Sign in to use this feature.

Years

Between: -

Subjects

remove_circle_outline
remove_circle_outline
remove_circle_outline
remove_circle_outline
remove_circle_outline
remove_circle_outline
remove_circle_outline
remove_circle_outline
remove_circle_outline

Journals

remove_circle_outline
remove_circle_outline
remove_circle_outline
remove_circle_outline
remove_circle_outline
remove_circle_outline
remove_circle_outline
remove_circle_outline
remove_circle_outline
remove_circle_outline
remove_circle_outline
remove_circle_outline
remove_circle_outline
remove_circle_outline
remove_circle_outline

Article Types

Countries / Regions

remove_circle_outline
remove_circle_outline
remove_circle_outline
remove_circle_outline
remove_circle_outline
remove_circle_outline
remove_circle_outline

Search Results (1,348)

Search Parameters:
Keywords = component connection network

Order results
Result details
Results per page
Select all
Export citation of selected articles as:
36 pages, 507 KB  
Article
Introducing a Resolvable Network-Based SAT Solver Using Monotone CNF–DNF Dualization and Resolution
by Gábor Kusper and Benedek Nagy
Mathematics 2026, 14(2), 317; https://doi.org/10.3390/math14020317 (registering DOI) - 16 Jan 2026
Abstract
This paper is a theoretical contribution that introduces a new reasoning framework for SAT solving based on resolvable networks (RNs). RNs provide a graph-based representation of propositional satisfiability in which clauses are interpreted as directed reaches between disjoint subsets of Boolean variables (nodes). [...] Read more.
This paper is a theoretical contribution that introduces a new reasoning framework for SAT solving based on resolvable networks (RNs). RNs provide a graph-based representation of propositional satisfiability in which clauses are interpreted as directed reaches between disjoint subsets of Boolean variables (nodes). Building on this framework, we introduce a novel RN-based SAT solver, called RN-Solver, which replaces local assignment-driven branching by global reasoning over token distributions. Token distributions, interpreted as truth assignments, are generated by monotone CNF–DNF dualization applied to white (all-positive) clauses. New white clauses are derived via resolution along private-pivot chains, and the solver’s progression is governed by a taxonomy of token distributions (black-blocked, terminal, active, resolved, and non-resolved). The main results establish the soundness and completeness of the RN-Solver. Experimentally, the solver performs very well on pigeonhole formulas, where the separation between white and black clauses enables effective global reasoning. In contrast, its current implementation performs poorly on random 3-SAT instances, highlighting both practical limitations and significant opportunities for optimization and theoretical refinement. The presented RN-Solver implementation is a proof-of-concept which validates the underlying theory rather than a state-of-the-art competitive solver. One promising direction is the generalization of strongly connected components from directed graphs to resolvable networks. Finally, the token-based perspective naturally suggests a connection to token-superposition Petri net models. Full article
(This article belongs to the Special Issue Graph Theory and Applications, 3rd Edition)
19 pages, 1059 KB  
Article
Adaptive Sliding Mode Control Incorporating Improved Integral Compensation Mechanism for Vehicle Platoon with Input Delays
by Yunpeng Ding, Yiguang Wang and Xiaojie Li
Sensors 2026, 26(2), 615; https://doi.org/10.3390/s26020615 - 16 Jan 2026
Abstract
This study focuses on investigating the adaptive sliding mode control (SMC) problem for connected vehicles with input delays and unknown time-varying control coefficients. As a result of wear and tear of mechanical components, throttle response lags, and the internal data processing time of [...] Read more.
