Influence of the Pattern of Coupling of Elements and Antifriction Interlayer Thickness of a Spherical Bearing on Structural Behavior
Abstract
1. Introduction
1.1. Research Objectives
- The construction of an antifriction interlayer material model that takes into account the nonlinear effects of deformation behavior.
- The influence analysis of the matting pattern of the lower steel plate and the antifriction interlayer in terms of structural behavior.
- The influence analysis of the antifriction interlayer thickness in bearing operation.
- The influence analysis of the material behavioral model for the contact stress–strain state of the bearing.
- The analysis of the bearing behavior with structurally modified polytetrafluoroethylene (PTFE) without an AR-200 filler interlayer.
1.2. Problem Context and Description
2. Materials and Methods
2.1. The Design of the Spherical Bearing
- -
- Sliding
- -
- No contact
- -
- Full attachment (adhesion)
- An ideal contact, created by modeling a finite element node-to-node grid, which makes it possible to obtain uniform fields of displacements, stresses, and deformations at the interface:
- Full adhesion, which corresponds to the processing of the conjugation surface of the “torn thread” type (3).
- Frictional contact (1)–(3), which includes different statuses with a previously unknown pattern of their distribution over the surface: full adhesion, sliding, and no contact.
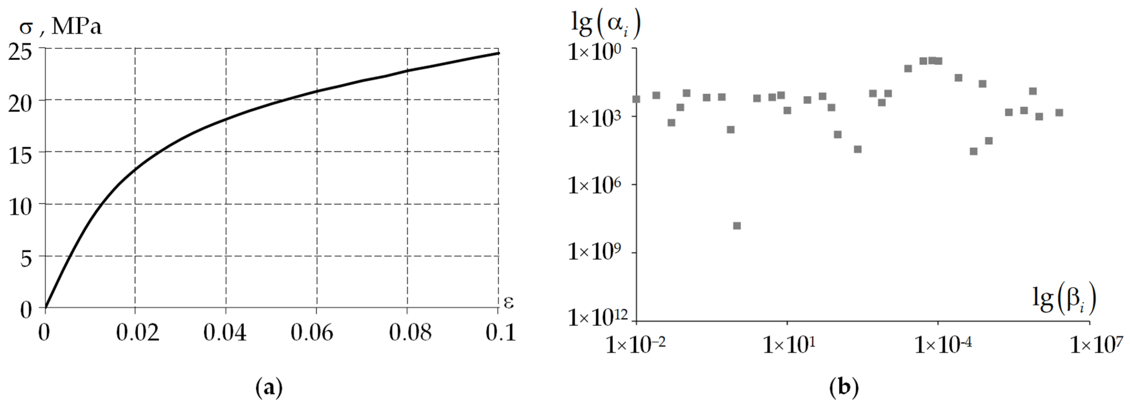
2.2. Antifriction Interlayer Material
2.3. The Numerical Model
3. Results
3.1. Analysis of the Effect of the Interface Pattern of the Antifriction Interlayer with the Lower Steel Plate at an Interlayer Standard Thickness
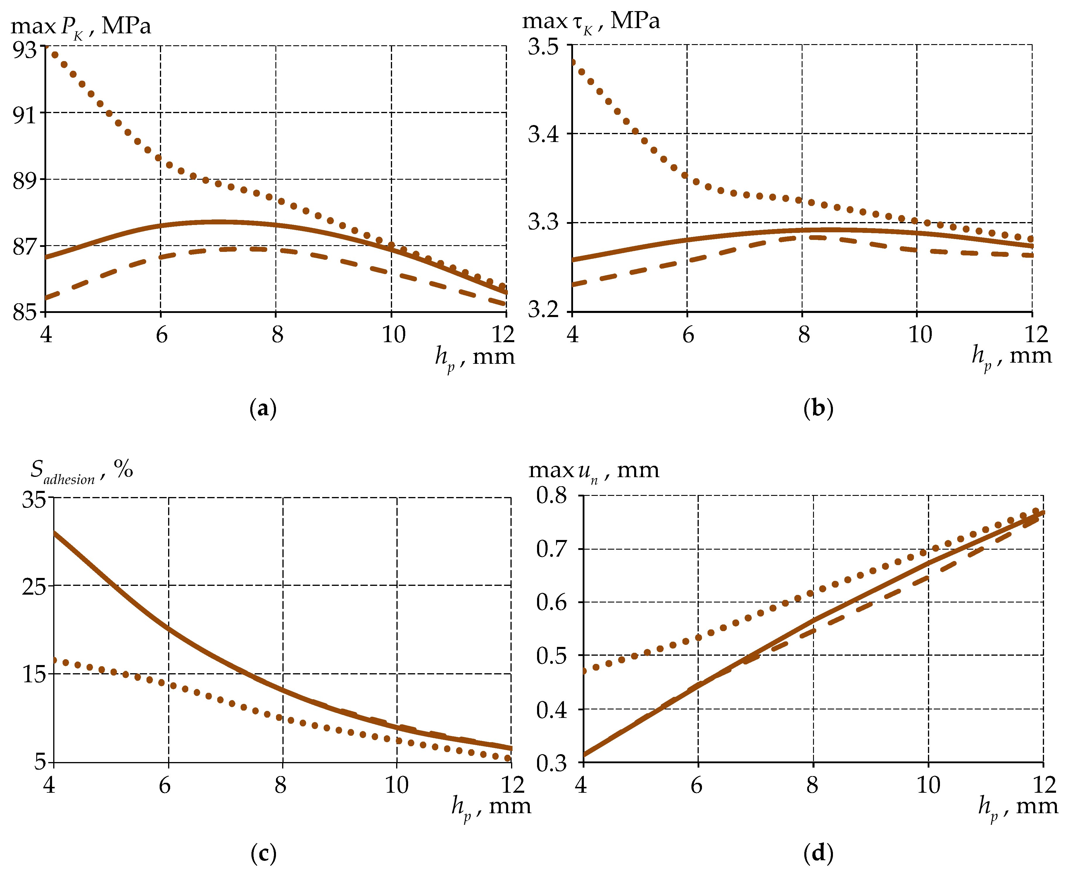
3.2. Analysis of the Effect of the Thickness of the Bearing Antifriction Interlayer on the Structure’s Behavior
3.2.1. Ideal Contact Along the Interface Surfaces of the Antifriction Interlayer with the Lower Steel Plate
