Sign in to use this feature.

Years

Between: -

Subjects

remove_circle_outline
remove_circle_outline
remove_circle_outline
remove_circle_outline
remove_circle_outline
remove_circle_outline
remove_circle_outline
remove_circle_outline
remove_circle_outline

Journals

remove_circle_outline
remove_circle_outline
remove_circle_outline
remove_circle_outline
remove_circle_outline
remove_circle_outline
remove_circle_outline
remove_circle_outline
remove_circle_outline
remove_circle_outline
remove_circle_outline

Article Types

Countries / Regions

remove_circle_outline
remove_circle_outline
remove_circle_outline
remove_circle_outline
remove_circle_outline
remove_circle_outline

Search Results (415)

Search Parameters:
Keywords = coordination sphere

Order results
Result details
Results per page
Select all
Export citation of selected articles as:
8 pages, 1453 KB  
Short Note
8,8′-Dichloro-2,2,2′,2′-tetraethyl-4,4′-bibenzo[1,3,6,2]dioxazastannocinylidene
by Irina N. Meshcheryakova, Ilya A. Yakushev, Anton V. Cherkasov, Maxim V. Arsenyev, Anastasiya V. Klimashevskaya, Dmitriy S. Kolevatov and Alexandr V. Piskunov
Molbank 2025, 2025(4), M2083; https://doi.org/10.3390/M2083 - 4 Nov 2025
Viewed by 134
Abstract
Upon the reaction of glyoxal-bis(2-hydroxy-5-chlorophenyl)imine LH2 with diethyltin dichloride in the presence of a base (Et3N) in DMSO, the 1D-coordination polymer 1 was obtained, in which formally the L’(SnEt2)2 fragment acts as a monomeric unit. It was [...] Read more.
Upon the reaction of glyoxal-bis(2-hydroxy-5-chlorophenyl)imine LH2 with diethyltin dichloride in the presence of a base (Et3N) in DMSO, the 1D-coordination polymer 1 was obtained, in which formally the L’(SnEt2)2 fragment acts as a monomeric unit. It was found that during the reaction, the initial ligand L undergoes transformation in the tin atom’s coordination sphere. This transformation results in the formation of a new ditopic 1,4-bis((5-chloro-2-oxidophenyl)imino)but-2-ene-2,3-bis(olate) ligand L’. The structure of the resulting complex 1 was examined by single-crystal X-ray diffraction analysis, elemental analysis, IR, and UV spectroscopy. Full article
Show Figures

Figure 1

14 pages, 3402 KB  
Article
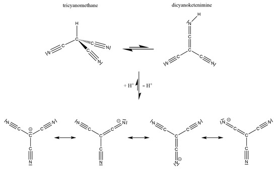
Ytterbium(III) Tricyanomethanides with Sodium and Potassium: Similarities and Differences Between NaYb[C(CN)3]4 and KYb[C(CN)3]4
by Ralf J. C. Locke, Giuseppe Montana, Robert U. Stelzer, Anahita I. A. Emminghaus, Falk Lissner, Olaf Reckeweg, Thomas Schleid and Claudia Wickleder
Molecules 2025, 30(21), 4284; https://doi.org/10.3390/molecules30214284 - 4 Nov 2025
Viewed by 198
Abstract
Metathesis reactions of Ag[C(CN)3] with anhydrous YbCl3 dissolved in water combined with stoichiometric amounts of the alkali-metal salts A[C(CN)3] (A = Na or K) yield the non-isotypic tetragonal compounds NaYb[C(CN)3]4 (P4/ [...] Read more.
Metathesis reactions of Ag[C(CN)3] with anhydrous YbCl3 dissolved in water combined with stoichiometric amounts of the alkali-metal salts A[C(CN)3] (A = Na or K) yield the non-isotypic tetragonal compounds NaYb[C(CN)3]4 (P4/nnc with a = 1188.37(9) pm, c = 1232.41(9) pm) and KYb[C(CN)3]4 (P4/nbm with a = 1179.26(9) pm, c = 668.73(5) pm). Both crystal structures contain a three-dimensional framework (Niggli formula: 3{(Yb[C(CN)3]8/2)}) with Yb3+ in square antiprismatic coordination of terminal nitrogen atoms (d(Yb–N) = 241–242 pm) from eight planar star-shaped tricyanomethanide anions [C(CN)3]. The Na+ or K+ cations occupy vacancies, which provide them with a tetrahedral coordination sphere of nitrogen (d(Na–N) = 239 pm vs. d(K–N) = 276 pm) from four [C(CN)3] anions. This difference results from secondary contacts with the central carbon atoms (d(Na–C) = 361 pm vs. d(K–C) = 367 pm) of four different [C(CN)3] units, which do not contribute to NaYb[C(CN)3]4, but effectuate a lot in the case of KYb[C(CN)3]4. The Raman spectrum recorded for NaYb[C(CN)3]4 corroborates the presence of a pseudo-D3h-symmetric tricyanomethanide anion [C(CN)3] and the absence of water. Full article
(This article belongs to the Special Issue Synthesis and Crystal Structure of Rare-Earth Metal Compounds)
Show Figures