This study focuses on investigating the adaptive sliding mode control (SMC) problem for connected vehicles with input delays and unknown time-varying control coefficients. As a result of wear and tear of mechanical components, throttle response lags, and the internal data processing time of the controller, input delays widely exist in vehicle actuators. Since input delays may lead to instability of the vehicle platoon, an improved integral compensation mechanism (ICM) with the adjustment factor for input delays is developed to improve the platoon’s robustness. As the actuator efficiency, drive mechanism, and load of the vehicle may change during operation, the control coefficients of vehicle dynamics are usually unknown and time-varying. A novel adaptive updating mechanism utilizing a radial basis function neural network (RBFNN) is designed to deal with the unknown time-varying control coefficients, thereby improving the vehicle platoon’s tracking performance. By integrating the improved ICM and the RBFNN-based adaptive updating mechanism (RBFNN−AUM), an innovative distributed adaptive control scheme using sliding mode techniques is proposed to guarantee that the convergence of state errors to a predefined region and accomplish the vehicle platoon’s control objectives. Comparative numerical results confirm the effectiveness and superiority of the developed control strategy over existing method. Full article
(This article belongs to the Section Vehicular Sensing)
30 pages, 5277 KB  
Article
Critical Systemic Risks in Multilayer Automotive Supply Networks: Static and Dynamic Network Perspectives
by Xiongping Yue and Qin Zhong
Systems 2026, 14(1), 93; https://doi.org/10.3390/systems14010093 - 15 Jan 2026
Abstract
Current research on automotive supply networks predominantly examines single-type entities connected through one relationship type, resulting in oversimplified, single-layer network structures. This conventional approach fails to capture the complex interdependencies that exist among mineral resources, intermediate components, and finished products throughout the automotive [...] Read more.
Current research on automotive supply networks predominantly examines single-type entities connected through one relationship type, resulting in oversimplified, single-layer network structures. This conventional approach fails to capture the complex interdependencies that exist among mineral resources, intermediate components, and finished products throughout the automotive industry. To overcome these analytical limitations, this study implements a multilayer network framework for examining global automotive supply chains spanning 2017 to 2023. The research particularly emphasizes the identification of critical risk sources through both static and dynamic analytical perspectives. The static analysis employs multilayer degree and strength centralities to illuminate the pivotal roles that countries such as China, the United States, and Germany play within these multilayer automotive supply networks. Conversely, the dynamic risk propagation model uncovers significant cascade effects; a disruption in a major upstream supplier can propagate through intermediary layers, ultimately impacting over 85% of countries in the finished automotive layer within a short temporal threshold. Furthermore, this study investigates how individual nations’ anti-risk capabilities influence the overall resilience of multilayer automotive supply networks. These insights offer valuable guidance for policymakers, enabling strategic topological modifications during disruption events and enhanced protection of the most vulnerable risk sources. Full article
(This article belongs to the Section Systems Practice in Social Science)
Show Figures

