Synthesis, Crystallographic Study and Antibacterial Activity of Ternary Copper(II) Complex with Chromone-Based Ligand and Pyridine
Abstract
1. Introduction
2. Experimental Section
2.1. Physicochemical Characterization
2.2. Synthesis of Pyridine-Integrated Copper(II) Complex, [CuL2(py)3]
2.3. Antibacterial Activity
2.4. Crystallography
3. Results and Discussion
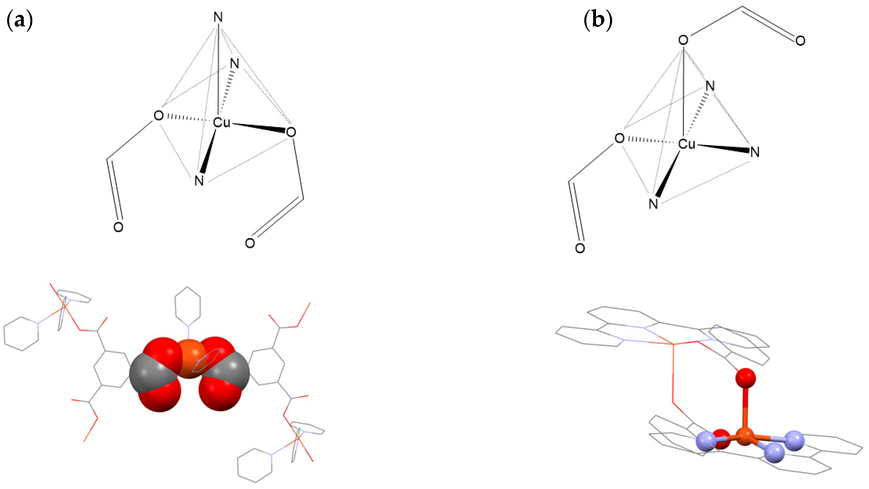
3.1. Crystal Structure
3.2. FT-IR Spectroscopy
3.3. Thermal Analysis
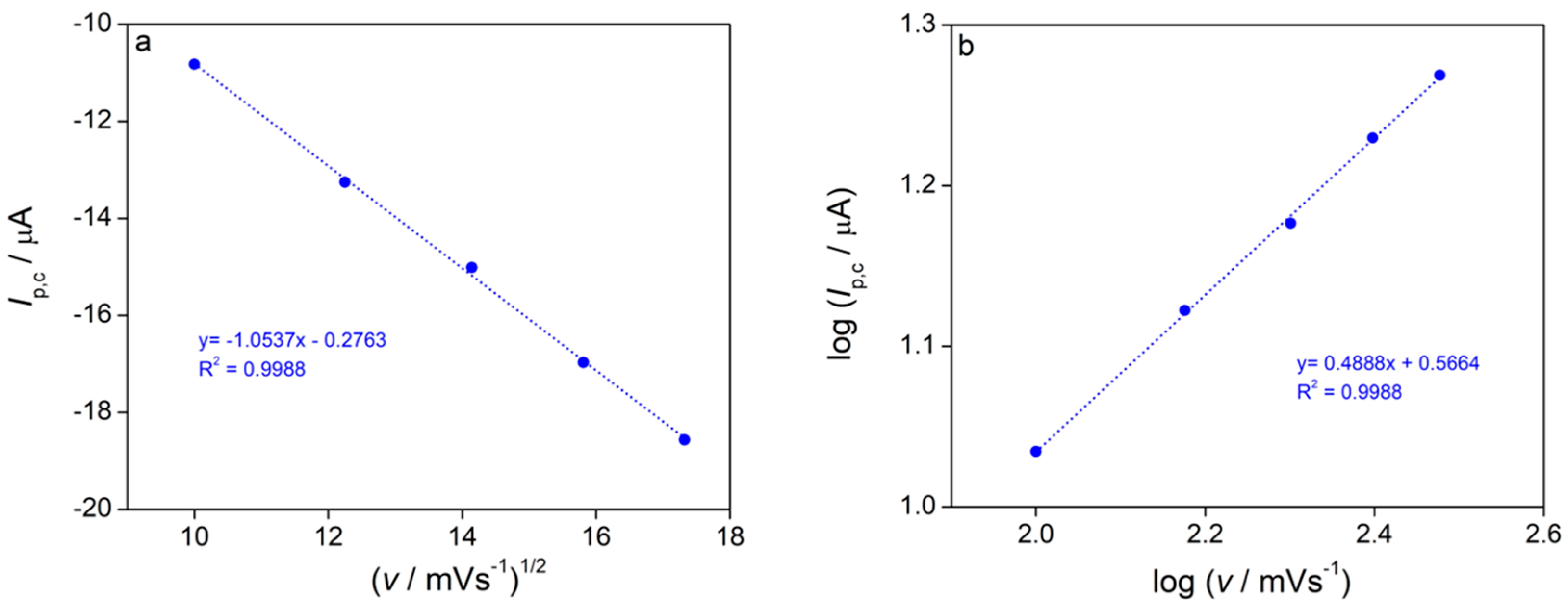
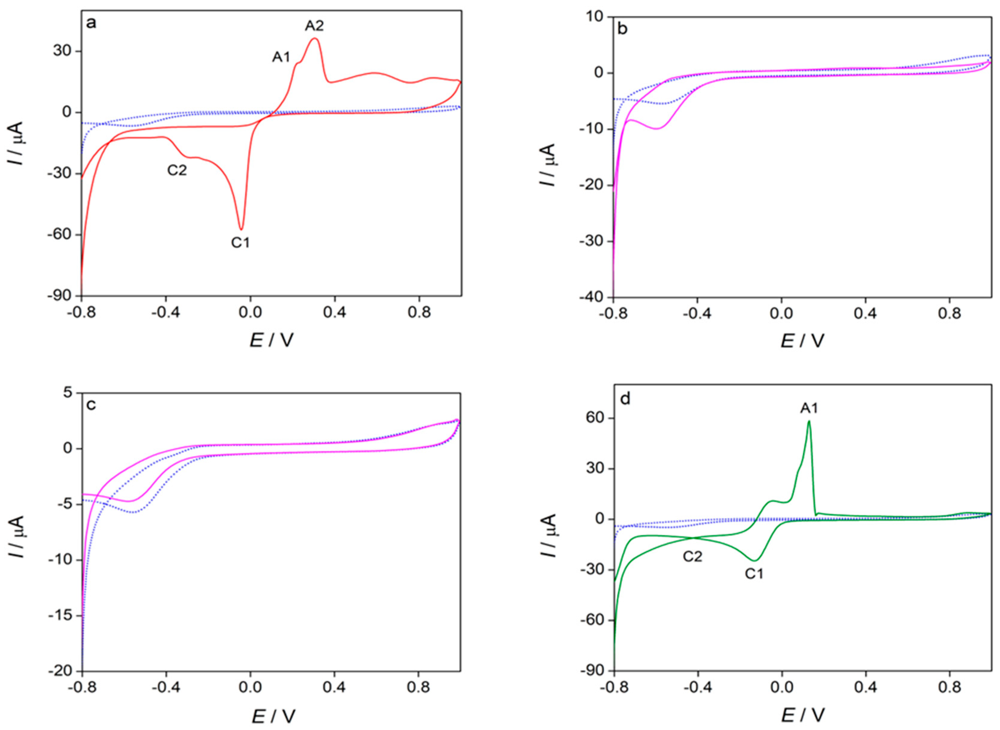
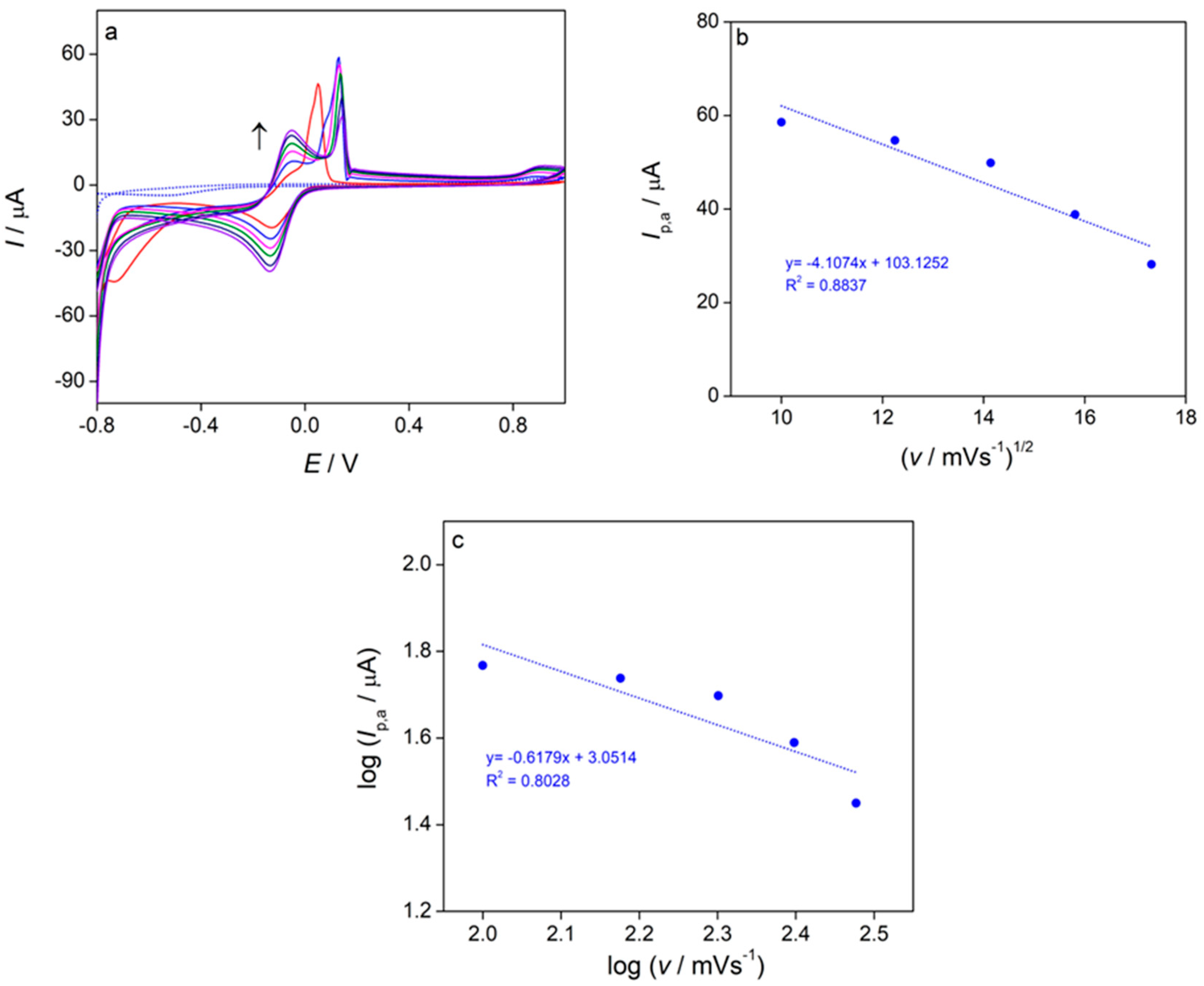
3.4. Cyclic Voltammetry
3.5. UV-Vis Spectroscopy
3.6. X-Ray Powder Difraction
3.7. Antibacterial Activity
4. Conclusions
Supplementary Materials
Author Contributions
Funding
Data Availability Statement
Acknowledgments
Conflicts of Interest
Abbreviations
| AMR | Antimicrobial Resistance |
| C, H, N | Carbon, Hydrogen, Nitrogen (Elemental analysis) |
| CV | Cyclic Voltammetry |
| DSC | Differential Scanning Calorimetry |
| DRS | Diffuse Reflectance Spectroscopy |
| FT-IR | Fourier Transform Infrared Spectroscopy |
| IR | Infrared |
| MIC | Minimum Inhibitory Concentration |
| PXRD | Powder X-ray Diffraction |
| TGA | Thermogravimetric Analysis |
| UV–Vis | Ultraviolet–Visible |
| XRD | X-ray Diffraction |
References
- Ngece, K.; Khwaza, V.; Paca, A.M.; Aderibigbe, B.A. The Antimicrobial Efficacy of Copper Complexes: A Review. Antibiotics 2025, 14, 516. [Google Scholar] [CrossRef]
- De Ruiter, G.; Lahav, M.; van der Boom, M.E. Pyridine Coordination Chemistry for Molecular Assemblies on Surfaces. Acc. Chem. Res. 2014, 12, 3407–3416. [Google Scholar] [CrossRef]
- Bendi, A.; Bhathiwal, A.S.; Chanchal, V.S.; Tiwari, A.; Raghav, N. Exploration of pyridine-based self-assembled complexes—An overview. J. Mol. Struct. 2024, 1312, 138568. [Google Scholar] [CrossRef]
- Costa, J.; Delgado, R. Metal complexes of macrocyclic ligands containing pyridine. Inorg. Chem. 1993, 32, 5257–5265. [Google Scholar] [CrossRef]