3.2.2. Comparative Analysis of the Structure’s Behavior at Different Thicknesses and Antifriction Interlayer Interfaces
3.3. Influence Analysis of the Behavioral Model of the Antifriction Interlayer Material
- The elastic–plastic model of the material behavior is based on experimental data on the free compression of cylindrical samples. The model is implemented only for the case of active loading.
- The viscoelasticity (USS) model is based on data from multi-stage tests for free compression of cylindrical samples to a maximum strain level of 10% with relaxation, unloading, and recovery areas. The model is limited within the range of temperatures close to room temperatures of 22–23 °C. The plasticity of the material and a number of phenomena and effects of the viscoelastic pattern are not taken into account.
- The viscoelasticity (DMA) model is based on the entire set of experimental data, taking into account the DMA study of material behavior over a wide temperature range. The model does not take into account the plasticity of the material.
Comparative Analysis of Viscoelastic and Elastic–Plastic Models of Material Behavior
4. Discussion
5. Conclusions
- (1)
- The change in the coupling conditions has the greatest effect on the area of full adhesion . In the case of ideal contact and full adhesion , the total adhesion area is 30.97% of the initial contact area, and in the case of frictional contact, it is 16.48% of the initial contact area.
- (2)
- The maximum differences between solutions with the modeling of a contact pair of elements for different types of contact are observed in the normal movement of the end face. The difference between frictional contact and ideal contact is about 50%; full adhesion is no more than 7.5%. Contact pressure: the difference between full adhesion and ideal contact is 5.64%, and for frictional contact is 23.47%.
