Sign in to use this feature.

Years

Between: -

Subjects

remove_circle_outline
remove_circle_outline
remove_circle_outline
remove_circle_outline
remove_circle_outline
remove_circle_outline
remove_circle_outline
remove_circle_outline
remove_circle_outline

Journals

remove_circle_outline
remove_circle_outline
remove_circle_outline
remove_circle_outline
remove_circle_outline
remove_circle_outline
remove_circle_outline
remove_circle_outline
remove_circle_outline
remove_circle_outline
remove_circle_outline
remove_circle_outline
remove_circle_outline
remove_circle_outline
remove_circle_outline
remove_circle_outline
remove_circle_outline
remove_circle_outline
remove_circle_outline
remove_circle_outline
remove_circle_outline
remove_circle_outline
remove_circle_outline
remove_circle_outline
remove_circle_outline
remove_circle_outline
remove_circle_outline
remove_circle_outline
remove_circle_outline
remove_circle_outline
remove_circle_outline
remove_circle_outline
remove_circle_outline
remove_circle_outline
remove_circle_outline
remove_circle_outline
remove_circle_outline
remove_circle_outline
remove_circle_outline
remove_circle_outline

Article Types

Countries / Regions

remove_circle_outline
remove_circle_outline
remove_circle_outline
remove_circle_outline
remove_circle_outline
remove_circle_outline
remove_circle_outline
remove_circle_outline
remove_circle_outline

Search Results (9,642)

Search Parameters:
Keywords = coupled dynamics

Order results
Result details
Results per page
Select all
Export citation of selected articles as:
22 pages, 8178 KB  
Article
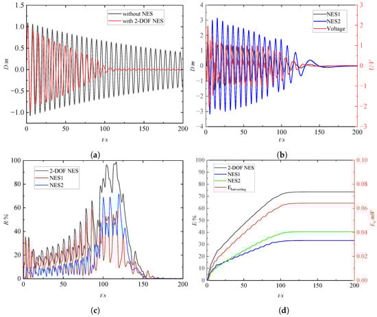
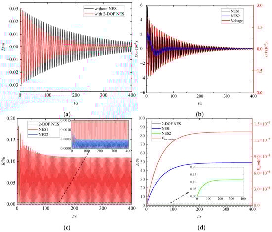
Vibration Control and Energy Harvesting of a Two-Degree-of- Freedom Nonlinear Energy Sink to Primary Structure Under Transient Excitation
by Xiqi Lin, Xiaochun Nie, Junjie Fu, Yangdong Qin, Lingzhi Wang and Zhitao Yan
Buildings 2025, 15(19), 3561; https://doi.org/10.3390/buildings15193561 (registering DOI) - 2 Oct 2025
Abstract
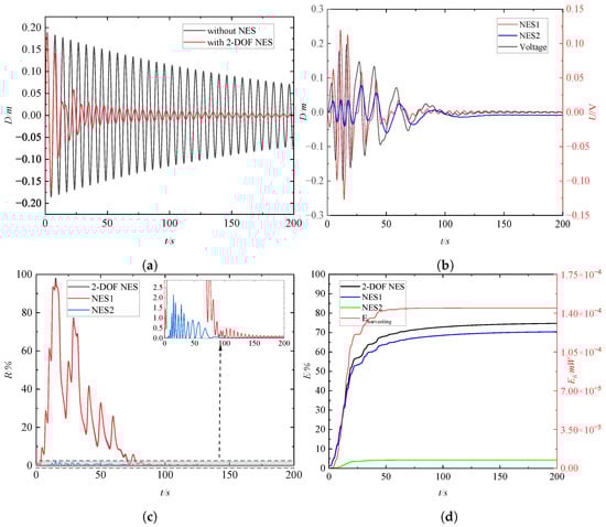
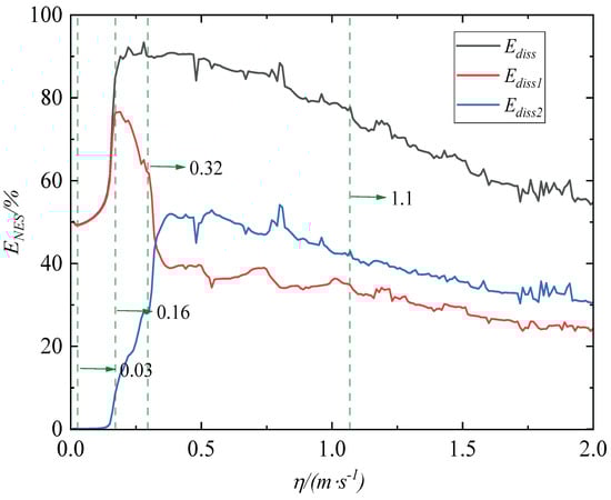
Environmental vibrations may affect the functional use of engineering structures and even lead to disastrous consequences. Vibration suppression and energy harvesting based on Nonlinear Energy Sink (NES) and the piezoelectric effect have gained significant attention in recent years. The harvested electrical energy can [...] Read more.
Environmental vibrations may affect the functional use of engineering structures and even lead to disastrous consequences. Vibration suppression and energy harvesting based on Nonlinear Energy Sink (NES) and the piezoelectric effect have gained significant attention in recent years. The harvested electrical energy can supply power to the structural health monitoring sensor device. In this work, the electromechanical-coupled governing equations of the primary structure coupled with the series-connected 2-degree-of-freedom NES (2-DOF NES) integrated by a piezoelectric energy harvester are derived. The absorption and dissipation performances of the system under varying transient excitation intensities are investigated. Additionally, the targeted energy transfer mechanism between the primary structure and the two NESs oscillators is investigated using the wavelet analysis. The reduced slow flow of the dynamical system is explored through the complex-variable averaging method, and the primary factors for triggering the target energy transfer phenomenon are revealed. Furthermore, a comparison is made between the vibration suppression performance of the single-degree-of-freedom NES (S-DOF NES) system and the 2-DOF NES system as a function of external excitation velocity. The results indicate that the vibration suppression performance of the first-level NES (NES1) oscillator is first stimulated. As the external excitation intensity gradually increases, the vibration suppression performance of the second-level NES (NES2) oscillator is also triggered. The 1:1:1, high-frequency, and low-frequency transient resonance captures are observed between the primary structure and NES1 and NES2 oscillators over a wide frequency range. The 2-DOF NES demonstrates superior efficiency in suppressing vibrations of the primary structure and exhibits enhanced robustness to varying external excitation intensities. This provides a new strategy for structural vibration suppression and online power supply for health monitoring devices. Full article
Show Figures

