Sign in to use this feature.

Years

Between: -

Subjects

remove_circle_outline
remove_circle_outline
remove_circle_outline
remove_circle_outline
remove_circle_outline
remove_circle_outline
remove_circle_outline
remove_circle_outline
remove_circle_outline

Journals

remove_circle_outline
remove_circle_outline
remove_circle_outline
remove_circle_outline

Article Types

Countries / Regions

remove_circle_outline
remove_circle_outline
remove_circle_outline

Search Results (476)

Search Parameters:
Keywords = communication optimization for swarm

Order results
Result details
Results per page
Select all
Export citation of selected articles as:
26 pages, 3978 KB  
Article
Joint Clustering and Power Optimization for the SPMA Protocol in UAV Swarm Communication in Frequency-Constrained Scenarios
by Yu Wu, Changheun Oh, Hongshan Nie and Byung-Seo Kim
Sensors 2026, 26(9), 2760; https://doi.org/10.3390/s26092760 - 29 Apr 2026
Abstract
Unmanned aerial vehicle (UAV) swarms face significant performance degradation when operating on a single-frequency channel, as the Statistical Priority-based Multiple Access (SPMA) protocol suffers from intensified contention conflicts due to scarce frequency resources. To address this issue, this paper proposes a joint clustering [...] Read more.
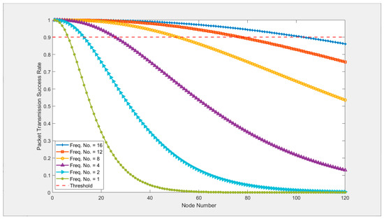
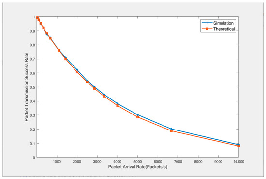
Unmanned aerial vehicle (UAV) swarms face significant performance degradation when operating on a single-frequency channel, as the Statistical Priority-based Multiple Access (SPMA) protocol suffers from intensified contention conflicts due to scarce frequency resources. To address this issue, this paper proposes a joint clustering and power optimization method for the SPMA protocol in frequency-constrained scenarios. First, a utility function centered on the end-to-end transmission success rate is constructed, and the optimal clustering scheme selection is formulated as a constrained combinatorial optimization problem. Second, a three-stage heuristic algorithm is designed; all iterations are executed virtually at network initialization. K-means is used to perform initial clustering and determine the minimum power required for intra-cluster services, GPSR is used to establish multi-hop routes for inter-cluster services, and the ant colony algorithm refines the transmission power of forwarding nodes, achieving joint optimization of cluster structure and power configuration. Simulation results show that, compared with the standalone SPMA protocol and the typical clustering algorithm ICW, the proposed algorithm reduces transmission power by 90.4% relative to SPMA (with slightly higher power than ICW) and achieves a comprehensive improvement over both benchmarks. Specifically, the success rate is improved by 63.5% compared with SPMA and 162.3% compared with ICW under high traffic loads, thus achieving a well-balanced compromise between power consumption and transmission reliability. This verifies the feasibility and effectiveness of the proposed optimization method in frequency-constrained scenarios. Full article
(This article belongs to the Section Communications)
Show Figures