Figure 1

14 pages, 250 KB  
Proceeding Paper
Approaches to Cybersecurity in UAS in the SORA Process: A Systematic Literature Review of Standards, Probabilistic Models, and AI Integration
by Anton Puliyski and Vladimir Serbezov
Eng. Proc. 2026, 121(1), 17; https://doi.org/10.3390/engproc2025121017 - 14 Jan 2026
Abstract
The present literature review identifies substantial research and applied potential in the combined utilization of internationally recognized information security standards, Bayesian networks, and AI-based assistants to enhance cyber resilience in Unmanned Aerial Systems (UAS) operations within the specific category defined by the SORA [...] Read more.
The present literature review identifies substantial research and applied potential in the combined utilization of internationally recognized information security standards, Bayesian networks, and AI-based assistants to enhance cyber resilience in Unmanned Aerial Systems (UAS) operations within the specific category defined by the SORA (Specific Operations Risk Assessment) methodology. The analysis reveals that while the existing literature individually addresses key components such as ISO/IEC 27001, NIST SP 800-53, MITRE ATT&CK, Bayesian models, and AI techniques, integrated methodologies that unify these elements into a comprehensive and operationally applicable framework are lacking. Particularly underrepresented is the connection to the Cyber Safety Extension of SORA, as well as the synergistic application of quantitative analysis and automation through intelligent systems. The review concludes that a systematic effort is required to develop a holistic framework that reflects the dynamic regulatory demands, operational environments, and contemporary threats facing drone technologies. Full article
23 pages, 1308 KB  
Article
MFA-Net: Multiscale Feature Attention Network for Medical Image Segmentation
by Jia Zhao, Han Tao, Song Liu, Meilin Li and Huilong Jin
Electronics 2026, 15(2), 330; https://doi.org/10.3390/electronics15020330 - 12 Jan 2026
Viewed by 97
Abstract
Medical image segmentation acts as a foundational element of medical image analysis. Yet its accuracy is frequently limited by the scale fluctuations of anatomical targets and the intricate contextual traits inherent in medical images—including vaguely defined structural boundaries and irregular shape distributions. To [...] Read more.
Medical image segmentation acts as a foundational element of medical image analysis. Yet its accuracy is frequently limited by the scale fluctuations of anatomical targets and the intricate contextual traits inherent in medical images—including vaguely defined structural boundaries and irregular shape distributions. To tackle these constraints, we design a multi-scale feature attention network (MFA-Net), customized specifically for thyroid nodule, skin lesion, and breast lesion segmentation tasks. This network framework integrates three core components: a Bidirectional Feature Pyramid Network (Bi-FPN), a Slim-neck structure, and the Convolutional Block Attention Module (CBAM). CBAM steers the model to prioritize boundary regions while filtering out irrelevant information, which in turn enhances segmentation precision. Bi-FPN facilitates more robust fusion of multi-scale features via iterative integration of top-down and bottom-up feature maps, supported by lateral and vertical connection pathways. The Slim-neck design is constructed to simplify the network’s architecture while effectively merging multi-scale representations of both target and background areas, thus enhancing the model’s overall performance. Validation across four public datasets covering thyroid ultrasound (TNUI-2021, TN-SCUI 2020), dermoscopy (ISIC 2016), and breast ultrasound (BUSI) shows that our method outperforms state-of-the-art segmentation approaches, achieving Dice similarity coefficients of 0.955, 0.971, 0.976, and 0.846, respectively. Additionally, the model maintains a compact parameter count of just 3.05 million and delivers an extremely fast inference latency of 1.9 milliseconds—metrics that significantly outperform those of current leading segmentation techniques. In summary, the proposed framework demonstrates strong performance in thyroid, skin, and breast lesion segmentation, delivering an optimal trade-off between high accuracy and computational efficiency. Full article
(This article belongs to the Special Issue Deep Learning for Computer Vision Application: Second Edition)
Show Figures

Figure 1

20 pages, 5040 KB  
Article
A Transfer-Learning-Based STL–LSTM Framework for Significant Wave Height Forecasting
by Guanhui Zhao, Yuyan Cheng, Yuanhao Jia, Shuang Li and Jicang Si
J. Mar. Sci. Eng. 2026, 14(2), 146; https://doi.org/10.3390/jmse14020146 - 9 Jan 2026
Viewed by 150
Abstract
Significant wave height (SWH) is a key descriptor of sea state, yet providing accurate, site-specific forecasts at low computational cost remains challenging. This study proposes a transfer-learning-based framework for SWH forecasting that combines Seasonal and Trend decomposition using Loess (STL), a stacked long [...] Read more.
Significant wave height (SWH) is a key descriptor of sea state, yet providing accurate, site-specific forecasts at low computational cost remains challenging. This study proposes a transfer-learning-based framework for SWH forecasting that combines Seasonal and Trend decomposition using Loess (STL), a stacked long short-term memory (LSTM) network, and an efficient sliding-window updating scheme. First, STL is applied to decompose the SWH time series into trend, seasonal, and remainder components; the resulting sub-series are then fed into a transfer-learning architecture in which the parameters of the stacked LSTM backbone are kept fixed, and only a fully connected output layer is updated in each window. Using multi-year observations from five National Data Buoy Center (NDBC) buoys, the proposed STL-LSTM-T model is compared with a STL-LSTM configuration that is fully retrained after each STL decomposition. For example, the transfer-learning setup reduces MAE, MSE, and RMSE by up to 11.2%, 19.2%, and 14.5% at buoy 46244, respectively, while reducing the average training time per update to about one-fifth of the baseline. Parameter analyses indicate that a two-layer LSTM backbone and moderate continuous forecast step (6–12 steps) provide a good balance between predictive accuracy, error accumulation, and computational cost, making STL-LSTM-T suitable for SWH forecasting on resource-constrained platforms. Full article
(This article belongs to the Section Ocean Engineering)
Show Figures

