Sign in to use this feature.

Years

Between: -

Subjects

remove_circle_outline
remove_circle_outline
remove_circle_outline
remove_circle_outline
remove_circle_outline
remove_circle_outline
remove_circle_outline
remove_circle_outline
remove_circle_outline

Journals

remove_circle_outline
remove_circle_outline
remove_circle_outline
remove_circle_outline
remove_circle_outline
remove_circle_outline
remove_circle_outline
remove_circle_outline
remove_circle_outline
remove_circle_outline
remove_circle_outline

Article Types

Countries / Regions

remove_circle_outline
remove_circle_outline
remove_circle_outline
remove_circle_outline
remove_circle_outline
remove_circle_outline
remove_circle_outline
remove_circle_outline
remove_circle_outline

Search Results (2,463)

Search Parameters:
Keywords = commercial crop

Order results
Result details
Results per page
Select all
Export citation of selected articles as:
28 pages, 4190 KB  
Article
Effect of Two Calcium Levels and a Chicken Manure-Based Soil Amendment on Tomato Hybrid Performance
by Carlos David Carretillo Moctezuma, Abraham Francisco Aponte Herrera, José Terrones Salgado, Edgar Pérez Arriaga, Flaviano Godínez-Jaimes, María Guzmán Martínez, José Francisco Díaz-Nájera, Ramón Reyes Carreto, José C. García-Preciado and Juan Antonio Chamú-Baranda
Crops 2026, 6(1), 11; https://doi.org/10.3390/crops6010011 - 8 Jan 2026
Abstract
Calcium (Ca) is essential for tomato (Solanum lycopersicum L.) fruit quality and for preventing physiological disorders such as blossom-end rot. However, high total soil Ca does not necessarily translate into plant-available Ca due to factors such as soil pH and limited mobility. [...] Read more.
Calcium (Ca) is essential for tomato (Solanum lycopersicum L.) fruit quality and for preventing physiological disorders such as blossom-end rot. However, high total soil Ca does not necessarily translate into plant-available Ca due to factors such as soil pH and limited mobility. This study evaluated soil Ca availability and the effect of a chicken manure-based soil amendment on the growth and yield of four tomato genotypes (Pony Express F1, Palomo F1, Toro F1, and Perseo F1) grown on a loam–clay–sand soil containing 4886 ppm Ca. In the first cycle, conducted in a shade house, two Ca application levels (0% and 25% of the crop’s requirement) were tested. The 0% treatment outperformed the 25% treatment regarding yield-related traits, indicating that native soil Ca met crop demand; application of 25% Ca reduced total fruit weight and fruit number by 19.7% and 5.9%, respectively, while the 0% treatment produced 40.8% more first-quality fruits. Perseo F1 (Perseo) produced the highest yield of first-quality fruits (20.61 t ha−1), exceeding Pony Express F1 (Pony express), Palomo F1 (Palomo), and Toro F1 (Toro) by 10.8%, 6.6%, and 51.4%, respectively. In a second cycle under open-field conditions, incorporation of the chicken manure amendment significantly enhanced growth and yield: treated plants reached a 0.85 m height 58 days after transplanting, and overall yield increased to 70.08 t ha−1 compared with 50.30 t ha−1 in the control (21.9% increase). These results indicate that, while native soil Ca can satisfy crop requirements under the studied conditions, soil amendment under field conditions substantially improves plant performance and commercial yield potential. Full article
Show Figures