Figure 1

25 pages, 4111 KB  
Article
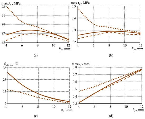
Influence of the Pattern of Coupling of Elements and Antifriction Interlayer Thickness of a Spherical Bearing on Structural Behavior
by Anna A. Kamenskikh, Anastasia P. Bogdanova, Yuriy O. Nosov and Yulia S. Kuznetsova
Designs 2025, 9(5), 117; https://doi.org/10.3390/designs9050117 (registering DOI) - 2 Oct 2025
Abstract
In this study, the behavior of the spherical bearing component of the L-100 bridge part (AlfaTech LLC, Perm, Russia) is considered within the framework of a finite element model. The influence of the pattern of the coupling of the antifriction interlayer with the [...] Read more.
In this study, the behavior of the spherical bearing component of the L-100 bridge part (AlfaTech LLC, Perm, Russia) is considered within the framework of a finite element model. The influence of the pattern of the coupling of the antifriction interlayer with the lower steel plate on the operation of the part is examined in terms of ideal contact, full adhesion, and frictional contact. The thickness of the antifriction interlayer varied from 4 to 12 mm. The dependencies of the contact parameters and the stress–strain state on the thickness were determined. Structurally modified polytetrafluoroethylene (PTFE) without AR-200 fillers was considered the material of the antifriction interlayer. The gradual refinement of the behavioral model of the antifriction material to account for structural and relaxation transitions was carried based on a wide range of experimental studies. The elastic–plastic and primary viscoelastic models of material behavior were constructed based on a series of homogeneous deformed-state experiments. The viscoelastic model of material behavior was refined using data from dynamic mechanical analysis over a wide temperature range [−40; +80] °C. In the first approximation, a model of the deformation theory of plasticity with linear elastic volumetric compressibility was identified. As a second approximation, a viscoelasticity model for the Maxwell body was constructed using Prony series. It was established that the viscoelastic model of the material allows for obtaining data on the behavior of the part with an error of no more than 15%. The numerical analog of the construction in an axisymmetric formulation can be used for the predictive analysis of the behavior of the bearing, including when changing the geometric configuration. Recommendations for the numerical modeling of the behavior of antifriction layer materials and the coupling pattern of the bearing elements are given in this work. A spherical bearing with an antifriction interlayer made of Arflon series material is considered for the first time. Full article
Show Figures

