Sign in to use this feature.

Years

Between: -

Subjects

remove_circle_outline
remove_circle_outline
remove_circle_outline
remove_circle_outline
remove_circle_outline
remove_circle_outline
remove_circle_outline
remove_circle_outline
remove_circle_outline

Journals

remove_circle_outline
remove_circle_outline
remove_circle_outline
remove_circle_outline
remove_circle_outline
remove_circle_outline

Article Types

Countries / Regions

remove_circle_outline
remove_circle_outline
remove_circle_outline
remove_circle_outline
remove_circle_outline

Search Results (782)

Search Parameters:
Keywords = construction- and demolition waste

Order results
Result details
Results per page
Select all
Export citation of selected articles as:
21 pages, 4347 KB  
Article
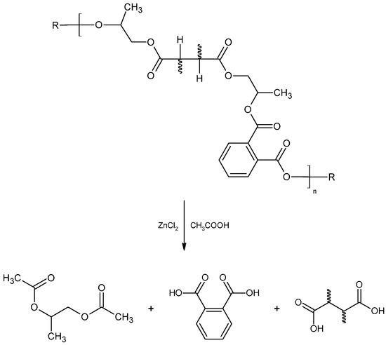
Microwave-Assisted Bio-Based Chemical Recycling of Fiber-Reinforced Composites from Construction and Demolition Waste
by Gonzalo Murillo-Ciordia and Cecilia Chaine
Polymers 2026, 18(3), 362; https://doi.org/10.3390/polym18030362 - 29 Jan 2026
Abstract
Fiber-reinforced polymer composites (FRPCs) are increasingly used in construction due to their high performance and low environmental footprint. However, their widespread adoption has raised concerns over end-of-life management, particularly under European regulations mandating high recycling rates for construction and demolition waste (CDW). This [...] Read more.
Fiber-reinforced polymer composites (FRPCs) are increasingly used in construction due to their high performance and low environmental footprint. However, their widespread adoption has raised concerns over end-of-life management, particularly under European regulations mandating high recycling rates for construction and demolition waste (CDW). This study evaluates different systems for the chemical recycling of FRPCs through microwave (MW)-assisted solvolysis using green solvents, including deep eutectic solvents (DESs) and biobased acetic acid. The process targets thermoset resin depolymerization while preserving fiber integrity, operating at reduced temperatures (≤230 °C) and lower energy demand than conventional techniques, such as pyrolysis. A systematic experimental design was applied to CDW-derived polyester composites and extended to industrial epoxy and vinyl ester composites. Among the tested solvents, glacial acetic acid + ZnCl2 (5 wt.%), achieved the highest degradation efficiency, exceeding 94% in small-scale trials and maintaining over 78% upon upscaling. Recovered fibers showed moderate property retention, with tensile strength and elongation losses of ~30% and ~45% for infusion-based epoxy composites, while those from pultrusion-based epoxy composites exhibited 16–19% and retained similar properties to the virgin material, respectively. The method facilitates fiber recovery with limited degradation and aligns with circular economy principles through solvent reuse and minimizing environmental impact. Full article
(This article belongs to the Special Issue Chemical Recycling of Polymers, 2nd Edition)
Show Figures