Figure 1

25 pages, 1169 KB  
Article
Biostimulants Enhance the Growth and Nutritional Quality of Lettuce (Lactuca sativa L.)
by Metin Turan, Melek Ekinci, Esma Yigider, Murat Aydin, Melike Akca, Sanem Argin, Nazlı İlke Eken Türer and Ertan Yildirim
Horticulturae 2026, 12(1), 75; https://doi.org/10.3390/horticulturae12010075 - 8 Jan 2026
Abstract
Biostimulants have emerged as effective tools for enhancing both the productivity and quality of crops. In this study, we assessed the impact of the two commercial biostimulant products (Kiana Earth® and Kiana Climate®) on the growth, yield, and quality of [...] Read more.
Biostimulants have emerged as effective tools for enhancing both the productivity and quality of crops. In this study, we assessed the impact of the two commercial biostimulant products (Kiana Earth® and Kiana Climate®) on the growth, yield, and quality of lettuce (Lactuca sativa L.). Eight treatments were established, comprising six different biostimulant formulations, a normal control (no fertilizer applied), and a positive control (chemical fertilizer application). Biostimulant treatments significantly improved plant and stem diameters, fresh and dry biomass, and yield (p < 0.01). The best yields and morphological performance were obtained with samples receiving T6 (Kiana Climate® + 75:50:75 kg ha−1 N:P:K) and T7 (Kiana Earth® + 150:100:150 kg ha−1 N:P:K) applications, which comprised biostimulant–fertilizer combinations. Chlorophyll a, chlorophyll b, and total chlorophyll levels were significantly higher with than without biostimulant treatment, indicating that the biostimulants enhanced photosynthetic efficiency. Biochemical analyses further identified significant increases in vitamin C levels, total antioxidant capacity, total phenolic compounds, and flavonoid contents, especially with treatments T5 (Kiana Earth® + 75:50:75 kg ha−1 N:P:K)–T8 (Kiana Climate® + 150:100:150 kg ha−1 N:P:K). Nitrogen assimilation analysis showed that leaf NO3 levels were lower with the combined treatment than with chemical fertilizer alone, suggesting that the biostimulants improved nitrogen-use efficiency. Micronutrient (Fe, Zn, Cu, Mn, Na) and macronutrient (N, P, K, Ca, Mg, S) levels were significantly increased with biostimulant-enriched treatments, alongside a rise in soil organic matter. Biostimulants, especially when combined with mineral fertilization, significantly enhanced lettuce growth, yield, and nutritional quality, while also promoting soil fertility. These findings highlight the potential of biostimulants as valuable tools in conventional, regenerative, and organic agricultural practices, offering a sustainable approach to enhancing agricultural productivity while ensuring long-term soil fertility. Full article
(This article belongs to the Section Vegetable Production Systems)
Show Figures

Figure 1

25 pages, 3776 KB  
Article
Multi-Season Genome-Wide Association Study Reveals Loci and Candidate Genes for Fruit Quality and Maturity Traits in Peach
by María Osorio, Arnau Fiol, Paulina Ballesta, Sebastián Ahumada, Pilar Marambio, Pamela Martínez-Carrasco, Rodrigo Infante and Igor Pacheco
Plants 2026, 15(2), 189; https://doi.org/10.3390/plants15020189 - 7 Jan 2026
Abstract
Peaches are a fruit crop with global importance due to their economic value. Fruit quality (e.g., weight, soluble solids content (SSC)) and phenology traits (e.g., maturity date) are essential for generating novel varieties. Nevertheless, modern germplasm’s narrow genetic diversity hampers breeding efforts to [...] Read more.
Peaches are a fruit crop with global importance due to their economic value. Fruit quality (e.g., weight, soluble solids content (SSC)) and phenology traits (e.g., maturity date) are essential for generating novel varieties. Nevertheless, modern germplasm’s narrow genetic diversity hampers breeding efforts to enhance these traits. To identify genetic markers helpful for marker-assisted breeding, this work leveraged a diverse panel of 140 peach commercial cultivars and advanced breeding lines phenotyped across three harvest seasons for the maturity date (MD), chlorophyll absorbance (IAD), SSC, and fruit weight (FW). Genotypic data were generated via ddRADseq, identifying 5861 SNPs. A rapid linkage disequilibrium decay (critical r2 = 0.308 at 950 kb) was determined, and a population structure analysis revealed two admixed genetic clusters, with phenotypic distributions influenced by seasonal environmental factors. A total of 599 marker–trait associations were detected by using single and multi-year analysis, and for each trait the surrounding genomic regions explored to identify potential candidate genes annotated with functions related to the trait under study, and expressed in peach fruits. This study highlights multiple loci potentially responsible for phenotypic variations in plant phenology and fruit quality, and provides molecular markers to assist peach breeding for fruit quality. Full article
(This article belongs to the Special Issue Advances in Rosaceae Fruit Genomics and Breeding)
Show Figures