Figure 1

12 pages, 707 KB  
Article
Intelligent Vehicle Repeater for Satellite Networks: A Promising Device for Tourists and Explorers Without Terrestrial Networks
by Yitao Li and Conglu Huang
Telecom 2026, 7(1), 8; https://doi.org/10.3390/telecom7010008 - 7 Jan 2026
Viewed by 101
Abstract
Existing vehicle-mounted satellite terminals primarily rely on mechanical or purely analog electronically steered antennas. They lack protocol-level relay capability and usually provide only short-range hotspot connectivity. These limitations make it difficult for such systems to deliver stable, high-throughput satellite access for personal mobile [...] Read more.
Existing vehicle-mounted satellite terminals primarily rely on mechanical or purely analog electronically steered antennas. They lack protocol-level relay capability and usually provide only short-range hotspot connectivity. These limitations make it difficult for such systems to deliver stable, high-throughput satellite access for personal mobile devices in dynamic vehicular environments, especially in remote regions without terrestrial networks. This paper proposes an intelligent vehicle repeater for satellite networks (IVRSN) that builds a dedicated satellite–vehicle–device relay architecture. It enables reliable broadband connectivity for conventional mobile terminals without requiring specialized satellite hardware. The IVRSN consists of three key technical components. Firstly, a dual-mode relay coverage mechanism is designed to support energy-efficient in-vehicle access and extended out-of-vehicle coverage. Secondly, a DoA-assisted, attitude-compensated hybrid beamforming scheme is developed. It combines subspace-based direction estimation with inertial sensor measurements to maintain high-precision satellite pointing under vehicle dynamics. Finally, a bidirectional protocol conversion module is introduced to ensure compatibility between ground wireless protocols and satellite link-layer formats with integrity-checked data forwarding. Compared to existing solutions, the proposed IVRSN provides higher stability and broader device compatibility, making it a feasible solution for high-speed, high-quality communications in remote or disaster regions. Full article
Show Figures

Figure 1

13 pages, 1222 KB  
Article
Whole-Plant Trait Integration Underpins High Leaf Biomass Productivity in a Modern Mulberry (Morus alba L.) Cultivar
by Bingjie Tu, Nan Xu, Juexian Dong and Wenhui Bao
Horticulturae 2026, 12(1), 67; https://doi.org/10.3390/horticulturae12010067 - 6 Jan 2026
Viewed by 173
Abstract
Understanding yield improvement in horticultural systems depends on elucidating how multiple plant traits operate in concert to sustain productivity. Mulberry (Morus alba L.) provides a suitable model for examining such whole-plant integration. Under cold-region field conditions, a modern high-yield cultivar (‘Nongsang 14’) [...] Read more.
Understanding yield improvement in horticultural systems depends on elucidating how multiple plant traits operate in concert to sustain productivity. Mulberry (Morus alba L.) provides a suitable model for examining such whole-plant integration. Under cold-region field conditions, a modern high-yield cultivar (‘Nongsang 14’) was compared with a traditional cultivar (‘Lusang 1’). Measurements encompassed canopy architecture, biomass allocation between roots and shoots, leaf economic traits, and gas-exchange parameters, allowing trait coordination to be evaluated across structural and physiological dimensions. Multivariate profiling—Principal Component Analysis (PCA) and correlation networks—was used to characterise phenotypic integration. The modern cultivar’s superior productivity emerged as a coordinated “acquisitive” trait syndrome. This strategy couples a larger canopy (higher LAI) and nitrogen-rich foliage (higher LNC) with greater stomatal conductance (Gs), operating together with reduced root-to-shoot allocation. These features form a tightly connected network where structural investment and physiological upregulation are synchronised to maximise carbon gain. These findings provide a whole-plant framework for interpreting high productivity, offering guidance for breeding programmes that target trait integration rather than single-trait optimisation. Full article
Show Figures