Figure 1

20 pages, 3472 KB  
Article
All-Chalcogenide High-NA Broadband Achromatic Metalens for Long-Wavelength Infrared Regime
by Minsi Lin, Zhenqi Huang, Yue Shen, Haobin Xiao, Yingying Fu, Mingjie Zhang, Yuanzhi Chen, Yi Zhou, Siqi Zhu and Zhenqiang Chen
Photonics 2026, 13(5), 433; https://doi.org/10.3390/photonics13050433 - 28 Apr 2026
Abstract
The long-wave infrared band, which at room temperature covers the infrared radiation of humans and objects, has significant applications across various fields including wireless communication, national defense, military, biomedical, and advanced driver assistance systems. Metalens provides a pathway to lightweight, compact, and integrated [...] Read more.
The long-wave infrared band, which at room temperature covers the infrared radiation of humans and objects, has significant applications across various fields including wireless communication, national defense, military, biomedical, and advanced driver assistance systems. Metalens provides a pathway to lightweight, compact, and integrated solutions for infrared imaging and sensing systems, marking an inevitable trend in future development. This study presents a design for a high numerical aperture of 0.89 in a polarization-insensitive all-chalcogenide metalens operating at 10 µm, utilizing the commercially available chalcogenide glass material As2Se3 via a transmission phase approach. Building upon this, we have achieved, for the first time, a high numerical aperture of 0.84 for an all-chalcogenide broadband LWIR achromatic metalens operating in the 9.5–10.5 µm range, with significantly improved focusing performance through the application of particle swarm optimization algorithms. The superior performance of the all-chalcogenide LWIR metalens, combined with the advantages of chalcogenide glass over traditional LWIR materials such as Si or Ge—namely, lower cost, reduced optical loss, and a smaller thermo-optic coefficient—suggests it has significant potential for broader applications. Full article
Show Figures

Figure 1

14 pages, 3078 KB  
Article
Heterogeneous-Tolerant Ripple Suppression for Parallel PV Distributed Converters: A Communication-Free Randomized Phase Shifting Method Based on Enhanced PSO
by Qing Fu, Yuan Jing, Benfei Wang and Muhammad Amjad
Electronics 2026, 15(9), 1815; https://doi.org/10.3390/electronics15091815 - 24 Apr 2026
Viewed by 155
Abstract
Conventional fixed phase-shift strategies for parallel PV converters fail to minimize output ripple under heterogeneous input conditions, while communication-based synchronous methods incur high costs and reliability risks. Furthermore, standard global optimization algorithms like conventional Particle Swarm Optimization (PSO) suffer from slow convergence, hindering [...] Read more.
Conventional fixed phase-shift strategies for parallel PV converters fail to minimize output ripple under heterogeneous input conditions, while communication-based synchronous methods incur high costs and reliability risks. Furthermore, standard global optimization algorithms like conventional Particle Swarm Optimization (PSO) suffer from slow convergence, hindering real-time application. To address these limitations, this paper proposes a communication-free distributed ripple suppression method based on an enhanced PSO with randomized phase shifting. Unlike traditional approaches, our method enables autonomous convergence without inter-unit communication. Crucially, a randomized pre-scanning mechanism narrows the search space, accelerating convergence significantly. Simulation results demonstrate that the proposed method reaches a steady state in merely 5 ms, which is 50% faster than conventional PSO (~10 ms) and eliminates communication latency. Under severe heterogeneous conditions, the technique reduces output voltage ripple to 0.66 V (a 53% reduction) compared to the unoptimized 1.21 V, vastly outperforming fixed interleaving strategies that show negligible improvement. The approach also ensures robust stability during load steps and plug-and-play operations, offering a superior low-cost and high-speed solution for distributed PV systems. Full article
(This article belongs to the Special Issue AI Applications for Smart Grid: 2nd Edition)
Show Figures