Figure 1

15 pages, 1468 KB  
Article
Performance Comparison of Hybrid and Standalone Piezoelectric Energy Harvesters Under Vortex-Induced Vibrations
by Issam Bahadur, Hassen Ouakad, El Manaa Barhoumi, Asan Muthalif, Muhammad Hafizh, Jamil Renno and Mohammad Paurobally
Modelling 2025, 6(4), 120; https://doi.org/10.3390/modelling6040120 - 2 Oct 2025
Abstract
This study investigates the effect of incorporating an electromagnetic harvester inside the bluff body of a 2-DoF hybrid harvester in comparison to a standalone piezoelectric harvester for various external loads. The harvester is excited through a vortex-induced vibration owing to the resultant wake [...] Read more.
This study investigates the effect of incorporating an electromagnetic harvester inside the bluff body of a 2-DoF hybrid harvester in comparison to a standalone piezoelectric harvester for various external loads. The harvester is excited through a vortex-induced vibration owing to the resultant wake vortices created behind the bluff body. The coupled dynamics of the two harvester components are modeled, and numerical simulations are conducted to evaluate the system’s performance under varying electrical loads. Numerical results show that at high, optimum electrical load, the standalone piezoelectric harvester outperforms the hybrid harvester. Nevertheless, for small electrical loads, the results show that the hybrid harvester outperforms the standalone PZT harvester by up to 18% in peak power output, while reducing the bandwidth by approximately 10% compared to the standalone piezoelectric harvester. Optimal spring stiffness values were identified, with the hybrid harvester achieving its maximum output power at a spring stiffness of 83.56 N/m. These findings underscore the need for careful design considerations, as the hybrid harvester may not achieve enhanced power output and bandwidth under higher electrical loads. Full article
Show Figures

Figure 1

14 pages, 1081 KB  
Article
Hybrid Deep Learning Approach for Secure Electric Vehicle Communications in Smart Urban Mobility
by Abdullah Alsaleh
Vehicles 2025, 7(4), 112; https://doi.org/10.3390/vehicles7040112 - 2 Oct 2025
Abstract
The increasing adoption of electric vehicles (EVs) within intelligent transportation systems (ITSs) has elevated the importance of cybersecurity, especially with the rise in Vehicle-to-Everything (V2X) communications. Traditional intrusion detection systems (IDSs) struggle to address the evolving and complex nature of cyberattacks in such [...] Read more.
The increasing adoption of electric vehicles (EVs) within intelligent transportation systems (ITSs) has elevated the importance of cybersecurity, especially with the rise in Vehicle-to-Everything (V2X) communications. Traditional intrusion detection systems (IDSs) struggle to address the evolving and complex nature of cyberattacks in such dynamic environments. To address these challenges, this study introduces a novel deep learning-based IDS designed specifically for EV communication networks. We present a hybrid model that integrates convolutional neural networks (CNNs), long short-term memory (LSTM) layers, and adaptive learning strategies. The model was trained and validated using the VeReMi dataset, which simulates a wide range of attack scenarios in V2X networks. Additionally, an ablation study was conducted to isolate the contribution of each of its modules. The model demonstrated strong performance with 98.73% accuracy, 97.88% precision, 98.91% sensitivity, and 98.55% specificity, as well as an F1-score of 98.39%, an MCC of 0.964, a false-positive rate of 1.45%, and a false-negative rate of 1.09%, with a detection latency of 28 ms and an AUC-ROC of 0.994. Specifically, this work fills a clear gap in the existing V2X intrusion detection literature—namely, the lack of scalable, adaptive, and low-latency IDS solutions for hardware-constrained EV platforms—by proposing a hybrid CNN–LSTM architecture coupled with an elastic weight consolidation (EWC)-based adaptive learning module that enables online updates without full retraining. The proposed model provides a real-time, adaptive, and high-precision IDS for EV networks, supporting safer and more resilient ITS infrastructures. Full article
Show Figures

