Next Article in Journal
Analysis of Emergy–Economy Coupling in Maize Farmland Ecosystems Under Nitrogen and Phosphorus Reduction and Optimization of Fertilization Schemes
Previous Article in Journal
Investigating Sustainable Development Trajectories in China (2006–2021): A Coupling Coordination Analysis of the Social, Economic, and Ecological Nexus
Previous Article in Special Issue
The Influence of Carbonate Binder Content on the Mechanical and Physical Properties of Artificial Lightweight Aggregates Produced by Carbonization Using Wood Waste Fly Ash
 
 
Font Type:
Arial Georgia Verdana
Font Size:
Aa Aa Aa
Line Spacing:
Column Width:
Background:
Article

Decarbonising and Advancing the Sustainability of Construction and Demolition Waste Management in Australia: A Regionalised Life Cycle Assessment Across States

School of Engineering and Technology, The University of New South Wales, Canberra, ACT 2600, Australia
*
Author to whom correspondence should be addressed.
Sustainability 2026, 18(2), 902; https://doi.org/10.3390/su18020902
Submission received: 31 October 2025 / Revised: 8 December 2025 / Accepted: 14 January 2026 / Published: 15 January 2026

Abstract

The construction sector generates a substantial proportion of Australia’s total solid waste, underscoring the urgent need for sustainable and circular resource management approaches to mitigate environmental impacts. This study evaluates the environmental performance and circularity potential of construction and demolition waste (C&DW) management across five Australian states. Three representative building cases were modelled using both national-average and state-specific recycling rates and electricity generation mixes. A Life Cycle Assessment (LCA) was conducted to compare two end-of-life pathways: landfill and recycling. Key parameters, including transport distance and substitution ratio, were also examined to assess their influence on carbon outcomes. The results show that regional variations in electricity generation mix and recycling rate have a strong influence on the total Global Warming Potential of C&DW management. States with cleaner electricity grids and higher recycling rates, such as South Australia, exhibited notably lower recycling-related emissions than those relying on fossil-fuel-based power. The findings highlight the importance of incorporating regional characteristics into sustainability assessments of C&DW management and provide practical insights to support Australia’s transition toward a circular and low-carbon construction industry.

1. Introduction

The construction industry plays an important role in global economic development but remains a major contributor to environmental pressures. According to the Global Status Report for Buildings and Construction [1], the building sector accounted for approximately 32% of global energy consumption and 34% of CO2 emissions in 2023. Despite continuous efforts to reduce carbon emissions through energy efficiency and material innovation, emissions from this sector have increased by about 5% since 2015. This trajectory deviates significantly from the 28% reduction required by 2030 to align with the decarbonisation goals set under the Paris Agreement.
In Australia, the construction industry is likewise one of the largest contributors to greenhouse gas emissions and solid waste generation. National statistics show that construction and demolition waste (C&DW) accounted for approximately 39% of all solid waste generated in 2022–2023 [2]. The environmental performance of this sector depends heavily on how C&DW is managed, particularly whether it is sent to landfill or recovered for recycling. Recycling offers significant environmental benefits by diverting waste from landfill and substituting virgin materials with recycled products such as recycled concrete aggregate, recycled brick aggregate, and recycled glass sand, thereby reducing raw material extraction and associated emissions [3].
In recent years, the transition from a linear model toward a circular economy has become a central policy and research focus in the construction sector. Circular economy principles emphasise material retention, value preservation, and regenerative flows [4]. In this context, C&DW is no longer viewed as an inevitable waste stream but as a secondary resource that can remain within productive loops through high-quality recycling, upcycling, and reuse. Life cycle assessment (LCA) therefore serves not only as a tool for quantifying environmental impacts but also as a critical mechanism for evaluating circularity strategies by comparing the consequences of landfill (a linear pathway) with recycling and resource recovery (circular pathways). The degree to which recycling can effectively substitute natural materials is central to assessing circular performance, as higher-quality recycled outputs represent a stronger alignment with circular economy objectives. Although LCA provides a systematic framework for quantifying the environmental implications of a system or a product, it has been widely applied in the construction sector to evaluate end-of-life (EOL) options such as landfill, recycling, and incineration [5,6,7,8,9,10]. However, considerable methodological variation exists among studies. A review of 76 LCA studies by [6] found major inconsistencies in defining functional units, setting system boundaries, selecting databases, allocating impacts, and modelling avoided burdens, particularly due to assumptions about recycled-material quality and substitution performance. Similar variability was also highlighted by [7,8], who noted fragmented system boundaries and limited sensitivity or uncertainty analysis across many studies. Another systematic review by [9] on 46 upcycling LCAs likewise reported that estimated environmental benefits often relied on strong assumptions regarding substitution ratios and performance equivalence with virgin materials. Using a consequential LCA approach, Ref. [10] further demonstrated that outcomes of demolition-waste management scenarios are highly sensitive to assumptions about market responses and the actual quality of recycled outputs.
Among these methodological challenges, the substitution ratio, which represents the proportion of recycled material that can effectively replace natural resources, plays a critical role. Substitution ratio is a direct indicator of circularity: higher substitution ratios imply more effective resource recirculation and a greater reduction in primary production, while lower ratios indicate downcycling and reduced circular benefits. This ratio varies with waste type, input composition, and recycling technology. Even for the same input waste, different recycling processes can yield products of varying quality, resulting in different substitution potentials. For example, recycled concrete aggregates (RCA) of different quality grades should be assigned different avoided impacts since they replace natural aggregates of varying specifications. However, many studies, such as [11,12], assume a uniform avoided impact for all recycled concrete aggregates regardless of their quality. Some studies show the limitations of such simplification [10,13]. Ref. [10] showed that small changes in substitution ratio assumptions can significantly alter the environmental performance of demolition-waste management scenarios. Ref. [13] performed LCA of both fine and coarse RCAs and showed that the environmental impact decreases as the replacement ratio increases. As such, it is essential to evaluate the influence of material-specific substitution ratios on overall environmental outcomes. This simplification overlooks the effect of substitution ratio on carbon emissions in recycling processes and highlights the need to evaluate the influence of material-specific substitution ratios on overall environmental outcomes and the degree of circularity achieved in recycling processes.
In addition to substitution ratio, life cycle impact assessment (LCIA) results of C&DW management are strongly influenced by regional parameters such as the electricity generation mix and recycling rate. These parameters also have important circular economy implications: regions with cleaner electricity grids or higher recycling rates can achieve greater circular benefits per tonne of material recovered. However, many existing studies focus on a single region or apply uniform assumptions regarding recycling rate or energy mix, often with limited scenarios analysed. For example, Ref. [14] analysed primary data from a single recycling facility, providing valuable insight into local practice but limited applicability to other regions. In practice, Australian states differ significantly in both recycling rates and electricity generation composition [2,15]. For example, South Australia operates with a predominantly renewable electricity grid and achieves one of the highest recycling rates nationally, whereas the Northern Territory relies heavily on fossil-fuel-based power and has limited recycling activities. These regional differences can substantially influence the carbon emissions associated with recycling processes, meaning that results derived from uniform or single-region assumptions may obscure regional variability and underestimate the potential for emission reduction. Incorporating region-specific data is therefore essential to enhance the robustness, transparency, and comparability of LCA results across different contexts.
Furthermore, few studies have investigated how regional variations in recycling rate, electricity carbon intensity, and substitution ratio jointly influence the total Global Warming Potential (GWP) of C&DW management. A cross-country analysis by [16] demonstrates that differences in electricity carbon intensity, transport logistics, and recycling-system efficiency can lead to large variations in the GWP of RCA production across countries, highlighting that environmental outcomes and thus circular economy performance, are highly context-dependent. As noted by [6,16], overlooking these interdependencies can lead to incomplete or biased conclusions when comparing landfill and recycling pathways. There is therefore a clear need for cross-regional, parameter-sensitive LCA models that can capture these combined effects and support more evidence-based decision-making.
To address these research gaps, this study develops a regionalised life cycle assessment framework to compare the carbon emissions associated with C&DW management by incorporating state-specific recycling rates, material-specific substitution ratios, and regional electricity generation mixes across five Australian states. By integrating both national-average and region-specific datasets, the study provides a comprehensive understanding of the influence of local conditions on the environmental performance of C&DW management in Australia. Comparisons between national-average and region-specific results further show that reliance on national-level data may mask substantial regional variability, potentially underestimating both the environmental impacts and the circularity potential in certain states. This multi-regional comparison therefore provides a more nuanced understanding of C&DW management outcomes and offers insights directly applicable to state-level policy development. The findings aim to inform more effective strategies to enhance recycling efficiency, reduce life cycle carbon emissions, and support the transition from a linear to a circular model in the construction sector.
To guide this investigation, the study addresses the following research questions:
  • How do state-specific factors, such as recycling rates and electricity generation mix, influence the GWP of landfill and recycling pathways for major C&DW streams in Australia?
  • To what extent does the material-specific substitution ratio affect the avoided impacts assigned to recycled products, and how sensitive are overall GWP results to variations in substitution ratio?
  • How do the combined effects of substitution ratio, electricity carbon intensity, and recycling rate shape the comparative environmental performance of landfill and recycling across different Australian states?
  • Which states and C&DW material types provide the greatest potential for emission reductions through improved recycling practices?
These research questions establish a clear analytical framework and directly address the methodological and regional uncertainties identified in the literature. The methodology and results presented in the following sections are structured to address these questions.