Figure 1

21 pages, 1398 KB  
Article
Co-Design Method for Energy Management Systems in Vehicle–Grid-Integrated Microgrids From HIL Simulation to Embedded Deployment
by Yan Chen, Takahiro Kawaguchi and Seiji Hashimoto
Electronics 2026, 15(9), 1786; https://doi.org/10.3390/electronics15091786 - 22 Apr 2026
Viewed by 172
Abstract
With the widespread adoption of electric vehicles (EVs), the deep integration of transportation and power grids has emerged as a significant trend. EV charging stations, acting as dynamic loads, present challenges to real-time power balance and economic dispatch in microgrids, while EVs serving [...] Read more.
With the widespread adoption of electric vehicles (EVs), the deep integration of transportation and power grids has emerged as a significant trend. EV charging stations, acting as dynamic loads, present challenges to real-time power balance and economic dispatch in microgrids, while EVs serving as mobile energy storage units offer new opportunities for system flexibility. To address these issues, this paper proposes a hardware-in-the-loop (HIL) co-design method for vehicle–grid-integrated microgrid energy management systems, covering the entire workflow from simulation to embedded deployment. This method resolves the core challenges of multi-objective optimization algorithm deployment on embedded platforms (i.e., high computational complexity, strict real-time constraints, and heterogeneous communication protocol integration) via deployability analysis, hybrid code generation, real-time task restructuring, and consistency validation. A prototype microgrid system integrating photovoltaic panels, wind turbines, diesel generators, an energy storage system, and EV charging loads was built on the RK3588 embedded platform. An improved multi-objective particle swarm optimization (MOPSO) algorithm is employed to optimize operational costs. Experimental results verify the effectiveness of the proposed co-design method. Compared with traditional rule-based control strategies, the MOPSO algorithm reduces the total daily operating cost of the VGIM system by approximately 50%. After integrating vehicle-to-grid (V2G) scheduling, the operating cost is further reduced. In addition, this method ensures the consistency of algorithm functionality and performance during the migration from HIL simulation to embedded deployment, and the RK3588-based embedded system can complete a single optimization iteration within 60 s, which fully satisfies the real-time requirements of industrial applications. This work provides a feasible technical pathway for the reliable deployment of vehicle–grid-integrated microgrids in practical industrial scenarios. Full article
25 pages, 816 KB  
Article
Finite-Bit Distributed Optimization for UAV Swarms Under Communication Bandwidth Constraints
by Yingzheng Zhang and Zhenghong Jin
Symmetry 2026, 18(4), 676; https://doi.org/10.3390/sym18040676 - 18 Apr 2026
Viewed by 163
Abstract
This paper develops a unified finite-bit distributed optimization framework for UAV swarms operating over bandwidth-limited communication graphs. We consider strongly convex and smooth global objectives decomposed over local UAV cost functions and study three communication-efficient algorithmic regimes. First, we design a quantized distributed [...] Read more.
This paper develops a unified finite-bit distributed optimization framework for UAV swarms operating over bandwidth-limited communication graphs. We consider strongly convex and smooth global objectives decomposed over local UAV cost functions and study three communication-efficient algorithmic regimes. First, we design a quantized distributed gradient-tracking descent scheme with fixed finite-bit communication and show that, under bounded quantization errors, the method converges R-linearly to a quantization-dependent neighborhood of the global optimizer. Second, we introduce an adaptive quantization strategy that dynamically adjusts the number of transmitted bits according to the current convergence stage. By forcing the quantization distortion to decay proportionally to the optimization error, the proposed adaptive scheme recovers exact linear convergence to the optimal solution while substantially reducing the cumulative communication load. Third, we develop a fully distributed 1-bit communication mode in which UAVs exchange only sign information and use coordinate-wise majority voting to aggregate both descent and consensus directions. The robust linear-contraction property is proved to a small neighborhood under a sign-Polyak–Lojasiewicz condition and a probabilistic majority-correctness assumption. Full article
(This article belongs to the Section Computer)
Show Figures

Figure 1

29 pages, 4275 KB  
Article
Cooperative Trajectory Planning for Air–Ground Systems in Unstructured Mountainous Environments
by Zhen Huang, Jiping Qi and Yanfang Zheng
Symmetry 2026, 18(4), 672; https://doi.org/10.3390/sym18040672 - 17 Apr 2026
Viewed by 147
Abstract
Air–ground collaborative systems leverage the complementary strengths of unmanned aerial vehicles (UAVs) and unmanned ground vehicles (UGVs) and hold significant potential for logistics in complex, unstructured environments. However, trajectory planning in infrastructure-free mountainous regions remains challenging owing to the need for continuous tight [...] Read more.
Air–ground collaborative systems leverage the complementary strengths of unmanned aerial vehicles (UAVs) and unmanned ground vehicles (UGVs) and hold significant potential for logistics in complex, unstructured environments. However, trajectory planning in infrastructure-free mountainous regions remains challenging owing to the need for continuous tight coupling, obstacle avoidance, and reliable communication-link maintenance. To address these challenges, this study proposes a cooperative trajectory planning framework that enforces strict inter-vehicle distance constraints to maintain communication connectivity. By formulating the coordination problem in terms of relative configurations between air and ground vehicles, the proposed framework exhibits translational invariance, reflecting an underlying symmetry with respect to global position shifts. This symmetry-aware formulation reduces reliance on absolute coordinates and promotes consistent cooperative behavior under environmental variability. The trajectory planning problem is mathematically formulated as a constrained multi-objective nonlinear programming (MONLP) model that balances energy consumption and trajectory smoothness. An adaptive inertia weight particle swarm optimization (AIWPSO) algorithm is developed to efficiently solve the resulting optimization problem. Simulation results demonstrate that the proposed approach generates smooth, collision-free trajectories while maintaining stable air–ground coordination, demonstrating improved feasibility and robustness over conventional planning methods in unstructured mountainous environments. Full article
(This article belongs to the Section Computer)
Show Figures

