Sign in to use this feature.

Years

Between: -

Subjects

remove_circle_outline
remove_circle_outline
remove_circle_outline
remove_circle_outline
remove_circle_outline
remove_circle_outline
remove_circle_outline
remove_circle_outline
remove_circle_outline

Journals

remove_circle_outline
remove_circle_outline
remove_circle_outline
remove_circle_outline
remove_circle_outline
remove_circle_outline
remove_circle_outline
remove_circle_outline
remove_circle_outline

Article Types

Countries / Regions

remove_circle_outline
remove_circle_outline
remove_circle_outline
remove_circle_outline

Search Results (275)

Search Parameters:
Keywords = continuous-flow synthesis

Order results
Result details
Results per page
Select all
Export citation of selected articles as:
23 pages, 1823 KB  
Article
Experimental and Modeling Study of a Semi-Continuous Slurry Reactor–Pervaporator System for Isoamyl Acetate Production Using a Commercial Pervaporation Membrane
by Miguel-Ángel Gómez-García, Izabela Dobrosz-Gómez and Wilmar Osorio Viana
Membranes 2026, 16(1), 25; https://doi.org/10.3390/membranes16010025 - 3 Jan 2026
Viewed by 172
Abstract
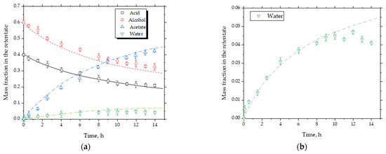
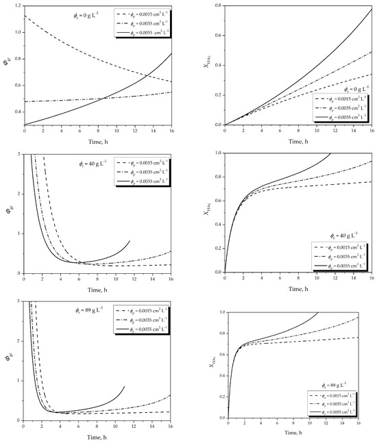
Building on our previous study on batch pervaporation membrane reactors for isoamyl acetate synthesis, this work evaluates a two-step continuous process integrating a slurry reactor and a commercial pervaporator module based on a hybrid silica membrane. The system combines catalytic esterification of acetic [...] Read more.
Building on our previous study on batch pervaporation membrane reactors for isoamyl acetate synthesis, this work evaluates a two-step continuous process integrating a slurry reactor and a commercial pervaporator module based on a hybrid silica membrane. The system combines catalytic esterification of acetic acid with isoamyl alcohol with simultaneous water removal to enhance conversion and product selectivity. Operating conditions were defined using experimentally validated thermodynamic, kinetic, and mass-transport models. A hydrodynamic assessment confirmed turbulent flow within the membrane module, and model predictions were compared with experimental data for validation. The results confirmed the occurrence of reactive pervaporation and demonstrated that both the membrane area-to-reactor volume ratio and catalyst loading significantly influence the equilibrium shift. Although conversion remained limited by the available membrane area, the commercial pervaporation unit exhibited stable operation, consistent flux behavior, and effective water selectivity. These findings demonstrate the technical feasibility of the continuous slurry reactor–pervaporator configuration and establish a framework for further optimization and scale-up of isoamyl acetate production via reactive pervaporation. Full article
(This article belongs to the Section Membrane Applications for Other Areas)
Show Figures