Figure 1

16 pages, 1339 KB  
Article
Slow Motion of a Spherical Particle Perpendicular to Two Planar Walls with Slip Surfaces
by Yi C. Chen and Huan J. Keh
Fluids 2025, 10(11), 287; https://doi.org/10.3390/fluids10110287 - 3 Nov 2025
Viewed by 100
Abstract
The quasi-steady creeping flow of a viscous fluid around a slip sphere translating perpendicular to one or two large slip planar walls at arbitrary relative positions is analyzed. To solve the axisymmetric Stokes equation for the fluid flow, we construct a general solution [...] Read more.
The quasi-steady creeping flow of a viscous fluid around a slip sphere translating perpendicular to one or two large slip planar walls at arbitrary relative positions is analyzed. To solve the axisymmetric Stokes equation for the fluid flow, we construct a general solution using fundamental solutions in spherical and cylindrical coordinate systems. Boundary conditions are first applied to the planar walls using the Hankel transform and then to the particle surface using a collocation method. Numerical results of the drag force exerted by the fluid on the particle are obtained for different values of the relevant stickiness/slip and configuration parameters. Our force results agree well with existing solutions for the motion of a slip sphere perpendicular to one or two nonslip planar walls. The hydrodynamic drag force acting on the particle is a monotonic increasing function of the stickiness of the planar walls and the ratio of its radius to distance from each planar wall. With other parameters remaining constant, this drag force generally increases with increasing stickiness of the particle surface. The influence of the slip planar walls on the axisymmetric translation of a slip sphere is significantly stronger than its axisymmetric rotation. Full article
(This article belongs to the Section Flow of Multi-Phase Fluids and Granular Materials)
Show Figures

Figure 1

8 pages, 702 KB  
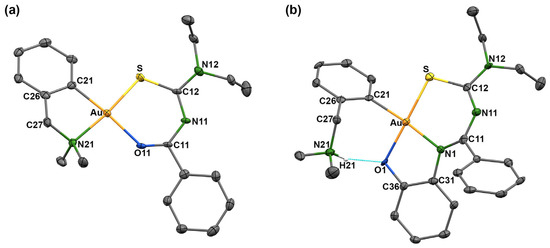
Communication
Organogold(III) Complexes with Chelating Thiourea-Type Ligands
by Suelen Ferreira Sucena, Adelheid Hagenbach and Ulrich Abram
Chemistry 2025, 7(6), 174; https://doi.org/10.3390/chemistry7060174 - 3 Nov 2025
Viewed by 190
Abstract
The gold(III) starting material [Au(damp-κC1,N)Cl2] (Hdamp = 2-(dimethylaminomethyl)benzene) reacts with the thiourea-type ligands 3,3-diethyl-1-benzoylthiourea (HL1) or N-(3,3-diethylamino-thiocarbonyl)-N′-(2-hydroxyphenyl)benzamidine (H2L2) under formation of the gold(III) cations [Au(damp-κC1,N)(L1-κS [...] Read more.
The gold(III) starting material [Au(damp-κC1,N)Cl2] (Hdamp = 2-(dimethylaminomethyl)benzene) reacts with the thiourea-type ligands 3,3-diethyl-1-benzoylthiourea (HL1) or N-(3,3-diethylamino-thiocarbonyl)-N′-(2-hydroxyphenyl)benzamidine (H2L2) under formation of the gold(III) cations [Au(damp-κC1,N)(L1-κS,O)]+ (1) and [Au(Hdamp-κC1)(L2-κS,N,O)]+ (2). The products have been isolated in crystalline form as their PF6 salts and studied by X-ray diffraction and spectroscopic methods. The preservation of the gold(III) oxidation state and the square-planar coordination spheres in the products is most probably due to the formation of chelate rings by the incoming ligands and the presence of the Au–C bond to the phenyl rings of the damp or Hdamp ligands. Full article
(This article belongs to the Special Issue Celebrating the 50th Anniversary of Professor Valentine Ananikov)
Show Figures