Figure 1

13 pages, 1213 KB  
Article
Concrete Waste and CDW Powders as Portland Cement Replacement in Mortar: A Preliminary Study
by Daniel Suarez-Riera, Giuseppe Ferrara, Luca Lavagna, Devid Falliano, Matteo Pavese, Luciana Restuccia and Jean-Marc Tulliani
Materials 2026, 19(3), 519; https://doi.org/10.3390/ma19030519 - 28 Jan 2026
Abstract
The construction industry’s heavy reliance on Ordinary Portland Cement (OPC) significantly contributes to global CO2 emissions, prompting the search for sustainable alternatives. This study investigates the partial substitution of Portland cement with construction and demolition waste (CDW) powder and concrete waste (CON) [...] Read more.
The construction industry’s heavy reliance on Ordinary Portland Cement (OPC) significantly contributes to global CO2 emissions, prompting the search for sustainable alternatives. This study investigates the partial substitution of Portland cement with construction and demolition waste (CDW) powder and concrete waste (CON) powder in mortar mixes. Replacement levels of 5%, 10%, 15%, and 20% by weight were tested following EN 196-1 standards to evaluate the mechanical performance of the resulting materials. X-ray diffraction (XRD), X-ray fluorescence (XRF), and thermo-gravimetric analyses confirmed that CDW and CON powders consist mainly of quartz and calcite, with chemical compositions compatible with cementitious systems. Mechanical testing revealed that compressive strength was maintained or slightly improved at replacement levels up to 10%, while higher substitutions led to moderate reductions due to dilution effects. The use of CDW and CON powders effectively transformed a 52.5 R Type I cement into a 42.5 R Type II equivalent, demonstrating the feasibility of producing sustainable binders with acceptable performance. Full article
Show Figures

Figure 1

20 pages, 5028 KB  
Article
Utilization of Demolition Waste for Concrete Aggregate
by Rita Nemes
Buildings 2026, 16(3), 526; https://doi.org/10.3390/buildings16030526 - 28 Jan 2026
Abstract
The construction industry is a major consumer of natural resources and a significant source of CO2 emissions. Although numerous studies have addressed cement reduction through supplementary materials, the replacement of natural aggregates has received less attention despite its high environmental relevance. Practical [...] Read more.
The construction industry is a major consumer of natural resources and a significant source of CO2 emissions. Although numerous studies have addressed cement reduction through supplementary materials, the replacement of natural aggregates has received less attention despite its high environmental relevance. Practical application of recycled aggregate concrete remains limited due to complex classification and testing requirements. This study investigates the use of locally crushed construction and demolition waste as aggregate for new structural concrete with minimal on-site preparation. The goal was to maximize recycled material utilization while ensuring adequate performance. Demolition materials from normal- and high-strength concrete, 3D-printed concrete, and fired clay bricks were crushed using jaw and impact crushers, and the entire particle size curve was incorporated into new mixtures. Two compositions were tested: 50% and 75% recycled aggregate combined with natural quartz sand, without increasing cement content. Compressive strength and density were evaluated at 28 and 90 days. High-strength concrete waste provided strengths close to the reference mixture, while normal concrete and brick aggregates resulted in lower but still structural-grade concretes. The strengths achieved ranged between 35 MPa and 73 MPa, which is between 48% and 98% of the reference value, respectively. A linear relationship was found between density and compressive strength, enabling estimation from simple measurements. The results confirm that uncontaminated demolition waste can be efficiently reused on site with limited testing, supporting circular construction and reduced environmental impact. Full article
(This article belongs to the Section Building Materials, and Repair & Renovation)
Show Figures