- (3)
- The effects of plastic flow of the material in the vicinity of the protrusion zone of the antifriction interlayer were observed, which needs to be clarified within the framework of applying the viscoelastic behavioral model in numerical implementation.
- -
- The consideration of the experimentally obtained friction properties of the steel–polymer pair in the analysis of the deformation behavior of the structure;
- -
- The analysis of the effects of cyclic and seismic loads, including temperature and time considerations;
- -
- The transition to a viscoelastic–plastic model of antifriction material behavior.
Author Contributions
Funding
Institutional Review Board Statement
Informed Consent Statement
Data Availability Statement
Conflicts of Interest
References
- Gonzalez, A.; Wiener, M.; Valdez salas, B.; Mungaray, A. Bridges: Structures and Materials, Ancient and Modern. In Infrastructure Management and Construction; IntechOpen: London, UK, 2020. [Google Scholar] [CrossRef]
- Presta, F.; Gibbens, B.; Turner, J. Sydney Gateway’s Twin Network Arches: A Case Study in Complex Bridge Design and Construction. In Proceedings of the Environmentally Friendly Technologies and Structures: Focusing on Sustainable Approaches, Tokyo, Japan, 18–21 May 2025; pp. 1630–1638. [Google Scholar] [CrossRef]
- Zhao, W.; Yang, B.; Nian, Y. Study on economic design and construction program of steel-hybrid combined girder bridge. Adv. Comput. Eng. Technol. Res. 2024, 1, 52. [Google Scholar] [CrossRef]
- Jalaei, F.; Zhang, J.; Mcneil-Ayuk, N.; McLeod, C. Environmental life cycle assessment (LCA) for design of climate-resilient bridges—A comprehensive review and a case study. Int. J. Constr. Manag. 2024, 25, 99–114. [Google Scholar] [CrossRef]
- D’Amato, M.; Ranaldo, A.; Rosciano, M.; Zona, A.; Morici, M.; Gioiella, L.; Micozzi, F.; Poeta, A.; Quaglini, V.; Cattaneo, S.; et al. The Development and Statistical Analysis of a Material Strength Database of Existing Italian Prestressed Concrete Bridges. Infrastructures 2025, 10, 203. [Google Scholar] [CrossRef]
- Ranaldo, A.; Lo Monaco, A.; Palmiotta, A.; D’Amato, M.; Lippolis, A.; Vacca, V.; Sarno, R. A preliminary investigation on material properties of existing prestressed concrete beams. Procedia Struct. Integr. 2024, 62, 145–152. [Google Scholar] [CrossRef]
- Immanuel, Y.; Rifai, A.I.; Saputra, A.J. Bridge Structural Design Simulation: Case Study of Nongsa Pura Bridge. OPSearch Am. J. Open Res. 2024, 3, 268–276. [Google Scholar] [CrossRef]
- Xiong, C.; Shang, Z.; Wang, M.; Lian, S. Dynamic Monitoring of a Bridge from GNSS-RTK Sensor Using an Improved Hybrid Denoising Method. Sensors 2025, 25, 3723. [Google Scholar] [CrossRef] [PubMed]
- Xi, R.J.; He, Q.Y.; Meng, X.L. Bridge monitoring using multi-GNSS observations with high cutoff elevations: A case study. Measurement 2021, 168, 108303. [Google Scholar] [CrossRef]
- Eggert, H.; Kauschke, W. Structural Bearings; Ernst & Sohn: Berlin, Germany, 2002. [Google Scholar]
- Taghipour, A.; Zakeri, J.; Ghozat, A.; Mosayebi, S. Dynamic Behavior Assessment of a Railway Bridge in Isfahan under Over-Height Vehicle Collision Loads and Proposing Maintenance Strategies to Enhance Its Performance. Int. J. Railw. Res. 2025, 12, 34–39. [Google Scholar] [CrossRef]