Figure 1

12 pages, 3484 KB  
Article
Computational Modelling of Imidazole Protection of Coordinated Gadolinium Tetraphenylporphyrine Against Molecular Oxygen Attack
by Vladimir Pomogaev, Daniil Lukyanov and Elena Solovyeva
Molecules 2025, 30(21), 4246; https://doi.org/10.3390/molecules30214246 - 31 Oct 2025
Viewed by 175
Abstract
Promising photophysical properties and the enhanced sensitivity to molecular oxygen of porphyrins metalated with Gd(III) generate a need for their detailed description on an atomic level with the account of coordinated ligands, which also influence the properties. Herein, the complexation of tetraphenylporphyrin with [...] Read more.
Promising photophysical properties and the enhanced sensitivity to molecular oxygen of porphyrins metalated with Gd(III) generate a need for their detailed description on an atomic level with the account of coordinated ligands, which also influence the properties. Herein, the complexation of tetraphenylporphyrin with gadolinium chloride in imidazole medium was analyzed using density functional theory in the framework of ωB97XD functional with hybrid diffused polarization-consistent basis sets. The complexes with different number of coordinated imidazole ligands (k = 0–2) were calculated to compare their structural parameters, electrostatic potential distribution, and interaction with molecular oxygen. Thermodynamic functions of complex formation were estimated for a set of possible reactions, including various side products (hydrogen chloride or imidazole hydrochloride) and different number of imidazole molecules involved. Weak interactions in the coordination sphere of chlorogadolinium tetraphenylporphyrin with attached imidazole ligands were also assessed. Performed analysis proved the presence of imidazole protection against the molecular oxygen attack. Full article
(This article belongs to the Section Computational and Theoretical Chemistry)
Show Figures

Graphical abstract

22 pages, 5907 KB  
Article
Fe–Ce Bimetallic MOFs for Water Environment Remediation: Efficient Removal of Fluoride and Phosphate
by Jinyun Zhao, Yuhuan Su, Jiangyan Song, Ruilai Liu, Fangfang Wu, Jing Xu, Tao Xu, Jilin Mu, Hao Lin and Jiapeng Hu
Nanomaterials 2025, 15(21), 1623; https://doi.org/10.3390/nano15211623 - 24 Oct 2025
Viewed by 427
Abstract
Fe–Ce-MOFs with a rice-grain-like morphology were successfully obtained via hydrothermal synthesis, where ferric chloride (FeCl3) and cerium nitrate [Ce(NO3)3] served as the metal precursors and terephthalic acid (PTA) acted as the organic coordinating ligand. The effects of [...] Read more.
Fe–Ce-MOFs with a rice-grain-like morphology were successfully obtained via hydrothermal synthesis, where ferric chloride (FeCl3) and cerium nitrate [Ce(NO3)3] served as the metal precursors and terephthalic acid (PTA) acted as the organic coordinating ligand. The effects of the Fe:Ce molar ratio, (Fe/Ce):PTA ratio, reaction duration, and synthesis temperature on adsorption performance of the Fe–Ce-MOFs were systematically studied. A comprehensive evaluation was conducted on the removal of fluoride and phosphate ions from aqueous solution. Under optimized conditions, the maximum adsorption capacities of Fe–Ce-MOFs for fluoride and phosphate reached 183.82 mg g−1 and 110.74 mg g−1, respectively. Adsorption data correlated strongly with the Langmuir isotherm, were best represented by the pseudo-second-order kinetic model, and were identified as a spontaneous and endothermic reaction. After three regeneration cycles, the adsorbent still maintained high removal efficiencies for fluoride (85.17%) and phosphate (47.34%) removal. In practical wastewater treatment, removal efficiencies of 92.04% for fluoride and 93.87% for phosphate were achieved. Mechanistic studies revealed that fluoride removal was dominated by electrostatic attraction and hydroxyl–fluoride ion exchange, whereas phosphate removal was attributed to the generation of inner-sphere complexes involving PO43− and Fe/Ce active sites. This study not only elucidates the synergistic mechanism of fluoride and phosphate elimination by Fe–Ce-MOFs but also provides theoretical guidance and application prospects for the development of highly efficient and stable bimetallic MOF-based adsorbents for environmental remediation. Full article
(This article belongs to the Section Inorganic Materials and Metal-Organic Frameworks)
Show Figures