Figure 1

18 pages, 382 KB  
Article
Self-Organized Criticality and Quantum Coherence in Tubulin Networks Under the Orch-OR Theory
by José Luis Díaz Palencia
AppliedMath 2025, 5(4), 132; https://doi.org/10.3390/appliedmath5040132 - 2 Oct 2025
Abstract
We present a theoretical model to explain how tubulin dimers in neuronal microtubules might achieve collective quantum coherence, resulting in wavefunction collapses that manifest as avalanches within a self-organized criticality (SOC) framework. Using the Orchestrated Objective Reduction (Orch-OR) theory as inspiration, we propose [...] Read more.
We present a theoretical model to explain how tubulin dimers in neuronal microtubules might achieve collective quantum coherence, resulting in wavefunction collapses that manifest as avalanches within a self-organized criticality (SOC) framework. Using the Orchestrated Objective Reduction (Orch-OR) theory as inspiration, we propose that microtubule subunits (tubulins) become transiently entangled via dipole–dipole couplings, forming coherent domains susceptible to sudden self-collapse. We model a network of tubulin-like nodes with scale-free (Barabási–Albert) connectivity, each evolving via local coupling and stochastic noise. Near criticality, the system exhibits power-law avalanches—abrupt collective state changes that we identify with instantaneous quantum wavefunction collapse events. Using the Diósi–Penrose gravitational self-energy formula, we estimate objective reduction times TOR=/Eg for these events in the 10–200 ms range, consistent with the Orch-OR conscious moment timescale. Our results demonstrate that quantum coherence at the tubulin level can be amplified by scale-free critical dynamics, providing a possible bridge between sub-neuronal quantum processes and large-scale neural activity. Full article
Show Figures