Figure 1

26 pages, 3274 KB  
Article
Nomenclatural Remarks and Typifications in the Genus Olea L. (Oleaceae)
by P. Pablo Ferrer-Gallego, Jacek Wajer and Raúl Ferrer-Gallego
Plants 2026, 15(2), 185; https://doi.org/10.3390/plants15020185 - 7 Jan 2026
Abstract
The typification of five names in the genus Olea (Oleaceae), viz. O. europaea subsp. cerasiformis, O. europaea var. maderensis, O. cuspidata, O. laperrinei, and O. sylvestris is discussed. These taxa are currently classified within O. europaea at the infraspecific [...] Read more.
The typification of five names in the genus Olea (Oleaceae), viz. O. europaea subsp. cerasiformis, O. europaea var. maderensis, O. cuspidata, O. laperrinei, and O. sylvestris is discussed. These taxa are currently classified within O. europaea at the infraspecific rank. The designation of the types is based on the consultation of original material conserved in several herbaria and the literature cited in the respective protologues. The name O. europaea subsp. cerasiformis is lectotypified from a specimen preserved at FI. The name O. europaea var. maderensis (also named O. europaea subsp. maderensis or O. maderensis, and currently treated as a synonym of O. europaea subsp. cerasiformis) is lectotypified from a specimen collected by Lowe in Madeira and preserved at BM. The name O. cuspidata (currently O. europaea subsp. cuspidata) is lectotypifed from a specimen collected in India and preserved at K. The name O. laperrinei (currently O. europaea subsp. laperrinei) is lectotypifed from a specimen preserved at MPU and collected in the Sahara Desert (Ahaggar Mountains, Algeria). Finally, the name O. sylvestris (currently O. europaea var. sylvestris), wild olive, also named oleaster or acebuche (Spanish language), a wild relative of the olive tree, is lectotypified on a Miller specimen preserved at BM. Full article
(This article belongs to the Special Issue Taxonomy and Nomenclature of Euro + Mediterranean Vascular Plants)
Show Figures

Figure 1

7 pages, 820 KB  
Proceeding Paper
Potential of Open-Pollinated Varieties (OPVs) in Chilli Crop Breeding—A Review
by Israr Ali, Muhammad Azam Khan, Muhammad Tahir Akram, Rashid Mehmood Rana, Inaba Hawraa, Hina Nawaz and Feroz Ahmed Tipu
Biol. Life Sci. Forum 2025, 51(1), 11; https://doi.org/10.3390/blsf2025051011 - 6 Jan 2026
Abstract
The research for crop improvement is a continuous process that enhances plant quality, yield, and ameliorates their adaptability to changing climatic conditions. Chilli is cultivated worldwide as a vegetable, spice, or natural colour additive and is an economically and medicinally important crop. A [...] Read more.
The research for crop improvement is a continuous process that enhances plant quality, yield, and ameliorates their adaptability to changing climatic conditions. Chilli is cultivated worldwide as a vegetable, spice, or natural colour additive and is an economically and medicinally important crop. A basic requirement for crop improvement in breeding programmes is the presence of genetic diversity within the crop. Smallholder farmers of chilli usually face challenges in acquiring commercial hybrid seeds because of their high cost and the need for annual purchases. Open-pollinated varieties (OPVs) can serve as a sustainable alternative that provides broader genetic variability, allowing adaptation to local growing conditions, and enabling farmers to save seeds for successive planting season. These characteristics make OPVs economically viable and valuable genetic resources for future chilli cultivation and breeding programmes. This review highlights the potential of OPVs in promoting sustainable chilli cultivation, enhancing genetic diversity, and supporting breeding to develop resilient and economically viable cultivars. Full article
Show Figures