- Lin, Z.; Xia, D.; Jiang, Y.; Yuan, Z.; Wang, H.; Lin, L. Experimental and Numerical Investigation of Localized Wind Effects from Terrain Variations at a Coastal Bridge Site. J. Mar. Sci. Eng. 2025, 13, 1223. [Google Scholar] [CrossRef]
- Kang, D.H.; Hyun, J.H. Evaluation of the durability of spherical bridge bearing using polyamide engineering plastic middle plate. J. Korean Soc. Urban Railw. 2021, 9, 1021–1031. [Google Scholar] [CrossRef]
- Yang, Y.; Zhang, Y.; Ju, J. Study on the mechanical properties of a type of spherical bearing. J. Theor. Appl. Mech. 2021, 59, 539–550. [Google Scholar] [CrossRef]
- Borisov, A.I.; Gnatyuk, G.A. Assessment of transport accessibility of the Arctic regions of the Republic of Sakha (Yakutia). Transp. Res. Procedia 2022, 61, 289–293. [Google Scholar] [CrossRef]
- Abarca, A.; Monteiro, R.; O’Reilly, G.J. Seismic risk prioritisation schemes for reinforced concrete bridge portfolios. Struct. Infrastruct. Eng. 2023, 21, 49–69. [Google Scholar] [CrossRef]
- Zhang, P.; Zhao, H.; Shao, Z.; Jiang, L.; Hu, H.; Zeng, Y.; Xiang, P. A rapid analysis framework for seismic response prediction and running safety assessment of train-bridge coupled systems. Soil Dyn. Earthq. Eng. 2024, 177, 108386. [Google Scholar] [CrossRef]
- Wei, B.; Chen, M.; Jiang, L.; Li, C.; Chen, Y.; Lu, A.; Yang, Z.; Li, S. The influence of spherical bridge bearings on train running safety during earthquakes considering train-track–bridge interaction and soil specification. Arch. Civ. Mech. Eng. 2025, 25, 143. [Google Scholar] [CrossRef]
- Ye, X.W.; Xia, P.S.; Su, Y.H.; Chen, B. Analysis and probabilistic modeling of wind characteristics of an arch bridge using structural health monitoring data during typhoons. Struct. Eng. Mech. Int. J. 2017, 63, 809–824. [Google Scholar] [CrossRef]
- Yan, L.; Gou, X.Y.; Zhang, X.; Jiang, Y.; Ran, X.W.; Zhang, P. Experimental and Numerical Investigations on the Spherical Steel Bearing Capacity of New Anti-Separation Design. KSCE J. Civ. Eng. 2024, 28, 889–903. [Google Scholar] [CrossRef]
- Ding, M.; Li, C.X.; Liang, Z.M.; Ju, J.S. Research on the Failure Characteristics of a Spherical Bearing. Strength Mater. 2022, 54, 536–544. [Google Scholar] [CrossRef]
- Shi, X.; Liu, Z.; Guo, T.; Cai, C.S.; Jiang, C. Investigation on contact stress calculation method of spherical hinge structures for swivel construction. Structures 2024, 69, 107290. [Google Scholar] [CrossRef]
- Lin, S.-C. Friction and Lubrication of Sliding Bearings. Lubricants 2023, 11, 226. [Google Scholar] [CrossRef]
- Gajewski, M.D.; Miecznikowski, M. Assessment of the Suitability of Elastomeric Bearings Modeling Using the Hyperelasticity and the Finite Element Method. Materials 2021, 14, 7665. [Google Scholar] [CrossRef] [PubMed]
- Adamov, A.A.; Kamenskikh, A.A.; Pankova, A.P.; Strukova, V.I. Comparative Analysis of the Work of Bridge Spherical Bearing at Different Antifriction Layer Locations. Lubricants 2022, 10, 207. [Google Scholar] [CrossRef]
- Han, O.; Kwark, J.-W.; Lee, J.-W.; Han, W.-J. Analytical Study on the Frictional Behavior of Sliding Surfaces Depending on Ceramic Friction Materials. Appl. Sci. 2023, 13, 234. [Google Scholar] [CrossRef]