2. Methodology

2.1. LCA Framework

A process-based LCA was conducted in accordance with ISO 14040 and ISO 14044 standards [17,18], following the EN 15804 framework [19] for construction materials. The objective of this study was to quantify and compare the carbon emissions associated with two EOL treatment routes for concrete, brick, and glass waste generated from three building demolitions: (i) landfilling and (ii) recycling. The system boundary covered both EOL stages (Modules C2–C4) and Module D to account for emissions and the avoided burdens associated with material recovery and substitution. The environmental impact assessment focused on the Global Warming Potential (GWP, 100-year time horizon), characterised using the IPCC 2021 method [20].
To assess regional variations in electricity-related emissions, two cases were defined. The first adopted the national-average electricity generation mix as the baseline, while the second used state-specific electricity mixes for Victoria (VIC), New South Wales (NSW), Queensland (QLD), South Australia (SA), and the Northern Territory (NT). Furthermore, the effects of key parameters, such as transport distance to landfill and recycling facilities, recycling rate, and the substitution ratio of recycled material, were investigated to evaluate their influence on the carbon emissions of the two EOL treatment routes.

2.2. Functional Unit

The functional unit (FU) of this study was defined as the mass of each waste material, namely concrete, brick, and glass, generated from the demolition of representative buildings [21], as summarised in Table 1. These buildings represent three approved construction systems adopted by a major UK supermarket chain for new store developments. As reported by [21], all three buildings are single-storey commercial structures with an average floor area of 2500 m2. Their material compositions align closely with the major components of the Australian C&DW stream, including concrete, brick, steel, and glass. As shown in Table 1, the total concrete masses were 1476.3 t for Building 1 (B1), 1463.47 t for Building 2 (B2), and 2045.25 t for Building 3 (B3). The corresponding quantities of glass were 8.12 t, 8.11 t, and 8.11 t, while the brick quantities were 26.95 t, 403.74 t, and 0 t, respectively.
This FU enables a direct comparison of the environmental performance between the landfill and recycling scenarios across different Australian states. Although high-rise commercial buildings may have different material intensities, for example higher reinforcement ratios, such variations affect only the absolute quantities of waste generated. They do not alter the relative influence of the landfill and recycling process-related factors examined in this study, such as electricity generation mix, recycling rate, and substitution ratio. Consequently, the comparative trends identified in this regionalised LCA remain robust, and the conclusions regarding the influence of electricity generation mix, recycling rate and substitution ratio on GWP are expected to be applicable across different building types.

2.3. System Boundaries

The system boundaries include the processes from waste collection to final treatment, and the potential environmental credits associated with the avoided production of virgin natural resources. As shown in Figure 1, C&DW generated from three building demolitions, including concrete, brick, and glass, can follow two EOL treatment pathways: landfilling and recycling. The demolition process (Module C1) was excluded from this study because the focus is on comparing the environmental burdens associated with two EOL treatment routes. Therefore, it is assumed that the demolition procedures and their associated carbon emissions are identical for both EOL scenarios.
For the landfill route, the system boundary covers the collection and transport of waste from the demolition site to the landfill, followed by landfill disposal (Module C4). For the recycling route, the boundary includes the collection and transport from the demolition site to the recycling facility, sorting, crushing, and screening to produce recycled materials such as recycled concrete aggregate (RCA), recycled brick aggregate (RBA), and recycled glass sand (RGS) (Module C3), and the transport of the recycled materials to the production site. The potential environmental credits arising from substituting virgin materials with recycled products are represented by Module D. The transport distance of recycled materials to the production site was assumed to be equivalent to that of natural materials.

2.4. Life Cycle Inventory

Life cycle inventory (LCI) data were obtained from the ecoinvent database (version 3.11, ecoinvent Association, Zurich, Switzerland). National-average and state-specific recycling rates were sourced from the National Waste and Resource Recovery Report [2], and the electricity generation mix was adopted from [15]. Table 2 summarises the recycling rates for concrete, brick, and glass used in this study, based on the most recent data reported by [2]. Electricity-related emissions were modelled using both the national-average and state-specific carbon intensities to reflect regional variations in electricity decarbonization, as stated in the above section. Table 3 presents the electricity generation mix for each Australian state used in this study, along with the national average.
The transportation distances for waste concrete from demolition sites to landfill and recycling facilities were assumed to range between 25 km and 75 km, representing shorter and longer distances used to assess the influence of transport distance on total carbon emissions.

2.5. Scenario Definition

The LCA was conducted for two scenario groups. The first group applied the national-average electricity generation mix and the national C&DW recycling rate, while the second group used state-specific electricity generation mixes and state-specific C&DW recycling rates, as detailed in Table 4 and Table 5. The influence of transport distance to landfill and recycling facilities, recycling rate, and the substitution ratio of recycled materials was investigated in the first group, as shown in Table 4.
The substitution ratios adopted in this study are based on reported quality levels and practical replacement potentials of recycled materials in construction applications. For RCA and RBA, a substitution ratio of 0.7 was selected. Previous studies have assessed a wide range of substitution levels (0–100%) for both materials. Refs. [22,23] reported that a 70% RCA replacement level provided suitable compressive and splitting tensile strengths for concrete. Similarly, Ref. [24] found that although 100% RBA replacement can still yield concrete with compressive strength greater than 40 MPa, the presence of occluded air remains within acceptable limits only up to approximately 70% replacement. Therefore, a substitution ratio of 0.7 was adopted for both RCA and RBA in this study. For RGS, Ref. [25] reported that replacing natural sand with RGS by 30% increased compressive strength by about 12.45% and tensile strength by about 26.54% at 28 days compared with conventional concrete. Accordingly, a substitution ratio of 0.3 was used to represent conservative yet realistic replacement conditions. In addition, to examine the influence of substitution efficiency on GWP results, the substitution ratios were subsequently increased by 0.2 (to 0.9 for concrete, 0.9 for brick, and 0.5 for glass) to evaluate the potential impacts of higher replacement performance. An increment of 0.2 was selected because it reflects a realistic upper bound on substitution performance reported in the literature (approximately 0.6–1.0 for RCA/RBA and 0.2–0.5 for RGS) and provides an appropriate step size for sensitivity analysis.
This scenario design enables both inter-state comparison and a comprehensive assessment of how electricity decarbonization, recycling performance, transportation distance, and material substitution ratio affect GWP outcomes.