- Santana, F.S.; Briganti, M.; Cassaro, R.A.A.; Totti, F.; Ribeiro, R.R.; Hughes, D.L.; Nunes, G.G.; Reis, D.M. An Oxalate-Bridged Copper(II) Complex Combining Monodentate Benzoate, 2,2′-bipyridine and Aqua Ligands: Synthesis, Crystal Structure and Investigation of Magnetic Properties. Molecules 2020, 25, 1898. [Google Scholar] [CrossRef]
- Bártová, M.; Liška, A.; Studená, V.; Vojtíšek, P.; Kašpar, M.; Mikysek, T.; Česlová, L.; Švancara, I.; Sýs, M. Dinuclear Copper(II) Complexes of 2,6-Bis[(N-Methylpiperazine-1-yl)methyl]-4-Formyl Phenol Ligand: Promising Biomimetic Catalysts for Dye Residue Degradation and Drug Synthesis. Int. J. Mol. Sci. 2025, 26, 1603. [Google Scholar] [CrossRef]
- Beyeh, N.K.; Puttreddy, R. Methylresorcinarene: A reaction vessel to control the coordination geometry of copper(ii) in pyridine N-oxide copper(ii) complexes. Dalton. Trans. 2015, 44, 9881–9886. [Google Scholar] [CrossRef] [PubMed]
- Islam, F.; Al Foisal, J.; Rahman, M.; Islam, M.Z.; Mimi, M.A.; Habib, R.; Hossain, M.A.; Chowdhury, L.; Bhattacharjee, S.C.; Cui, D. Antimicrobial Activity of Cu(II) and Fe(III) with Pyridine Complexes As Ligands Contrary to Clinical Strains of Bacteria and Fungi Species. Asian J. Chem. 2019, 31, 2323–2326. [Google Scholar] [CrossRef]
- Bilal, H.; Zhang, C.X. Copper(II) carboxylate complexes inhibit Staphylococcus aureus biofilm formation by targeting extracellular proteins. J. Inorg. Biochem. 2025, 266, 112835. [Google Scholar] [CrossRef]
- Yan, Y.-L.; Miller, M.T.; Chao, Y.; Cohen, M.S. Synthesis of Hydroxypyrone-Based Matrix Metalloproteinase Inhibitors: Developing a Structure-Activity Relationship. Bioorg. Med. Chem. Lett. 2009, 19, 1970–1976. [Google Scholar] [CrossRef]
- Toso, L.; Crisponi, G.; Nurchi, V.M.; Crespo-Alonso, M.; Lachowicz, J.I.; Santos, M.A.; Marques, S.M.; Niclós-Gutiérrez, J.; González-Pérez, J.M.; Domínguez-Martín, A.; et al. A Family of Hydroxypyrone Ligands Designed and Synthesized as Iron Chelators. J. Inorg. Biochem. 2013, 127, 220–231. [Google Scholar] [CrossRef]
- Thompson, K.H.; Barta, C.A.; Orvig, C. Metal Complexes of Maltol and Close Analogues in Medicinal Inorganic Chemistry. Chem. Soc. Rev. 2006, 35, 545–556. [Google Scholar] [CrossRef] [PubMed]