- Hu, Q.; Pei, Q.; Li, P. Reducing the Friction Coefficient of Heavy-Load Spherical Bearings in Bridges Using Surface Texturing—A Numerical Study. Lubricants 2025, 13, 180. [Google Scholar] [CrossRef]
- Zhang, H.; Liu, Y.; Wang, W.; Qin, L.; Dong, G. Surface texture design and its tribological application. J. Mech. Eng. 2019, 55, 85–93. [Google Scholar] [CrossRef]
- Lu, P.; Wood, R.J. Tribological performance of surface texturing in mechanical applications—A review. Surf. Topogr. Metrol. Prop. 2020, 8, 043001. [Google Scholar] [CrossRef]
- Wang, H.; Sun, A.; Qi, X.; Dong, Y.; Fan, B. Experimental and analytical investigations on tribological properties of PTFE/AP composites. Polymers 2021, 13, 4295. [Google Scholar] [CrossRef]
- Deshwal, D.; Belgamwar, S.U.; Bekinal, S.I.; Doddamani, M. Role of reinforcement on the tribological properties of polytetrafluoroethylene composites: A comprehensive review. Polym. Compos. 2024, 45, 14475–14497. [Google Scholar] [CrossRef]
- Berladir, K.; Antosz, K.; Ivanov, V.; Mitaľová, Z. Machine Learning-Driven Prediction of Composite Materials Properties Based on Experimental Testing Data. Polymers 2025, 17, 694. [Google Scholar] [CrossRef]
- Yi, X.; Du, S.; Zhang, L. Composite Materials Engineering, Volume 1: Fundamentals of Composite Materials; Springer: Singapore, 2018. [Google Scholar] [CrossRef]
- Wang, Q.J.; Chung, Y.W. Antifriction Materials and Composites; Springer: Boston, MA, USA, 2013. [Google Scholar] [CrossRef]
- Lin, Z.; Zhang, K.; Ye, J.; Li, X.; Zhao, X.; Qu, T.; Liu, Q.; Gao, B. The effects of filler type on the friction and wear performance of PEEK and PTFE composites under hybrid wear conditions. Wear 2022, 490–491, 204178. [Google Scholar] [CrossRef]
- Abdul, S.M. Recent Advances in UHMWPE/UHMWPE Nanocomposite/UHMWPE Hybrid Nanocomposite Polymer Coatings for Tribological Applications: A Comprehensive Review. Polymers 2021, 13, 608. [Google Scholar] [CrossRef]
- Park, J.-H.; Lee, J.-W. Friction Behavior of Ceramic Materials for the Development of Bridge-Bearing Friction Materials. Appl. Sci. 2025, 15, 152. [Google Scholar] [CrossRef]
- Park, J.H.; Lee, J.W.; Kwark, J.W.; Han, W.J.; Han, O. Characteristics of Friction Behavior of Ceramic Friction Materials according to Surface Materials. J. Korean Recycl. Constr. Resour. Inst. 2023, 11, 535–541. [Google Scholar]
- Bokhoeva, L.A.; Rogov, V.E.; Chermoshentseva, A.S. Antifriction fluoroplastic materials for sliding layers in bridge supports. Mag. Civ. Eng. 2024, 17, 13104. [Google Scholar] [CrossRef]
- Lenk, R.S. Polymer Rheology; Springer Science & Business Media: Dordrecht, The Netherlands, 2012. [Google Scholar] [CrossRef]
- Kraus, M.; Niederwald, M.; Siebert, G.; Keuser, M. Rheological modelling of linear viscoelastic materials for strengthening in bridge engineering. In Proceedings of the 11th German Japanese Bridge Symposium, Osaka, Japan, 30–31 August 2016; pp. 30–31. [Google Scholar]
- Nguyen, T.Q.; Nguyen, T.T.; Nguyen, P.T. Nguyen Analysis of vibration characteristics of bridge spans based on the viscoelastic material model: Investigating the relationship between material properties and dynamic parameters. Structures 2025, 7, 108788. [Google Scholar] [CrossRef]