Figure 1

18 pages, 345 KB  
Article
Biological Properties, Mineral Composition, and Health-Promoting Potential of Tiger Nut Tubers (Cyperus esculentus L.) as a Novel and Underutilized Food Source
by Zuzana Knazicka, Tunde Jurikova, Eva Kovacikova, Katarina Fatrcova-Sramkova, Vladimira Bella, Branislav Galik, Klaudia Tomasova, Liliana Hnatova, Ivona Janco, Dominika Lenicka, Martyna Błaszczyk-Altman, Eva Ivanisova, Sona Skrovankova, Martin Prcik and Jiri Mlcek
Foods 2026, 15(2), 191; https://doi.org/10.3390/foods15020191 - 6 Jan 2026
Viewed by 78
Abstract
Tiger nut (Cyperus esculentus L.) is a relatively neglected tuber crop with notable nutritional, functional, and ecological value. The primary objective of this study was to evaluate the biological properties and selected nutritional parameters of tiger nut tubers and oil, including antioxidant [...] Read more.
Tiger nut (Cyperus esculentus L.) is a relatively neglected tuber crop with notable nutritional, functional, and ecological value. The primary objective of this study was to evaluate the biological properties and selected nutritional parameters of tiger nut tubers and oil, including antioxidant activity, total phenolic content (TPC), fatty acid (FA) profile, health-related lipid indices, and mineral composition. Methods: Natural and peeled tiger nut tubers, as well as commercially available tiger nut oil (yellow variety, Valencia, Spain), were analyzed. Antioxidant activity was measured spectrophotometrically using the DPPH method. The content of TPC was determined using the Folin–Ciocalteu assay. Fatty acid composition was analyzed by gas chromatography coupled with flame ionization detection, and these data were used to calculate the PUFA/SFA (P/S) ratio, atherogenicity (AI), thrombogenicity (TI) index, and hypocholesterolemic/hypercholesterolemic (h/H) ratio. Macro- and microelement contents were quantified using inductively coupled plasma optical emission spectrometry. Estimated daily intake (EDI), target hazard quotient (THQ), and total THQ (TTHQ) were calculated to assess potential health risks. Results: Natural tiger nut tubers exhibited substantially higher antioxidant activity and TPC compared to peeled tubers, suggesting that the peel is the primary reservoir of phenolic compounds. Strong antioxidant activity was observed in tiger nut oil (64.82 ± 2.59 mg TEAC/L). Oleic acid (C18:1cis n-9) was identified as the predominant FA across all samples, thus contributing positively to favorable health lipid indices (P/S > 0.50, low AI and TI, high h/H ratio). Potassium was the most abundant macroelement in natural and peeled tiger nut tubers. The overall trend of microelement levels in these samples was as follows: Al > Fe > Zn > Cu > Sr > Mn > Li > Ba > Se > As > Cr. All THQ and TTHQ values were below 1, indicating no appreciable health risk associated with consumption. Conclusions: These findings support the use of tiger nuts as a functionally valuable ingredient in health-oriented food products. Full article
16 pages, 1688 KB  
Article
Effect of Trichoderma atroviride Application on Tea Yield and Its Impact on the Soil Microbiome in a New Zealand Tea Plantation
by Prashansani M. D. Silva, Travis R. Glare, John Graham Hampton, Diwakar R. W. Kandula and Josefina Narciso
Appl. Microbiol. 2026, 6(1), 9; https://doi.org/10.3390/applmicrobiol6010009 - 4 Jan 2026
Viewed by 120
Abstract
New Zealand’s only tea (Camellia sinensis) plantation supplies a niche market for organically produced high value tea but faces challenges from climatic conditions and the decision to use only organic production methods. Fungi from the genus Trichoderma have been commercialised in [...] Read more.
New Zealand’s only tea (Camellia sinensis) plantation supplies a niche market for organically produced high value tea but faces challenges from climatic conditions and the decision to use only organic production methods. Fungi from the genus Trichoderma have been commercialised in New Zealand and elsewhere as disease-suppressing and plant growth-promoting agents. However, the potential benefits of using Trichoderma as a microbial biostimulant for tea cultivation have not been investigated in New Zealand. The ability of T. atroviride application to stimulate tea plant growth at a tea plantation was investigated over one year of production. The study involved foliar application of the biostimulant either once, twice or three times, one month apart, using 12 g of a commercially formulated spore mixture of four strains of T. atroviride per 5 m2 of experimental plots. Treatment with T. atroviride significantly increased tea yield by between 17% and 28% compared to the control over the harvesting season, but there were no statistically significant yield differences among the number of applications. The foliar applied T. atroviride was not detected in the soil or root samples six months after application, in either a soil metabarcoding analysis or on re-isolation media. This was likely due to the dense tea foliage and ground cover under the tea plants which impeded its movement to the soil. While the specific nature of T. atroviride interaction with perennial crops like tea is not known, in this trial it appeared to have remained on the phyllosphere and provided biostimulation without reaching the soil. Full article
Show Figures