Figure 1

18 pages, 1312 KB  
Article
Optimization of Sisal Content in Geopolymer Mortars with Recycled Brick and Concrete: Design and Processing Implications
by Oscar Graos-Alva, Aldo Castillo-Chung, Marisol Contreras-Quiñones and Alexander Vega-Anticona
Constr. Mater. 2026, 6(1), 7; https://doi.org/10.3390/constrmater6010007 - 26 Jan 2026
Viewed by 71
Abstract
Geopolymer mortars were produced from construction and demolition waste using a binary binder of recycled brick powder/recycled concrete powder (RBP/RCP = 70/30 wt%), activated with a hybrid alkaline solution (NaOH/Na2SiO3/KOH) and reinforced with sisal fibres at 0–2 wt%. Mechanical [...] Read more.
Geopolymer mortars were produced from construction and demolition waste using a binary binder of recycled brick powder/recycled concrete powder (RBP/RCP = 70/30 wt%), activated with a hybrid alkaline solution (NaOH/Na2SiO3/KOH) and reinforced with sisal fibres at 0–2 wt%. Mechanical performance (compression and three-point bending) and microstructure–phase evolution (XRD, FTIR, SEM-EDS) were assessed after low-temperature curing. Sisal addition delivered a strength–toughness trade-off with a reproducible optimum at ~1.0–1.5 wt%; at 2.0 wt%, fibre clustering and connected porosity reduced the effective load-bearing section, penalising flexure more than compression. Microstructural evidence indicates coexistence and co-crosslinking of N-A-S-H and C-(A)-S-H gels—enabled by Ca from RCP—leading to matrix densification and improved fibre–matrix anchorage. Fractographic features (tortuous crack paths, bridging, and extensive pull-out at ~1.5 wt%) are consistent with an extended post-peak response and higher fracture work without compromising early-age strength. This study achieves the following: (i) it identifies a practical reinforcement window for sisal in RBP/RCP geopolymers, (ii) it links gel chemistry and interfacial phenomena to macroscopic behaviour, and (iii) it distils processing guidelines (gradual addition, workability control, gentle deaeration, and constant A/S) that support reproducibility. These outcomes provide a replicable, low-embodied-CO2 route to fibre-reinforced geopolymer mortars derived from CDW for non-structural and semi-structural applications where flexural performance and post-peak behaviour are critical. Full article
Show Figures

Figure 1

17 pages, 5262 KB  
Article
Valorisation of Industrial Wastes in Magnesium Potassium Phosphate Cements for Extrusion-Based 3D Printing
by Pilar Padilla-Encinas, Jose Fernando Corani, Jaime Cuevas, Ana Guerrero and Raúl Fernández
Minerals 2026, 16(2), 127; https://doi.org/10.3390/min16020127 - 24 Jan 2026
Viewed by 123
Abstract
This study examines magnesium potassium phosphate cements (MKPCs) modified with industrial wastes for extrusion-based 3D concrete printing, evaluating the rheological properties (workability, setting time), mechanical performance and printability of formulations incorporating secondary materials: Mg dross waste (up to 20 wt.%, replacing MgO), calcined [...] Read more.
This study examines magnesium potassium phosphate cements (MKPCs) modified with industrial wastes for extrusion-based 3D concrete printing, evaluating the rheological properties (workability, setting time), mechanical performance and printability of formulations incorporating secondary materials: Mg dross waste (up to 20 wt.%, replacing MgO), calcined sewage sludge (up to 10 wt.%, replacing KH2PO4), alternative fillers such as glass from municipal solid waste glass and from construction and demolition waste and ground blast furnace slag, benchmarked against volcanic ash. The baseline MKPC exhibited initial/final setting times of 34/109 min, good workability and compressive strengths of 29 MPa (1 day)/28 MPa (28 days). Optimal low-waste mixes (e.g., using municipal glass or 20 wt.% Mg dross) shortened the initial setting to 19–25 min (decreasing 24–42%), reduced the slump by 9–18% yet remained printable at laboratory-scale and achieved 1-day strengths > 23 MPa/28-day > 31 MPa (comparable or superior). Glass from municipal waste proved most promising, due to superior workability, lighter aesthetics and strength gains, supporting circular economy goals while substantially reducing material costs; higher waste levels compromised fluidity and buildability. Mineralogical analyses confirmed K-struvite formation alongside residual periclase, validating these formulations for upscaling sustainable 3D printing. Full article
(This article belongs to the Section Clays and Engineered Mineral Materials)
34 pages, 4308 KB  
Article
Low-CO2 Concrete from Oil Shale Ash and Construction Demolition Waste for 3D Printing
by Alise Sapata, Ella Spurina, Mohammed H. Alzard, Peteris Slosbergs, Hilal El-Hassan and Maris Sinka
J. Compos. Sci. 2026, 10(2), 62; https://doi.org/10.3390/jcs10020062 - 24 Jan 2026
Viewed by 261
Abstract
To meet 2050 climate targets, the construction sector must reduce CO2 emissions and transition toward circular material flows. Recycled aggregates (RA) derived from construction and demolition waste (CDW) and industrial byproducts such as oil shale ash (OSA) show potential for use in [...] Read more.
To meet 2050 climate targets, the construction sector must reduce CO2 emissions and transition toward circular material flows. Recycled aggregates (RA) derived from construction and demolition waste (CDW) and industrial byproducts such as oil shale ash (OSA) show potential for use in concrete, although their application remains limited by standardisation and performance limitations, particularly in structural uses. This study aims to develop and evaluate low-strength, resource-efficient concrete mixtures with full replacement of natural aggregates (NA) by CDW-derived aggregates, and partial or full replacement of cement CEM II by OSA–metakaolin (MK) binder, targeting non-structural 3D-printing applications. Mechanical performance, printability, cradle-to-gate life cycle assessment, eco-intensity index, and transport-distance sensitivity for RA were assessed to quantify the trade-offs between structural performance and global warming potential (GWP) reduction. Replacing NA with RA reduced compressive strength by ~11–13% in cement-based mixes, while the aggregate type had a negligible effect in cement-free mixtures. In contrast, full cement replacement by OSA-MK binder nearly halved compressive strength. Despite the strength reductions associated with the use of waste-derived materials, RA-based cement-free 3D-printed specimens achieved ~30 MPa in compression and ~5 MPa in flexure. Replacing CEM II with OSA-MK and NA with RA lowered GWP by up to 48%, with trade-offs in the air-emission, toxicity, water and resource categories driven by the OSA supply chain. The cement-free RA mix achieved the lowest GWP and best eco-intensity, whereas the CEM II mix with RA offered the most balanced multi-impact profile. The results show that regionally available OSA and RA can enable eco-efficient, structurally adequate 3D-printed concrete for construction applications. Full article
(This article belongs to the Special Issue Additive Manufacturing of Advanced Composites, 2nd Edition)
Show Figures