- Kandioller, W.; Kurzwernhart, A.; Hanif, M.; Meier, S.M.; Henke, H.; Keppler, K.B.; Hartinger, C.G. Pyrone Derivatives and Metals: From Natural Products to Metal-Based Drugs. J. Organomet. Chem. 2011, 696, 999–1010. [Google Scholar] [CrossRef]
- Livingstone, R. Rodd’s Chemistry of Carbon Compounds: Six Membered Ring Compounds with One Heteroatom; Elsevier: Amsterdam, The Netherlands, 1975; Chapter 20; pp. 1–397. [Google Scholar]
- Zhou, T.; Kong, X.-L.; Hider, R.C. Synthesis and Iron Chelating Properties of Hydroxypyridinone and Hydroxypyranone Hexadentate Ligands. Dalton Trans. 2019, 48, 3459–3466. [Google Scholar] [CrossRef]
- Zalevskaya, O.A. Recent Studies on the Antimicrobial Activity of Copper Complexes. Russ. J. Coord. Chem. 2021, 47, 861–880. [Google Scholar] [CrossRef]
- Filipović, N.; Balić, T.; Medvidović-Kosanović, M.; Goman, D.; Marković, B.; Tatar, D.; Roca, S.; Mišković Špoljarić, K. Chromone-Based Copper(II) Complexes as Potential Antitumour Agents: Synthesis, Chemical Characterisation and In Vitro Biological Evaluation. Crystals 2025, 15, 389. [Google Scholar] [CrossRef]
- Aldabaldetrecu, M.; Parra, M.; Soto, S.; Arce, P.; Tello, M.; Guerrero, J.; Modak, B. New Copper(I) Complex with a Coumarin as Ligand with Antibacterial Activity against Flavobacterium psychrophilum. Molecules 2020, 25, 3183. [Google Scholar] [CrossRef] [PubMed]
- Kootahmeshki, T.; Souldozi, A. Antibacterial Activity of 2,6-Diaminopyridine Metal Complexes and Corresponding Metal Salts Against Some Pathogenic Bacteria. J. Biotechnol. Bioprocess. 2025, 6, 146. [Google Scholar] [CrossRef]
- Soleimani, E. Synthesis, characterization and anti-microbial activity of a novel macrocyclic ligand derived from the reaction of 2,6-pyridinedicarboxylic acid with homopiperazine and its Co(II), Ni(II), Cu(II), and Zn(II) complexes. J. Mol. Struct. 2011, 995, 1–8. [Google Scholar] [CrossRef]
- Andrejević, T.P.; Aleksic, I.; Počkaj, M.; Kljun, J.; Milivojevic, D.; Stevanović, N.L.; Nikodinovic-Runic, J.; Turel, I.; Djuran, M.I.; Glišić, B.Đ. Tailoring copper(II) complexes with pyridine-4,5-dicarboxylate esters for anti-Candida activity. Dalton Trans. 2021, 50, 2627–2638. [Google Scholar] [CrossRef]