Figure 1

33 pages, 13221 KB  
Article
pFedZKD: A One-Shot Personalized Federated Learning Framework via Evolutionary Architecture Search and Data-Free Distillation
by Jiaqi Yan, Xuan Yang, Desheng Wang, Yonggang Xu and Gang Hua
Appl. Sci. 2026, 16(8), 3878; https://doi.org/10.3390/app16083878 - 16 Apr 2026
Viewed by 217
Abstract
Personalized federated learning (PFL) faces significant challenges in resource-constrained edge environments, where strict communication budgets and severe system heterogeneity must be jointly addressed. Although one-shot federated learning reduces communication overhead, existing methods typically impose unified model architectures or rely on coarse manual selection [...] Read more.
Personalized federated learning (PFL) faces significant challenges in resource-constrained edge environments, where strict communication budgets and severe system heterogeneity must be jointly addressed. Although one-shot federated learning reduces communication overhead, existing methods typically impose unified model architectures or rely on coarse manual selection strategies, limiting their adaptability to highly heterogeneous data distributions and restricting personalized representation capability. To overcome these limitations, we propose Personalized Federated Zero-shot Knowledge Distillation (pFedZKD), a data-free one-shot federated learning framework designed for structurally heterogeneous scenarios. The framework follows a decouple-and-reconstruct collaborative paradigm. On the client side (decoupling stage), we introduce Particle Swarm Optimization-based Federated Neural Architecture Search (PSO-FedNAS), a gradient-free neural architecture search method that enables each client to autonomously discover a customized convolutional architecture aligned with its local data distribution, eliminating the need for architectural consistency across clients. On the server side (reconstruction stage), to address parameter-space incompatibility caused by structural heterogeneity, we develop an architecture-agnostic multi-teacher zero-shot knowledge distillation mechanism (Multi-ZSKD). This method synthesizes pseudo-samples in latent space to extract semantic consensus from heterogeneous client models and transfers the aggregated knowledge to a unified global student model without accessing real data. The entire collaborative process is completed within a single communication round, substantially reducing communication cost while enhancing privacy preservation. Extensive experiments on MNIST, FashionMNIST, SVHN, and CIFAR-10 under heterogeneous data settings demonstrate that pFedZKD consistently achieves superior personalization accuracy, global generalization performance, and communication efficiency compared with state-of-the-art PFL methods. Full article
(This article belongs to the Section Computing and Artificial Intelligence)
Show Figures