Figure 1

36 pages, 2757 KB  
Article
Research on the Fatigue Reliability of a Catenary Support Structure Under High-Speed Train Operation Conditions
by Guifeng Zhao, Chaojie Xin, Meng Wang and Meng Zhang
Buildings 2025, 15(19), 3542; https://doi.org/10.3390/buildings15193542 - 1 Oct 2025
Abstract
As the core component of electrified railway power supply systems, the fatigue performance and reliability of catenary support structures are directly related to the operational safety of high-speed railways. To address the problem of structural fatigue damage caused by increasing train speed and [...] Read more.
As the core component of electrified railway power supply systems, the fatigue performance and reliability of catenary support structures are directly related to the operational safety of high-speed railways. To address the problem of structural fatigue damage caused by increasing train speed and high-frequency operation, this study develops a refined finite element model including a support structure, suspension system and support column, and the dynamic response characteristics and fatigue life evolution law under train operation conditions are systematically analyzed. The results show that under the conditions of 250 km/h speed and 100 times daily traffic, the fatigue lives of the limit locator and positioning support are 43.56 years and 34.48 years, respectively, whereas the transverse cantilever connection and inclined cantilever have infinite life characteristics. When the train speed increases to 400 km/h, the annual fatigue damage of the positioning bearing increases from 0.029 to 0.065, and the service life is shortened by 55.7% to 15.27 years, which proves that high-speed working conditions significantly aggravate the deterioration of fatigue in the structure. The reliability analysis based on Monte Carlo simulation reveals that when the speed is 400 km/h and the daily traffic is 130 times, the structural reliability shows an exponential declining trend with increasing service life. If the daily traffic frequency exceeds 130, the 15-year reliability decreases to 92.5%, the 20-year reliability suddenly decreases to 82.4%, and there is a significant inflection point of failure in the 15–20 years of service. Considering the coupling effect of environmental factors (wind load, temperature and freezing), the actual failure risk may be higher than the theoretical value. On the basis of these findings, engineering suggestions are proposed: for high-speed lines with a daily traffic frequency of more than 130 times, shortening the overhaul cycle of the catenary support structure to 7–10 years and strengthening the periodic inspection and maintenance of positioning support and limit locators are recommended. The research results provide a theoretical basis for the safety assessment and maintenance decision making of high-speed railway catenary systems. Full article
(This article belongs to the Special Issue Buildings and Infrastructures under Natural Hazards)
30 pages, 10609 KB  
Article
Study on Seismic Performance of Asymmetric Rectangular Prefabricated Subway Station Structures in Soft Soil
by Yi Zhang, Tongwei Zhang, Shudong Zhou, Tao Du, Jinsheng Huang, Ming Zhang and Xun Cheng
Buildings 2025, 15(19), 3537; https://doi.org/10.3390/buildings15193537 - 1 Oct 2025
Abstract
With the continuous improvement of the prefabricated modular technology system, the prefabricated subway station structures are widely used in underground engineering projects. However, prefabricated subway stations in soft soil can suffer significant adverse effects under seismic action. In order to study the seismic [...] Read more.
With the continuous improvement of the prefabricated modular technology system, the prefabricated subway station structures are widely used in underground engineering projects. However, prefabricated subway stations in soft soil can suffer significant adverse effects under seismic action. In order to study the seismic performance of a prefabricated subway station, this work is based on an actual project of a subway station in soft soil. And the nonlinear static and dynamic coupling two-dimensional finite element models of cast-in-place structures (CIPs), assembly splicing structures (ASSs), and assembly monolithic structures (AMSs) are established, respectively. The soil-structure interaction is considered, and different peak ground accelerations (PGA) are selected for incremental dynamic analysis. The displacement response, internal force characteristics, and structural damage distribution for three structural forms are compared. The research results show that the inter-story displacement of the AMS is slightly greater than that of the CIP, while the inter-story displacement of the ASS is the largest. The CIP has the highest internal force in the middle column, the ASS has the lowest internal force in the middle column, and the AMS is between the two. The damage to the CIP is concentrated at the bottom of the middle column and sidewall. The AMS compression damage moves upward, but the tensile damage mode is similar to the CIP. The ASS can effectively reduce damage to the middle column and achieve redistribution of internal force. Further analysis shows that the joint splicing interface between cast-in-place and prefabricated components is the key to controlling the overall deformation and seismic performance of the structure. The research results can provide a theoretical basis for the seismic design optimization of subway stations in earthquake-prone areas. Full article
(This article belongs to the Section Building Structures)
21 pages, 1164 KB  
Article
An Energy Saving MTPA-Based Model Predictive Control Strategy for PMSM in Electric Vehicles Under Variable Load Conditions
by Lihua Gao, Xiaodong Lv, Kai Ma and Zhihan Shi
Computation 2025, 13(10), 231; https://doi.org/10.3390/computation13100231 - 1 Oct 2025
Abstract
To promote energy efficiency and support sustainable electric transportation, this study addresses the challenge of real-time and energy-optimal control of permanent magnet synchronous motors (PMSMs) in electric vehicles operating under variable load conditions, proposing a novel Laguerre-based model predictive control (MPC) strategy integrated [...] Read more.
To promote energy efficiency and support sustainable electric transportation, this study addresses the challenge of real-time and energy-optimal control of permanent magnet synchronous motors (PMSMs) in electric vehicles operating under variable load conditions, proposing a novel Laguerre-based model predictive control (MPC) strategy integrated with maximum torque per ampere (MTPA) operation. Traditional MPC methods often suffer from limited prediction horizons and high computational burden when handling strong coupling and time-varying loads, compromising real-time performance. To overcome these limitations, a Laguerre function approximation is employed to model the dynamic evolution of control increments using a set of orthogonal basis functions, effectively reducing the control dimensionality while accelerating convergence. Furthermore, to enhance energy efficiency, the MTPA strategy is embedded by reformulating the current allocation process using d- and q-axis current variables and deriving equivalent reference currents to simplify the optimization structure. A cost function is designed to simultaneously ensure current accuracy and achieve maximum torque per unit current. Simulation results under typical electric vehicle conditions demonstrate that the proposed Laguerre-MTPA MPC controller significantly improves steady-state performance, reduces energy consumption, and ensures faster response to load disturbances compared to traditional MTPA-based control schemes. This work provides a practical and scalable control framework for energy-saving applications in sustainable electric transportation systems. Full article
(This article belongs to the Special Issue Nonlinear System Modelling and Control)
22 pages, 5839 KB  
Article
Research and Application of Deep Coalbed Gas Production Capacity Prediction Models
by Aiguo Hu, Kezhi Li, Changyu Yao, Xinchun Zhu, Hui Chang, Zheng Mao, He Ma and Xinfang Ma
Processes 2025, 13(10), 3149; https://doi.org/10.3390/pr13103149 - 1 Oct 2025
Abstract
The accurate prediction of single-well production performance necessitates considering the multiple factors influencing the dynamic changes in coal seam permeability during deep coalbed methane (CBM) extraction. This study focuses on Block D of the Ordos Basin. The Langmuir monolayer adsorption model was selected [...] Read more.
The accurate prediction of single-well production performance necessitates considering the multiple factors influencing the dynamic changes in coal seam permeability during deep coalbed methane (CBM) extraction. This study focuses on Block D of the Ordos Basin. The Langmuir monolayer adsorption model was selected to describe gas adsorption behavior, and a productivity prediction model for deep CBM was developed by coupling multiple dynamic effects, including stress sensitivity, matrix shrinkage, gas slippage, and coal fines production and blockage. The results indicate that the stress sensitivity coefficients of artificial fracture networks and cleat fractures are key factors affecting the accuracy of CBM productivity predictions. Under accurate stress sensitivity coefficients, the predicted daily gas production rates of the productivity model for single wells showed errors ranging from 1.89% to 14.22%, with a mean error of 8.15%, while the predicted daily water production rates had errors between 0.35% and 17.66%, with a mean error of 8.68%. This demonstrates that the established productivity prediction model for deep CBM aligns with field observations. The findings can provide valuable references for production performance analysis and development planning for deep CBM wells. Full article
(This article belongs to the Special Issue Numerical Simulation and Application of Flow in Porous Media)
Show Figures