2.6. Impact Assessment

The life cycle impact assessment was performed in openLCA 2.5.0 using the Ecoinvent 3.11 database. The GWP over a100-year time horizon, characterised according to the IPCC 2021 method [20], was used as the sole impact indicator. For each scenario, the total GWP of each waste material at each life cycle stage, including transportation ( G W P C 2 _ r e c y c l i n g and G W P C 2 _ l a n d f i l l ), EOL treatment ( G W P C 3 _ r e c y c l i n g and G W P C 4 _ l a n d f i l l ), and avoided impacts ( G W P a v o i d e d ), was calculated using the following equations. These equations were applied to three waste material categories, namely concrete, brick, and glass, to quantify their respective contributions to the total GWP of the three buildings under two EOL approaches.
G W P C 2 _ r e c y c l i n g _ i = E F C 2 _ r e c y c l i n g _ i × R i × M w a s t e _ i
G W P C 2 _ l a n d f i l l _ i = E F C 2 _ l a n d f i l l _ i × ( 1 R i ) × M w a s t e _ i
G W P C 3 _ r e c y c l i n g _ i = E F C 3 _ r e c y c l i n g _ i × R i × M w a s t e _ i
G W P C 4 _ l a n d f i l l _ i = E F C 4 _ l a n d f i l l _ i × ( 1 R i ) × M w a s t e _ i
G W P a v o i d e d _ i = S i × E F V M _ i × R i × M w a s t e _ i
where i denotes the waste material type; E F C 2 _ r e c y c l i n g and E F C 2 _ l a n d f i l l are the emission factors for transportation to recycling and landfill, respectively; E F C 3 _ r e c y c l i n g and E F C 4 _ l a n d f i l l represent the emission factors for waste treatment; R is the recycling rate; S is the substitution ratio, representing the functional replacement of virgin materials by recycled materials; E F V M is the carbon emission factor for producing one tonne of virgin material; and M w a s t e is the mass of the waste material.

2.7. Modelling Assumptions and Limitations

Table 6 summarises the key modelling assumptions applied in this study, along with their implications and limitations. This table aims to enhance transparency by clarifying how methodological choices influence the interpretation of EOL GWP results.

3. Results and Discussion

3.1. The Effects of Transport Distance to Landfill and Recycling Site

To evaluate the influence of transportation distance on the GWP, four distance combinations were modelled for the total quantities of waste generated from the three case study buildings presented in Table 1, comprising 4985 t of concrete, 430 t of brick, and 24 t of glass. These distance combinations correspond to scenarios S1_1 to S1_4, as listed in Table 3. The analysis adopted national-average recycling rates of 80% for concrete and brick and 61% for glass. Figure 2 presents the GWP associated with the transport of these waste materials to landfill and recycling facilities under the different distance scenarios. It should be noted that Figure 2 shows only transportation-related emissions; emission from landfill and recycling processes were not included.
When both facilities were assumed to be located 25 km from the demolition site (Figure 2a), the total transport-related GWP reached 17.65 t CO2-eq for recycling and 4.44 t CO2-eq for landfill. Increasing both distances to 75 km (Figure 2b) proportionally raised emissions to 52.95 t CO2-eq and 13.31 t CO2-eq, respectively. When the recycling site was assumed to be farther than the landfill (75 km vs. 25 km), emissions increased sharply to 52.95 t CO2-eq for recycling and 4.44 t CO2-eq for landfill. Conversely, when the landfill facility was farther (25 km vs. 75 km), the total GWP was 17.65 t CO2-eq for recycling and 13.31 t CO2-eq for landfill (Figure 2d). These results indicate that the transport distance to landfill and recycling facilities has a substantial impact on the overall GWP. Because a larger proportion of waste was directed to recycling under the national-average recycling rates, the transportation-related emissions were greater for recycling than for landfilling. This highlights the importance of optimising logistics and siting of recycling infrastructure in achieving sustainable C&DW management.
According to [26], transport distance has only a limited influence on landfill disposal costs. An additional 50 km of transport is estimated to increase the total disposal cost by approximately AUD 10 per tonne. As a result, waste is often transported over long distances to reach more cost-effective landfill facilities. For example, in Western Australia, waste generated in Perth is transported by truck to the Dardanup facility, involving a round trip of more than 300 km. Ref. [26] also noted that landfill sites typically located near the outer edges of metropolitan areas, reflecting considerations of land availability. This spatial pattern is further illustrated in Figure 3, which presents the distribution of waste management facilities in the Sydney region, as summarised by [27]. The brown markers indicate C&DW recycling facilities, while the green markers represent landfill sites. It can be observed that landfills are generally located along the edges of the metropolitan area, whereas recycling facilities are greater in number and typically concentrated in industrial zones or port areas to achieve better economies of scale. Accordingly, the scenario represented in Figure 2d, which assumes a 25 km distance to recycling sites and a 75 km distance to landfills, is most consistent with waste management logistics in major Australian cities such as Sydney, Melbourne, and Adelaide. This scenario was therefore adopted in the subsequent GWP calculations.