- Wang, D. Modelling the Contact Behaviour in the Presence of Viscoelasticity. Ph.D. Thesis, University of Leeds, Leeds, UK, 2025. [Google Scholar]
- Doh, J.; Hur, S.H.; Lee, J. Viscoplastic parameter identification of temperature-dependent mechanical behavior of modified polyphenylene oxide polymers. Polym. Eng. Sci. 2019, 59, E200–E211. [Google Scholar] [CrossRef]
- Liu, E.; Wu, J.; Li, H.; Liu, H.; Xiao, G.; Shen, Q.; Kong, L.; Lin, J. Research on viscoelastic behavior of semi-crystalline polymers using instrumented indentation. Polym. Sci. 2021, 59, 1795. [Google Scholar] [CrossRef]
- Alam, M.I.; Khan, D.; Mittal, Y.; Kumar, S. Effect of crack tip shape on near-tip deformation and fields in plastically compressible solids. J. Braz. Soc. Mech. Sci. Eng. 2019, 41, 441. [Google Scholar] [CrossRef]
- Persson, B.N.J. Sliding Friction: Physical Principles and Applications; Springer Science & Business Media: Berlin/Heidelberg, Germany, 2013. [Google Scholar] [CrossRef]
- Li, Y.; Guo, W.; Huang, X.; Chen, Z.; Gao, Y. Friction Characteristics and Lubrication Properties of Spherical Hinge Structure of Swivel Bridge. Lubricants 2024, 12, 130. [Google Scholar] [CrossRef]
- Adamov, A.A.; Keller, I.E.; Ivanov, Y.N.; Utev, N.V. Basic Tests and Identification of a Model of Viscoelastic Behavior of Elastomers under Finite Deformations. Mech. Solids 2024, 59, 3831–3843. [Google Scholar] [CrossRef]
- Ilyin, S.O. Structural Rheology in the Development and Study of Complex Polymer Materials. Polymers 2024, 16, 2458. [Google Scholar] [CrossRef]
- Adamov, A.A.; Kamenskikh, A.A. The Deformation Behavior of Modern Antifriction Polymer Materials in the Elements of Transport and Logistics Systems with Frictional Contact. In Digital Science 2019. DSIC 2019. Advances in Intelligent Systems and Computing; Antipova, T., Rocha, Á., Eds.; Springer: Cham, Switzerland, 2020; Volume 1114. [Google Scholar] [CrossRef]
- Chen, W.W.; Wang, Q.J. Thermomechanical analysis of elastoplastic bodies in a sliding spherical contact and the effects of sliding speed, heat partition, and thermal softening. J. Tribol. 2008, 130, 041402. [Google Scholar] [CrossRef]
- Fang, X.; Zhang, C.; Chen, X.; Wang, Y.; Tan, Y. A new universal approximate model for conformal contact and non-conformal contact of spherical surfaces. Acta Mech. 2015, 226, 1657–1672. [Google Scholar] [CrossRef]
- Tao, L.; Wang, Q.; Qi, Z.; Wu, H.; Zhu, H.; Huang, J. Analysis of the Rolling Interface Contact Characteristics in Mixed Lubrication Based on Gaussian Distribution Theory. Materials 2023, 16, 5220. [Google Scholar] [CrossRef]
- Nosov, Y.O.; Kamenskikh, A.A. Experimental Study of the Rheology of Grease by the Example of CIATIM-221 and Identification of Its Behavior Model. Lubricants 2023, 11, 295. [Google Scholar] [CrossRef]
- Kamenskikh, A.A.; Nosov, Y.O.; Bogdanova, A.P. The Study Influence Analysis of the Mathematical Model Choice for Describing Polymer Behavior. Polymers 2023, 15, 3630. [Google Scholar] [CrossRef]