Figure 1

27 pages, 4866 KB  
Article
An Intelligent Control Framework for High-Power EV Fast Charging via Contrastive Learning and Manifold-Constrained Optimization
by Hao Tian, Tao Yan, Guangwu Dai, Min Wang and Xuejian Zhao
World Electr. Veh. J. 2025, 16(10), 562; https://doi.org/10.3390/wevj16100562 - 1 Oct 2025
Abstract
To address the complex trade-offs among charging efficiency, battery lifespan, energy efficiency, and safety in high-power electric vehicle (EV) fast charging, this paper presents an intelligent control framework based on contrastive learning and manifold-constrained multi-objective optimization. A multi-physics coupled electro-thermal-chemical model is formulated [...] Read more.
To address the complex trade-offs among charging efficiency, battery lifespan, energy efficiency, and safety in high-power electric vehicle (EV) fast charging, this paper presents an intelligent control framework based on contrastive learning and manifold-constrained multi-objective optimization. A multi-physics coupled electro-thermal-chemical model is formulated as a Mixed-Integer Nonlinear Programming (MINLP) problem, incorporating both continuous and discrete decision variables—such as charging power and cooling modes—into a unified optimization framework. An environment-adaptive optimization strategy is also developed. To enhance learning efficiency and policy safety, a contrastive learning–enhanced policy gradient (CLPG) algorithm is proposed to distinguish between high-quality and unsafe charging trajectories. A manifold-aware action generation network (MAN) is further introduced to enforce dynamic safety constraints under varying environmental and battery conditions. Simulation results demonstrate that the proposed framework reduces charging time to 18.3 min—47.7% faster than the conventional CC–CV method—while achieving 96.2% energy efficiency, 99.7% capacity retention, and zero safety violations. The framework also exhibits strong adaptability across wide temperature (−20 °C to 45 °C) and aging (SOH down to 70%) conditions, with real-time inference speed (6.76 ms) satisfying deployment requirements. This study provides a safe, efficient, and adaptive solution for intelligent high-power EV fast-charging. Full article
(This article belongs to the Section Charging Infrastructure and Grid Integration)
Show Figures

Figure 1

34 pages, 6690 KB  
Article
Assessing the Effect of Mineralogy and Reaction Pathways on Geological Hydrogen (H2) Generation in Ultramafic and Mafic (Basaltic) Rocks
by Abubakar Isah, Hamidreza Samouei and Esuru Rita Okoroafor
Hydrogen 2025, 6(4), 76; https://doi.org/10.3390/hydrogen6040076 - 1 Oct 2025
Abstract
This study evaluates the impact of mineralogy, elemental composition, and reaction pathways on hydrogen (H2) generation in seven ultramafic and mafic (basaltic) rocks. Experiments were conducted under typical low-temperature hydrothermal conditions (150 °C) and captured early and evolving stages of fluid–rock [...] Read more.
This study evaluates the impact of mineralogy, elemental composition, and reaction pathways on hydrogen (H2) generation in seven ultramafic and mafic (basaltic) rocks. Experiments were conducted under typical low-temperature hydrothermal conditions (150 °C) and captured early and evolving stages of fluid–rock interaction. Pre- and post-interactions, the solid phase was analyzed using X-ray Diffraction (XRD) and X-ray Photoelectron Spectroscopy (XPS), while Inductively Coupled Plasma Mass Spectrometry (ICP-MS) was used to determine the composition of the aqueous fluids. Results show that not all geologic H2-generating reactions involving ultramafic and mafic rocks result in the formation of serpentine, brucite, or magnetite. Our observations suggest that while mineral transformation is significant and may be the predominant mechanism, there is also the contribution of surface-mediated electron transfer and redox cycling processes. The outcome suggests continuous H2 production beyond mineral phase changes, indicating active reaction pathways. Particularly, in addition to transition metal sites, some ultramafic rock minerals may promote redox reactions, thereby facilitating ongoing H2 production beyond their direct hydration. Fluid–rock interactions also regenerate reactive surfaces, such as clinochlore, zeolite, and augite, enabling sustained H2 production, even without serpentine formation. Variation in reaction rates depends on mineralogy and reaction kinetics rather than being solely controlled by Fe oxidation states. These findings suggest that ultramafic and mafic rocks may serve as dynamic, self-sustaining systems for generating H2. The potential involvement of transition metal sites (e.g., Ni, Mo, Mn, Cr, Cu) within the rock matrix may accelerate H2 production, requiring further investigation. This perspective shifts the focus from serpentine formation as the primary driver of H2 production to a more complex mechanism where mineral surfaces play a significant role. Understanding these processes will be valuable for refining experimental approaches, improving kinetic models of H2 generation, and informing the site selection and design of engineered H2 generation systems in ultramafic and mafic formations. Full article
(This article belongs to the Special Issue Advances in Hydrogen Production, Storage, and Utilization)
Show Figures