3.2. The Effects of Recycling Rate

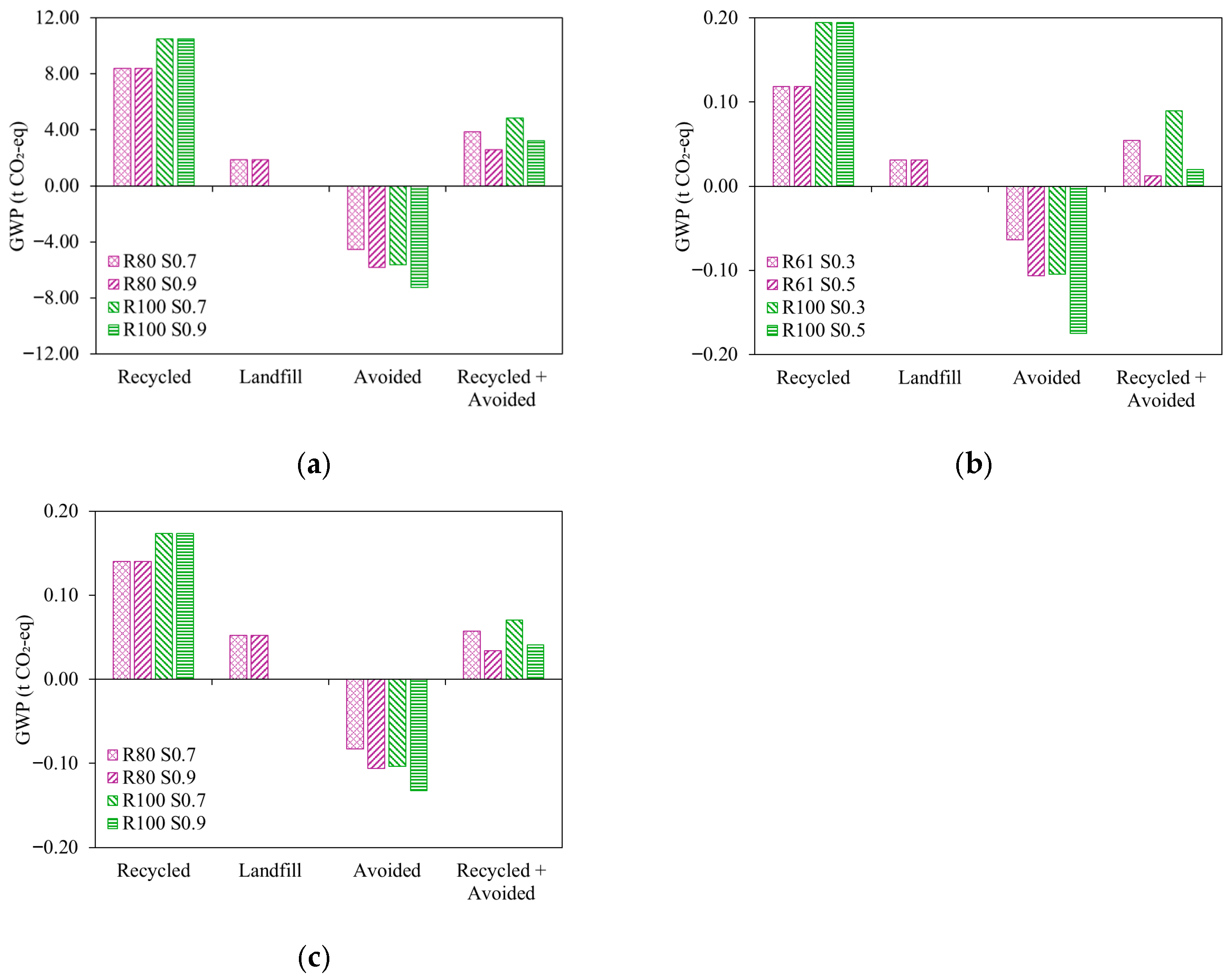
The national-average recycling rates in 2022–2023 were approximately 80% for concrete and brick, and 61% for glass, as reported by [2]. To evaluate the influence of recycling rate on the GWP, two additional recycling scenarios were examined, representing 0% and 100% recycling for all waste materials. In total, three recycling rates were assessed in this section, corresponding to scenarios S1_4 to S1_6 in Table 3, with material substitution ratios of 0.7 for concrete and brick, and 0.3 for glass. It is important to note that, to study and highlight the effects of recycling rate, transportation-related emissions were excluded from this analysis. The results presented in Figure 4, Figure 5 and Figure 6 include only the GWP associated with recycling, landfilling, and the avoided impact. The avoided impact represents the environmental benefits achieved through the substitution of natural resources with recycled materials and is therefore expressed as a negative value. The term “Recycling + Avoided” denotes the GWP obtained by combining the emissions from the recycling process with the corresponding avoided impact.
Figure 4 illustrates the GWP outcomes under the national-average recycling rates reported by [2], which are approximately 80% for concrete and brick and 61% for glass. Across all materials, the recycling process itself produces higher emissions than landfilling because of the additional energy required for sorting, crushing, and processing. However, the avoided impact offsets a substantial portion of these emissions. Among the three materials, concrete exhibits the highest GWP due to its large mass contribution, while glass and brick show smaller impacts. These results indicate that material recovery can provide net carbon benefits despite the higher emissions from recycling process, reinforcing the environmental advantage of recycling over landfilling under current Australian recycling rates.
As shown in Figure 5, when avoided impacts are considered, increasing the recycling rate from 80% for concrete and brick and 61% for glass to 100% result in a reduction in total GWP associated with processing these wastes. For example, under scenario B1 with an 80% recycling rate, the total GWP for concrete waste is 5.74 t CO2-eq (1.86 t CO2-eq from landfilling and 3.88 t CO2-eq from recycling), whereas the 100% recycling scenario results in a lower total GWP of 4.84 t CO2-eq. However, when avoided impacts are excluded, the total GWP for processing concrete waste from B1 increases to 10.26 t CO2-eq for an 80% recycling rate and 10.50 t CO2-eq for a 100% recycling rate. This outcome can be attributed to the combined effects of the increased energy demand for recycling processing, the limited substitution ratios of recycled materials, and most importantly, the presence or absence of avoided impacts. As the quantity of materials requiring recycling increases, the associated energy consumption also rises, while the marginal benefit from avoided emissions is limited as the substitution ratio remains unchanged. In this analysis, substitution ratios of 0.7 for concrete and brick and 0.3 for glass were adopted, indicating that even at a 100% recycling rate, not all recycled materials can effectively replace natural materials. These findings suggest that the environmental performance of recycling depends not only on the recycling rate but also on the efficiency and quality of material substitution. Improving substitution potential through better separation and cleaning of recycled products may therefore yield greater carbon reduction benefits than simply maximising recycling quantities. This also indicates that the allocation of carbon benefits is important and has a significant influence on the GWP associated with end-of-life pathways.
While Figure 5 shows that increasing the recycling rate to 100% can raise total GWP due to higher processing emissions and limited substitution ratios, Figure 6 provides a useful baseline for comparison by representing the 0% recycling scenario. In this case, all waste materials are sent to landfill without producing any environmental benefits. The total GWP values in Figure 6 appear lower than those in the recycling scenarios in Figure 5 (when avoided impacts are not considered) because landfilling involves limited processing activity once the waste arrives at the disposal site. However, this pathway prevents the recovery of valuable waste materials that could otherwise substitute virgin materials in new production. The 100% landfill scenario captures only the immediate emissions from disposal, overlooking the long-term environmental benefits associated with resource conservation. In contrast, while recycling introduces additional energy use during processing, it provides compensating avoided burdens through material recovery. Consequently, when these avoided burdens are accounted for, the combined GWP of recycling and avoided impacts in Figure 5 becomes lower than that of the 100% landfill scenario. Several allocation approaches determine how these benefits are assigned, including the cut-off approach, the end-of-life recycling approach, the 50:50 method, the circular footprint formula, and economic allocation [28]. The cut-off approach, which assigns all recycling emissions to the current product system and does not credit it for avoided impacts, provides limited incentive for recycling and may result in higher GWP values than landfilling when substitution benefits are excluded. This is similar to the case of 100% recycling without avoided impacts shown in Figure 5. In contrast, the end-of-life recycling approach allocates all recycling emissions and avoided burdens to the current system, which leads to lower GWP when recycling is modelled. However, this approach has led to debate regarding whether the next life cycle of recycled products should receive part of the benefit associated with material reuse and bear part of the emissions associated with recycling. The remaining three allocation approaches fall between the cut-off and end-of-life recycling approaches in terms of how emissions and benefits are distributed across life cycles. Although recycling clearly provides carbon benefits by reducing the demand for virgin materials, the question of which product system should bear the recycling emissions and receive these benefits, and in what proportion, remains a subject of ongoing discussion. These allocation choices influence both the incentive to undertake recycling and the market incentive to use recycled products, which are critical considerations for advancing the circular economy.
In addition to the debate regarding allocation methods, the attributional LCA system boundary applied in this study also affects how circularity benefits of waste materials are represented. Under this framework, the life cycle of the demolished building ends at disposal, and the production of virgin materials for subsequent construction lies outside the system boundary. As a result, the emissions from recycling are accounted for within this life cycle, but the long-term consequences of diverting recyclable materials to landfill, such as increased demand for virgin resources, are not captured. From a circular economy perspective, these consequences are critical because recycling and material recovery can reduce future emissions by substituting virgin material production. When the long-term benefits of multiple recycling and reuse cycles are considered, the 100% landfill scenario requires the same quantity of virgin resources to be repeatedly produced and consumed. Consequently, although landfilling may appear less carbon-intensive in the short term, it loses opportunities for long-term emission reduction through material substitution and circular resource use. Therefore, the seemingly lower GWP of landfilling should not be interpreted as an environmental benefit, but rather as a limitation of the system boundary that excludes the effects of multiple recycling and reuse cycles. When the avoided impact from recycled materials is considered under Module D, recycling remains the more sustainable option. Therefore, the contrast between Figure 4, Figure 5 and Figure 6 highlights that an optimal recycling rate must balance processing emissions and material recovery potential to achieve the lowest overall GWP. A more detailed examination of these issues, including the implications of consequential system boundaries, is presented in Section 3.5.