- Kamenskih, A.A.; Trufanov, N.A. Regularities interaction of elements contact spherical unit with the antifrictional polymeric interlayer. J. Frict. Wear 2015, 36, 170–176. [Google Scholar] [CrossRef]
- Roeder, C.W.; Stanton, J.F.; Campbell, T.I. Rotation of High Load Multirotational Bridge Bearings. J. Struct. Eng. 1995, 121, 747–756. [Google Scholar] [CrossRef]
- Deng, N.; He, M.; Gu, N.; Liang, H. Design and Performance Research of a New Type of Spherical Force-Measuring Bearing of Bridges Based on Button Type Microsensor. KSCE J. Civ. Eng. 2024, 28, 5066–5076. [Google Scholar] [CrossRef]
- Adamov, A.A.; Keller, I.E.; Petukhov, D.S.; Kuzminykh, V.S.; Patrakov, I.M.; Grakovich, P.N.; Shilko, I.S. Evaluation of the Performance of PTFE-Composites as Antifriction Layers in Supporting Parts with a Spherical Segment. J. Frict. Wear 2023, 44, 127–134. [Google Scholar] [CrossRef]
- Zhao, L.; Sun, X.; Wu, Z.; Chen, Y.; Liu, J.; Wang, Y. Nonlinear Static Analysis of Spherical Hinges in Horizontal Construction of Bridges. Buildings 2024, 14, 3726. [Google Scholar] [CrossRef]



















| Parameter | Designation on the Diagram | Meaning |
|---|---|---|
| The height of the structure | 54 mm | |
| The height of the upper steel plate with a polished spherical segment | 20 mm | |
| The height of the lower steel plate with a spherical cutout | mm | |
| The standard interlayer thickness | 4 mm | |
| The standard inclination angle of the antifriction interlayer end face | 30° | |
| The width | 155 mm |
Disclaimer/Publisher’s Note: The statements, opinions and data contained in all publications are solely those of the individual author(s) and contributor(s) and not of MDPI and/or the editor(s). MDPI and/or the editor(s) disclaim responsibility for any injury to people or property resulting from any ideas, methods, instructions or products referred to in the content. |
© 2025 by the authors. Licensee MDPI, Basel, Switzerland. This article is an open access article distributed under the terms and conditions of the Creative Commons Attribution (CC BY) license (https://creativecommons.org/licenses/by/4.0/).
Share and Cite
Kamenskikh, A.A.; Bogdanova, A.P.; Nosov, Y.O.; Kuznetsova, Y.S. Influence of the Pattern of Coupling of Elements and Antifriction Interlayer Thickness of a Spherical Bearing on Structural Behavior. Designs 2025, 9, 117. https://doi.org/10.3390/designs9050117
Kamenskikh AA, Bogdanova AP, Nosov YO, Kuznetsova YS. Influence of the Pattern of Coupling of Elements and Antifriction Interlayer Thickness of a Spherical Bearing on Structural Behavior. Designs. 2025; 9(5):117. https://doi.org/10.3390/designs9050117
Chicago/Turabian StyleKamenskikh, Anna A., Anastasia P. Bogdanova, Yuriy O. Nosov, and Yulia S. Kuznetsova. 2025. "Influence of the Pattern of Coupling of Elements and Antifriction Interlayer Thickness of a Spherical Bearing on Structural Behavior" Designs 9, no. 5: 117. https://doi.org/10.3390/designs9050117
APA StyleKamenskikh, A. A., Bogdanova, A. P., Nosov, Y. O., & Kuznetsova, Y. S. (2025). Influence of the Pattern of Coupling of Elements and Antifriction Interlayer Thickness of a Spherical Bearing on Structural Behavior. Designs, 9(5), 117. https://doi.org/10.3390/designs9050117