Figure 1

21 pages, 4247 KB  
Article
Diverging Carbon Balance and Driving Mechanisms of Expanding and Shrinking Cities in Transitional China
by Jiawei Lei, Keyu Luo, Le Xia and Zhenyu Wang
Atmosphere 2025, 16(10), 1155; https://doi.org/10.3390/atmos16101155 - 1 Oct 2025
Abstract
The synergy between carbon neutrality and urbanization is essential for effective climate governance and socio-ecological intelligent transition. From the perspective of coupled urban dynamic evolution and carbon metabolism systems, this study integrates the Sen-MK trend test and the geographical detector model to explore [...] Read more.
The synergy between carbon neutrality and urbanization is essential for effective climate governance and socio-ecological intelligent transition. From the perspective of coupled urban dynamic evolution and carbon metabolism systems, this study integrates the Sen-MK trend test and the geographical detector model to explore the spatial–temporal differentiation patterns and driving mechanisms of carbon balance across 337 prefecture-level cities in China from 2012 to 2022. The results reveal a spatial–temporal mismatch between carbon emissions and carbon storage, forming an asymmetric carbon metabolism pattern characterized by “expansion-dominated and shrinkage-dissipative” dynamics. Carbon compensation rates exhibit a west–high to east–low gradient distribution, with hotspots of expansionary cities clustered in the southwest, while shrinking cities display a dispersed pattern from the northwest to the northeast. Based on the four-quadrant carbon balance classification, expansionary cities are mainly located in the “high economic–low ecological” quadrant, whereas shrinking cities concentrate in the “low economic–high ecological” quadrant. Industrial structure and population scale serve as the dual-core drivers of carbon compensation. Expansionary cities are positively regulated by urbanization rates, while shrinking cities are negatively constrained by energy intensity. These findings suggest that differentiated regulation strategies can help optimize carbon governance within national territorial space. Full article
(This article belongs to the Section Air Quality)
Show Figures

Figure 1

25 pages, 20183 KB  
Article
Dual Adaptive Neural Network for Solving Free-Flow Coupled Porous Media Models Under Unique Continuation Problem
by Kunhao Liu and Jibing Wu
Computation 2025, 13(10), 228; https://doi.org/10.3390/computation13100228 - 1 Oct 2025
Abstract
The core challenge of the Unique Continuity (UC) problem lies in inferring solutions across an entire domain using limited observational data, holding significant practical implications for multiphysics coupled models. Recently, physics-informed neural networks (PINNs) have shown considerable promise in addressing the UC problem. [...] Read more.
The core challenge of the Unique Continuity (UC) problem lies in inferring solutions across an entire domain using limited observational data, holding significant practical implications for multiphysics coupled models. Recently, physics-informed neural networks (PINNs) have shown considerable promise in addressing the UC problem. However, the reliance on a fixed activation function and a fixed weighted loss function prevents PINNs from adequately representing the multiphysics characteristics embedded in coupled models. To overcome these limitations, we propose a novel dual adaptive neural network (DANN) algorithm. This approach integrates trainable adaptive activation functions and an adaptively weighted loss scheme, enabling the network to dynamically balance the observational data and governing physics. Our method is applicable not only to the UC problem but also to general forward problems governed by partial differential equations. Furthermore, we provide a theoretical foundation for the algorithm by deriving a generalization error estimate, discussing the potential causes of neural networks solving this problem. Extensive numerical experiments including 3D demonstrate the superior accuracy and effectiveness of the proposed DANN framework in solving the UC problem compared to standard PINNs. Full article
(This article belongs to the Section Computational Engineering)
Show Figures