- Çolak, A.T.; Çolak, F.; Akduman, D.; Yeşilel, O.Z.; Büyükgüngör, O. Syntheses, crystal structures, spectral and thermal analysis and biological activities of copper(II)-pyridine-2,5-dicarboxylate complexes with 4-methylimidazole, imidazole, and 3,4-dimethylpyridine. Solid. State Sci. 2009, 11, 1908–1918. [Google Scholar] [CrossRef]
- Abalintsina, S.A.; Conde, M.A.; Eni, D.B.; Agwara, M.O. Synthesis, characterization and antimicrobial properties of Cobalt(III), Nickel(III), Copper(II) and Zinc(II) complexes with pyridine and thiocyanate. Sci. Afr. 2022, 18, e01402. [Google Scholar] [CrossRef]
- Marinescu, M.; Popa, C.-V. Pyridine Compounds with Antimicrobial and Antiviral Activities. Int. J. Mol. Sci. 2022, 23, 5659. [Google Scholar] [CrossRef] [PubMed]
- Pahonțu, E.; Ilieș, D.-C.; Shova, S.; Paraschivescu, C.; Badea, M.; Gulea, A.; Roșu, T. Synthesis, Characterization, Crystal Structure and Antimicrobial Activity of Copper(II) Complexes with the Schiff Base Derived from 2-Hydroxy-4-Methoxybenzaldehyde. Molecules 2015, 20, 5771–5792. [Google Scholar] [CrossRef] [PubMed]
- Hangan, A.C.; Lucaciu, R.L.; Turza, A.; Dican, L.; Sevastre, B.; Páll, E.; Oprean, L.S.; Borodi, G. New Copper Complexes with Antibacterial and Cytotoxic Activity. Int. J. Mol. Sci. 2023, 24, 13819. [Google Scholar] [CrossRef]
- Qian, W.; Wang, Z.; Xia, J.; Wang, H.; Dong, S.; Lou, S.; Ding, P.; Li, L. Synthesis, Structural Characterization, EPR Analysis and Antimicrobial Activity of a Copper(II) Thiocyanate Complex Based on 3,7-Di(3-pyridyl)-1,5-dioxa-3,7-diazacyclooctane. Symmetry 2025, 17, 791. [Google Scholar] [CrossRef]
- Available online: https://www.mt.com/hr/hr/home/products/Laboratory_Analytics_Browse/TA_Family_Browse/TA_software_browse.html?cmp=als_ta-software (accessed on 4 September 2025).
- Available online: https://www.malvernpanalytical.com/en/products/category/software/x-ray-diffraction-software/highscore (accessed on 4 September 2025).
- Available online: https://www.palmsens.com/software/ps-trace/ (accessed on 4 September 2025).