Figure 1

18 pages, 1505 KB  
Article
Assessment of the Possibility of Grinding Glass Mineral Wool Without the Addition of Abrasive Material for Use in Cement Materials
by Beata Łaźniewska-Piekarczyk and Dominik Smyczek
Sustainability 2026, 18(3), 1169; https://doi.org/10.3390/su18031169 - 23 Jan 2026
Viewed by 97
Abstract
Glass wool waste constitutes a rapidly increasing fraction of construction and demolition residues, yet it remains one of the most challenging insulation materials to recycle. Its non-combustible nature, extremely low bulk density, and high fibre elasticity preclude energy recovery and severely limit conventional [...] Read more.
Glass wool waste constitutes a rapidly increasing fraction of construction and demolition residues, yet it remains one of the most challenging insulation materials to recycle. Its non-combustible nature, extremely low bulk density, and high fibre elasticity preclude energy recovery and severely limit conventional mechanical recycling routes, resulting in long-term landfilling and loss of mineral resources. Converting glass wool waste into a fine mineral powder represents a potentially viable pathway for its integration into low-carbon construction materials, provided that industrial scalability, particle-size control, and chemical compatibility with cementitious binders are ensured. This study investigates the industrial-scale milling of end-of-life glass wool waste in a ventilated horizontal ball mill. It compares two grinding routes: a corundum-free route (BK) and an abrasive-assisted route (ZK) employing α-Al2O3 corundum to intensify fibre fragmentation. Particle size distribution was quantified by laser diffraction using cumulative and differential analyses, as well as characteristic diameters. The results confirm that abrasive-assisted milling significantly enhances fragmentation efficiency and reduces the coarse fibre fraction. However, the study demonstrates that this gain in fineness is inherently coupled with the incorporation of α-Al2O3 into the milled powder, introducing a chemically foreign crystalline phase that cannot be removed by post-processing. From a cement-oriented perspective, this contamination represents a critical limitation, as α-Al2O3 may interfere with hydration reactions, aluminate–sulfate equilibria, and microstructural development in Portland and calcium sulfoaluminate binders. In contrast, the corundum-free milling route yields a slightly coarser, chemically unmodified powder, offering improved process robustness, lower operational complexity, and greater compatibility with circular economy objectives. The study establishes that, for the circular reuse of fibrous insulation waste in cementitious systems, particle fineness alone is insufficient as an optimization criterion. Instead, the combined consideration of fineness, chemical purity, and binder compatibility governs the realistic and sustainable reuse potential of recycled glass wool powders. Full article
(This article belongs to the Section Sustainable Engineering and Science)
Show Figures