Figure 1

24 pages, 324 KB  
Article
Gender Role Reversal in Gig Economy Households: A Sociological Insight from Southeast Asia with Evidence from Pakistan
by Umar Daraz, Štefan Bojnec and Younas Khan
Societies 2025, 15(10), 276; https://doi.org/10.3390/soc15100276 - 1 Oct 2025
Abstract
The rapid growth of the gig economy and digital platforms is challenging traditional gender roles, particularly in developing countries where structural inequalities continue to shape labor and household dynamics. Despite growing global interest in gender equity and digital inclusion, limited research has examined [...] Read more.
The rapid growth of the gig economy and digital platforms is challenging traditional gender roles, particularly in developing countries where structural inequalities continue to shape labor and household dynamics. Despite growing global interest in gender equity and digital inclusion, limited research has examined how gig work, digital access, and women’s income contributions interact to influence household gender dynamics within culturally conservative contexts. This study aimed to investigate the multidimensional impacts of women’s participation in gig work on time use redistribution, intra-household decision making, gender ideology, and role reversal within households in Pakistan. Using a cross-sectional survey design, data were collected from a representative sample of married couples engaged in the gig economy across urban and peri-urban areas of Pakistan. A quantitative analysis was conducted employing a combination of an analysis of variance, ordinal logistic regression, hierarchical multiple regression, and structural equation modeling to evaluate the direct and indirect relationships between constructs. The findings revealed that women’s gig work participation significantly predicted enhanced digital access, greater income contributions, and increased intra-household decision-making power. These, in turn, contributed to a measurable shift in gender ideology toward equality norms and a partial reversal of traditional gender roles, particularly in household labor division. The study concludes that the intersection of economic participation and digital empowerment serves as a catalyst for progressive gender restructuring within households. Policy implications include the need for gender-responsive labor policies, investment in digital infrastructure, and targeted interventions to support empowering women in non-traditional work roles. Full article
19 pages, 2021 KB  
Article
Fate of Tebuconazole and Trifloxystrobin in Edible Rose Petals: Storage Stability and Human Health Risk Assessment
by Xiaotong Qin, Jinwei Zhang, Yan Tao, Li Chen, Pingzhong Yu, Junjie Jing, Ercheng Zhao, Yongquan Zheng and Min He
Molecules 2025, 30(19), 3938; https://doi.org/10.3390/molecules30193938 - 1 Oct 2025
Abstract
This study addresses the absence of maximum residue limits (MRLs) for tebuconazole and trifloxystrobin in edible rose petals in China by systematically evaluating the residue behavior and dietary exposure risks of these fungicides. An analytical method based on QuEChERS sample preparation coupled with [...] Read more.
This study addresses the absence of maximum residue limits (MRLs) for tebuconazole and trifloxystrobin in edible rose petals in China by systematically evaluating the residue behavior and dietary exposure risks of these fungicides. An analytical method based on QuEChERS sample preparation coupled with UPLC–MS/MS was developed for the simultaneous determination of tebuconazole, trifloxystrobin, and its metabolite CGA321113 in fresh and dried rose petals. Field trials under the highest application conditions (184 g a.i./hm2, applied twice) were conducted to investigate residue dissipation dynamics, storage stability, processing concentration effects, and transfer behavior during brewing. Results indicated that the target compounds remained stable in rose petals for 12 months at –20 °C ± 2 °C. The drying process significantly concentrated residues due to the hydrophobic nature of the compounds, with enrichment factors ranging from 3.0 to 3.9. Brewing tests further confirmed low transfer rates of tebuconazole, trifloxystrobin, and CGA321113 into the infusion, consistent with their low water solubility and high log Kow values. Residue dissipation followed first-order kinetics, with half-lives of 1.9–2.9 days for tebuconazole and 1.2–2.7 days for trifloxystrobin. Dietary risk assessment showed an acceptable risk for trifloxystrobin (RQ = 22.7%) but a high risk for tebuconazole (RQ = 175.1%). It is recommended to set the MRL for both tebuconazole and trifloxystrobin in edible roses at 15.0 mg/kg. This standard ensures consumer safety while accommodating agricultural needs and aligns with international regulations. For the high-risk pesticide tebuconazole, measures such as optimizing application strategies and promoting integrated management should be implemented to mitigate residue risks. Full article
Show Figures

Figure 1

Back to TopTop