Figure 1

30 pages, 2640 KB  
Article
Environment-Aware Optimal Placement and Dynamic Reconfiguration of Underwater Robotic Sonar Networks Using Deep Reinforcement Learning
by Qiming Sang, Yu Tian, Jin Zhang, Yuyang Xiao, Zhiduo Tan, Jiancheng Yu and Fumin Zhang
J. Mar. Sci. Eng. 2026, 14(8), 733; https://doi.org/10.3390/jmse14080733 - 15 Apr 2026
Viewed by 222
Abstract
Underwater dynamic target detection, classification, localization, and tracking (DCLT) is central to maritime surveillance and monitoring and increasingly relies on distributed AUV-based robotic sonar networks operating in passive listening and, when required, cooperative multistatic modes. Achieving a robust performance in realistic oceans remains [...] Read more.
Underwater dynamic target detection, classification, localization, and tracking (DCLT) is central to maritime surveillance and monitoring and increasingly relies on distributed AUV-based robotic sonar networks operating in passive listening and, when required, cooperative multistatic modes. Achieving a robust performance in realistic oceans remains challenging, because sensor placement must adapt to time-varying acoustic conditions and target priors while preserving acoustic communication connectivity, and because frequent reconfiguration under dynamic currents makes classical large-scale planning computationally expensive. This paper presents an integrated deep reinforcement learning (DRL)-based framework for passive-stage sonar placement and dynamic reconfiguration in distributed AUV networks. First, we cast placement as a constructive finite-horizon Markov decision process (MDP) and train a Proximal Policy Optimization (PPO) agent to sequentially build a collision-free layout on a discretized surveillance grid. The terminal reward is formulated to jointly optimize the environment-aware detection performance, computed from BELLHOP-based transmission loss models, and global network connectivity, quantified using algebraic connectivity. Second, to enable time-critical reconfiguration, we estimate flow-aware motion costs for all AUV–destination pairs using a PPO with a Long Short-Term Memory (LSTM) trajectory policy trained for partial observability. The learned policy can be deployed onboard, allowing each AUV to refine its path online using locally sensed currents, improving robustness to ocean-model uncertainty. The resulting cost matrix is solved via an efficient zero-element assignment method to obtain the optimal one-to-one reassignment. In the reported simulation studies, the proposed Sequential PPO placement method achieves a final reward 16–21% higher than Particle Swarm Optimization (PSO) and 2–3.7% higher than the Genetic Algorithm (GA), while the proposed PPO + LSTM planner reduces average travel time by 30.44% compared with A*. The proposed closed-loop architecture supports frequent re-optimization, scalable fleet operation, and a seamless transition to communication-supported cooperative multistatic tracking after detection, enabling efficient, adaptive DCLT in dynamic marine environments. Full article
(This article belongs to the Section Ocean Engineering)
Show Figures

Figure 1

13 pages, 550 KB  
Article
A GWO-Based Optimization for mmWave Integrated Sensing and Communications in IoT Systems
by AN Soumana Hamadou, Shengzhi Du, Thomas O. Olwal and Barend J. Van Wyk
Telecom 2026, 7(2), 44; https://doi.org/10.3390/telecom7020044 - 14 Apr 2026
Viewed by 280
Abstract
The next generations of wireless networks will use more intensively shared spectrum and hardware resources. This leads to huge demand for integrated sensing and communication (ISAC) technology. Additionally, the integration of millimeter-wave (mmWave) spectrum can improve the sensing capabilities and communication rates of [...] Read more.
The next generations of wireless networks will use more intensively shared spectrum and hardware resources. This leads to huge demand for integrated sensing and communication (ISAC) technology. Additionally, the integration of millimeter-wave (mmWave) spectrum can improve the sensing capabilities and communication rates of ISAC systems. This development is of great significance to the internet of things (IoT), as it is essential for intelligent operations and decision-making to have accurate surround sensing and device communication. This study presents a novel methodology for beamforming design in mmWave ISAC base stations within IoT systems, utilizing a grey wolf optimizer (GWO) to optimize the total communication rate and effective sensing power. Also, this work is mostly focused on simulation and heuristic optimization methods. The analyses conducted indicate that the suggested GWO-based optimization achieves a sum rate of up to 22.7 bit/s/Hz and a sensing power of 65.8 dBm when the base station (BS) is equipped with 8 antennas, in comparison to the results from the particle swarm optimization (PSO)-based and genetic algorithm (GA)-based schemes. Full article
Show Figures