Figure 1

13 pages, 955 KB  
Article
Low-Carbon Concrete Development Through Incorporation of Carbonated Recycled Aggregate and Carbon Dioxide During Concrete Batching and Curing
by Harish Kumar Srivastava and Simon Martin Clark
Infrastructures 2026, 11(1), 36; https://doi.org/10.3390/infrastructures11010036 - 22 Jan 2026
Viewed by 119
Abstract
The accelerated carbonation of fresh concrete and recycled aggregates is one of the safest methods of CO2 sequestration as it mineralizes CO2, preventing its escape into the atmosphere. CO2 injection during batching of concrete improves its strength and may [...] Read more.
The accelerated carbonation of fresh concrete and recycled aggregates is one of the safest methods of CO2 sequestration as it mineralizes CO2, preventing its escape into the atmosphere. CO2 injection during batching of concrete improves its strength and may partially replace Portland cement, as with supplementary cementitious materials (SCMs). The curing of concrete by incorporation of CO2 also accelerates early strength development, which may enable early stripping of formwork/moulds for precast and in situ construction. The carbonation process may also be used for the beneficiation of recycled aggregates sourced from demolition waste. The CO2 mineralization technique may also be used for producing low-carbon, carbon-neutral, or carbon-negative concrete constituents via the carbonation of mineral feedstock, including industrial wastes like steel slag, mine tailings, or raw quarried minerals. This research paper analyses various available technologies for CO2 storage in concrete, CO2 curing and mixing of concrete, and CO2 injection for improving the properties of recycled aggregates. Carbon dioxide can be incorporated into concrete both through reaction with hydrating cement and through incorporation in recycled aggregates, giving a product of similar properties to concrete made from virgin materials. In this contribution we explore the various methodologies available to incorporate CO2 in both hydrating cement and recycled aggregates and develop a protocol for best practice. We find that the loss of concrete strength due to the incorporation of recycled aggregates can be mitigated by CO2 curing of the aggregates and the hydrating concrete, giving no negative strength consequences and sequestering around 30 kg of CO2 per cubic metre of concrete. Full article
Show Figures

Figure 1

26 pages, 9144 KB  
Article
Utilization of Demolition Waste Enhanced with Sewage Sludge Ash and Calcium Carbide Slag for Sustainable Road Base Construction
by Muhammet Çelik
Appl. Sci. 2026, 16(2), 1089; https://doi.org/10.3390/app16021089 - 21 Jan 2026
Viewed by 92
Abstract
Concrete waste generated from the demolition of structures constitutes a significant source of waste worldwide. Recycled concrete aggregates (RCA) obtained from this waste exhibit disadvantages such as high porosity and low mechanical strength; therefore, they are not used in pavement structures without improvement. [...] Read more.
Concrete waste generated from the demolition of structures constitutes a significant source of waste worldwide. Recycled concrete aggregates (RCA) obtained from this waste exhibit disadvantages such as high porosity and low mechanical strength; therefore, they are not used in pavement structures without improvement. This study investigates the feasibility of using RCA improved with waste-based stabilizers as highway subbase material. RCA was used as fine aggregate and blended with basalt aggregate (BA) at different replacement ratios. The mixtures were subjected to California Bearing Ratio (CBR) tests to determine the optimum RCA content. Subsequently, unconfined compressive strength (UCS) tests were conducted using calcium carbide slag (CCS) as an activator and sewage sludge ash (SSA) as pozzolanic material at various proportions. The experimental results indicated that the mixture containing 35% RCA exhibited the most favorable performance, while higher RCA contents resulted in significant reduction in CBR values. The highest UCS value was obtained in the mixture containing 30% waste additive by weight of RCA with a CCS:SSA ratio of 3:7. For this mixture, CBR reached 315%, and displacement measured in the cyclic plate loading test under a load of 35 kN was 2.5 mm. This mixture provides sustainable and mechanically suitable alternatives for highway subbase applications. Full article
(This article belongs to the Section Civil Engineering)
Show Figures