Figure 1

22 pages, 2773 KB  
Article
Synthesis, Crystallographic Study and Antibacterial Activity of Ternary Copper(II) Complex with Chromone-Based Ligand and Pyridine
by Nikolina Filipović, Anamarija Stanković, Martina Medvidović-Kosanović, Dominik Goman, Stjepan Šarić, Goran Palijan and Tomislav Balić
Crystals 2025, 15(10), 870; https://doi.org/10.3390/cryst15100870 - 6 Oct 2025
Viewed by 567
Abstract
A new copper(II) complex was synthesized using chromone-2-carboxylic acid as the main ligand, and coordinated pyridine molecules. The complex was successfully crystallized and structurally characterized by single crystal X-ray diffraction. This revealed a mononuclear structure with a distorted square pyramidal geometry around the [...] Read more.
A new copper(II) complex was synthesized using chromone-2-carboxylic acid as the main ligand, and coordinated pyridine molecules. The complex was successfully crystallized and structurally characterized by single crystal X-ray diffraction. This revealed a mononuclear structure with a distorted square pyramidal geometry around the central Cu(II) ion. The coordination sphere comprises oxygen atoms from the chromone moiety and nitrogen atoms from pyridine, resulting in a five-coordinate complex. A comprehensive physicochemical characterization was performed using Fourier transform infrared spectroscopy (FT-IR), UV–Vis spectroscopy, elemental (C, H, N), electrochemical (CV) and thermal analysis (TGA/DSC) to confirm the coordination environment and thermal stability of the compound. The complex exhibits distinct spectroscopic features indicative of ligand–metal charge transfer and dd transitions typical of Cu(II) species. In addition, the synthesized complex was subjected to antimicrobial screening against Gram-positive and Gram-negative bacteria. The compound showed promising antibacterial activity, particularly against Escherichia coli, indicating its potential as a bioactive coordination compound. These results contribute to the growing body of research on metal-based chromone derivatives and emphasize the importance of copper complexes for the development of new antibacterial agents with defined crystal structures. Full article
(This article belongs to the Special Issue Celebrating the 10th Anniversary of International Crystallography)
Show Figures