Graphical abstract

20 pages, 1443 KB  
Article
REV1 Loss Triggers a G2/M Cell-Cycle Arrest Through Dysregulation of Mitotic Regulators
by Brailey Buntin, Madison Guyette, Vihit Gupta, Kanayo Ikeh, Sombodhi Bhattacharya, Erica N. Lamkin, Allison Lafuze, Roxana del Rio-Guerra, Jiyong Hong, Pei Zhou and Nimrat Chatterjee
Genes 2026, 17(1), 44; https://doi.org/10.3390/genes17010044 - 31 Dec 2025
Viewed by 480
Abstract
Background: Genomic integrity is crucial to the cellular life cycle, which involves a tightly regulated process where cells progress through specific phases to ensure that fully replicated, undamaged DNA is inherited by daughter cells. Any dysfunction in this process or unrepaired DNA damage [...] Read more.
Background: Genomic integrity is crucial to the cellular life cycle, which involves a tightly regulated process where cells progress through specific phases to ensure that fully replicated, undamaged DNA is inherited by daughter cells. Any dysfunction in this process or unrepaired DNA damage leads to cell cycle arrest and programmed cell death. Cancer cells are known to exploit these mechanisms to continue dividing. Usually, DNA damage arrests replication, allowing the DNA Damage Response (DDR) pathway to activate, which repairs the DNA or bypasses the damage to support cell survival and preserve genome integrity. For DNA damage bypass or translesion synthesis (TLS), a group of low-fidelity polymerases perform error-prone DNA synthesis opposite damaged bases, where REV1 functions as the main scaffolding protein. Previously, we reported non-TLS functions of REV1, including its role in triggering DNA damage-dependent specific DNA metabolic processes. Methods and Results: In this study, we demonstrate that REV1 plays a significant role in cell cycle progression and that its loss causes arrest at the G2/M phase in flow cytometry analysis. This unexpected phenotype includes dysregulation of G2/M regulators, such as Cyclin B1 and tubulins, in REV1-deficient cells compared to controls, as quantified by Western blot. Additionally, phosphorylation of histone H3 at serine 28 was significantly reduced in these REV1-deficient cells. These G2/M arrest features were even more pronounced in REV1-deficient cells treated with the tubulin inhibitor colchicine. Conclusions: Overall, this study reveals a previously unrecognized link between REV1 TLS polymerase inhibition and the G2/M cell cycle arrest. Full article
(This article belongs to the Special Issue DNA Repair, Genomic Instability and Cancer)
Show Figures

Figure 1

21 pages, 435 KB  
Systematic Review
Design Implications of Headspace Ratio VHS/Vtot on Pressure Stability, Gas Composition and Methane Productivity—A Systematic Review
by Meneses-Quelal Orlando
Energies 2026, 19(1), 193; https://doi.org/10.3390/en19010193 - 30 Dec 2025
Viewed by 300
Abstract
Headspace (HS) in anaerobic batch biodigesters is a critical design parameter that modulates pressure stability, gas–liquid equilibrium, and methanogenic productivity. This systematic review, guided by PRISMA 2020, analyzed 84 studies published between 2015 and 2025, of which 64 were included in the qualitative [...] Read more.
Headspace (HS) in anaerobic batch biodigesters is a critical design parameter that modulates pressure stability, gas–liquid equilibrium, and methanogenic productivity. This systematic review, guided by PRISMA 2020, analyzed 84 studies published between 2015 and 2025, of which 64 were included in the qualitative and quantitative synthesis. The interplay between headspace volume fraction VHS/Vtot, operating pressure, and normalized methane yield was assessed, explicitly integrating safety and instrumentation requirements. In laboratory settings, maintaining a headspace volume fraction (HSVF) of 0.30–0.50 with continuous pressure monitoring P(t) and gas chromatography reduces volumetric uncertainty to below 5–8% and establishes reference yields of 300–430 NmL CH4 g−1 VS at 35 °C. At the pilot scale, operation at 3–4 bar absolute increases the CH4 fraction by 10–20 percentage points relative to ~1 bar, while maintaining yields of 0.28–0.35 L CH4 g COD−1 and production rates of 0.8–1.5 Nm3 CH4 m−3 d−1 under OLRs of 4–30 kg COD m−3 d−1, provided pH stabilizes at 7.2–7.6 and the free NH3 fraction remains below inhibitory thresholds. At full scale, gas domes sized to buffer pressure peaks and equipped with continuous pressure and flow monitoring feed predictive models (AUC > 0.85) that reduce the incidence of foaming and unplanned shutdowns, while the integration of desulfurization and condensate management keep corrosion at acceptable levels. Rational sizing of HS is essential to standardize BMP tests, correctly interpret the physicochemical effects of HS on CO2 solubility, and distinguish them from intrinsic methanogenesis. We recommend explicitly reporting standardized metrics (Nm3 CH4 m−3 d−1, NmL CH4 g−1 VS, L CH4 g COD−1), absolute or relative pressure, HSVF, and the analytical method as a basis for comparability and coupled thermodynamic modeling. While this review primarily focuses on batch (discontinuous) anaerobic digesters, insights from semi-continuous and continuous systems are cited for context where relevant to scale-up and headspace dynamics, without expanding the main scope beyond batch systems. Full article
(This article belongs to the Special Issue Research on Conversion for Utilization of the Biogas and Natural Gas)
Show Figures