3.3. The Effects of Substitution Ratio

To further study the combined influence of the substitution ratio (S) and recycling rate (R), the GWP results for B1 under different values of S and R were plotted in Figure 7, corresponding to scenarios S1_4 and S1_6 to S1_8. B1 was selected as a representative example to maintain clarity, as the results for Buildings 2 and 3 followed similar trends. Consistent with the above section, transportation-related emissions were excluded to highlight the effects of the substitution ratio. The baseline substitution ratios were set at 0.7 for concrete, 0.7 for brick, and 0.3 for glass. These were subsequently increased by 0.2 (to 0.9 for concrete, 0.9 for brick, and 0.5 for glass) to examine the influence of higher substitution efficiency.
It can be seen from Figure 7 that, for all materials, increasing the recycling rate without a corresponding improvement in substitution ratio led to higher total recycling GWP values, defined as the sum of the GWP from recycling and the associated avoided impacts. This finding is consistent with the conclusions drawn in the above section. In contrast, increasing the substitution ratio by 0.2 significantly reduced the total GWP, as a greater proportion of virgin materials was replaced by recycled products. For example, in the case of concrete, improving the substitution ratio from 0.7 to 0.9 produced a lower total GWP than merely increasing the recycling rate from 80% to 100%. These results demonstrate that enhancing the quality and functional performance of recycled materials provides a more effective approach to carbon reduction than simply expanding recycling quantities. Similar but less pronounced trends were observed for brick and glass due to their smaller mass fractions in the total waste. The results presented here also show that substitution ratios strongly influence the avoided impacts. The pronounced sensitivity of GWP outcomes to substitution ratio is consistent with the observations by [9,12], who reported that small variations in replacement assumptions can significantly alter the comparative performance of landfill and recycling pathways.

3.4. State-Specific GWP

The GWP results for all three buildings (B1, B2, and B3) were further evaluated using state-specific electricity generation mixes and recycling rates, corresponding to scenarios S2–S6 in Table 4. For comparison, the baseline results from scenario S1_4 were also included in Figure 8. In these analyses, the substitution ratios for concrete and brick were fixed at 0.7, and for glass at 0.3, to highlight the influence of state variations in energy mix and recycling performance.
Figure 8 shows the GWP values of all waste materials processed through landfilling and recycling under state-specific recycling rates. It can be observed that the GWP values for VIC, NSW, and QLD are comparable to the national average. This consistency can be attributed to their similar recycling rates (as detailed in Table 3 and Table 4) and electricity generation compositions (as detailed in Table 2). Furthermore, the Environmental Product Declaration published by [29] reports comparable electricity emission factors for these three states, further supporting the observed similarity in total GWP outcomes. In contrast, notable regional differences were observed in SA and the NT. SA exhibited the lowest landfill-related GWP, driven by its exceptionally high recycling rates (95.6% for concrete and brick, and 73% for glass). Conversely, the NT demonstrated the highest landfill GWP, primarily due to its low recycling rates (19.1% for concrete and brick, and 39.9% for glass).
In addition, despite having the highest recycling rates, SA exhibited comparatively low recycling-related GWP. This outcome can be attributed to the state’s low-carbon electricity generation mix, which is dominated by renewable energy sources (approximately 74%) and contains no coal-fired generation. The renewable-based grid significantly reduces the emissions associated with energy-intensive recycling processes. As a result, even though SA processes a larger proportion of waste materials through recycling, its recycling-related GWP remains low. In contrast, states with more carbon-intensive electricity generation, such as VIC, NSW, and QLD demonstrated higher recycling emissions despite lower recycling rates. These findings highlight the dominant influence of regional electricity carbon intensity on the environmental performance of recycling pathways, emphasising that electricity grid decarbonization enhances the carbon reduction potential of high recycling rates in C&DW management.
The overall GWP patterns for Buildings B1, B2, and B3 exhibit consistent trends across all states. B3 shows the highest total GWP, reflecting its larger quantity of waste materials, which leads to greater emissions from both recycling and landfilling processes. B2 presents intermediate results, while B1 yields the lowest GWP. Despite variations in total waste quantities, the relative ranking of GWP among the states remains consistent across all buildings. In every case, SA exhibits the lowest recycling-related GWP among all states except the NT, due to its renewable-dominated electricity mix. In contrast, the NT exhibits the highest landfill-related GWP as a result of its high landfill rate and limited recycling activities. The consistent trends across B1–B3 suggest that increasing the use of renewable energy in the electricity mix, together with improving recycling rate, would enhance the environmental benefits of C&DW management across different building scales.
Transportation-related emissions were also included in the total GWP to enable a comparison between state-specific scenarios. Emissions from Building B1 in SA and the NT were selected as representative examples. Figure 9 compares the GWP associated with recycling (including avoided impacts), landfilling, and the total EOL GWP required to process demolition waste from B1 in both states. As described in Section 3.1, the transport distances to recycling facilities and landfills were assumed to be 25 km and 75 km, respectively. When combined with state-specific recycling rates, the resulting transportation-related emissions to recycling and landfill in SA were 21.09 and 2.98 t CO2-eq, respectively, while those in NT were 4.24 and 53.54 t CO2-eq, respectively. A clear contrast is observed between the two states. SA exhibits the lower landfill-related GWP (3.43 t CO2-eq) and a higher total recycling GWP (23.55 t CO2-eq). This is mainly because the large quantity of waste processed through recycling increases the emissions associated with energy-intensive operations, even though the electricity used is largely decarbonized. By contrast, NT exhibits a much higher landfill GWP (61.32 t CO2-eq) but a significantly lower recycling GWP (5.22 t CO2-eq), which due to its very limited recycling rate. With only a small proportion of waste being recycled, the state generates low recycling-related emissions and minimal avoided benefits. This comparison illustrates that when considering only the GWP from landfill and recycling processes, a higher recycling rate does not necessarily lead to a lower recycling GWP relative to the landfill scenario. The overall environmental outcome depends on both the total quantity of material flows and the carbon intensity of the electricity used. The total EOL GWP in Figure 9 represents the actual emissions required to manage the waste generated from B1. Under the same quantity of waste, the results suggest that a higher recycling rate combined with renewable energy–dominated electricity generation leads to a lower total EOL GWP, with values of 26.98 t CO2-eq in SA and 66.53 t CO2-eq in NT.
Furthermore, while comparing landfill and recycling GWP is informative for understanding EOL treatment effects, such comparisons should not be interpreted without accounting relevant background conditions. A higher recycling-related GWP than landfill does not imply that recycling is environmentally inferior, it may reflect a larger quantity of material being processed, as observed in SA. To further enhance the environmental benefits of recycling, increasing the substitution ratios of recycled materials through improved processing quality would be an effective strategy. Conversely, a lower recycling-related GWP may result from limited recycling activity, as seen in the NT, where smaller recycling volumes lead to reduced emissions but also minimal avoided impacts.
Overall, these findings highlight that the environmental performance of C&DW recycling depends on three key factors: the recycling rate, the carbon intensity of the regional electricity mix, and the material substitution ratio. Therefore, the evaluation of recycling performance should jointly consider the quantity of waste transported to landfill, the energy source used in recycling, and the effectiveness of recycled material substitution, rather than relying solely on the emission values derived from the landfilling and recycling processes. In addition, the results indicate that states with carbon-intensive electricity grids and low recycling rates, such as the Northern Territory, and material types with low substitution ratios, such as recycled glass, offer the greatest potential for emission reductions through improved recycling practices.