Figure 1

23 pages, 13530 KB  
Article
Use of the Generalized Vector Addition Theorem for Antenna Position Translation for Spherical Mode-Filtering-Based Reflection Suppression
by Marc Dirix, Stuart F. Gregson and Rostyslav F. Dubrovka
Sensors 2025, 25(17), 5557; https://doi.org/10.3390/s25175557 - 5 Sep 2025
Viewed by 1166
Abstract
Monochromatic mode-filtering-based scattering suppression techniques have been shown to be applicable to all commonly used forms of far- and near-field antenna and RCS measurement techniques. Traditionally, the frequency-domain mode-filtering technique takes a far-field pattern, either measured directly or obtained using a suitable near-field [...] Read more.
Monochromatic mode-filtering-based scattering suppression techniques have been shown to be applicable to all commonly used forms of far- and near-field antenna and RCS measurement techniques. Traditionally, the frequency-domain mode-filtering technique takes a far-field pattern, either measured directly or obtained using a suitable near-field to far-field transformation, as its starting point. The measurement is required to be conducted such that the antenna under test (AUT) is positioned offset from the origin of the measurement coordinate system. This physical offset introduces a phase taper across the AUT pattern and results in far greater interference occurring between the direct and indirect parasitically coupled spurious scattered signals. The method is very general and can be applied to all forms of near- or far-field measurements. However, for the case of a spherical near-field measurement (SNF) approach, it is somewhat cumbersome and tedious as first we must perform a probe-corrected spherical near-field to far-field transformation, which itself involves the computation of a complete set of spherical mode coefficients, and then after the displacement has been applied to the far-electric-fields, a second spherical wave expansion and summation is required to implement the mode-filtering procedure. While this data processing chain has been widely deployed and exhaustively validated, it requires passing through the asymptotic far-field, which inevitably results in additional computational effort, as well as incurring some loss of information, which can impose limitations on further near-field applications. This paper introduces an alternative, novel, rigorous algorithm that applies the displacement of the AUT directly using the vector addition theorem for spherical waves. An efficient implementation has been developed, and it is shown that the new, rigorous algorithm for the translation and filtering can be easily implemented directly within the data processing chain of any standard spherical near-field transformation algorithm, avoiding the need to first transform to the asymptotic far-field and also removing the need for a secondary spherical mode expansion and secondary spherical mode summation. While the vector addition theorem required for the spherical near-field to far-field transformation (SNFFFT) algorithm has been described in detail in the open literature, its implementation has been limited to the case of impinging waves and positive z-directed translations where the magnitude of the displacement is necessarily larger than the minimum sphere radius (MRE). In the current paper, the addition theorem will be derived in a new form that allows the translation to be applied in any desired direction, without the need for additional rotations, as well as being valid for solutions for waves transitioning through the sphere and applicable for the case where the magnitude of the translation is smaller or larger than the radius of the minimum sphere. Full article
(This article belongs to the Special Issue Recent Advances in Antenna Measurement Techniques)
Show Figures

Figure 1

18 pages, 1885 KB  
Article
Comparative Study of Ni(II) Complexes with Dithiocarbazate- and Thiosemicarbazone-Based Ligands: Synthesis, Crystal Structures, and Anticancer Activity
by Gabriel S. Pessoa, Mariana P. Viana, Katia M. Oliveira and Claudia C. Gatto
Molecules 2025, 30(17), 3516; https://doi.org/10.3390/molecules30173516 - 28 Aug 2025
Viewed by 863
Abstract
The present work reports a comparative study of thiosemicarbazone (H2L1) and dithiocarbazate (H2L2) ligands and their Ni(II) complexes; [Ni(L1)(PPh3)] (1); [Ni(L1)(Py)] (2); [Ni(L2)(PPh [...] Read more.
The present work reports a comparative study of thiosemicarbazone (H2L1) and dithiocarbazate (H2L2) ligands and their Ni(II) complexes; [Ni(L1)(PPh3)] (1); [Ni(L1)(Py)] (2); [Ni(L2)(PPh3)] (3); and [Ni(L2)(Py)] (4). All compounds were characterized by spectroscopy analysis; and the complexes were also characterized by single-crystal X-ray diffraction. The crystal structures of the complexes revealed a distorted square planar geometry with the Ni(II) atoms coordinated to a double-deprotonated and tridentate ligand molecule by the ONS donor system. The coordination sphere is completed by the incorporation of pyridine or triphenylphosphine coligands at the metal center. Biological assays were conducted against the cell lines breast cancer (MCF-7); cisplatin-resistant ovarian cancer (A2780cis); lung cancer (A549); and nontumoral lung (MRC-5). The results show that cytotoxicity was significantly enhanced upon complexation for complexes (2) and (4); whereas it was suppressed for complexes (1) and (3) against the A2780cis and A549 cell lines. Notably; complex (2) exhibited superior cytotoxicity compared to cisplatin against both MCF-7 and A2780cis. Full article
Show Figures