Figure 1

35 pages, 31615 KB  
Review
Advances in Flow Chemistry for Organolithium-Based Synthesis: A Process Perspective
by Feng Zhou, Yijun Zhou, Chuansong Duanmu, Yanxing Li, Jin Li, Haiqing Xu, Pan Wang and Kai Zhu
Molecules 2026, 31(1), 105; https://doi.org/10.3390/molecules31010105 - 26 Dec 2025
Viewed by 361
Abstract
While organolithium reactions hold great promise in synthetic chemistry, their high reactivity, strong exothermicity, and the instability of intermediates often limit their application, making the effective control of reaction processes difficult in traditional batch reactors. This review systematically summarizes the latest advances in [...] Read more.
While organolithium reactions hold great promise in synthetic chemistry, their high reactivity, strong exothermicity, and the instability of intermediates often limit their application, making the effective control of reaction processes difficult in traditional batch reactors. This review systematically summarizes the latest advances in utilizing flow chemistry technology to address process challenges related to organolithium reactions from 2014 to 2025. From a process perspective, we systematically discuss the literature cases regarding three key themes: the synthesis of organic compounds applied in the pharmaceutical field, the development of novel methods centered on effective process control (reaction temperature, residence time, phase state, multi-step reaction sequence, and safety), and fundamental process research on continuous flow organolithium reactions. Analysis shows that continuous flow systems provide a powerful platform for fully realizing the potential of organolithium chemistry by enhancing heat/mass transfer and precisely controlling reaction parameters. This review emphasizes how flow chemistry technology not only improves process safety and efficiency but also enables transformations and process scaling that are difficult or impossible in batch modes, thus providing a novel process intensification method for modern synthetic chemistry. Full article
Show Figures

Figure 1

18 pages, 511 KB  
Review
Rare-Earth Oxide Nanoparticles: A New Weapon Against Multidrug-Resistant Pathogens with Potential Wound Healing Treatment
by Albert Donald Luong, Moorthy Maruthapandi, Aharon Gedanken and John H. T. Luong
Nanomaterials 2025, 15(24), 1862; https://doi.org/10.3390/nano15241862 - 11 Dec 2025
Viewed by 492
Abstract
Rare-earth oxide (REO) nanoparticles (NPs)—such as cerium (CeO2), samarium (Sm2O3), neodymium (Nd2O3), terbium (Tb4O7), and praseodymium (Pr2O3)—have demonstrated strong antimicrobial activity against multidrug-resistant bacteria. Their [...] Read more.
Rare-earth oxide (REO) nanoparticles (NPs)—such as cerium (CeO2), samarium (Sm2O3), neodymium (Nd2O3), terbium (Tb4O7), and praseodymium (Pr2O3)—have demonstrated strong antimicrobial activity against multidrug-resistant bacteria. Their effectiveness is attributed to unique physicochemical properties, including oxygen vacancies and redox cycling, which facilitate the generation of reactive oxygen species (ROS) that damage microbial membranes and biomolecules. Additionally, electrostatic interactions with microbial surfaces and sustained ion release contribute to membrane disruption and long-term antimicrobial effects. REOs also inhibit bacterial enzymes, DNA, and protein synthesis, providing broad-spectrum activity against Gram-positive, Gram-negative, and fungal pathogens. However, dose-dependent cytotoxicity to mammalian cells—primarily due to excessive ROS generation—and nanoparticle aggregation in biological media remain challenges. Surface functionalization with polymers, peptides, or metal dopants (e.g., Ag, Zn, and Cu) can mitigate cytotoxicity and enhance selectivity. Scalable and sustainable synthesis remains a challenge due to high synthesis costs and scalability issues in industrial production. Green and biogenic routes using plant or microbial extracts can produce REOs at lower cost and with improved safety. Advanced continuous flow and microwave-assisted synthesis offer improved particle uniformity and production yields. Biomedical applications include antimicrobial coatings, wound dressings, and hybrid nanozyme systems for oxidative disinfection. However, comprehensive and intensive toxicological evaluations, along with regulatory frameworks, are required before clinical deployment. Full article
Show Figures