- Marinova, P.; Tamahkyarova, K. Synthesis and Biological Activities of Some Metal Complexes of Peptides: A Review. BioTech 2024, 13, 9. [Google Scholar] [CrossRef]
- Agilent. CrysAlis PRO; Agilent Technologies Ltd.: Oxfordshire, UK, 2014. [Google Scholar]
- Dolomanov, O.V.; Bourhis, L.J.; Gildea, R.J.; Howard, J.A.K.; Puschmann, H.J. OLEX2: A Complete Structure Solution, Refinement and Analysis Program. Appl. Cryst. 2009, 42, 339–341. [Google Scholar] [CrossRef]
- Sheldrick, G.M. SHELXT-Integrated Space-Group and Crystal-Structure Determination. Acta Cryst. 2015, A71, 3–8. [Google Scholar] [CrossRef]
- Bourhis, L.J.; Dolomanov, O.V.; Gildea, R.J.; Howard, J.A.K.; Puschmann, H. The anatomy of a comprehensive constrained, restrained refinement program for the modern computing environment-Olex2 dissected. Acta Cryst. 2015, A71, 59–75. [Google Scholar]
- Spek, A.L. Structure validation in chemical crystallography. Acta Cryst. 2009, D65, 148–155. [Google Scholar] [CrossRef]
- Macrae, C.F.; Edgington, P.R.; McCabe, P.; Pidcock, E.; Shields, G.P.; Taylor, R.; Towler, M.; van de Streek, J.J. Mercury: Visualization and Analysis of Crystal Structures. Appl. Cryst. 2006, 39, 453–457. [Google Scholar] [CrossRef]
- Blackmanm, A.G.; Schenk, E.B.; Jelley, R.E.; Krensked, E.H.; Gahan, L.R. Five-coordinate transition metal complexes and the value of τ5: Observations and caveats. Dalton Trans. 2020, 49, 14798–14806. [Google Scholar] [CrossRef]
- Tsymbal, L.V.; Andriichuk, I.L.; Lampeka, Y.D.; Arion, V.B. Two-dimensional coordination polymers based on pyridine-containing cations of cu(II) and Ni(II) and 1,3,5-benzenetricarboxylate anion and their supramolecular structure. J. Struct. Chem. 2014, 55, 1466. [Google Scholar] [CrossRef]
- Golobič, A.; Kristl, M.; Podnar, T.M.; Jagličić, Z.; Dojer, B. Mixed-Ligand Copper(II) Complexes Derived from Pyridinecarbonitrile Precursors: Structural Features and Thermal Behavior. Inorganics 2025, 13, 287. [Google Scholar] [CrossRef]
- Tanaka, K.; Kikumoto, Y.; Hota, N.; Takahashi, H. Homochiral Coordination Polymers with Nanotubular Channels for Enantioselective Sorption of Chiral Guest Molecules. New J. Chem. 2014, 38, 1519–1524. [Google Scholar] [CrossRef]
- Barmpa, A.; Hatzidimitriou, A.G.; Psomas, G. Copper(II) Complexes with Meclofenamate Ligands: Structure, Interaction with DNA and Albumins, Antioxidant and Anticholinergic Activity. J. Inorg. Biochem. 2021, 217, 111357. [Google Scholar] [CrossRef]
- Balogh-Hergovich, É.; Kaizer, J.; Speier, G.; Argay, G.; Párkányi, L. Kinetic Studies on the Copper(II)-Mediated Oxygenolysis of the Flavonolate Ligand. Crystal Structures of [Cu(fla)2] (fla = Flavonolate) and [Cu(O-bs)2(py)3] (O-bs = O-Benzoylsalicylate). Dalton Trans. 1999, 2110, 3847–3854. [Google Scholar] [CrossRef]
- Chui, S.S.; Lo, S.M.; Charmant, J.P.; Orpen, A.G.; Williams, I.D. A Chemically Functionalizable Nanoporous Material. Science 1999, 283, 1148–1150. [Google Scholar] [CrossRef]
- Hu, D.-H.; Huang, W.; Gou, S.-H.; Fang, J.-L.; Fun, H.-K. Synthesis, Characterization, and Magnetic Properties of a Dinuclear Complex [Cu(2,2′-bpy)(HL)(L)2(NO3)2·(H2O)3/2] and a 1D Chain {Cu(2,2′-bpy)(4,4′-bpy)1/2(L) ·(1/2H2O)}ₙ (L is p-Aminobenzoate). Polyhedron 2003, 22, 2661–2667. [Google Scholar] [CrossRef]
- Ahmed, A.H.; Althobaiti, I.O.; Soliman, K.A.; Asiri, Y.M.; Alenezy, E.K.; Alrashdi, S.; Gad, E.S. Copper(II) Complex with a 3,3′-Dicarboxy-2,2′-Dihydroxydiphenylmethane-Based Carboxylic Ligand: Synthesis, Spectroscopic, Optical, Density Functional Theory, Cytotoxic, and Molecular Docking Approaches for a Potential Anti-Colon Cancer Control. Inorganics 2025, 13, 151. [Google Scholar] [CrossRef]
- Walczak, A.; Kurpik, G.; Stefankiewicz, A.R. Intrinsic Effect of Pyridine-N-Position on Structural Properties of Cu-Based Low-Dimensional Coordination Frameworks. Int. J. Mol. Sci. 2020, 21, 6171. [Google Scholar] [CrossRef]
- Groom, C.R.; Bruno, I.J.; Lightfoot, M.P.; Ward, S.C. The Cambridge Structural Database. Acta Crystallogr. Sect. B Struct. Sci. 2016, 72, 171–179. [Google Scholar] [CrossRef]