Figure 1

33 pages, 2787 KB  
Article
Energy-Aware Adaptive Communication Topology with Edge-AI Navigation for UAV Swarms in GNSS-Denied Environments
by Alizhan Tulembayev, Alexandr Dolya, Ainur Kuttybayeva, Timur Jussupbekov and Kalmukhamed Tazhen
Drones 2026, 10(4), 273; https://doi.org/10.3390/drones10040273 - 9 Apr 2026
Viewed by 377
Abstract
Energy-efficient and resilient decentralized unmanned aerial vehicles (UAV) swarm operation in global navigation satellite system (GNSS) denied environments remains challenging because propulsion demand, communication load, and onboard inference are tightly coupled at the mission level. Although prior studies have examined some of these [...] Read more.
Energy-efficient and resilient decentralized unmanned aerial vehicles (UAV) swarm operation in global navigation satellite system (GNSS) denied environments remains challenging because propulsion demand, communication load, and onboard inference are tightly coupled at the mission level. Although prior studies have examined some of these components separately, their joint evaluation within adaptive decentralized swarms remains limited under degraded navigation conditions. This study proposes an energy-aware adaptive communication-topology framework integrated with lightweight edge artificial intelligence (AI)-assisted navigation for decentralized UAV swarms operating without reliable GNSS support. The approach combines a unified mission-level energy-accounting structure for propulsion, communication, and onboard inference, a residual-energy-aware topology adaptation mechanism for preserving swarm connectivity, and a convolutional neural network-long short-term memory (CNN–LSTM) based edge-AI navigation module for improving localization robustness. The framework was evaluated in 1200 s Robot Operating System 2 (ROS2)–Gazebo–PX4 simulation scenarios against fixed topology and extended Kalman filter (EKF)-based baselines. Under the adopted simulation assumptions, the proposed configuration achieved a 22.7% reduction in total energy consumption, with the largest decrease observed in the communication-energy component, while preserving positive algebraic connectivity across all evaluated runs. The edge-AI module yielded a 4.8% root mean square error (RMSE) reduction relative to the EKF baseline, indicating a modest but meaningful improvement in localization performance. These results support the feasibility of integrated energy-aware swarm coordination in GNSS-denied environments; however, they should be interpreted as simulation-based evidence under the adopted modeling assumptions, and further high-fidelity propagation modeling, broader learning validation, and hardware-in-the-loop studies remain necessary. Full article
(This article belongs to the Section Artificial Intelligence in Drones (AID))
Show Figures

Figure 1

27 pages, 1577 KB  
Article
An Intelligent Fuzzy Protocol with Automated Optimization for Energy-Efficient Electric Vehicle Communication in Vehicular Ad Hoc Network-Based Smart Transportation Systems
by Ghassan Samara, Ibrahim Obeidat, Mahmoud Odeh and Raed Alazaidah
World Electr. Veh. J. 2026, 17(4), 191; https://doi.org/10.3390/wevj17040191 - 4 Apr 2026
Viewed by 283
Abstract
Vehicular ad hoc networks (VANETs) operating in dense urban environments are characterized by highly dynamic topology, fluctuating traffic conditions, and stringent latency requirements, which significantly complicate reliable data routing and packet forwarding. To address these challenges, this paper proposes an Intelligent Fuzzy Protocol [...] Read more.
Vehicular ad hoc networks (VANETs) operating in dense urban environments are characterized by highly dynamic topology, fluctuating traffic conditions, and stringent latency requirements, which significantly complicate reliable data routing and packet forwarding. To address these challenges, this paper proposes an Intelligent Fuzzy Protocol (IFP) for adaptive vehicle-to-vehicle data routing under uncertain and rapidly changing traffic scenarios. The proposed protocol integrates fuzzy logic decision making with the real-time vehicular context, including vehicle velocity, traffic congestion level, distance to road junctions, and data urgency, to dynamically select appropriate forwarding actions. IFP employs a structured fuzzy inference engine comprising fuzzification, rule evaluation, inference aggregation, and centroid-based defuzzification to determine routing and forwarding decisions in a decentralized manner. To further enhance performance robustness, the fuzzy membership parameters and rule weights are optimized using metaheuristic techniques, namely, genetic algorithms (GAs) and particle swarm optimization (PSO). Extensive simulations are conducted using NS-3 coupled with SUMO under realistic urban mobility scenarios and varying network densities. The simulation results demonstrate that IFP significantly outperforms conventional routing approaches in terms of end-to-end delay, packet delivery ratio, and routing overhead. In particular, the optimized IFP variants achieve notable reductions in latency and improvements in delivery reliability under high-congestion conditions, while maintaining low computational and communication overhead. These findings confirm that IFP offers an interpretable, scalable, and energy-aware routing solution suitable for large-scale intelligent transportation systems and next-generation vehicular networks. Full article
(This article belongs to the Special Issue Power and Energy Systems for E-Mobility, 2nd Edition)
Show Figures