Figure 1

19 pages, 2254 KB  
Article
Possibility of Using Concrete Construction Demolition Waste in the Geopolymer Precursor Composition
by Mateusz Sitarz, Cornelius Ngunjiri Ngandu, Gábor Mucsi and Izabela Hager
Appl. Sci. 2026, 16(2), 1050; https://doi.org/10.3390/app16021050 - 20 Jan 2026
Viewed by 117
Abstract
The construction sector faces the dual challenge of reducing energy consumption and mitigating the environmental burden of construction and demolition waste (CDW). Geopolymers offer a low-carbon alternative to Portland cement, yet their performance depends strongly on precursor composition. This study presents an extensive [...] Read more.
The construction sector faces the dual challenge of reducing energy consumption and mitigating the environmental burden of construction and demolition waste (CDW). Geopolymers offer a low-carbon alternative to Portland cement, yet their performance depends strongly on precursor composition. This study presents an extensive investigation of precursor chemistry, mechanical performance and phase composition, focusing on the partial substitution of ground granulated blast furnace slag (GGBFS) with mechanically activated CDW powder (15% and 30% by weight) alongside fly ash (FA). The oxide composition, amorphous content and particle size distribution were analyzed, using XRF, XRD and laser diffraction to evaluate the reactivity. Mortar samples were subsequently synthesized and tested for compressive and flexural strength, ultrasonic pulse velocity, density and porosity. The results demonstrate that while mechanically activated CDW incorporation decreases early strength compared with GGBFS-rich systems, compressive strengths above 45 MPa were attained at 28 days, with continuous improvement to >69 MPa for aged composites. The relationship between precursor chemistry, precursor sizes and mechanical performance highlights the feasibility of CDW valorization in geopolymer binders, contributing to energy efficiency, circular economy strategies and sustainable construction materials. Full article
Show Figures

Figure 1

21 pages, 2387 KB  
Article
Decarbonising and Advancing the Sustainability of Construction and Demolition Waste Management in Australia: A Regionalised Life Cycle Assessment Across States
by Yue Chen, Boshi Qian and Jianfeng Xue
Sustainability 2026, 18(2), 902; https://doi.org/10.3390/su18020902 - 15 Jan 2026
Viewed by 158
Abstract
The construction sector generates a substantial proportion of Australia’s total solid waste, underscoring the urgent need for sustainable and circular resource management approaches to mitigate environmental impacts. This study evaluates the environmental performance and circularity potential of construction and demolition waste (C&DW) management [...] Read more.
The construction sector generates a substantial proportion of Australia’s total solid waste, underscoring the urgent need for sustainable and circular resource management approaches to mitigate environmental impacts. This study evaluates the environmental performance and circularity potential of construction and demolition waste (C&DW) management across five Australian states. Three representative building cases were modelled using both national-average and state-specific recycling rates and electricity generation mixes. A Life Cycle Assessment (LCA) was conducted to compare two end-of-life pathways: landfill and recycling. Key parameters, including transport distance and substitution ratio, were also examined to assess their influence on carbon outcomes. The results show that regional variations in electricity generation mix and recycling rate have a strong influence on the total Global Warming Potential of C&DW management. States with cleaner electricity grids and higher recycling rates, such as South Australia, exhibited notably lower recycling-related emissions than those relying on fossil-fuel-based power. The findings highlight the importance of incorporating regional characteristics into sustainability assessments of C&DW management and provide practical insights to support Australia’s transition toward a circular and low-carbon construction industry. Full article
Show Figures

