia Wang, Fabian A. Calderon, Victoria Moses and Rami R. Hallac
J. Clin. Med. 2024, 13(24), 7689; https://doi.org/10.3390/jcm13247689 - 17 Dec 2024
Cited by 1 | Viewed by 1245
Abstract
Backgrounds/Objectives: The surge in deformational head shapes (DHSs) over the past 30 years has led to increased interest in comparing the treatment options of Repositioning Therapy (RT) and a Cranial Remolding Orthosis (CRO). This study investigates the amount and rate of 2D and [...] Read more.
Backgrounds/Objectives: The surge in deformational head shapes (DHSs) over the past 30 years has led to increased interest in comparing the treatment options of Repositioning Therapy (RT) and a Cranial Remolding Orthosis (CRO). This study investigates the amount and rate of 2D and 3D correction in infants with DHSs during these treatments. Methods: A total of 34 infants with DHSs were enrolled (RT group, n = 18; CRO group, n = 16). Infants were discharged after achieving correction or reaching 12 months of age. Two-dimensional scan/caliper measurements and three-dimensional scan measurements were collected at treatment initiation and conclusion (or 12 months of age). Results: Asymmetric infants in the RT group averaged a 2dCVAI reduction of 3.59 ± 1.57 and 3dCVAI correction of 12.17 ± 13.02 versus 4.44 ± 2.99 and 21.72 ± 15.36 correction in the CRO group (2d p = 0.6656; 3d p = 0.1417). Disproportionate infants in the RT group averaged a 2dCI reduction of 3.13% ± 2.57% and 3dCI reduction of 24.53 ± 24.01 while the CRO group averaged 5.21% ± 2.78% and 55.98 ± 25.77 (2d p = 0.0383*; 3d p = 0.0254*). Asymmetrical RT mean 2dCVAI weekly change was 0.21 ± 0.15 while CRO was 0.23 ± 0.17 (p = 0.7796). The 3dCVAI weekly change was 1.05 ± 1.55 in the RT group versus 1.17 ± 0.95 in the CRO group (p = 0.4328). Disproportionate RT mean 2dCI weekly change was 0.12 ± 0.11 while CRO was 0.23 ± 0.11 (p = 0.0440*). The 3dCI weekly change was 0.87 ± 0.91 in the RT group versus 3.02 ± 2.16 in the CRO group (p = 0.0143*). Conclusions: Results indicate that CRO treatment achieves greater total correction and rate of correction. Statistical significance was found in the treatment of disproportional DHSs, but further investigation is needed with a larger sample size. Full article
(This article belongs to the Section Clinical Pediatrics)
Show Figures

Figure 1

12 pages, 1895 KB  
Article
Craniofacial Effects of Zoledronic Acid on the Osteogenesis Imperfecta Mouse (−/−) Model of Severe Osteogenesis Imperfecta
by Gaspard Jeannerod, Antoine Chretien, Grégoire André, Guillaume Mabilleau and Catherine Behets
Biomedicines 2024, 12(12), 2692; https://doi.org/10.3390/biomedicines12122692 - 25 Nov 2024
Viewed by 1118
Abstract
Background: Osteogenesis imperfecta (OI) is a rare genetic disorder affecting mainly type I collagen, which leads to bone fragility and deformities. OI patients also present craniofacial abnormalities such as macrocephaly and malocclusion. Recently, craniofacial dysmorphism was highlighted in the osteogenesis imperfecta mouse (oim), [...] Read more.
Background: Osteogenesis imperfecta (OI) is a rare genetic disorder affecting mainly type I collagen, which leads to bone fragility and deformities. OI patients also present craniofacial abnormalities such as macrocephaly and malocclusion. Recently, craniofacial dysmorphism was highlighted in the osteogenesis imperfecta mouse (oim), a validated model of the most severe form of OI. This study explores the impact of zoledronic acid (ZA), commonly administered to OI patients to increase bone mass and mechanical strength, on oim craniofacial structure. Methods: Fifteen oim received a single intravenous ZA injection (100 µg/kg) at 5 weeks (ZA group), while fifteen remained untreated (control). Before euthanasia at 14 weeks, in vivo computed tomography provided craniometric data. Post-euthanasia, heads underwent peripheral Quantitative Computed Tomography (pQCT); coronal decalcified sections through temporomandibular joints were analyzed (n = 6/mouse) after Masson’s trichrome staining (3 sections) or under polarized light to study collagen birefringence (3 sections). Results: In vivo craniometry highlighted the positive effect on vertical growth in ZA oim models as compared to untreated ones, with significant increases in mandibular length and incisor height and without any change in transversal dimensions. The pQCT scans showed the significantly higher total mineral density and cortical mineral density of the mandibular ramus in the ZA than the untreated group. Via microscopic analysis, the cranial vault was thicker and the collagen birefringence was higher in the ZA group than in the untreated group, but differences were not significant. Conclusion: To conclude, ZA had some beneficial effects on craniofacial vertical height and ramus density and, to a lower extent, on vault thickness, while transversal dimensions did not seem to be influenced by ZA intake. These data emphasize the need to consider the whole skeleton when treating OI patients. Full article
Show Figures