Figure 1

34 pages, 2079 KB  
Review
Propagation of Emerging and Re-Emerging Infectious Disease Pathogens in Africa: The Role of Migratory Birds
by Babatunde Ibrahim Olowu, Maryam Ebunoluwa Zakariya, Abdulhakeem Opeyemi Azeez, Abdullah Adedeji Al-Awal, Kehinde Samuel Adebayo, Nahimah Opeyemi Idris, Halima Idris Muhammad, Blessing Chizaram Ukauwa and Al-Amin Adebare Olojede
Bacteria 2026, 5(1), 2; https://doi.org/10.3390/bacteria5010002 - 4 Jan 2026
Viewed by 272
Abstract
Migratory birds have been implicated in the spread of diverse emerging infectious pathogens, including West Nile virus, Usutu virus, Avian influenza viruses, Salmonella, Campylobacter, antimicrobial-resistant (AMR) bacteria, and antibiotic resistance genes (ARGs). Beyond their roles as vectors and reservoirs, migratory birds [...] Read more.
Migratory birds have been implicated in the spread of diverse emerging infectious pathogens, including West Nile virus, Usutu virus, Avian influenza viruses, Salmonella, Campylobacter, antimicrobial-resistant (AMR) bacteria, and antibiotic resistance genes (ARGs). Beyond their roles as vectors and reservoirs, migratory birds are also susceptible hosts whose own health may be compromised by these infections, reflecting their dual position in the ecology of pathogens. As facilitators of pathogen transmission during their long-distance migrations, often spanning thousands of kilometres and connecting ecosystems across continents, these birds can easily cross-national borders and circumvent traditional biosecurity measures, thereby acting as primary or secondary vectors in the transmission of cross-species diseases among wildlife, livestock, and humans. Africa occupies a pivotal position in global migratory bird networks, yet comprehensive data on pathogen carriage remain limited. Gaps in knowledge of pathogen diversity constrain current surveillance systems, resulting in insufficient genomic monitoring of pathogen evolution and a weak integration of avian ecology with veterinary and human health. These limitations hinder early detection of novel pathogens and reduce the continent’s preparedness to manage outbreaks. Therefore, this review provides a holistic assessment of these challenges by consolidating existing knowledge concerning the pathogens transmitted by migratory birds in Africa, while recognizing the adverse effect of pathogens, which potentiates population decline, extinction, and ecological imbalance. It further advocates for the adoption of a comprehensive One Health-omics approach that not only strengthens surveillance and technological capacity but also prioritizes the protection of avian health as an integral component of ecosystem and public health. Full article
Show Figures

Graphical abstract

26 pages, 13483 KB  
Article
Analog Circuit Simplification of a Chaotic Hopfield Neural Network Based on the Shil’nikov’s Theorem
by Diego S. de la Vega, Lizbeth Vargas-Cabrera, Olga G. Félix-Beltrán and Jesus M. Munoz-Pacheco
Dynamics 2026, 6(1), 1; https://doi.org/10.3390/dynamics6010001 - 1 Jan 2026
Viewed by 206
Abstract
Circuit implementation is a widely accepted method for validating theoretical insights observed in chaotic systems. It also serves as a basis for numerous chaos-based engineering applications, including data encryption, random number generation, secure communication, neuromorphic computing, and so forth. To get feasible, compact, [...] Read more.
Circuit implementation is a widely accepted method for validating theoretical insights observed in chaotic systems. It also serves as a basis for numerous chaos-based engineering applications, including data encryption, random number generation, secure communication, neuromorphic computing, and so forth. To get feasible, compact, and cost-effective circuit implementations of chaotic systems, the underlying mathematical model may be simplified while preserving all rich nonlinear behaviors. In this framework, this manuscript presents a simplified Hopfield Neural Network (HNN) capable of generating a broad spectrum of complex behaviors using a minimal number of electronic elements. Based on Shil’nikov’s theorem for heteroclinic orbits, the number of non-zero synaptic connections in the matrix weights is reduced, while simultaneously using only one nonlinear activation function. As a result of these simplifications, we obtain the most compact electronic implementation of a tri-neuron HNN with the lowest component count but retaining complex dynamics. Comprehensive theoretical and numerical analyses by equilibrium points, density-colored continuation diagrams, basin of attraction, and Lyapunov exponents, confirm the presence of periodic oscillations, spiking, bursting, and chaos. Such chaotic dynamics range from single-scroll chaotic attractors to double-scroll chaotic attractors, as well as coexisting attractors to transient chaos. A brief security application of an S-Box utilizing the presented HNN is also given. Finally, a physical implementation of the HNN is given to confirm the proposed approach. Experimental observations are in good agreement with numerical results, demonstrating the usefulness of the proposed approach. Full article
Show Figures