3.5. Discussion on System Boundary and Circular Economy Implications

Although the recycling scenario in this study does not always yield a lower total GWP than the landfill scenario, this outcome should be interpreted within the context of current LCA system boundaries. Under the existing framework defined by ISO 14040 and EN 15804, the life cycle of a building ends at Module C4 (disposal) in the landfill scenario. The production of materials for a new building is treated as part of a separate product system (Modules A1–A3) and is therefore not attributed to the demolished building. While this convention aligns with the attributional approach of traditional LCA, it captures only the short-term emissions associated with waste disposal and overlooks the long-term material flows emphasised in the circular economy. Although the recently introduced Module D helps capture the benefits associated with reusing recycled products, it also introduces significant uncertainties to the LCA. These uncertainties relate to the actual value of the benefits from recycling, since this depends on the extent to which recycled products can substitute raw materials in the next life cycle, which is difficult to predict within the current life cycle. There is also uncertainty regarding which product system should claim these benefits.
In practice, when a demolished building is entirely landfilled, a new building still requires the production of virgin materials, which leads to additional resource extraction and carbon emissions. Thus, landfilling fails to utilise the residual value of demolition materials and indirectly contributes to increased demand for virgin resources. From a system-wide perspective, recycling and material recovery pathways can provide greater long-term environmental benefits by reducing the need for virgin material production, even if their short-term recycling emissions appear higher. Consequently, future studies could employ consequential LCA frameworks to better capture the full environmental value of material circularity in the construction sector. Such an approach focuses on the consequences of a decision and allows system boundaries to expand accordingly. For instance, when considering the interactions among landfill operators, virgin material producers, recycling facilities, and the reuse of recycled materials, the system consequences become evident. If demolition waste is entirely landfilled rather than recycled (as shown in Figure 6), the demand for virgin materials in subsequent construction remains unchanged, and the recycling and reuse processes contribute no emissions. Conversely, if the demolition waste is fully recycled (as shown in Figure 5), the demand for virgin materials becomes negligible, resulting in avoided emissions from virgin material production while generating emissions associated with recycling and reuse processes. This case aligns with the consequential LCA approach, which explicitly captures how waste management decisions influence upstream and downstream material flows and associated emissions. Within this framework, the emissions associated with virgin material production can be interpreted as a consequence of landfilling rather than an external process. Adopting this approach provides a more comprehensive representation of the circular economy context, as it directly links waste management decisions to changes in material supply chains and their long-term environmental implications.

4. Conclusions

This study evaluated the Global Warming Potential (GWP) of construction and demolition waste (C&DW) management in Australia, considering variations in recycling rate, material substitution ratio, and regional electricity mix. The analysis compared recycling and landfilling pathways across three building cases under national-average and state-specific scenarios to identify the key factors influencing carbon performance.
The results indicate that the transport distance to landfill has negligible influence on the choice between landfilling and recycling waste. As reported by [26], an additional 50 km of transport increases the total disposal cost by only approximately AUD 10 per tonne. A higher recycling rate does not necessarily lead to a substantially lower EOL GWP when the substitution ratio of recycled materials remains unchanged. This EOL GWP represents the total emissions associated with waste processing and includes emissions from landfilling, emissions from recycling, and the avoided impacts. In contrast, improving the substitution ratio and decarbonising the electricity grid were found to produce significant reductions in EOL GWP. Among the examined states, South Australia exhibited the lowest EOL GWP due to its high recycling rate and renewable-dominated electricity mix, whereas the Northern Territory showed the highest EOL GWP as a result of limited recycling activity. States with carbon-intensive electricity grids and low recycling rates, such as the Northern Territory, and material types with low substitution ratios, such as recycled glass, offer the greatest potential for emission reductions through improved recycling practices.
Although this study focuses on GWP, it is important to recognise that recycling generally provides additional environmental benefits. The avoided impact approach applied here includes the upstream processes associated with the extraction and production of virgin materials, and therefore captures some aspects of resource depletion by accounting for the avoided use of natural aggregates, brick and sand. However, broader environmental impact indicators such as ecotoxicity and land use were not assessed. These indicators typically favour recycling due to reduced landfill burdens and reduced demand for primary resource extraction. Inclusion of such indicators in a multi-impact assessment would therefore be expected to further strengthen the environmental preference for recycling, even in cases where the GWP comparison alone suggests that landfilling may appear to perform better under certain material types or electricity generation conditions.
In addition, although this study focuses on end-of-life management of C&DW, upstream circular economy strategies can also influence environmental impacts. Approaches such as designing for disassembly, modular construction, and material efficiency reduce the total quantity of waste generated and improve material separation, purity, and quality, thereby enhancing recycling and increasing substitution ratios. These strategies extend beyond the system boundary of the present study but would act synergistically with the end-of-life results by further reducing waste generation and associated emissions. Future work that incorporates these upstream measures would provide a more comprehensive assessment of circularity across the building life cycle.
Overall, these findings emphasis that the environmental performance of C&DW recycling is jointly governed by three interacting factors: recycling rate, electricity carbon intensity, and material substitution ratio. Therefore, the evaluation of recycling performance should adopt a system-level perspective that considers not only the quantity of waste disposed of in landfill but also the energy sources powering recycling and the effectiveness of recycled material substitution. This results further suggest several targeted policy measures. Improving the quality and consistency of recycled products through standards for recycled material purity and investment in advanced recycling technologies would help increase substitution ratios. In states with more carbon-intensive electricity grids, incentives to encourage the use of low-carbon or renewable electricity in recycling facilities, such as the installation of on-site solar panels, could reduce emissions. In addition, green public procurement policies that specify minimum recycled content in new construction projects and prioritise recycled materials produced using low-carbon electricity can strengthen demand for recycled products and help reduce the carbon emissions associated with material recycling processes. These measures would enhance recycling efficiency, lower life cycle carbon emissions, and support Australia’s transition toward a low-carbon and circular construction industry.
The results of this study should be interpreted in light of several sources of uncertainty. National- and state-level recycling rates and electricity grid mixes may vary over time, and the values used here represent the most recent available data but may not capture temporal fluctuations. In addition, material-specific substitution ratios are subject to uncertainties arising from differences in recycled material quality, processing technologies, and market acceptance. These uncertainties may influence the GWP values associated with avoided impacts; however, the comparative trends observed across states remain robust. Sensitivity considerations indicate that substitution ratios and electricity carbon intensity have the strongest influence on EOL GWP outcomes, suggesting that improvements in these parameters would provide the greatest potential for reducing environmental impacts.

Author Contributions

Conceptualization, Y.C.; methodology, Y.C.; software, Y.C.; validation, Y.C.; formal analysis, Y.C.; data curation, Y.C.; writing—original draft preparation, Y.C. and B.Q.; writing—review and editing, J.X.; project administration, J.X.; funding acquisition, J.X. All authors have read and agreed to the published version of the manuscript.

Funding

This research was funded by the ARC Industrial Transformation Training Centres for Whole Life Design of Carbon Neutral Infrastructure, grant number IC230100015.

Institutional Review Board Statement

Not applicable.

Informed Consent Statement

Not applicable.

Data Availability Statement

Data is contained within the article.

Conflicts of Interest

The authors declare no conflicts of interest.