Graphical abstract

13 pages, 5197 KB  
Article
Large-Scale Production of Silver Nanoplates via Ultrasonic-Assisted Continuous-Flow Synthesis
by Xiangting Hu, Yixuan Yao, Fuqiang Yan, Jiahao Pan and Zhenda Lu
Nanomaterials 2025, 15(23), 1770; https://doi.org/10.3390/nano15231770 - 25 Nov 2025
Viewed by 530
Abstract
Silver nanoplates hold significant promise for advanced electronic materials, especially in low-temperature conductive silver pastes crucial for next-generation solar cells. However, their widespread practical application, like many nanomaterials, is currently limited by insufficient production capacity and inconsistent quality inherent in conventional batch synthesis [...] Read more.
Silver nanoplates hold significant promise for advanced electronic materials, especially in low-temperature conductive silver pastes crucial for next-generation solar cells. However, their widespread practical application, like many nanomaterials, is currently limited by insufficient production capacity and inconsistent quality inherent in conventional batch synthesis methods. To overcome these critical challenges, we developed a novel ultrasound-assisted continuous-flow synthesis method for the scalable and high-yield production of silver nanoplates. This innovative approach effectively addresses common issues such as nanoparticle deposition and pipeline clogging by leveraging ultrasonic cavitation for enhanced mixing and stable flow. Through systematic optimization of synthetic parameters-including temperature, flow rate, and seed concentration-our continuous-flow reactor achieved mass production of pure silver nanoplates at a rate of 3.8 g/h. This scaled-up system is capable of producing hundreds of grams per day. The as-prepared nanoplates demonstrate excellent electrical performance, highlighting the method’s potential for industrial-scale manufacturing and significantly advancing the development of high-efficiency electronic devices. Full article
(This article belongs to the Section Nanofabrication and Nanomanufacturing)
Show Figures

Figure 1

22 pages, 2446 KB  
Review
Ultrafast Laser-Enabled 3D Glass Microchannel Reactors
by Xiaolong Li, Jinxin Huang, Jian Xu and Ya Cheng
Sensors 2025, 25(23), 7159; https://doi.org/10.3390/s25237159 - 24 Nov 2025
Viewed by 731
Abstract
Microchannel reactors are among the most important tools used for high-performance continuous-flow synthesis. However, most microchannel reactors manufactured with conventional micromachining techniques are limited to two-dimensional (2D) planar geometries, which pose significant challenges for the custom production of three-dimensional (3D) architectures that offer [...] Read more.
Microchannel reactors are among the most important tools used for high-performance continuous-flow synthesis. However, most microchannel reactors manufactured with conventional micromachining techniques are limited to two-dimensional (2D) planar geometries, which pose significant challenges for the custom production of three-dimensional (3D) architectures that offer superior microchemical performance. Using unique nonlinear optical effects of ultrafast lasers, hollow microchannel structures with 3D configurations can be flexibly created within transparent glass materials through either direct removal or subsequent chemical etching methods. This review provides an overview of typical fabrication techniques for 3D glass microchannel reactors based on ultrafast laser microfabrication, as well as their state-of-the-art advancements, including large-scale and high-precision manufacture of all-glass microchannels and the facile integration of online monitoring modules. Moreover, the applications of these fabricated microchannel reactors for various continuous-flow microchemical reactions are introduced. Ultrafast laser-enabled 3D glass microchannel reactors hold great potential for developing innovative and industrial-scale continuous-flow manufacturing processes in chemical engineering and pharmaceutical production. Full article
(This article belongs to the Special Issue Feature Review Papers in Optical Sensors)
Show Figures

Figure 1

7 pages, 1597 KB  
Proceeding Paper
Participation of the Cyanide Group in the Reaction Mechanism of Benzoxazole Formation: Monitoring by Continuous Flow Cell NMR
by Nelda Xanath Martínez-Galero, Daniel Galindo, Lemuel Pérez-Picaso and Lucio Peña-Zarate
Chem. Proc. 2025, 18(1), 9; https://doi.org/10.3390/ecsoc-29-26850 - 12 Nov 2025
Viewed by 188
Abstract
Benzoxazoles are recognized as significant building blocks in organic synthesis and materials science. This work observed the formation of benzoxazole from o-aminophenol and o-hydroxybenzaldehyde using online 1H NMR (continuous flow cell, 80 MHz). The identification of changes in the functional group was [...] Read more.
Benzoxazoles are recognized as significant building blocks in organic synthesis and materials science. This work observed the formation of benzoxazole from o-aminophenol and o-hydroxybenzaldehyde using online 1H NMR (continuous flow cell, 80 MHz). The identification of changes in the functional group was complemented by ATR-FTIR analysis. Additionally, the kinetic roles of phenylboronic acid and cyanide in the one-pot condensation-cyclization reaction are examined. Real-time monitoring has revealed three observable events: the rapid condensation of the aldehyde and o-aminophenol to produce the imine; the formation of the boron complex in the presence of phenylboronic acid; and the cyanide-assisted cyclization that converts the intermediate into benzoxazole. The findings clarify the transformations that control throughput and provide valuable insights for optimizing reagent loadings under environmentally friendly conditions. Full article
Show Figures