Figure 1

22 pages, 12278 KB  
Article
Binder-Free Earth-Based Building Material with the Compressive Strength of Concrete
by Simon Amort, Azra Korjenic and Erich Streit
Buildings 2026, 16(2), 340; https://doi.org/10.3390/buildings16020340 - 14 Jan 2026
Viewed by 144
Abstract
The construction industry consumes a substantial amount of resources. The associated environmental degradation and accelerating biodiversity loss highlight the urgent need for sustainable building materials that can match the performance of conventional alternatives. The objective of this experimental study was to investigate a [...] Read more.
The construction industry consumes a substantial amount of resources. The associated environmental degradation and accelerating biodiversity loss highlight the urgent need for sustainable building materials that can match the performance of conventional alternatives. The objective of this experimental study was to investigate a fully reused, binder-free earth-based material that remains recyclable after its useful life. The material consists of smectite-rich excavation earth and processed demolition waste in a 2:1 ratio, which was compacted under high pressures and subsequently tested to evaluate its mechanical properties. Cylindrical specimens were fabricated via double-ended uniaxial compaction at pressures ranging from 12.5 to 100 MPa and consolidation times between 1 s and 30 min. They were then tested for their compressive strength and water durability. The findings indicate a strong positive correlation between compaction pressure, density, and compressive strength. A compressive strength of 19.2 MPa was reached by specimens that were compacted at 100 MPa for 30 min, achieving values comparable to standard C20/25 concrete. Despite an increase in strength, water durability decreased with increasing compaction pressure but improved with higher molding water content, possibly due to changes in the microstructure. The findings confirm that compressed earth can reach similar compressive strength to conventional materials with a significantly smaller ecological footprint. Full article
(This article belongs to the Section Building Materials, and Repair & Renovation)
Show Figures

Figure 1

17 pages, 1098 KB  
Article
Lean Framework for Minimizing Construction and Demolition Waste in Zimbabwe
by Kurauwone Maponga, Fidelis A. Emuze and John Smallwood
Buildings 2026, 16(2), 337; https://doi.org/10.3390/buildings16020337 - 14 Jan 2026
Viewed by 250
Abstract
Construction and demolition waste (CDW) constitute a menace in Zimbabwe. The industry’s image is tainted by rampant disposal on roadsides, in watercourses, and in landfills. Concerted practical efforts to proffer solutions to the problems of CDW disposal have achieved little. Therefore, this study [...] Read more.
Construction and demolition waste (CDW) constitute a menace in Zimbabwe. The industry’s image is tainted by rampant disposal on roadsides, in watercourses, and in landfills. Concerted practical efforts to proffer solutions to the problems of CDW disposal have achieved little. Therefore, this study aimed to develop a lean-based framework that could help reduce the impacts of CDW. An in-depth review of the related literature was conducted to establish that lean construction approaches have been adopted to minimise CDW. The literature review led to the compilation of a semi-structured questionnaire used to expedite survey research, which received insights and perspectives from 260 construction personnel gathered through a purposive sampling technique. The top-ranked lean CDW minimisation framework embeds recycling, recovering, and reuse, Kaizen (continuous improvement), Last Planner System (LPS), Just-in-Time (JIT), and Andon (visualisation). The four-step framework shows potential for reducing CDW in Zimbabwe and similar regional contexts. Some of the findings show that the recycling technologies needed to recycle construction waste are not yet available in Zimbabwe. The available regulatory frameworks are not very clear on using recovered, salvaged, and recycled construction materials. Designers are not designing in a way that controls waste streams on sites. Full article
(This article belongs to the Section Construction Management, and Computers & Digitization)
Show Figures