Abbreviations

The following abbreviations are used in this manuscript:
C&DWConstruction and demolition waste
EOLEnd-of-life
FUFunctional unit
GWPGlobal Warming Potential
LCALife Cycle Assessment
LCILife cycle inventory
LCIALife cycle impact assessment
NSWNew South Wales
NTNorthern Territory
QLDQueensland
RBARecycled brick aggregate
RCARecycled concrete aggregate
RGSRecycled glass sand
SASouth Australia
VICVictoria

References

  1. UNEP (United Nations Environment Programme). Global Status Report for Buildings and Construction Sector 2024/2025. UN Environment Programme. 2025. Available online: https://www.unep.org/resources/report/global-status-report-buildings-and-construction-20242025 (accessed on 24 October 2025).
  2. DCCEEW. National Waste and Resource Recovery Reporting. Commonwealth of Australia. 2024. Available online: https://www.dcceew.gov.au/environment/protection/waste/publications/national-waste-resource-recovery-reporting/glance-2024 (accessed on 23 October 2025).
  3. Fu, G.; Zhang, H.; Li, Y.; Zhao, X. Utilisation of recycled construction materials for low-carbon building applications. J. Clean. Prod. 2024, 455, 142003. [Google Scholar] [CrossRef]
  4. Ruiz, L.A.L.; Ramón, X.R.; Domingo, S.G. The circular economy in the construction and demolition waste sector–A review and an integrative model approach. J. Clean. Prod. 2020, 248, 119238. [Google Scholar] [CrossRef]
  5. Ortiz, O.; Pasqualino, J.C.; Castells, F. Environmental performance of construction waste: Comparing three scenarios from a case study in Catalonia, Spain. Waste Manag. 2010, 30, 646–654. [Google Scholar] [CrossRef] [PubMed]
  6. Bayram, B.; Greiff, K. Life cycle assessment on construction and demolition waste recycling: A systematic review analysing three important quality aspects. Int. J. Life Cycle Assess. 2023, 28, 1864–1885. [Google Scholar] [CrossRef]
  7. Barbhuiya, S.; Das, B.B. Life Cycle Assessment of construction materials: Methodologies, applications and future directions for sustainable decision-making. Case Stud. Constr. Mater. 2023, 19, e02326. [Google Scholar] [CrossRef]
  8. Gao, Y.; Yiu, T.W.; Shen, X.; Tam, V.W. Life cycle insights into construction and demolition waste management: Past, present and emerging futures. J. Build. Eng. 2025, 111, 113441. [Google Scholar] [CrossRef]
  9. Chen, Y.; Ou, Y.; Mohamed, M.S.; Bao, Z. Life cycle assessment of construction and demolition waste upcycling: A critical review of studies from 2010 to 2025. Dev. Built Environ. 2025, 22, 100685. [Google Scholar] [CrossRef]
  10. Dierks, C.; Hagedorn, T.; Mack, T.; Zeller, V. Consequential life cycle assessment of demolition waste management in Germany. Front. Sustain. 2024, 5, 1417637. [Google Scholar] [CrossRef]
  11. Coelho, A.; de Brito, J. Environmental analysis of a construction and demolition waste recycling plant in Portugal—Part I: Energy consumption and CO2 emissions. Waste Manag. 2013, 33, 1258–1267. [Google Scholar] [CrossRef] [PubMed]
  12. Agrela, F.; Díaz-López, J.L.; Rosales, J.; Cuenca-Moyano, G.M.; Cano, H.; Cabrera, M. Environmental assessment, mechanical behavior and new leaching impact proposal of mixed recycled aggregates to be used in road construction. J. Clean. Prod. 2021, 280, 124362. [Google Scholar] [CrossRef]
  13. Zheng, Y.; Li, Q.; Zhou, L.; Gao, F.; Deng, Z.; Wang, J.; Guo, Z.; Ding, H. Lifecycle assessment and lifecycle cost analysis of sustainable concrete incorporating recycled aggregates. Sustainability 2025, 17, 1779. [Google Scholar] [CrossRef]
  14. Oteng, D.; Bacon, M.; Silvestri, A.; Zuo, J. Life cycle assessment of construction and demolition waste: A case study of recycled aggregate products in Australia. In Sustainability in Construction and Infrastructure Design; Springer: Berlin/Heidelberg, Germany, 2024; pp. 245–260. [Google Scholar] [CrossRef]
  15. DCCEEW. Australian Energy Statistics—Update Report 2025. Commonwealth of Australia. 2025. Available online: https://www.energy.gov.au/sites/default/files/2025-08/australian_energy_update_2025.pdf (accessed on 23 October 2025).
  16. Hosseini, S.A.; Asghari, V.; Liu, X.; Hsu, S.C.; Poon, C.S. Cross-country life cycle assessment of construction and demolition waste recycling with evaluation of energy use, carbon emissions, and regional trade-offs. Sci. Rep. 2025, 15, 41377. [Google Scholar] [CrossRef] [PubMed]
  17. ISO 14040; Environmental Management: Life Cycle Assessment: Principles and Framework. 2nd ed. ISO: Geneva, Switzerland, 2006.
  18. ISO 14044; Environmental Management—Life Cycle Assessment—Requirements and Guidelines. ISO: Geneva, Switzerland, 2006.
  19. EN 15804: 2012+ A2: 2019; Sustainability of Construction Works—Environmental Product Declarations—Core Rules for the Product Category of Construction Products. European Committee for Standardization (CEN): Brussels, Belgium, 2019.
  20. IPCC. Climate Change 2021—The Physical Science Basis: Working Group I Contribution to the Sixth Assessment Report of the Intergovernmental Panel on Climate Change; Cambridge University Press: Cambridge, UK, 2021. [Google Scholar]
  21. Blay-Armah, A.; Bahadori-Jahromi, A.; Mylona, A.; Barthorpe, M. A life cycle assessment of building demolition waste: A comparison study. In Proceedings of the Institution of Civil Engineers-Waste and Resource Management; Emerald Publishing Limited: Leeds, UK, 2024; Volume 177, pp. 100–113. [Google Scholar]
  22. Zhu, P.; Zhang, X.; Wu, J.; Wang, X. Performance degradation of the repeated recycled aggregate concrete with 70% replacement of three-generation recycled coarse aggregate. J. Wuhan Univ. Technol.-Mater. Sci. Ed. 2016, 31, 989–995. [Google Scholar] [CrossRef]
  23. Tam, V.W.; Tam, C.M.; Wang, Y. Optimization on proportion for recycled aggregate in concrete using two-stage mixing approach. Constr. Build. Mater. 2007, 21, 1928–1939. [Google Scholar] [CrossRef]
  24. González, J.S.; Gayarre, F.L.; Pérez, C.L.C.; Ros, P.S.; López, M.A.S. Influence of recycled brick aggregates on properties of structural concrete for manufacturing precast prestressed beams. Constr. Build. Mater. 2017, 149, 507–514. [Google Scholar] [CrossRef]
  25. Hadi, R.A.; Abd, S.M.; Najm, H.M.; Qaidi, S.; Eldirderi, M.M.A.; Khedher, K.M. Influence of Recycling Waste Glass as Fine Aggregate on the Concrete Properties. J. Renew. Mater 2022, 11, 2925–2940. [Google Scholar] [CrossRef]
  26. DEWHA. Australian Landfill Capacities into the Future. Commonwealth of Australia. 2009. Available online: https://www.dcceew.gov.au/sites/default/files/documents/landfill-capacities.pdf (accessed on 1 October 2025).
  27. Geoscience Australia. Waste Management Facilities Database; Geoscience Australia: Canberra, Australia, 2023. [Google Scholar] [CrossRef]
  28. Wang, X.; Huang, B.; Wang, Y.; Liu, J.; Long, Y.; Daigo, I. The impact of allocation methods on carbon benefits-a case study of construction waste recycling. Resour. Conserv. Recycl. 2023, 199, 107269. [Google Scholar] [CrossRef]
  29. Holcim Australia Pty Ltd. Ready-Mix Concrete Environmental Product Declaration (EPD-IES-23426:001)—QLD Sunshine Coast ECOPact QE201EBMX, EPD Australasia/International EPD System. 2025. Available online: https://epd-australasia.com/wp-content/uploads/2025/06/EPD-IES-0023426-001_Holcim_QLD_Sunshine_Coast_ECOPact_QE201EBMX_2025_06_13.pdf (accessed on 24 October 2025).
Figure 1. System boundaries of the LCA for C&DW recycling and landfilling.
Figure 1. System boundaries of the LCA for C&DW recycling and landfilling.
Sustainability 18 00902 g001
Figure 2. GWP associated with the transportation of total waste for: (a) 25 km to both recycling site and landfill, (b) 75 km to both recycling site and landfill, (c) 75 km to recycling site and 25 km to landfill, and (d) 25 km to recycling site and 75 km to landfill.
Figure 2. GWP associated with the transportation of total waste for: (a) 25 km to both recycling site and landfill, (b) 75 km to both recycling site and landfill, (c) 75 km to recycling site and 25 km to landfill, and (d) 25 km to recycling site and 75 km to landfill.
Sustainability 18 00902 g002
Figure 3. Locations of landfill and C&DW recycling facilities in the Sydney region [27].
Figure 3. Locations of landfill and C&DW recycling facilities in the Sydney region [27].
Sustainability 18 00902 g003
Figure 4. GWP associated with the recycling or landfilling of (a) concrete, (b) glass, and (c) brick under national-average recycling rates.
Figure 4. GWP associated with the recycling or landfilling of (a) concrete, (b) glass, and (c) brick under national-average recycling rates.
Sustainability 18 00902 g004
Figure 5. GWP associated with 100% recycling scenario for (a) concrete, (b) glass, and (c) brick.
Figure 5. GWP associated with 100% recycling scenario for (a) concrete, (b) glass, and (c) brick.
Sustainability 18 00902 g005
Figure 6. GWP associated with 0% recycling scenario for (a) concrete, (b) glass, and (c) brick.
Figure 6. GWP associated with 0% recycling scenario for (a) concrete, (b) glass, and (c) brick.
Sustainability 18 00902 g006
Figure 7. GWP for B1 under different recycling rates (R) and substitution ratios (S) for (a) concrete, (b) glass, and (c) brick.
Figure 7. GWP for B1 under different recycling rates (R) and substitution ratios (S) for (a) concrete, (b) glass, and (c) brick.
Sustainability 18 00902 g007
Figure 8. Total GWP for all materials under state-specific scenarios for (a) B1, (b) B2, and (c) B3.
Figure 8. Total GWP for all materials under state-specific scenarios for (a) B1, (b) B2, and (c) B3.
Sustainability 18 00902 g008
Figure 9. GWP of landfilling and recycling in SA and NT for processing waste from B1, including transportation-related emissions.
Figure 9. GWP of landfilling and recycling in SA and NT for processing waste from B1, including transportation-related emissions.
Sustainability 18 00902 g009
Table 1. Quantities of concrete, glass, and brick waste generated from three case study buildings [21].
Table 1. Quantities of concrete, glass, and brick waste generated from three case study buildings [21].
MaterialB1 (t)B2 (t)B3 (t)
Concrete 1476.31463.472045.25
Glass8.128.118.11
Brick26.95403.740
Table 2. Recycling rates (%) for concrete, brick, and glass across Australian states [2].
Table 2. Recycling rates (%) for concrete, brick, and glass across Australian states [2].
StateConcrete and Brick (%)Glass (%)
National average8061
VIC81.671.2
NSW79.762.9
QLD73.148.0
SA95.673.0
NT19.139.9
Table 3. Electricity generation mix by fuel type for each Australian state and the national average [15].
Table 3. Electricity generation mix by fuel type for each Australian state and the national average [15].
Fuel TypeNational Average (%)VIC (%)NSW (%)QLD (%)SA (%)
Coal45.055.859.657.30.0
Natural gas17.23.32.812.424.2
Oil1.70.40.81.61.6
Hydro5.04.84.02.00.0
Other renewables31.135.732.826.674.3
Table 4. Summary of national-average scenarios for LCA.
Table 4. Summary of national-average scenarios for LCA.
Scenario No.Electricity Mix Transportation Distance (km)Recycling Rate (%)Substitution Ratio
To LandfillTo RecyclingConcrete & BrickGlassConcrete & BrickGlass
S1_1 National average2525National average0.70.3
S1_27575
S1_32575
S1_47525
S1_500
S1_6100100
S1_70.90.5
S1_8National average
Table 5. Summary of state-specific scenarios for LCA.
Table 5. Summary of state-specific scenarios for LCA.
Scenario No.Electricity MixState-Specific Recycling Rate (%)Transportation Distance (km)Substitution Ratio
Concrete & BrickGlassTo LandfillTo RecyclingConcrete & BrickGlass
S2VIC mix 81.671.275250.70.3
S3NSW mix 79.762.9
S4QLD mix 73.148.0
S5SA mix 95.673.0
S6NT mix 19.139.9
Table 6. Summary of key modelling assumptions and their implications and limitations.
Table 6. Summary of key modelling assumptions and their implications and limitations.
CategoryAssumptionImplicationsLimitations
System boundaryEOL pathways, excluding demolition emissions (Module C1)Focuses analysis on waste transport and treatment processesDemolition emissions may vary with building type and may affect EOL GWP results
Waste compositionComposition of C&DW based on three building casesAllows realistic scenario modelling for the selected buildingsMay not represent all building types or regional construction practices
Waste transport distances25 km for recycling and 75 km for landfillProvides consistent cross-state comparisonActual distances vary within states and may introduce regional variability
Electricity grid mixNational- and state-level electricity grid mixesCaptures meaningful regional differences in recycling emissions and provide comparison between national-average and state-specific datasetsTemporal fluctuations are not included
Recycling and landfill processesEcoinvent 3.11 datasets selected for material recycling and landfill treatmentProvides standardised emissions associated with disposal and recycling processesDataset assumptions may not fully reflect Australian recycling technologies and landfill practices
Substitution ratiosFixed substitution ratios derived from literatureEnables comparison of avoided impacts across statesActual ratios may vary depending on recycled material quality and market demand
Disclaimer/Publisher’s Note: The statements, opinions and data contained in all publications are solely those of the individual author(s) and contributor(s) and not of MDPI and/or the editor(s). MDPI and/or the editor(s) disclaim responsibility for any injury to people or property resulting from any ideas, methods, instructions or products referred to in the content.