Figure 1

9 pages, 1162 KB  
Proceeding Paper
Sustainable Conjugated Polymer Synthesis in OPV: A Case Study from Conventional to Flow and Microwave-Assisted Synthesis
by Francesca Villafiorita-Monteleone, Benedetta Maria Squeo, Federico Turco, Antonella Caterina Boccia, Alberto Giacometti Schieroni, Daniele Piovani, Mariacecilia Pasini and Stefania Zappia
Chem. Proc. 2025, 18(1), 24; https://doi.org/10.3390/ecsoc-29-26719 - 11 Nov 2025
Viewed by 183
Abstract
Continuous flow synthesis and microwave-assisted synthesis represent two sustainable and efficient methods for polymer production aligned with green chemistry principles, compared to conventional polymer synthesis. Here we present a case study of poly(4,4-dioctyldithieno(3,2-b:2′,3′-d)silole)-2,6-diyl-alt-(2,1,3-benzothiadiazole)-4,7-diyl (PSBTBT), a low band-gap [...] Read more.
Continuous flow synthesis and microwave-assisted synthesis represent two sustainable and efficient methods for polymer production aligned with green chemistry principles, compared to conventional polymer synthesis. Here we present a case study of poly(4,4-dioctyldithieno(3,2-b:2′,3′-d)silole)-2,6-diyl-alt-(2,1,3-benzothiadiazole)-4,7-diyl (PSBTBT), a low band-gap electron-donating polymer for organic photovoltaics (OPVs). The PSBTBT Stille cross-coupling polymerization conditions were optimized by comparing different synthetic methods: conventional, flow, and microwave. To assess the impact of the different synthetic methods, detailed molecular and spectroscopic characterization, highlighting both the differences and similarities within the methodologies, was performed with several techniques, such as GPC, UV-Vis, PL, and NMR. Full article
Show Figures

Figure 1

14 pages, 1384 KB  
Article
Training Recurrent Neural Networks for BrdU Detection with Oxford Nanopore Sequencing: Guidance and Lessons Learned
by Haibo Liu, William Flavahan and Lihua Julie Zhu
Genes 2025, 16(11), 1356; https://doi.org/10.3390/genes16111356 - 10 Nov 2025
Viewed by 614
Abstract
Background/Objectives: BrdU (5′-bromo-2′-deoxyuridine), a synthetic thymidine (T) analog, is widely used to study cell proliferation and DNA synthesis. To precisely identify where and when DNA replication starts and terminates, it is essential to determine the BrdU incorporation rate and sites at a [...] Read more.
Background/Objectives: BrdU (5′-bromo-2′-deoxyuridine), a synthetic thymidine (T) analog, is widely used to study cell proliferation and DNA synthesis. To precisely identify where and when DNA replication starts and terminates, it is essential to determine the BrdU incorporation rate and sites at a single-nucleotide resolution. Although several deep learning-based methods have been developed for detecting BrdU using Oxford nanopore sequencing data, there is a lack of accessible, easy-to-follow tutorials to guide researchers in preparing training data and implementing deep learning approaches as the nanopore sequencing technologies continue to evolve. Methods: Due to the lack of ground truth BrdU-positive data generated on the latest R10 flow cells, we prepared model training data from legacy R9 flow cells, consistent with existing tools. We processed publicly available synthetic and real nanopore DNA sequencing datasets, with and without BrdU incorporation, using a combination of open-source and custom software tools. Subsequently, we trained bidirectional gated recurrent unit (BiGRU)-based recurrent neural networks (RNNs) for BrdU detection using the TensorFlow library on the Google Colab platform. Results: We trained BiGRU-based RNNs for BrdU detection with a high specificity (>94%) but a moderate sensitivity due to limited BrdU-positive data. We detail the setup, training, testing, and fine-tuning of the model using both synthetic and real DNA sequencing data. Conclusions: Though the models were trained with data generated on legacy flow cells, we believe that this detailed protocol, covering both data preparation and model development, can be readily extended to R10 flow cells and basecallers for other base modifications. This work will facilitate the broader adoption of deep learning neural networks in biological research, particularly RNNs, which are well suited for modeling sequential and time-series data. Full article
(This article belongs to the Section Bioinformatics)
Show Figures