Figure 1

19 pages, 4426 KB  
Article
A Smart AIoT-Based Mobile Application for Plant Disease Detection and Environment Management in Small-Scale Farms Using MobileViT
by Mohamed Bahaa, Abdelrahman Hesham, Fady Ashraf and Lamiaa Abdel-Hamid
AgriEngineering 2026, 8(1), 11; https://doi.org/10.3390/agriengineering8010011 - 1 Jan 2026
Viewed by 378
Abstract
Small-scale farms produce more than one-third of the world’s food supply, making them a crucial contributor to global food security. In this study, an artificial intelligence of things (AIoT) framework is introduced for smart small-scale farm management. For plant disease detection, the lightweight [...] Read more.
Small-scale farms produce more than one-third of the world’s food supply, making them a crucial contributor to global food security. In this study, an artificial intelligence of things (AIoT) framework is introduced for smart small-scale farm management. For plant disease detection, the lightweight MobileViT model, which integrates vision transformer and convolutional modules, was utilized to efficiently capture both global and local image features. Data augmentation and transfer learning were employed to enhance the model’s overall performance. MobileViT resulted in a test accuracy of 99.5%, with per-class precision, recall, and f1-score ranging between 0.92 and 1.00 considering the benchmark Plant Village dataset (14 species–38 classes). MobileViT was shown to outperform several standard deep convolutional networks, including MobileNet, ResNet and Inception, by 2–12%. Additionally, an LLM-powered interactive chatbot was integrated to provide farmers with instant plant care suggestions. For plant environment management, the powerful, cost-effective ESP32 microcontroller was utilized as the core processing unit responsible for collecting sensor data (e.g., soil moisture), controlling actuators (e.g., water pump for irrigation), and maintaining connectivity with Google Firebase Cloud. Finally, a mobile application was developed to integrate the AI and IoT system capabilities, hence providing users with a reliable platform for smart plant disease detection and environment management. Each system component was each tested individually, before being incorporated into the mobile application and tested in real-world scenarios. The presented AIoT-based solution has the potential to enhance crop productivity within small-scale farms while promoting sustainable farming practices and efficient resource management. Full article
(This article belongs to the Special Issue Precision Agriculture: Sensor-Based Systems and IoT-Enabled Machinery)
Show Figures

Figure 1

25 pages, 12071 KB  
Article
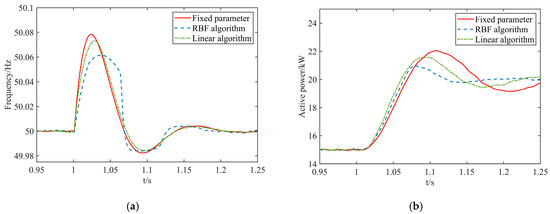
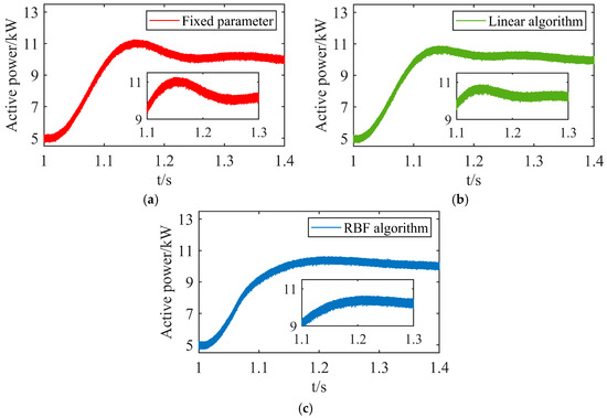
Self-Adaptive Virtual Synchronous Generator Control for Photovoltaic Hybrid Energy Storage Systems Based on Radial Basis Function Neural Network
by Mu Li and Shouyuan Wu
Symmetry 2026, 18(1), 70; https://doi.org/10.3390/sym18010070 - 31 Dec 2025
Viewed by 191
Abstract
Renewable energy’s growing penetration erodes traditional power systems’ inherent dynamic symmetry—balanced inertia, damping, and frequency response. This paper proposes a self-adaptive virtual synchronous generator (VSG) control strategy for a photovoltaic hybrid energy storage system (PV-HESS) based on a radial basis function (RBF) neural [...] Read more.
Renewable energy’s growing penetration erodes traditional power systems’ inherent dynamic symmetry—balanced inertia, damping, and frequency response. This paper proposes a self-adaptive virtual synchronous generator (VSG) control strategy for a photovoltaic hybrid energy storage system (PV-HESS) based on a radial basis function (RBF) neural network. The strategy establishes a dynamic adjustment framework for inertia and damping parameters via online learning, demonstrating enhanced system stability and robustness compared to conventional VSG methods. In the structural design, the DC-side energy storage system integrates a passive filter to decouple high- and low-frequency power components, with the supercapacitor attenuating high-frequency power fluctuations and the battery stabilizing low-frequency power variations. A small-signal model of the VSG active power loop is developed, through which the parameter ranges for rotational inertia (J) and damping coefficient (D) are determined by comprehensively considering the active loop cutoff frequency, grid connection standards, stability margin, and frequency regulation time. Building on this analysis, an adaptive parameter control strategy based on an RBF neural network is proposed. Case studies show that under various conditions, the proposed RBF strategy significantly outperforms conventional methods, enhancing key performance metrics in stability and dynamic response by 16.98% to 70.37%. Full article
(This article belongs to the Special Issue New Power System and Symmetry)
Show Figures