Share and Cite

MDPI and ACS Style

Chen, Y.; Qian, B.; Xue, J. Decarbonising and Advancing the Sustainability of Construction and Demolition Waste Management in Australia: A Regionalised Life Cycle Assessment Across States. Sustainability 2026, 18, 902. https://doi.org/10.3390/su18020902

AMA Style

Chen Y, Qian B, Xue J. Decarbonising and Advancing the Sustainability of Construction and Demolition Waste Management in Australia: A Regionalised Life Cycle Assessment Across States. Sustainability. 2026; 18(2):902. https://doi.org/10.3390/su18020902

Chicago/Turabian Style

Chen, Yue, Boshi Qian, and Jianfeng Xue. 2026. "Decarbonising and Advancing the Sustainability of Construction and Demolition Waste Management in Australia: A Regionalised Life Cycle Assessment Across States" Sustainability 18, no. 2: 902. https://doi.org/10.3390/su18020902

APA Style

Chen, Y., Qian, B., & Xue, J. (2026). Decarbonising and Advancing the Sustainability of Construction and Demolition Waste Management in Australia: A Regionalised Life Cycle Assessment Across States. Sustainability, 18(2), 902. https://doi.org/10.3390/su18020902

Note that from the first issue of 2016, this journal uses article numbers instead of page numbers. See further details here.

Article Metrics

Back to TopTop