- Wackerbarth, I.; Widhyadnyani, N.N.A.T.; Schmitz, S.; Stirnat, K.; Butsch, K.; Pantenburg, I.; Meyer, G.; Klein, A. CuII Complexes and Coordination Polymers with Pyridine or Pyrazine Amides and Amino Benzamides—Structures and EPR Patterns. Inorganics 2020, 8, 65. [Google Scholar] [CrossRef]
- Filopoulou, A.; Vlachou, S.; Boyatzis, S.C. Fatty Acids and Their Metal Salts: A Review of Their Infrared Spectra in Light of Their Presence in Cultural Heritage. Molecules 2021, 26, 6005. [Google Scholar] [CrossRef]
- Al-Fakeh, M.S.; Allazzam, G.A.; Yarkandi, N.H. Ni(II), Cu(II), Mn(II), and Fe(II) Metal Complexes Containing 1,3-Bis(diphenylphosphino)propane and Pyridine Derivative: Synthesis, Characterization, and Antimicrobial Activity. Int. J. Biomater. 2021, 12, 4981367. [Google Scholar] [CrossRef]
- Patel, R.N.; Kumhar, D.; Patel, S.K.; Patel, A.K.; Patel, N.; Butcher, R.J. Copper(II) Mononuclear Complexes Incorporating Pyridine Derivatives: Synthesis, Structural Characterization, and Unusual X-Band EPR Spectra. J. Chem. Crystallogr. 2022, 52, 378–393. [Google Scholar] [CrossRef]
- Bissantz, C.; Kuhn, B.; Stahl, M. A medicinal chemist’s guide to molecular interactions. J. Med. Chem. 2010, 53, 5061–5084. [Google Scholar] [CrossRef]
- Al-Harazie, A.G.; Gomaa, E.A.; Zaky, R.R.; El-Hady, M.N.A. Spectroscopic Characterization, Cyclic Voltammetry, Biological Investigations, MOE, and Gaussian Calculations of VO(II), Cu(II), and Cd(II) Heteroleptic Complexes. ACS Omega 2023, 8, 13605–13625. [Google Scholar] [CrossRef] [PubMed]
- Sandford, C.; Edwards, M.A.; Klunder, K.J.; Hickey, P.D.; Min, L.; Barman, K.; Sigman, M.S.; White, H.S.; Minteer, S.D. A synthetic chemist’s guide to electroanalytical tools for studying reaction mechanisms. Chem. Sci. 2019, 10, 6404–6422. [Google Scholar] [CrossRef] [PubMed]
- Masood, Z.; Muhammad, H.; Tahiri, I.A. Comparison of Different Electrochemical Methodologies for Electrode Reactions: A Case Study of Paracetamol. Electrochem 2024, 5, 57–69. [Google Scholar] [CrossRef]
- Fiore, C.; Lekhan, A.; Bordignon, S.; Chierotti, M.R.; Gobetto, R.; Grepioni, F.; Turner, R.J.; Braga, D. Mechanochemical Preparation, Solid-State Characterization, and Antimicrobial Performance of Copper and Silver Nitrate Coordination Polymers with L- and DL-Arginine and Histidine. Int. J. Mol. Sci. 2023, 24, 5180. [Google Scholar] [CrossRef]
- Alem, M.B.; Desalegn, T.; Damena, T.; Bayle, E.A.; Koobotse, M.O.; Ngwira, J.K.; Ombito, J.O.; Zachariah, M.; Demissie, T.B. Cytotoxicity and antibacterial potentials of mixed ligand Cu (II) and Zn (II) complexes: A combined experimental and computational study. ACS Omega 2023, 8, 13421–13434. [Google Scholar] [CrossRef]
- Barwiolek, M.; Jankowska, D.; Kaczmarek-Kędziera, A.; Lakomska, I.; Kobylarczyk, J.; Podgajny, R.; Popielarski, P.; Masternak, J.; Witwicki, M.; Muzioł, T.M. New Dinuclear Macrocyclic Copper(II) Complexes as Potentially Fluorescent and Magnetic Materials. Int. J. Mol. Sci. 2023, 24, 3017. [Google Scholar] [CrossRef] [PubMed]
- Rajabimoghadam, K.; Darwish, Y.; Bashir, U.; Pitman, D.; Eichelberger, S.; Siegler, M.A.; Swart, M.; Garcia-Bosch, I. Catalytic aerobic oxidation of alcohols by copper complexes bearing redox-active ligands with tunable H-bonding groups. J. Am. Chem. Soc. 2018, 140, 16625–16634. [Google Scholar] [CrossRef] [PubMed]
- Saha, D.; Maity, T.; Dey, T.; Koner, S. One-dimensional chain copper (II) complex: Synthesis, X-ray crystal structure and catalytic activity in the epoxidation of styrene. Polyhedron 2012, 35, 55–61. [Google Scholar] [CrossRef]
- Hontz, D.; Hensley, J.; Hiryak, K.; Lee, J.; Luchetta, J.; Torsiello, M.; Venditto, M.; Lucent, D.; Terzaghi, W.; Mencer, D.; et al. A copper (II) macrocycle complex for sensing biologically relevant organic anions in a competitive fluorescence assay: Oxalate sensor or urate sensor? ACS Omega 2020, 5, 19469–19477. [Google Scholar] [CrossRef] [PubMed]
- Mishra, P.; Sethi, P.; Kumar, S.; Rathi, P.; Umar, A.; Kumar, R.; Chaudhary, S.; Alkhanjaf, A.A.M.; Ibrahim, A.A.; Baskoutas, S. Synthesis and biomedical applications of macrocyclic complexes. J. Mol. Struct. 2024, 1317, 139098. [Google Scholar] [CrossRef]