Graphical abstract

28 pages, 5200 KB  
Article
Lewis Acid–Base Adducts of α-Amino Isobutyric Acid-Derived Silaheterocycles and Amines
by Anne Seidel, Erica Brendler, Ana Torvisco, Roland Fischer and Jörg Wagler
Molecules 2025, 30(17), 3501; https://doi.org/10.3390/molecules30173501 - 26 Aug 2025
Viewed by 813
Abstract
The 1:1 stoichiometric reactions of α-amino isobutyric acid (H2Aib) and diaminosilanes of the type SiRR′(NR1R2)2 (SiMe2(imidazol-1-yl)2, SiMe2(NHnPr)2, and SiRR′(pyrrolidin-1-yl)2 with [...] Read more.
The 1:1 stoichiometric reactions of α-amino isobutyric acid (H2Aib) and diaminosilanes of the type SiRR′(NR1R2)2 (SiMe2(imidazol-1-yl)2, SiMe2(NHnPr)2, and SiRR′(pyrrolidin-1-yl)2 with R,R′ = Me,Me, Me,H, Me,Vi, and Et,Et) afforded the pentacoordinate silicon complexes (Aib)SiRR′(HNR1R2) with the release of one equivalent of HNR1R2. Single-crystal X-ray diffraction analyses confirmed the coordination of the N-donor Lewis base (i.e., imidazole, n-propylamine, and pyrrolidine, respectively) in an axial position of the distorted trigonal-bipyramidal Si-coordination sphere, trans to the carboxylate O atom of the Si-chelating Aib-dianion. The N–H moieties of the adduct-forming Lewis bases are involved in N–H⋯O hydrogen bonds with carboxylate groups of adjacent complex molecules, thus supporting the supramolecular structures of these adducts. The equatorially bound NH group of the Aib-dianion is involved in N–H⋯O hydrogen bonds in most cases, and it gives rise to residual dipolar coupling of the 14N nucleus with its directly bound atoms C and Si, thus causing characteristic shapes of both the 29Si and 13C NMR signals of these two atoms in the solid-state spectra. In contrast to the adduct-formation reactions, the analogous conversion of H2Aib and SiMe2(NHtBu)2 did not afford an amine adduct. Instead, a second equivalent of H2Aib entered the reaction, and the ionic silicon complex [tBuNH3]+[(Aib)2SiMe] was obtained and characterized by crystallography and solution NMR spectroscopy. Full article
Show Figures

Graphical abstract

15 pages, 855 KB  
Article
Comonomer Reactivity Trends in Catalytic Ethene/1-Alkene Copolymerizations to Linear Low-Density Polyethylene
by Gianluigi Galasso, Roberta Cipullo, Vincenzo Busico and Antonio Vittoria
Polymers 2025, 17(17), 2290; https://doi.org/10.3390/polym17172290 - 24 Aug 2025
Viewed by 974
Abstract
Linear Low-Density Polyethylene (LLDPE) is a versatile polyolefin made by copolymerizing ethene with minor amounts of a 1-alkene. The short side chain branches in the comonomer units partly hinder the ability of the polyethylene main chain to crystallize, thus providing a way to [...] Read more.
Linear Low-Density Polyethylene (LLDPE) is a versatile polyolefin made by copolymerizing ethene with minor amounts of a 1-alkene. The short side chain branches in the comonomer units partly hinder the ability of the polyethylene main chain to crystallize, thus providing a way to fine-tune material properties between the extremes of a thermoplastic and a moderate elastomer. In this function, higher 1-alkenes such as 1-hexene or 1-octene are more effective than shorter homologs like propene or 1-butene, because their alkyl substituents are fully incompatible with the polyethylene lattice. On the other hand, the former comonomers are also more expensive and, above all, poorly reactive with heterogeneous Ziegler–Natta (ZN) catalysts, the workhorses of the polyolefin industry; as a matter of fact, they can only be used with technologically more demanding molecular catalysts. The molecular kinetic factors governing this important and complicated catalytic reactivity are still poorly understood, and perusal of the literature led us to conclude that data reliability is often questionable due to experimental limitations in reaction equipment and protocols, particularly in academic laboratories. In this study, we made use of a state-of-the-art High-Throughput Experimentation workflow to measure the reactivity ratios with ethene of two representative higher 1-alkenes, namely 1-hexene and 1-decene, in the presence of a variety of well-defined molecular catalysts of metallocene and post-metallocene nature comparatively with a typical MgCl2/TiCl4 ZN catalyst for polyethylene application. We found that the two comonomers react almost identically with molecular catalysts, whereas a major decrease in reactivity for 1-decene compared with 1-hexene was observed idiosyncratically for the ZN catalyst. In our opinion, the overall results suggest that in the latter case, surface effects can be dominant over direct comonomer interactions with the coordination sphere of the active metal in dictating the observed molecular kinetic behavior. Full article
(This article belongs to the Section Polymer Chemistry)
Show Figures