Figure 1

21 pages, 6044 KB  
Article
Estimation of Cotton LAI and Yield Through Assimilation of the DSSAT Model and Unmanned Aerial System Images
by Hui Peng, Esirige, Haibin Gu, Ruhan Gao, Yueyang Zhou, Xinna Men and Ze Wang
Drones 2026, 10(1), 27; https://doi.org/10.3390/drones10010027 - 3 Jan 2026
Viewed by 166
Abstract
Cotton (Gossypium hirsutum L.) is a primary global commercial crop, and accurate monitoring of its growth and yield prediction are essential for optimizing water management. This study integrates leaf area index (LAI) data derived from unmanned aerial system (UAS) imagery into the [...] Read more.
Cotton (Gossypium hirsutum L.) is a primary global commercial crop, and accurate monitoring of its growth and yield prediction are essential for optimizing water management. This study integrates leaf area index (LAI) data derived from unmanned aerial system (UAS) imagery into the Decision Support System for Agrotechnology Transfer (DSSAT) model to improve cotton growth simulation and yield estimation. The results show that the normalized difference vegetation index (NDVI) exhibited higher estimation accuracy for the cotton LAI during the squaring stage (R2 = 0.56, p < 0.05), whereas the modified triangle vegetation index (MTVI) and enhanced vegetation index (EVI) demonstrated higher and more stable accuracy in the flowering and boll-setting stages (R2 = 0.64 and R2 = 0.76, p < 0.05). After assimilating LAI data, the optimized DSSAT model accurately represented canopy development and yield variation under different irrigation levels. Compared with the DSSAT, the assimilated model reduced yield prediction error from 40–52% to 3.6–6.3% under 30%, 60%, and 90% irrigation. These findings demonstrate that integrating UAS-derived LAI data with the DSSAT substantially enhances model accuracy and robustness, providing an effective approach for precision irrigation and sustainable cotton management. Full article
Show Figures

Figure 1

11 pages, 622 KB  
Article
Preliminary Identification of Putative Terpene Synthase Genes in Caryocar brasiliense and Chemical Analysis of Major Components in the Fruit Exocarp
by Helena Trindade, Bruno Nevado, Raquel Linhares Bello de Araújo, Viviane Dias Medeiros Silva, Lara Louzada Aguiar, Ana Ribeiro, Julio Onesio-Ferreira Melo and Paula Batista-Santos
Life 2026, 16(1), 67; https://doi.org/10.3390/life16010067 - 1 Jan 2026
Viewed by 207
Abstract
Background: Caryocar brasiliense Camb. Caryocaraceae is a typical tree from the Brazilian Cerrado with commercial importance due to its edible fruit, known as pequi. This native plant holds significant economic value and is a key candidate for cropping systems. Rich in phytochemicals, [...] Read more.
Background: Caryocar brasiliense Camb. Caryocaraceae is a typical tree from the Brazilian Cerrado with commercial importance due to its edible fruit, known as pequi. This native plant holds significant economic value and is a key candidate for cropping systems. Rich in phytochemicals, such as phenolics, flavonoids, and terpenoids, it has shown notable health benefits. Methods: Considering the importance of terpenes and their biological properties, and based on the first draft genome of C. brasiliense, this study aimed to identify putative terpene synthase genes and classify them into the phylogenetic subfamilies previously identified across all plant lineages. The presence of terpenes was also verified in samples of the outer portion of the fruit by solid-phase microextraction gas chromatography mass-spectrometry. Results: Analysis of genome completeness showed that over 90% of genes were identified despite a highly fragmented assembly, with 71% containing complete gene sequences. Twenty-two genes were retained as putative terpene synthase genes considering their homology with the terpene synthase Hidden Markov Model (HMM) profiles in the Pfam-A database. Ten sequences with a minimum length of 298 amino acids were used for phylogenetic inference. In the resulting phylogenetic tree, C. brasiliense terpene synthase genes clustered within the different previously identified Angiosperm clades and allowed us to classify each gene into different phylogenetic subfamilies: six genes belonged to the h/d/a/b/g, three to the c, and one to the e/f. The headspace solid-phase microextraction technique, in conjunction with gas chromatography mass-spectrometry, has allowed for the identification of eleven chemical compounds, including a terpene. Conclusions: This initial identification of putative terpene synthase genes in pequi, together with the chemical analysis of the outer fruits, lays the groundwork for future studies aimed at optimizing terpene biosynthesis for both biological and commercial applications. Full article
(This article belongs to the Section Plant Science)
Show Figures