- Boga, S.; Bouzada, D.; Lopez-Blanco, R.; Sarmiento, A.; Salvadó, I.; Gil, D.A.; Brea, J.; Loza, M.I.; Barreiro-Piñeiro, N.; Martínez-Costas, J.; et al. Copper (II) Cyclopeptides with High ROS-Mediated Cytotoxicity. Bioconjugate Chem. 2025, 36, 500–509. [Google Scholar] [CrossRef]
- Mucha, P.; Hikisz, P.; Gwoździński, K.; Krajewska, U.; Leniart, A.; Budzisz, E. Cytotoxic effect, generation of reactive oxygen/nitrogen species and electrochemical properties of Cu (II) complexes in comparison to half-sandwich complexes of Ru (II) with aminochromone derivatives. RSC Adv. 2019, 9, 31943–31952. [Google Scholar] [CrossRef]
- Balewski, Ł.; Inkielewicz-Stępniak, I.; Gdaniec, M.; Turecka, K.; Hering, A.; Ordyszewska, A.; Kornicka, A. Synthesis, Structure, and Stability of Copper(II) Complexes Containing Imidazoline-Phthalazine Ligands with Potential Anticancer Activity. Pharmaceuticals 2025, 18, 375. [Google Scholar] [CrossRef]
- Sarvepalli, S.; Pasika, S.R.; Verma, V.; Thumma, A.; Bolla, S.; Nukala, P.K.; Butreddy, A.; Bolla, P.K. A Review on the Stability Challenges of Advanced Biologic Therapeutics. Pharmaceutics 2025, 17, 550. [Google Scholar] [CrossRef] [PubMed]
- Murekhina, A.E.; Yarullin, D.N.; Sovina, M.A.; Kitaev, P.A.; Gamov, G.A. Copper (II)-Catalyzed Oxidation of Ascorbic Acid: Ionic Strength Effect and Analytical Use in Aqueous Solution. Inorganics 2022, 10, 102. [Google Scholar] [CrossRef]
- Shen, J.; Wang, M.; Zhang, P.; Jiang, J.; Sun, L. Electrocatalytic water oxidation by copper(ii) complexes containing a tetra- or pentadentate amine-pyridine ligand. Chem. Commun. 2017, 21, 4374–4377. [Google Scholar] [CrossRef]
- Xu, Y.; Li, Z.; Zhang, X. A special case of copper(II) complex having monodentate and uncoordinated 4-aminopyridine molecules stabilized by highly cooperative supramolecular interactions. Inorg. Chim. Acta. 2012, 392, 465–468. [Google Scholar] [CrossRef]
- Kowalik, M.; Masternak, J.; Łakomska, I.; Kazimierczuk, K.; Zawilak-Pawlik, A.; Szczepanowski, P.; Khavryuchenko, O.V.; Barszcz, B. Structural Insights into New Bi(III) Coordination Polymers with Pyridine-2,3-Dicarboxylic Acid: Photoluminescence Properties and Anti-Helicobacter pylori Activity. Int. J. Mol. Sci. 2020, 21, 8696. [Google Scholar] [CrossRef]
- Marinova, P.E.; Tamahkyarova, K.D. Synthesis, Investigation, Biological Evaluation, and Application of Coordination Compounds with Schiff Base—A Review. Compounds 2025, 5, 14. [Google Scholar] [CrossRef]
- Wu, S.; Wang, M.; Liu, Z.; Fu, C. Mechanisms Operating in the Use of Transition Metal Complexes to Combat Antimicrobial Resistance. Microorganisms 2025, 7, 1570. [Google Scholar] [CrossRef]
- Moreira Martins, P.M.; Gong, T.; de Souza, A.A.; Wood, T.K. Copper Kills Escherichia coli Persister Cells. Antibiotics 2020, 9, 506. [Google Scholar] [CrossRef] [PubMed]
- Moreno-Narváez, M.E.; González-Sebastián, L.; Colorado-Peralta, R.; Reyes-Márquez, V.; Franco-Sandoval, L.O.; Romo-Pérez, A.; Cruz-Navarro, J.A.; Mañozca-Dosman, I.V.; Aragón-Muriel, A.; Morales-Morales, D. Anticancer and Antimicrobial Activity of Copper(II) Complexes with Fluorine-Functionalized Schiff Bases: A Mini-Review. Inorganics 2025, 13, 38. [Google Scholar] [CrossRef]
- Božić Cvijan, B.; Korać Jačić, J.; Bajčetić, M. The Impact of Copper Ions on the Activity of Antibiotic Drugs. Molecules 2023, 28, 5133. [Google Scholar] [CrossRef] [PubMed]
- Krasniqi, S.; Matzneller, P.; Kinzig, M.; Sörgel, F.; Hüttner, S.; Lackner, E.; Müller, M.; Zeitlinger, M. Blood, tissue, and intracellular concentrations of erythromycin and its metabolite anhydroerythromycin during and after therapy. Antimicrob. Agents Chemother. 2012, 56, 1059–1064. [Google Scholar] [CrossRef]
- Premkumar, M.; Kaleeswaran, D.; Kaviyarasan, G.; Prasanth, D.A.; Venkatachalam, G. Mono and Dinuclear Cu(II) Carboxylate Complexes with Pyridine and 1-methylimidazole as Co-Ligands: Synthesis, Structure, Antibacterial Activity, and Catalytic Nitroaldol Reactions. ChemistrySelect 2019, 4, 7507–7511. [Google Scholar] [CrossRef]