Figure 1

19 pages, 3963 KB  
Article
Safety and Process Intensification of Catalytic Reduction of 4-Nitophenol Using Sodium Borohydride in Flow Microreactor System
by Ahmed Ibrahim Elhadad and Magdalena Luty-Błocho
Catalysts 2025, 15(11), 1038; https://doi.org/10.3390/catal15111038 - 2 Nov 2025
Viewed by 824
Abstract
In this work, a novel approach for the catalytic reduction of 4-nitrophenol to 4-aminophenol using sodium borohydride is proposed. It was shown that a continuous-flow microreactor system is an optimal tool for PdNP synthesis with dimensions of 3.0 ± 0.5 nm, as well [...] Read more.
In this work, a novel approach for the catalytic reduction of 4-nitrophenol to 4-aminophenol using sodium borohydride is proposed. It was shown that a continuous-flow microreactor system is an optimal tool for PdNP synthesis with dimensions of 3.0 ± 0.5 nm, as well as the performance of catalytic tests with high process efficiency, while keeping a high level of safety. The results obtained from the microreactor system allowed for 100% conversion to 4-aminophenol and were compared to processes carried out in a batch reactor, as well as to a hybrid system which was a combination of a microreactor (synthesis of PdNPs) and batch reactor (catalytic test). These investigations were enhanced by kinetic studies, for which a stopped-flow spectrophotometer was applied due to the extremely high rate of the reaction, i.e., formation of PdNPs (2.1 s), as well as to measure in situ the rate of the heterogeneous catalytic process. To visualize the progress of the heterogeneous reaction more precisely, color coding based on transmittance measurements was employed. Furthermore, to deepen the understanding of the process, a detailed mechanism supported by DFT calculations for the conversion of 4-nitrophenol to 4-aminophenol in the presence of PdNPs was proposed. Full article
Show Figures

Graphical abstract

13 pages, 1571 KB  
Article
Modular Flow Synthesis of Citric Acid-Coated Superparamagnetic Iron Oxide Nanoparticles: Preliminary Results
by Sabina Vohl, Andreja Nemet and Janja Stergar
Micromachines 2025, 16(11), 1228; https://doi.org/10.3390/mi16111228 - 29 Oct 2025
Viewed by 621
Abstract
Superparamagnetic iron oxide nanoparticles (SPIONs) with sizes below 10 nm are biocompatible and non-toxic, making them promising for biomedical applications. To prevent their agglomeration and enhance their functionality, the nanoparticles were coated with citric acid (CA), which modifies the surface charge, improves dispersion [...] Read more.
Superparamagnetic iron oxide nanoparticles (SPIONs) with sizes below 10 nm are biocompatible and non-toxic, making them promising for biomedical applications. To prevent their agglomeration and enhance their functionality, the nanoparticles were coated with citric acid (CA), which modifies the surface charge, improves dispersion stability, and facilitates biomedical use. In this work, a modular flow-through microreactor system was employed to synthesize and coat the nanoparticles in a single, continuous two-step process. The system enables precise control over temperature and mixing, ensuring uniform reaction conditions and minimizing hot spots. The synthesized Fe3O4 nanoparticles exhibited an average crystallite size of ~5 nm (XRD) and particle sizes of 4–6 nm (TEM). FTIR analysis confirmed the successful surface functionalization with CA, while TGA indicated a coating mass fraction of approximately 4–20 wt%, increasing with higher CA concentration. Zeta potential measurements revealed strong colloidal stability, with values around −35 mV at pH 6.5. Among the tested CA concentrations, the sample with a molar ratio of Fe3O4:CA = 1:0.25 exhibited the most favorable properties, including narrow size distribution and improved dispersion stability. These findings demonstrate that the continuous modular flow approach enables the reproducible synthesis of highly stable, sub-10 nm CA-coated SPIONs, offering promising potential for biomedical applications, particularly as magnetic resonance imaging (MRI) contrast agents. Full article
(This article belongs to the Section D:Materials and Processing)
Show Figures