Figure 1

25 pages, 1928 KB  
Review
Governance in Crisis: A Mixed-Methods Analysis of Global Health Governance During COVID-19
by Kadria Ali Abdel-Motaal and Sungsoo Chun
Int. J. Environ. Res. Public Health 2025, 22(8), 1305; https://doi.org/10.3390/ijerph22081305 - 20 Aug 2025
Viewed by 1776
Abstract
Background: The COVID-19 pandemic exposed major structural deficiencies in global health governance, including stark inequities in vaccine access, intervention timing, and mortality outcomes. While economic resources played a role, the influence of governance performance remains insufficiently examined. This study addresses a significant gap [...] Read more.
Background: The COVID-19 pandemic exposed major structural deficiencies in global health governance, including stark inequities in vaccine access, intervention timing, and mortality outcomes. While economic resources played a role, the influence of governance performance remains insufficiently examined. This study addresses a significant gap by integrating governance metrics with pandemic response data to assess how governance quality, independent of income level, affected national outcomes. Although the Oxford COVID-19 Government Response Tracker (OxCGRT) dataset has been widely used to document policy responses, this study offers a novel contribution by linking these policy interventions with governance performance and evaluating their joint effect on health outcomes and vaccine equity. Methods: This mixed-methods study combines quantitative analysis of global datasets with a qualitative literature review. Quantitative data were mainly obtained from the Oxford COVID-19 Government Response Tracker (OxCGRT), the World Bank’s Worldwide Governance Indicators (WGIs), and World Bank/WHO databases. A governance performance index was constructed using two WGI components: Government Effectiveness and Regulatory Quality. Countries were grouped into high, medium, or low governance categories. Statistical tests included ANOVA, Kaplan Meier survival analysis, and multivariable OLS regression. The qualitative component reviewed 45 academic and institutional sources on governance performance during COVID-19. Results: Countries with high governance performance had earlier public health interventions, lower mortality, and broader vaccine coverage, independent of income level. Kaplan Meier analysis revealed faster school closures in these countries (p < 0.01). Multivariable regression showed governance remained a significant predictor after adjusting for income and health spending. Qualitative findings highlighted recurring weaknesses in legal enforceability, intergovernmental coordination, and global financing mechanisms. Conclusions: Governance performance had a decisive impact on pandemic outcomes. The COVID-19 crisis revealed the need for robust governance systems capable of responding to complex emergencies that extend beyond the health sector into institutional, economic, and social spheres. Full article
(This article belongs to the Special Issue Advancing Health Equity: Challenges and Opportunities)
Show Figures

Figure 1

26 pages, 2039 KB  
Article
Monetary Policy and Liquidity of the Bond Market—Evidence from the Chinese Local Government Bond Market
by Xiao Liu, Yunzhe Hu, Fang Liu and Rongxi Zhou
Mathematics 2025, 13(16), 2586; https://doi.org/10.3390/math13162586 - 13 Aug 2025
Viewed by 1925
Abstract
The bond market serves dual roles in fiscal and financial spheres, playing a crucial role in coordinating monetary policy. This paper investigates the impact of quantitative and price-based monetary policies on the liquidity level of China’s bond market. A comprehensive index measuring the [...] Read more.
The bond market serves dual roles in fiscal and financial spheres, playing a crucial role in coordinating monetary policy. This paper investigates the impact of quantitative and price-based monetary policies on the liquidity level of China’s bond market. A comprehensive index measuring the liquidity of the local bond market is constructed using a combination weighting method that integrates the entropy method and the coefficient of variation. Employing the time-varying stochastic volatility structure vector autoregression (TVP-SV-SVAR) model on data spanning from 2013 to 2021, this study empirically compares the impulse response of local bond market liquidity to monetary policy shocks. The findings reveal that both types of monetary policy operations exhibit asymmetric, nonlinear, and time-varying impacts on bond market liquidity. Quantitative monetary instruments induce deeper impulse responses, with longer-lasting effects. These conclusions offer insights for monetary policy reforms and bond market development in China. Full article
Show Figures