- Hijazi, A.K.; El-Khateeb, M.; Taha, Z.A.; Alomari, M.I.; Khwaileh, N.M.; Alakhras, A.I.; Al-Momani, W.M.; Elrashidi, A.; Barham, A.S. Anti-Bacterial and Anti-Fungal Properties of a Set of Transition Metal Complexes Bearing a Pyridine Moiety and [B(C6F5)4]2 as a Counter Anion. Molecules 2025, 30, 3121. [Google Scholar] [CrossRef] [PubMed]












| CCD Number | 2482573 |
|---|---|
| Empirical formula | C35H25CuN3O8 |
| Formula weight | 679.150 |
| Temperature/K | 169.99(10) |
| Crystal system | Monoclinic |
| Space group | P2/n |
| a/Å | 12.6808(3) |
| b/Å | 8.9889(2) |
| c/Å | 14.2644(3) |
| α/° | 90 |
| β/° | 107.352(2) |
| γ/° | 90 |
| Volume/Å3 | 1551.95(6) |
| Z | 2 |
| ρcalcg/cm3 | 1.453 |
| μ/mm−1 | 1.494 |
| F(000) | 696.5 |
| Crystal size/mm3 | 0.35 × 0.2 × 0.2 |
| Radiation | Cu Kα (λ = 1.54184) |
| 2Θ range for data collection/° | 8.2 to 131.98 |
| Index ranges | −16 ≤ h ≤ 16, −11 ≤ k ≤ 11, −18 ≤ l ≤ 18 |
| Reflections collected | 5777 |
| Independent reflections | 5777 |
| Data/restraints/parameters | 5777/0/215 |
| Goodness-of-fit on F2 | 1.041 |
| Final R indexes [I≥2σ (I)] | R1 = 0.0552, wR2 = 0.1638 |
| Final R indexes [all data] | R1 = 0.0627, wR2 = 0.1705 |
| Largest diff. peak/hole/e Å−3 | 0.34/−0.57 |
| Bond Lengths/Å | Bond Angles/◦ |
|---|---|
| Cu1−O1 1.9571(16) | O11−Cu1−O1 173.04(9) |
| Cu1−O11 1.9571(16) | N2−Cu1−O 191.31(7) |
| Cu1−N21 2.0337(19) | N21−Cu1−O1 89.93(7) |
| Cu1−N2 2.0337(19) | N21−Cu1−O11 91.31(7) |
| Cu1−N1 2.237(3) | N2−Cu1−O11 89.93(7) |
| N2−Cu1−N21 159.46(11) | |
| N1−Cu1−O1 86.52(5) | |
| N1−Cu1−O11 86.52(5) | |
| N1−Cu1−N21 100.27(6) | |
| N1−Cu1−N2 100.27(6) |
| D–H∙∙∙A | d(D–H)/Å | d(H···A)/Å | d(D···A)/Å | ∠(D–H···A)/° | Symmetry Code |
|---|---|---|---|---|---|
| C12–H12···O4 | 0.950(4) | 2.468(4) | 3.117(4) | 125.5(3) | 1-x, -y, 1-z |
| C17–H17···O2 | 0.950(3) | 2.485(3) | 3.105(3 | 122.9(2) | 3/2-x, 1+y, 1/2-z |
| π···π contacts | Cg···Cg/Å | α/° | β/° | Cg···plane/Å | |
| Cg4(C5→C10)···Cg4(C5→C10) | 3.5558(19) | 0.71(15) | 11.7 | 3.4825(13) | 3/2-x, y, 3/2-z |
| C−H···π contacts | C–H/Å | C···Cg/Å | γ/° | ∠(C−H···Cg)/° | |
| C9–H9∙∙∙Cg3(N2→C15) | 2.800(5) | 3.707(5) | 8.93 | 160.3(4) | 1-x, 1-y, 1-z |
Disclaimer/Publisher’s Note: The statements, opinions and data contained in all publications are solely those of the individual author(s) and contributor(s) and not of MDPI and/or the editor(s). MDPI and/or the editor(s) disclaim responsibility for any injury to people or property resulting from any ideas, methods, instructions or products referred to in the content. |
© 2025 by the authors. Licensee MDPI, Basel, Switzerland. This article is an open access article distributed under the terms and conditions of the Creative Commons Attribution (CC BY) license (https://creativecommons.org/licenses/by/4.0/).
Share and Cite
Filipović, N.; Stanković, A.; Medvidović-Kosanović, M.; Goman, D.; Šarić, S.; Palijan, G.; Balić, T. Synthesis, Crystallographic Study and Antibacterial Activity of Ternary Copper(II) Complex with Chromone-Based Ligand and Pyridine. Crystals 2025, 15, 870. https://doi.org/10.3390/cryst15100870
Filipović N, Stanković A, Medvidović-Kosanović M, Goman D, Šarić S, Palijan G, Balić T. Synthesis, Crystallographic Study and Antibacterial Activity of Ternary Copper(II) Complex with Chromone-Based Ligand and Pyridine. Crystals. 2025; 15(10):870. https://doi.org/10.3390/cryst15100870
Chicago/Turabian StyleFilipović, Nikolina, Anamarija Stanković, Martina Medvidović-Kosanović, Dominik Goman, Stjepan Šarić, Goran Palijan, and Tomislav Balić. 2025. "Synthesis, Crystallographic Study and Antibacterial Activity of Ternary Copper(II) Complex with Chromone-Based Ligand and Pyridine" Crystals 15, no. 10: 870. https://doi.org/10.3390/cryst15100870
APA StyleFilipović, N., Stanković, A., Medvidović-Kosanović, M., Goman, D., Šarić, S., Palijan, G., & Balić, T. (2025). Synthesis, Crystallographic Study and Antibacterial Activity of Ternary Copper(II) Complex with Chromone-Based Ligand and Pyridine. Crystals, 15(10), 870. https://doi.org/10.3390/cryst15100870