Figure 1

30 pages, 4851 KB  
Article
Scalable Production of Boron Nitride-Coated Carbon Fiber Fabrics for Improved Oxidation Resistance
by Cennet Yıldırım Elçin, Muhammet Nasuh Arık, Kaan Örs, Uğur Nakaş, Zeliha Bengisu Yakışık Özgüle, Özden Acar, Salim Aslanlar, Özkan Altay, Erdal Çelik and Korhan Şahin
J. Compos. Sci. 2025, 9(10), 564; https://doi.org/10.3390/jcs9100564 - 14 Oct 2025
Viewed by 1420
Abstract
This study aimed to develop an industrially scalable coating route for enhancing the oxidation resistance of carbon fiber fabrics, a critical requirement for next-generation aerospace and high-temperature composite structures. To achieve this goal, synthesis of hexagonal boron nitride (h-BN) layers was achieved via [...] Read more.
This study aimed to develop an industrially scalable coating route for enhancing the oxidation resistance of carbon fiber fabrics, a critical requirement for next-generation aerospace and high-temperature composite structures. To achieve this goal, synthesis of hexagonal boron nitride (h-BN) layers was achieved via a single wet step in which the fabric was impregnated with an ammonia–borane/THF solution and subsequently nitrided for 2 h at 1000–1500 °C in flowing nitrogen. Thermogravimetric analysis coupled with X-ray diffraction revealed that amorphous BN formed below ≈1200 °C and crystallized completely into (002)-textured h-BN (with lattice parameters a ≈ 2.50 Å and c ≈ 6.7 Å) once the dwell temperature reached ≥1300 °C. Complementary XPS, FTIR and Raman spectroscopy confirmed a near-stoichiometric B:N ≈ 1:1 composition and the elimination of O–H/N–H residues as crystallinity improved. Low-magnification SEM (100×) confirmed the uniform and large-area coverage of the BN layer on the carbon fiber tows, while high-magnification SEM revealed a progressive densification of the coating from discrete nanospheres to a continuous nanosheet barrier on the fibers. Oxidation tests in flowing air shifted the onset of mass loss from 685 °C for uncoated fibers to 828 °C for the coating produced at 1400 °C; concurrently, the peak oxidation rate moved ≈200 °C higher and declined by ~40%. Treatment at 1500 °C conferred no additional benefit, indicating that 1400 °C provides the optimal balance between full crystallinity and limited grain coarsening. The resulting dense h-BN film, aided by an in situ self-healing B2O3 glaze above ~800 °C, delayed carbon fiber oxidation by ≈140 °C. Overall, the process offers a cost-effective, large-area alternative to vapor-phase deposition techniques, positioning BN-coated carbon fiber fabrics for robust service in extreme oxidative environments. Full article
(This article belongs to the Section Fiber Composites)
Show Figures

Figure 1

18 pages, 3597 KB  
Article
Continuous Flow-Mode Synthesis of Aromatic Amines in a 3D-Printed Fixed Bed Reactor Loaded with Amino Sugar-Stabilized Re Apparent Nanoparticles
by Patrick Niyirora, Joanna Wolska, Mateusz M. Marzec, Krystian Sokolowski, Anna Leśniewicz, Piotr Jamróz, Anna Dzimitrowicz, Andrzej Bernasik and Piotr Cyganowski
Molecules 2025, 30(18), 3782; https://doi.org/10.3390/molecules30183782 - 17 Sep 2025
Viewed by 1116
Abstract
In industrial processes, catalysts—materials that speed up chemical reactions without being consumed—are essential. The goal of this research was to create two new rhenium-based nanocomposite catalysts that can effectively and sustainably reduce nitroaromatic compounds to aromatic amines in continuous-flow systems. Nitroaromatic hydrocarbons (NACs), [...] Read more.
In industrial processes, catalysts—materials that speed up chemical reactions without being consumed—are essential. The goal of this research was to create two new rhenium-based nanocomposite catalysts that can effectively and sustainably reduce nitroaromatic compounds to aromatic amines in continuous-flow systems. Nitroaromatic hydrocarbons (NACs), widely used in manufacturing pharmaceuticals, insecticides, and herbicides, often contaminate soil and water, posing significant environmental and health risks. However, their reduction to aromatic amines enables potential industrial reuse. In this study, we synthesized two nanocomposite catalysts based on a copolymer functionalized with N-methyl-D-glucamine, embedded with rhenium (Re)-based apparent nanoparticles, and used them to reduce the NACs in continuous-flow mode to their aromatic amines using newly designed and stereolithographic (SLA) 3D-printed reactors. Advanced characterization techniques were employed to evaluate their structure, morphology, and catalytical performance. Catalyst 1, prepared from a self-modified Purolite D4869 resin and characterized by higher Re loading, exhibited superior conversion rates in batch mode (k1 up to 1.406 s−1). In contrast, Catalyst 2, based on a commercial NMDG-functionalized Dowex resin with a mesoporous structure, demonstrated remarkable stability and catalytic capacity under continuous flow (up to 1.383 mmolNAC mLcat−1). Overall, Catalyst 1 was found to be better suited for rapid batch reactions, whereas Catalyst 2 was found to be more appropriate for long-term flow applications, offering a sustainable route for the efficient conversion of nitroaromatic compounds into valuable aromatic amines. The reactors enabled the efficient conversion of NACs into aromatic amines while enhancing process sustainability and efficiency. Full article
Show Figures