Figure 1

9 pages, 2483 KB  
Article
Pediatric Cranial Vault Lesions: A Tailored Approach According to Bony Involvement
by Arianna Barbotti, Ignazio G. Vetrano, Cecilia Casali, Tommaso F. Galbiati, Sabrina Mariani, Edoardo Porto, Alessandra Erbetta, Stefano Chiaravalli and Laura G. Valentini
Children 2024, 11(11), 1377; https://doi.org/10.3390/children11111377 - 13 Nov 2024
Cited by 1 | Viewed by 1288
Abstract
Background: Cranial vault lesions are common in children, with dermoid and epidermoid cysts being the most frequent. Management is debated due to their slow growth, but early resection can prevent complications and provide a definitive histological diagnosis, which is sometimes linked to systemic [...] Read more.
Background: Cranial vault lesions are common in children, with dermoid and epidermoid cysts being the most frequent. Management is debated due to their slow growth, but early resection can prevent complications and provide a definitive histological diagnosis, which is sometimes linked to systemic diseases. Methods: A retrospective study of children treated surgically for cranial vault tumors from January 2011 to April 2023 was conducted. The data collected included age, gender, symptoms, comorbidities, lesion location, radiological features, surgical techniques, histopathology, and recurrence rates. Results: Eighty-eight children (mean age: 3.5 years, mean tumor size: 1.21 cm) underwent surgery. The most common locations were the frontal and occipital bones. The main diagnoses were dermoid cysts, myofibroma, and Langerhans cell histiocytosis. Gross total resection was achieved in 64 cases with simple skin incisions. In 13 cases, small cranioplasties with bone cement were used. Craniotomy and cranioplasty with autologous bone grafting were performed for 11 patients with lesions larger than 2 cm and full skull thickness erosion. Conclusions: Early resection is recommended for complete removal with minimally invasive surgery and to ensure histological diagnosis. For lesions larger than 2 cm with full skull erosion, cranioplasty with autologous bone is the preferred technique. Full article
(This article belongs to the Section Pediatric Surgery)
Show Figures