Figure 1

29 pages, 6824 KB  
Article
Distributed Co-Simulation of Reinforcement Learning Optimized Fuzzy PID Control of a 10-MW Wind Turbine Yaw System
by Yiyan Huang, Linli Li, Yaping Zou, Kai Luan, Zesen Gao and Qifei Jian
Energies 2026, 19(7), 1726; https://doi.org/10.3390/en19071726 - 1 Apr 2026
Viewed by 459
Abstract
To address the limited adaptability and tuning efficiency of conventional yaw controllers under turbulent wind conditions, this paper investigates a reinforcement learning (RL)–optimized fuzzy PID control scheme for offshore wind turbine yaw systems. A distributed real-time co-simulation framework is established, in which a [...] Read more.
To address the limited adaptability and tuning efficiency of conventional yaw controllers under turbulent wind conditions, this paper investigates a reinforcement learning (RL)–optimized fuzzy PID control scheme for offshore wind turbine yaw systems. A distributed real-time co-simulation framework is established, in which a high-fidelity OpenFAST wind turbine model is coupled with a Simulink-based controller via networked data exchange to reflect realistic sampling and communication constraints. The proposed controller is examined under IEC 61400-1–compliant normal and extreme turbulence wind scenarios and is compared with conventional PID, fuzzy PID, particle swarm optimization (PSO)–based fuzzy PID, gray wolf optimizer (GWO)–based fuzzy PID, and model predictive control (MPC) schemes. Simulation results indicate that the proposed method reduces yaw rate root mean square (RMS) by up to 40% and total yaw energy consumption by up to 41%, while maintaining yaw alignment accuracy under both operating conditions. Full article
(This article belongs to the Section A3: Wind, Wave and Tidal Energy)
Show Figures

Figure 1

24 pages, 3613 KB  
Article
Energy-Aware 5G Device-to-Device Optimization Using Hybrid Grey Wolf and Evolutionary Schemes
by Abdallah El Mohamad, Mehmet Toycan and Hüseyin Öztoprak
Electronics 2026, 15(7), 1448; https://doi.org/10.3390/electronics15071448 - 30 Mar 2026
Viewed by 500
Abstract
The device-to-device (D2D) communication that underlays cellular networks is a key enabler in the process of improving the utilization spectrum and energy efficiency (EE) of 5G systems. Most EE optimization studies have focused solely on a single-band configuration or single cell, while practical [...] Read more.
The device-to-device (D2D) communication that underlays cellular networks is a key enabler in the process of improving the utilization spectrum and energy efficiency (EE) of 5G systems. Most EE optimization studies have focused solely on a single-band configuration or single cell, while practical deployments inherently involve multi-cell and multi-band interference coupling that significantly affects the power allocation and system-level EE performance. In this study, we investigated EE maximization for multi-band, multi-cell D2D underlaying networks and propose two hybrid metaheuristic optimization algorithms: the evolutionary algorithm enhanced-particle grey wolf optimizer (EA-PGWO) and the memetic particle-guided grey wolf optimizer with derivative local learning (MPGWO-DLL). For fairness and a more comprehensive evaluation, three baseline algorithms—the derivative algorithm (DA), particle swarm optimization (PSO), and the genetic algorithm (GA)—were benchmarked and compared against our proposed algorithms. The proposed hybrid algorithms use population-based global exploration with local refinement to increase and stabilize the optimization under non-convex and interference-limited conditions. From the obtained simulation results, we obtained a clear outperformance from both the EA-PGWO and MPGWO-DLL in terms of EE against all three baseline algorithms and across varying D2D and cellular user densities. Among all the evaluated methods, MPGWO-DLL achieved the highest EE gains due to its memetic local learning stage combined with its derivative-guided refinement. Full article
Show Figures