Graphical abstract

33 pages, 2380 KB  
Review
A Comprehensive Review of Symmetrical Multilateral Well (MLW) Applications in Cyclic Solvent Injection (CSI): Advancements, Challenges, and Future Prospects
by Shengyi Wu, Farshid Torabi and Ali Cheperli
Symmetry 2025, 17(9), 1513; https://doi.org/10.3390/sym17091513 - 11 Sep 2025
Viewed by 830
Abstract
This paper presents a comprehensive review and theoretical analysis of integrating Cyclic Solvent Injection (CSI) with multilateral well (MLW) technologies to enhance heavy oil recovery. Given that many MLW configurations inherently exhibit symmetrical geometries, CSI–MLW integration offers structural advantages for fluid distribution. CSI [...] Read more.
This paper presents a comprehensive review and theoretical analysis of integrating Cyclic Solvent Injection (CSI) with multilateral well (MLW) technologies to enhance heavy oil recovery. Given that many MLW configurations inherently exhibit symmetrical geometries, CSI–MLW integration offers structural advantages for fluid distribution. CSI offers a non-thermal mechanism for oil production through viscosity reduction, oil swelling, and foamy oil behaviour, but its application is often limited by poor sweep efficiency and non-uniform solvent distribution in conventional single-well configurations. In contrast, MLW configurations are effective in increasing reservoir contact and improving flow control but lack solvent-based enhancement mechanisms. In particular, symmetrical MLW configurations, such as dual-opposing laterals and evenly spaced fishbone laterals, can facilitate balanced solvent distribution and pressure profiles, thereby improving sweep efficiency and mitigating early breakthrough. By synthesizing experimental findings and theoretical insights from the existing literature, laboratory studies have reported that post-CHOPS CSI using a 28% C3H8–72% CO2 mixture can recover about 50% of the original oil in place after six cycles, while continuous-propagation CSI (CPCSI) has achieved up to ~85% OOIP in 1D physical models. These representative values illustrate the performance spectrum observed across different CSI operational modes, underscoring the importance of operational parameters in governing recovery outcomes. Building on this foundation, this paper synthesizes key operational parameters, including solvent composition, pressure decline rate, and well configuration, that influence CSI performance. While previous studies have extensively reviewed CSI and MLW as separate technologies, systematic analyses of their integration remain limited. This review addresses that gap by providing a structured synthesis of CSI–MLW interactions, supported by representative quantitative evidence from the literature. The potential synergy between CSI and MLW is highlighted as a promising direction to overcome current limitations. By leveraging geometric symmetry in well architecture, the integrated CSI–MLW approach offers unique opportunities for optimizing solvent utilization, enhancing recovery efficiency, and guiding future experimental and field-scale developments. Such symmetry-oriented designs are also central to the experimental framework proposed in this study, in which potential methods, such as the microfluidic visualization of different MLW configurations, spanning small-scale visualization studies, bench-scale experiments on fluid and chemical interactions, and mock field setups with pipe networks, are proposed as future avenues to further explore and validate this integrated strategy. Full article
Show Figures

Figure 1

Back to TopTop