Figure 1

16 pages, 1161 KB  
Systematic Review
Comparison of Surgical Techniques in Managing Craniosynostosis: Systematic Review and Bayesian Network Meta-Analysis
by Muhammad Ikhlas Abdian Putra, Mirnasari Amirsyah, Budiman Budiman, Shakira Amirah, Seba Talat Al-Gunaid and Muhammad Iqhrammullah
Surgeries 2024, 5(4), 970-985; https://doi.org/10.3390/surgeries5040078 - 28 Oct 2024
Cited by 1 | Viewed by 5407
Abstract
Open total cranial vault reconstruction (CVR) is the common procedure in managing craniosynostosis, yet more techniques have been introduced as alternatives, namely endoscopic suturectomy (ES), endoscopy-assisted craniectomy (EC), spring-assisted surgery (SAS), strip craniectomy with helmet (SC), Pi craniectomy (PiC), Pi plasty (PiP), and [...] Read more.
Open total cranial vault reconstruction (CVR) is the common procedure in managing craniosynostosis, yet more techniques have been introduced as alternatives, namely endoscopic suturectomy (ES), endoscopy-assisted craniectomy (EC), spring-assisted surgery (SAS), strip craniectomy with helmet (SC), Pi craniectomy (PiC), Pi plasty (PiP), and Renier’s “H” technique (RH). The aim of this study was to compare the effectiveness of craniosynostosis surgeries in improving the cephalic index of the patients. Studies published until 7 March 2024 reporting CVR, ES, SAS, SC, RH, and PiP as definitive craniosynostosis management with the cephalic index as the outcome were included. Bayesian network meta-analysis and pair-wise meta-analysis were performed using a random-effects model based on standardized mean difference (SMD) and 95% confidence interval (CI). Nine studies published in 2008–2024 recruiting a total of 464 craniosynostosis patients (age: 18–61 months) were included in this meta-analysis. EC (SMD = 0.23 [95%CI: −5.47 to 5.63]; p = 0.935), PiP (SMD = −0.07 [95%CI: −9.27 to 8.79]; p = 0.988), ES (SMD = −0.59 [95%CI: −6.07 to 4.94]; p = 0.834), PiC (SMD = −1.16 [95%CI: −8.89 to 6.35]; p = 0.765), RH (SMD = −0.96 [95%CI: −6.62 to 4.53]; p = 0.736), SAS (SMD = −0.86 [95%CI: −8.25 to 6.18]; p = 0.815), and SC (SMD = −1.79 [95%CI: −9.05 to 5.28]; p = 0.624) were found to be as effective as CVR in improving the cephalic index. Network meta-analysis suggests that PiP is the most effective among these techniques (rank 1 probability = 0.273). According to the rank probabilities of our model the order of techniques from the most to the least effective is as follows: EC > CVR > PiP > ES > SAS > RH > PiC > SC. Full article
Show Figures

Graphical abstract

12 pages, 2741 KB  
Article
Therapeutic Effectiveness of a Novel Cranial Remolding Helmet (baby band2) for Positional Plagiocephaly: A Multicenter Clinical Observational Study
by Nobuhiko Nagano, Risa Kato, Takanori Noto, Midori Hijikata, Aya Okahashi, Aya Nakanomori, Hiroshi Miyabayashi, Kayo Yoshikawa, Nobutaka Ichiwata, Hiroshi Saito, Mari Sasano, Koichiro Sumi and Ichiro Morioka
J. Clin. Med. 2024, 13(19), 5952; https://doi.org/10.3390/jcm13195952 - 7 Oct 2024
Cited by 3 | Viewed by 4868
Abstract
This multicenter study evaluated the efficacy and safety of a novel cranial remolding helmet (baby band2), which is completely custom-made based on the shape of an infant’s cranium. The study included 224 full-term infants from moderate to very severe positional plagiocephaly in Japan. [...] Read more.
This multicenter study evaluated the efficacy and safety of a novel cranial remolding helmet (baby band2), which is completely custom-made based on the shape of an infant’s cranium. The study included 224 full-term infants from moderate to very severe positional plagiocephaly in Japan. Cranial geometry was assessed before and after helmet therapy using a three-dimensional scanner, and changes in the cranial vault asymmetry index (CVAI) were analyzed. The CVAI improved significantly in all patients, with the most significant improvement observed in the most severely affected group [very severe group: −9.1, severe group: −6.6, moderate group: −4.4 (mean values), p < 0.001]. The group that started therapy before the age of 7 months showed greater improvement compared to those who started therapy at the age of 7 months or older; however, both groups demonstrated significant improvement (<7 months group: −6.6, ≥7 months group: −4.4 (mean values), p < 0.001). No significant differences were observed in therapy efficacy between the centers (p = 0.402) and sex (p = 0.131). During the study period, helmet therapy did not lead to head circumference stunting, and the incidence of redness with baby band2 was five patients (2.2%). This study demonstrated that baby band2 is effective and safe for the therapy of positional plagiocephaly. Full article
(This article belongs to the Section Clinical Pediatrics)
Show Figures