Figure 1

26 pages, 7180 KB  
Article
Niche Differentiation and Predicted Functions of Microbiomes in a Tri-Trophic Willow–Gall (Euura viminalis)–Parasitoid Wasp System
by Yuhao Nie, Gaopeng Yu and Hongying Hu
Insects 2026, 17(1), 43; https://doi.org/10.3390/insects17010043 - 29 Dec 2025
Viewed by 318
Abstract
Chalcidoids (Hymenoptera: Chalcidoidea), the most important natural enemies of parasitoids, serve as a pivotal factor in the regulation and management of pest populations. Microbiotas mediate interactions among plants, herbivores, and natural enemies and shape host immunity, parasitoid development, and gall formation; however, the [...] Read more.
Chalcidoids (Hymenoptera: Chalcidoidea), the most important natural enemies of parasitoids, serve as a pivotal factor in the regulation and management of pest populations. Microbiotas mediate interactions among plants, herbivores, and natural enemies and shape host immunity, parasitoid development, and gall formation; however, the niche-specific diversity and functions of tritrophic parasitoid–host–gall systems remain unclear. Focusing on leaf galls induced on twisted willow (Salix matsudana f. tortuosa) by the willow-galling sawfly Euura viminalis and on two chalcidoids, Eurytoma aethiops and Aprostocetus sp., we profiled bacterial and fungal microbiomes across plant surfaces, gall lumen, host larval tissues, and parasitoids using HTAS. Fungal diversity peaked on parasitoids but was depleted in the gall lumen and host tissues; bacterial richness showed the opposite trend, peaking in the gall lumen and decreasing on parasitoids. In networks contrasted by kingdom, fungi showed positive interface-hub connectivity (Cladosporium, Alternaria), whereas bacteria showed negative hub-mediated associations (Pseudomonas, Acinetobacter), indicating habitat-specific replacements: exposed niches favored transport, two-component, secretion–motility and energy functions, whereas the gall lumen reduced transport/motility but selectively retained N/S metabolism; and in host tissues, information processing and nitrogen respiration were highlighted. These results inform microbiome-guided parasitoid biocontrol. Full article
(This article belongs to the Topic Diversity of Insect-Associated Microorganisms)
Show Figures