Figure 1

43 pages, 29857 KB  
Article
Spherical Shape Functions for a Six-Node Tri-Rectangular Prism and an Eight-Node Quadrangular Right Prism
by Anna Maria Marotta, Riccardo Barzaghi and Roberto Sabadini
Math. Comput. Appl. 2025, 30(4), 88; https://doi.org/10.3390/mca30040088 - 10 Aug 2025
Viewed by 495
Abstract
In this work, we present the procedure to obtain exact spherical shape functions for finite element modeling applications, without resorting to any kind of approximation, for generic prismatic spherical elements and for the case of spherical six-node tri-rectangular and eight-node quadrangular spherical prisms. [...] Read more.
In this work, we present the procedure to obtain exact spherical shape functions for finite element modeling applications, without resorting to any kind of approximation, for generic prismatic spherical elements and for the case of spherical six-node tri-rectangular and eight-node quadrangular spherical prisms. The proposed spherical shape functions, given in explicit analytical form, are expressed in geographic coordinates, namely colatitude, longitude and distance from the center of the sphere. We demonstrate that our analytical shape functions satisfy all the properties required by this class of functions, deriving at the same time the analytical expression of the Jacobian, which allows us changes in coordinate systems. Within the perspective of volume integration on Earth, entering a variety of geophysical and geodetic problems, as for mass change contribution to gravity, we consider our analytical expression of the shape functions and Jacobian for the six-node tri-rectangular and eight-node quadrangular right spherical prisms as reference volumes to evaluate the volume of generic spherical triangular and quadrangular prisms over the sphere; volume integration is carried out via Gauss–Legendre quadrature points. We show that for spherical quadrangular prisms, the percentage volume difference between the exact and the numerically evaluated volumes is independent from both the geographical position and the depth and ranges from 10−3 to lower than 10−4 for angular dimensions ranging from 1° × 1° to 0.25° × 0.25°. A satisfactory accuracy is attained for eight Gauss–Legendre quadrature points. We also solve the Poisson equation and compare the numerical solution with the analytical solution, obtained in the case of steady-state heat conduction with internal heat production. We show that, even with a relatively coarse grid, our elements are capable of providing a satisfactory fit between numerical and analytical solutions, with a maximum difference in the order of 0.2% of the exact value. Full article
Show Figures

Figure 1

22 pages, 639 KB  
Article
Variations on the Theme “Definition of the Orthodrome”
by Miljenko Lapaine
ISPRS Int. J. Geo-Inf. 2025, 14(8), 306; https://doi.org/10.3390/ijgi14080306 - 6 Aug 2025
Viewed by 648
Abstract
A geodesic or geodetic line on a sphere is called the orthodrome. Research has shown that the orthodrome can be defined in a large number of ways. This article provides an overview of various definitions of the orthodrome. We recall the definitions of [...] Read more.
A geodesic or geodetic line on a sphere is called the orthodrome. Research has shown that the orthodrome can be defined in a large number of ways. This article provides an overview of various definitions of the orthodrome. We recall the definitions of the orthodrome according to the greats of geodesy, such as Bessel and Helmert. We derive the equation of the orthodrome in the geographic coordinate system and in the Cartesian spatial coordinate system. A geodesic on a surface is a curve for which the geodetic curvature is zero at every point. Equivalent expressions of this statement are that at every point of this curve, the principal normal vector is collinear with the normal to the surface, i.e., it is a curve whose binormal at every point is perpendicular to the normal to the surface, and that it is a curve whose osculation plane contains the normal to the surface at every point. In this case, the well-known Clairaut equation of the geodesic in geodesy appears naturally. It is found that this equation can be written in several different forms. Although differential equations for geodesics can be found in the literature, they are solved in this article, first, by taking the sphere as a special case of any surface, and then as a special case of a surface of rotation. At the end of this article, we apply calculus of variations to determine the equation of the orthodrome on the sphere, first in the Bessel way, and then by applying the Euler–Lagrange equation. Overall, this paper elaborates a dozen different approaches to orthodrome definitions. Full article
Show Figures

Figure 1

Back to TopTop