Figure 1

9 pages, 2017 KB  
Case Report
Transglabellar Butterfly Incision for Anterior Cranial Vault Access: Case Report
by Jure Urbančič, Roman Bošnjak and Domen Vozel
Curr. Oncol. 2024, 31(9), 5233-5241; https://doi.org/10.3390/curroncol31090387 - 5 Sep 2024
Cited by 1 | Viewed by 1436
Abstract
(1) Background: The transglabellar approach, a type of transfacial technique, typically involves glabellar resection and opening the frontal sinus via a bicoronal incision, providing access to the anterior cranial vault. To prevent complications, the frontal sinus is typically obliterated. However, the success of [...] Read more.
(1) Background: The transglabellar approach, a type of transfacial technique, typically involves glabellar resection and opening the frontal sinus via a bicoronal incision, providing access to the anterior cranial vault. To prevent complications, the frontal sinus is typically obliterated. However, the success of transnasal endoscopic techniques has prompted a re-evaluation of these traditional methods. (2) Methods: This paper provides a brief literature review and discusses the removal of an elongated glioma of the left gyrus rectus (4.4 × 1.9 × 2.2 cm) in a 63-year-old male using a transglabellar subfrontal approach via a butterfly incision, with frontal sinus preservation. (3) Results: An uneventful gross-total resection of a WHO grade II oligodendroglioma was achieved. There is a paucity of literature describing a transglabellar subfrontal approach via a butterfly incision with frontal sinus preservation. (4) Conclusions: The described approach could be utilized in selected cases such as small intra-axial lesions oriented longitudinally along the inferomedial frontal lobe from the posterior wall of the frontal sinus to the anterior communicating artery complex in patients with pre-existing glabellar rhytids. Since this is merely a case presentation, we cannot conclude that this represents established clinical practice. The outcomes of this approach should be investigated in the future. Full article
(This article belongs to the Section Head and Neck Oncology)
Show Figures

Figure 1

11 pages, 2213 KB  
Article
Ultrasonographic Measurement of Anterior Fontanelle Size in Infants with Deformational Plagiocephaly
by Jae Hee Lee, Gi-Young Park and Dong Rak Kwon
J. Clin. Med. 2024, 13(17), 5012; https://doi.org/10.3390/jcm13175012 - 24 Aug 2024
Cited by 1 | Viewed by 4464
Abstract
Background/Objectives: We aimed to investigate the relationship between deformational plagiocephaly (DP) severity and anterior fontanelle size and to explore the connection between fontanelle size and developmental delay. Methods: We enrolled 189 (122 boys and 67 girls; mean corrected age, 119.79 days) [...] Read more.
Background/Objectives: We aimed to investigate the relationship between deformational plagiocephaly (DP) severity and anterior fontanelle size and to explore the connection between fontanelle size and developmental delay. Methods: We enrolled 189 (122 boys and 67 girls; mean corrected age, 119.79 days) of the 256 infants who visited our clinic for plagiocephaly between March 2022 and June 2023. This study analyzed the correlation between cranial vault asymmetry (CVA) and anterior fontanelle size as measured using skull anteroposterior (AP) radiography and ultrasonography. The severity of DP was graded from minimal to severe based on the Argenta classification. Infants were grouped according to CVA severity as follows: Group 1 (CVA ≤ 5 mm), Group 2 (5 mm < CVA < 10 mm), and Group 3 (CVA ≥ 10 mm). Additionally, 40 infants underwent the Denver Developmental Screening Test II (DDST-II) for neurodevelopmental delays and were divided into groups based on the presence or absence of developmental delays for fontanelle size comparison. Results: Age showed a significant negative correlation with fontanelle size (correlation coefficient −0.234, p < 0.05), indicating that fontanelle size decreases as infants age. No significant differences in fontanelle size were observed among the three CVA groups (p = 0.074) or between the developmentally delayed and non-delayed groups (p = 0.09). This study found no correlation between CVA and fontanelle size or between fontanelle size and developmental delay. Conclusions: The findings show that, while anterior fontanelle size decreased with age, there was no significant correlation between the fontanelle size and the severity of deformational plagiocephaly or developmental delays. Full article
(This article belongs to the Section Clinical Pediatrics)
Show Figures