Figure 1

30 pages, 1460 KB  
Review
Neuron–Glioma Synapses in Tumor Progression
by Cristina Cueto-Ureña, María Jesús Ramírez-Expósito and José Manuel Martínez-Martos
Biomedicines 2026, 14(1), 72; https://doi.org/10.3390/biomedicines14010072 - 29 Dec 2025
Viewed by 511
Abstract
Gliomas are the most common malignant primary brain tumors in adults. The treatment of high-grade gliomas is very limited due to their diffuse infiltration, high plasticity, and resistance to conventional therapies. Although they were long considered passive massive lesions, they are now regarded [...] Read more.
Gliomas are the most common malignant primary brain tumors in adults. The treatment of high-grade gliomas is very limited due to their diffuse infiltration, high plasticity, and resistance to conventional therapies. Although they were long considered passive massive lesions, they are now regarded as functionally integrated components of neural circuits, as they form authentic electrochemical synapses with neurons. This allows them to mimic neuronal activity to drive tumor growth and invasion. Ultrastructural studies show presynaptic vesicles in neurons and postsynaptic densities in glioma cell membranes, while electrophysiological recordings detect postsynaptic currents in tumor cells. Tumor microtubules (TMs), dynamic cytoplasmic protrusions enriched in AMPA receptors, are the structures responsible for glioma–glioma and glioma–neuron connectivity, also contributing to treatment resistance and tumor network integration. In these connections, neurons release glutamate that mainly activates their AMPA receptors in glioma cells, while gliomas release excess glutamate, causing excitotoxicity, altering the local excitatory-inhibitory balance, and promoting a hyperexcitable and pro-tumorigenic microenvironment. In addition, certain gliomas, such as diffuse midline gliomas, have altered chloride homeostasis, which makes GABAergic signaling depolarizing and growth promoting. Synaptogenic factors, such as neuroligin-3 and BDNF, further enhance glioma proliferation and synapse formation. These synaptic and paracrine interactions contribute to cognitive impairment, epileptogenesis, and resistance to surgical and pharmacological interventions. High functional connectivity within gliomas correlates with shorter patient survival. Therapies such as AMPA receptor antagonists (perampanel), glutamate release modulators (riluzole or sulfasalazine), and chloride cotransporter inhibitors (NKCC1 blockers) aim to improve outcomes for patients. Full article
(This article belongs to the Section Molecular and Translational Medicine)
Show Figures

Figure 1

17 pages, 1531 KB  
Article
Fine-Grained Segmentation Method of Ground-Based Cloud Images Based on Improved Transformer
by Lihua Zhang, Dawei Shi, Pengfei Li, Buwei Liu, Tongmeng Sun, Bo Jiao, Chunze Wang, Rongda Zhang and Chaojun Shi
Electronics 2026, 15(1), 156; https://doi.org/10.3390/electronics15010156 - 29 Dec 2025
Viewed by 123
Abstract
Solar irradiance is one of the main factors affecting the output of photovoltaic power stations. The cloud distribution above the photovoltaic power station can determine the strength of the absorbed solar irradiance. Cloud estimation is another important factor affecting the output of photovoltaic [...] Read more.
Solar irradiance is one of the main factors affecting the output of photovoltaic power stations. The cloud distribution above the photovoltaic power station can determine the strength of the absorbed solar irradiance. Cloud estimation is another important factor affecting the output of photovoltaic power stations. Ground-based cloud automation observation is an important means to achieve cloud estimation and cloud distribution. Ground-based cloud image segmentation is an important component of ground-based cloud image automation observation. Most of the previous ground-based cloud image segmentation methods rely on convolutional neural networks (CNNs) and lack modeling of long-distance dependencies. In view of the rich fine-grained attributes in ground-based cloud images, this paper proposes a new Transformer architecture for ground-based cloud image fine-grained segmentation based on deep learning technology. The model consists of an encoder–decoder. In order to further mine the fine-grained features of the image, the BiFormer Block is used to replace the original Transformer; in order to reduce the model parameters, the MLP is used to replace the original bottleneck layer; and for the local features of the ground-based cloud, a multi-scale dual-attention (MSDA) block is used to integrate in the jump connection, so that the model can further extract local features and global features. The model is analyzed from both quantitative and qualitative aspects. Our model achieves the best segmentation accuracy, with mIoU reaching 65.18%. The ablation experiment results prove the contribution of key components to segmentation accuracy. Full article
(This article belongs to the Special Issue Applications of Artificial Intelligence in Electric Power Systems)
Show Figures

Figure 1

Back to TopTop