Figure 1

19 pages, 2945 KB  
Article
Deciphering the Origins of Commercial Sweetpotato Genotypes Using International Genebank Data
by Alexandre F. S. Mello, Ronald Robles, Genoveva R. M. de Simon, Giovani O. da Silva, Sonia M. N. M. Montes, Maria U. C. Nunes, Jose L. Pereira, Erich Y. T. Nakasu, Rainer Vollmer, David Ellis, Verónica Valencia-Límaco and Vânia C. R. Azevedo
Biology 2026, 15(1), 91; https://doi.org/10.3390/biology15010091 - 1 Jan 2026
Viewed by 278
Abstract
Sweetpotato genotypes, often known by regional names, are easily propagated via cuttings, which can lead to mixing and misidentification of cultivars. This complicates traceability and commercialization. Accurate characterization of common genotypes would support their formal registration and strengthen the sweetpotato value chain. Sweetpotato [...] Read more.
Sweetpotato genotypes, often known by regional names, are easily propagated via cuttings, which can lead to mixing and misidentification of cultivars. This complicates traceability and commercialization. Accurate characterization of common genotypes would support their formal registration and strengthen the sweetpotato value chain. Sweetpotato is a staple crop in Brazil, and in this study, four states, representing different geographic regions in Brazil, were selected. A total of 37 samples were collected in these states, and the samples were evaluated by SSR molecular markers and morphological traits. The samples were cleaned of virus and compared to the global sweetpotato collection held at the International Potato Center under the International Treaty on Plant Genetic Resources for Food and Agriculture. SSR markers effectively distinguished among accessions. The genotype locally known as “Canadense” matched closely both genetically and morphologically to the CIP accession ‘Blesbok’. This alignment paves the way for formalizing cuttings and root production of “Canadense”/‘Blesbok’ for commercial use. In contrast, several accessions marketed in Sergipe as “white skin sweetpotato” did not correspond to any known CIP accession, suggesting that they may be unique regional genotypes or acquired from other sources, since sweetpotato is an exotic crop in Brazil. Overall, the research identified key genotypes, supporting their official registration with Brazil’s Ministry of Agriculture, Livestock, and Supply, thereby enhancing the legal commercialization of cuttings and roots. Additionally, the clear molecular and trait-based classification will assist sweetpotato crop improvement programs in selecting appropriate parent lines for future crosses. Full article
(This article belongs to the Special Issue Molecular Biology of Plants)
Show Figures

Figure 1

21 pages, 19413 KB  
Article
Efficient Real-Time Row Detection and Navigation Using LaneATT for Greenhouse Environments
by Ricardo Navarro Gómez, Joel Milla, Paolo Alfonso Reyes Ramírez, Jesús Arturo Escobedo Cabello and Alfonso Gómez-Espinosa
Agriculture 2026, 16(1), 111; https://doi.org/10.3390/agriculture16010111 - 31 Dec 2025
Viewed by 269
Abstract
This study introduces an efficient real-time lane detection and navigation system for greenhouse environments, leveraging the LaneATT architecture. Designed for deployment on the Jetson Xavier NX edge computing platform, the system utilizes an RGB camera to enable autonomous navigation in greenhouse rows. From [...] Read more.
This study introduces an efficient real-time lane detection and navigation system for greenhouse environments, leveraging the LaneATT architecture. Designed for deployment on the Jetson Xavier NX edge computing platform, the system utilizes an RGB camera to enable autonomous navigation in greenhouse rows. From real-world agricultural environments, data were collected and annotated to train the model, achieving 90% accuracy, 91% F1 Score, and an inference speed of 48 ms per frame. The LaneATT-based vision system was trained and validated in greenhouse environments under heterogeneous illumination conditions and across multiple phenological stages of crop development. The navigation system was validated using a commercial skid-steering mobile robot operating within an experimental greenhouse environment under actual operating conditions. The proposed solution minimizes computational overhead, making it highly suitable for deployment on edge devices within resource-constrained environments. Furthermore, experimental results demonstrate robust performance, with precise lane detection and rapid response times on embedded systems. Full article
(This article belongs to the Section Artificial Intelligence and Digital Agriculture)
Show Figures