Figure 1

14 pages, 3922 KB  
Article
Microsporum canis Causes Cutaneous and Extracutaneous Feline Dermatophytic Pseudomycetomas: Molecular Identification and Clinicopathological Characteristics
by Stefan Hobi, Wing Yan Jacqueline Tam, May Tse, Omid Nekouei, Yingfei Chai, Fraser I. Hill, Edmund Cheung, Wietz Botes, Francois Saulnier-Troff, Colin T. McDermott and Vanessa R. Barrs
J. Fungi 2024, 10(8), 576; https://doi.org/10.3390/jof10080576 - 14 Aug 2024
Cited by 1 | Viewed by 4028
Abstract
Dermatophytic pseudomycetoma (DPM) is a rarely reported invasive fungal infection of humans and animals, especially cats. This study aimed to identify dermatophytes, breed associations, and the frequency of extracutaneous (EC) involvement in feline DPM. Electronic records and formalin-fixed paraffin-embedded tissue (FFPET) from 32 [...] Read more.
Dermatophytic pseudomycetoma (DPM) is a rarely reported invasive fungal infection of humans and animals, especially cats. This study aimed to identify dermatophytes, breed associations, and the frequency of extracutaneous (EC) involvement in feline DPM. Electronic records and formalin-fixed paraffin-embedded tissue (FFPET) from 32 suspected DPM cases in 30 cats were retrieved from a diagnostic laboratory between 2018 and 2024. To confirm DPM and molecular identity, DNA was extracted from FFPET for ITS2 sequencing, and immunohistochemistry was performed on PCR-negative cases. All cases were confirmed as DPM. Microsporum canis was the only dermatophyte identified. The sensitivity and specificity of ITS2 sequencing for M. canis identification in FFPET were 22/32 (68.8%) and 21/22 (95.5%), respectively. Exotic (36.7%) and Persian (23.3%) but not British breeds (26.3%) were over-represented compared to feline admissions at an affiliated veterinary hospital (8.5%, p < 0.001; 3%, p < 0.001; 21.6%, p = 0.817, respectively). Five cases (16.7%) had EC lesions; two had intra-abdominal masses; two had oral cavity masses, including one which extended into the cranial vault; and one had superficial cervical lymph node invasion. Exotic and Persian breeds are over-represented for DPM and M. canis is the primary cause. EC lesions of DPM may occur more commonly than previously thought. Full article
(This article belongs to the Special Issue Advances in Human and Zoonotic Dermatophytoses)
Show Figures