Figure 1

24 pages, 2457 KB  
Article
An Enhanced ABC Algorithm with Hybrid Initialization and Stagnation-Guided Search for Parameter-Efficient Text Summarization
by Yun Liu, Yingjing Yao, Wenyu Pei, Mengqi Liu and Hao Gao
Mathematics 2026, 14(7), 1120; https://doi.org/10.3390/math14071120 - 27 Mar 2026
Viewed by 331
Abstract
The digital transformation of oil and gas pipeline networks has generated substantial volumes of unstructured maintenance documentation from communication systems, creating an urgent need for automated summarization to improve operational efficiency. However, domain-specific text summarization for pipeline communication maintenance remains challenging due to [...] Read more.
The digital transformation of oil and gas pipeline networks has generated substantial volumes of unstructured maintenance documentation from communication systems, creating an urgent need for automated summarization to improve operational efficiency. However, domain-specific text summarization for pipeline communication maintenance remains challenging due to scarce labeled data and the high computational cost of fine-tuning large pretrained models. Parameter-efficient fine-tuning alleviates this issue, but its effectiveness strongly depends on appropriate hyperparameter selection. This paper proposes a unified framework that combines weight-decomposed low-rank adaptation with an enhanced Artificial Bee Colony algorithm for automated hyperparameter optimization. The enhanced algorithm addresses two specific limitations of the standard Artificial Bee Colony algorithm: uninformed random initialization that ignores promising regions, and premature abandonment of stagnated solutions that discards partially useful search directions. These two components represent principled design choices, each targeting a distinct bottleneck in applying swarm intelligence search to high-dimensional mixed-type hyperparameter spaces. The method introduces a hybrid initialization strategy to exploit prior knowledge and a stagnation-guided local search mechanism to refine stagnated solutions instead of discarding them, achieving a better balance between exploration and exploitation. Experimental results on a public Chinese summarization benchmark and an industrial oil and gas pipeline communication maintenance corpus show that the proposed approach consistently outperforms full fine-tuning, manually tuned parameter-efficient methods, and several evolutionary optimization baselines in terms of ROUGE metrics. The automated search introduces modest additional computational overhead compared to manual tuning while eliminating expert-dependent hyperparameter configuration and achieving consistent performance gains across both datasets. Overall, the proposed framework provides an efficient and robust solution for adapting large language models to specialized summarization tasks in the context of pipeline communication system maintenance. Full article
Show Figures

Figure 1

16 pages, 1088 KB  
Article
Power Allocation for Sum-Rate Maximization in VLC-NOMA Systems with Improved Particle Swarm Optimization
by Heng Zhang, Jiahao Li, Jie Tang, Haoran Hu, Yuexiang Cao, Ya Wang, Ying Liu, Tang Tang, Qian Li and Lei Shi
Electronics 2026, 15(7), 1378; https://doi.org/10.3390/electronics15071378 - 26 Mar 2026
Viewed by 312
Abstract
Non-orthogonal multiple access (NOMA) has been recognized as a promising technique to alleviate the bandwidth limitation in visible light communication (VLC) downlinks. Nevertheless, the corresponding power allocation problem is typically non-convex and computationally challenging under practical system constraints, which limits the effectiveness of [...] Read more.
Non-orthogonal multiple access (NOMA) has been recognized as a promising technique to alleviate the bandwidth limitation in visible light communication (VLC) downlinks. Nevertheless, the corresponding power allocation problem is typically non-convex and computationally challenging under practical system constraints, which limits the effectiveness of conventional optimization approaches. To address this issue, this paper proposes an improved particle swarm optimization (IPSO)-based strategy that aims at maximizing the system sum rate and employs adaptive mechanisms including an adaptive dynamic inertia weight, cooperative evolutionary learning factors, and enhanced elite opposition-based learning (EEOBL) to strengthen both global search capability and convergence performance. Simulation results indicate that the proposed scheme significantly improves the overall system capacity across diverse interference scenarios, while achieving accelerated convergence and enhanced robustness. Full article
Show Figures

Figure 1

Back to TopTop