Figure 1

25 pages, 1398 KB  
Article
Circular Economy in Rammed Earth Construction: A Life-Cycle Case Study on Demolition and Reuse Strategies of an Experimental Building in Pasłęk, Poland
by Anna Patrycja Nowak, Michał Pierzchalski and Joanna Klimowicz
Sustainability 2026, 18(2), 790; https://doi.org/10.3390/su18020790 - 13 Jan 2026
Viewed by 211
Abstract
This study aims to evaluate the potential of circular economy principles in earth-based construction using an experimental rammed earth building located in Pasłęk, Poland as a case study. The research focuses on end-of-life scenarios for earth materials, with particular emphasis on rammed earth, [...] Read more.
This study aims to evaluate the potential of circular economy principles in earth-based construction using an experimental rammed earth building located in Pasłęk, Poland as a case study. The research focuses on end-of-life scenarios for earth materials, with particular emphasis on rammed earth, adobe, and compressed earth blocks stabilized with Portland cement. A scenario-based life-cycle assessment (LCA) was conducted to compare alternative demolition and reuse strategies, including manual and mechanical deconstruction, as well as on-site and off-site material reuse. Greenhouse gas emissions associated with demolition (Module C1) and transport (Module C2) were estimated for each scenario. The results indicate that manual deconstruction combined with local, on-site reuse leads to the lowest carbon footprint, whereas off-site reuse involving long-distance transport significantly increases greenhouse gas emissions. In addition, qualitative reuse pathways were identified for wood, glass, ceramics, and insulation materials. The study reveals a lack of standardized technical procedures for the recovery and reuse of stabilized earthen materials after demolition and highlights the importance of integrating end-of-life planning into the early design phase using digital tools such as material passports and BIM. The findings demonstrate that properly designed rammed earth systems can provide a viable low-tech solution for reducing construction waste and supporting circular material flows in the built environment. Full article
Show Figures

Figure 1

67 pages, 50243 KB  
Review
Alkali-Activated Materials and CDW for the Development of Sustainable Building Materials: A Review with a Special Focus on Their Mechanical Properties
by Luca Baldazzi, Andrea Saccani and Stefania Manzi
Buildings 2026, 16(2), 309; https://doi.org/10.3390/buildings16020309 - 11 Jan 2026
Viewed by 177
Abstract
Alkali-activated materials (AAMs) or geopolymers have been considered for many years as a sustainable substitution for the traditional ordinary Portland cement (OPC) binder. However, their production needs energy consumption and creates carbon emissions. Since construction and demolition waste (CDW) can become precursors for [...] Read more.
Alkali-activated materials (AAMs) or geopolymers have been considered for many years as a sustainable substitution for the traditional ordinary Portland cement (OPC) binder. However, their production needs energy consumption and creates carbon emissions. Since construction and demolition waste (CDW) can become precursors for manufacturing alkali-activated materials, their use as substitutes for traditional AAM (such as metakaolin, blast furnace slag, and fly ash) can solve both the problem of their disposal and the problem of sustainability. Furthermore, CDW can also be used as aggregate replacement, avoiding the exploitation of natural river sand and gravel. A new circular economy could be created based on CDW recycling, creating a new eco-friendly building practice. Unfortunately, this process is quite difficult owing to several variables that should be taken into consideration, such as the possibility of separating and sorting the CDW, the great variability of CDW composition, the cost of the mechanical and thermal treatment, the different parameters that compose an alkali-activated mix-design, and public opinion still being skeptical about the use of recycled materials in the construction sector. This review tries to describe all these aspects, summarizing the results of the most interesting studies performed on this subject. Today, thanks to a comprehensive protocol, the use of building information modeling (BIM) software and machine learning models, a large-scale reuse of CDW in the building industry appears more feasible. Full article
(This article belongs to the Special Issue Innovations in Building Materials and Infrastructure Design)
Show Figures

Graphical abstract

Back to TopTop