Figure 1

15 pages, 7443 KB  
Article
The Process of Digital Data Flow in RE/CAD/RP/CAI Systems Concerning Planning Surgical Procedures in the Craniofacial Area
by Paweł Turek, Ewelina Dudek, Mateusz Grzywa and Kacper Więcek
Knowledge 2024, 4(2), 265-279; https://doi.org/10.3390/knowledge4020014 - 15 May 2024
Cited by 1 | Viewed by 1221
Abstract
This paper presents the process of digital data flow in RE/CAD/RP/CAI systems to develop models for planning surgical procedures in the craniofacial area. At the first RE modeling stage, digital data processing, segmentation, and the reconstruction of the geometry of the anatomical structures [...] Read more.
This paper presents the process of digital data flow in RE/CAD/RP/CAI systems to develop models for planning surgical procedures in the craniofacial area. At the first RE modeling stage, digital data processing, segmentation, and the reconstruction of the geometry of the anatomical structures were performed. During the CAD modeling stage, three different concepts were utilized. The first concept was used to create a tool that could mold the geometry of the cranial vault. The second concept was created to prepare a prototype implant that would complement the anterior part of the mandibular geometry. And finally, the third concept was used to design a customized prototype surgical plate that would match the mandibular geometry accurately. Physical models were made using a rapid prototyping technique. A Bambu Lab X1 3D printer was used for this purpose. The process of geometric accuracy evaluation was carried out on manufactured prototypes of surgical plates made of ABS+, CPE, PLA+, and PETG material. In the geometric accuracy evaluation process, the smallest deviation values were obtained for the ABS plus material, within a tolerance of ±0.1 mm, and the largest were obtained for CPE (±0.2 mm) and PLA plus (±0.18 mm). In terms of the surface roughness evaluation, the highest value of the Sa parameter was obtained for the PLA plus material, which was 4.15 µm, and the lowest was obtained for the CPE material, equal to 3.62 µm. The knowledge of the flow of digital data and the identification of factors determining the accuracy of mapping the geometry of anatomical structures allowed for the development of a procedure that improves the modeling and manufacturing of anatomical structures within the craniofacial region. Full article
Show Figures

Figure 1

11 pages, 1499 KB  
Article
Temporal Bone Fractures and Related Complications in Pediatric and Adult Cranio-Facial Trauma: A Comparison of MDCT Findings in the Acute Emergency Setting
by Romain Kohler, Marcella Pucci, Basile Landis, Pascal Senn, Pierre-Alexandre Poletti, Paolo Scolozzi, Seema Toso, Minerva Becker and Alexandra Platon
Tomography 2024, 10(5), 727-737; https://doi.org/10.3390/tomography10050056 - 10 May 2024
Cited by 3 | Viewed by 4992
Abstract
Purpose: The purpose of this study was to analyze the prevalence of and complications resulting from temporal bone fractures in adult and pediatric patients evaluated for cranio-facial trauma in an emergency setting. Methods: A retrospective blinded analysis of CT scans of a series [...] Read more.
Purpose: The purpose of this study was to analyze the prevalence of and complications resulting from temporal bone fractures in adult and pediatric patients evaluated for cranio-facial trauma in an emergency setting. Methods: A retrospective blinded analysis of CT scans of a series of 294 consecutive adult and pediatric patients with cranio-facial trauma investigated in the emergency setting was conducted. Findings were compared between the two populations. Preliminary reports made by on-call residents were compared with the retrospective analysis, which was performed in consensus by two experienced readers and served as reference standard. Results: CT revealed 126 fractures in 116/294 (39.5%) patients, although fractures were clinically suspected only in 70/294 (23.8%); p < 0.05. Fractures were longitudinal, transverse and mixed in 69.5%, 10.3% and 19.8% of cases, respectively. Most fractures were otic-sparing fractures (95.2%). Involvement of the external auditory canal, ossicular chain and the osseous structures surrounding the facial nerve was present in 72.2%, 8.7% and 6.3% of cases, respectively. Temporal bone fractures extended into the venous sinuses/jugular foramen and carotid canal in 18.3% and 17.5% of cases, respectively. Vascular injuries (carotid dissection and venous thrombosis) were more common in children than in adults (13.6% versus 5.3%); however, the observed difference did not reach statistical significance. 79.5% of patients with temporal bone fractures had both brain injuries and fractures of the facial bones and cranial vault. Brain injuries were more common in adults (90.4%) than in children (63.6%), p = 0.001. Although on-call residents reliably detected temporal bone fractures (sensitivity = 92.8%), they often missed trauma-associated ossicular dislocation (sensitivity = 27.3%). Conclusions: Temporal bone fractures and related complications are common in patients with cranio-facial trauma and need to be thoroughly looked for; the pattern of associated injuries is slightly different in children and in adults. Full article
Show Figures

Figure 1

Back to TopTop