Figure 1

18 pages, 896 KB  
Article
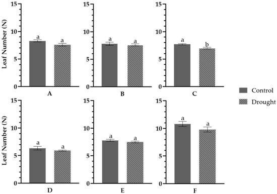
Morphological and Biochemical Attributes of Brassica cretica Populations Grown Under Drought Tolerance Conditions
by Theodora Ntanasi, Efthalia Stathi, Ioannis Karavidas, George P. Spyrou, Evangelos Giannothanasis, Maria-Eleftheria Zografaki, Panayiotis Trigas, Eleni Tani and Georgia Ntatsi
Horticulturae 2026, 12(1), 53; https://doi.org/10.3390/horticulturae12010053 - 31 Dec 2025
Viewed by 256
Abstract
Drought stress is a major constraint on crop productivity in the Mediterranean region. Brassica crops are particularly valued in this region for their adaptability, nutritional benefits, and economic importance in sustainable farming systems. However, their productivity is highly sensitive to water deficits, necessitating [...] Read more.
Drought stress is a major constraint on crop productivity in the Mediterranean region. Brassica crops are particularly valued in this region for their adaptability, nutritional benefits, and economic importance in sustainable farming systems. However, their productivity is highly sensitive to water deficits, necessitating the identification of drought-resilient genotypes. This study investigated the responses of five wild Brassica cretica populations and a commercial Brassica oleracea cultivar to a 50% reduction in irrigation, evaluating key physiological traits, leaf nutrient composition, and antioxidant activity. The experiment was conducted in the greenhouse facilities of the Laboratory of Vegetable Production, Agricultural University of Athens. The results revealed significant variation in drought tolerance among the tested populations. Specifically, an ecotype of B. cretica subsp. cretica (C: Akrokorinthos) and B. cretica subsp. laconica (E) showed substantial reductions in biomass, leaf area, and leaf number, whereas B. cretica subsp. aegaea (A: Manikia and B: Ymittos) and another ecotype of B. cretica subsp. cretica (D: Lasithi) maintained stable growth under water-limited conditions. Water deficit also significantly impacted leaf mineral composition, increasing NO3 and Na+ levels while decreasing P, Zn, and Mn. Additionally, drought stress enhanced antioxidant capacity and secondary metabolite production, as indicated by elevated ferric reducing antioxidant power, Trolox equivalent antioxidant capacity, total phenolic content, and total flavonoid content. Notably, the two studied populations of B. cretica subsp. aegaea (A: Manikia, B: Ymittos) and the population of B. cretica subsp. cretica from Lasithi (Crete) (D) exhibit promising drought tolerance, suggesting their potential for cultivation or breeding in water-limited environments. This research contributes to the broader effort of identifying favorable traits in crop wild relatives and to utilize these valuable genetic resources to develop climate-resilient crops for Mediterranean agriculture, where sustainable water use is critical for food security. Full article
Show Figures

Figure 1

19 pages, 1691 KB  
Article
Repercussions of Symbiotic Bacteria Associated with Entomopathogenic Nematodes and Their Biogenic Silver Nanoparticles on Immune Responses at Root-Knot Nematode Suppression
by Rehab Y. Ghareeb, Shawky M. Eid, Hanan Alfy and Mohamed H. Elsheikh
Microorganisms 2026, 14(1), 92; https://doi.org/10.3390/microorganisms14010092 - 31 Dec 2025
Viewed by 164
Abstract
Root-knot nematodes (RKNs) of the Meloidogyne genus impact various plants, including crops, fruits, and vegetables. Few chemical control options exist globally, and many nematicides are banned due to health and environmental risks. This study tested a new nematicidal agent, the symbiotic bacterium Xenorhabdus [...] Read more.
Root-knot nematodes (RKNs) of the Meloidogyne genus impact various plants, including crops, fruits, and vegetables. Few chemical control options exist globally, and many nematicides are banned due to health and environmental risks. This study tested a new nematicidal agent, the symbiotic bacterium Xenorhabdus indica, which was molecularly identified (PV845100). Cell-free culture supernatants of Xenorhabdus spp. and their biogenic Ag-NPs were used in nematicidal assays. Meloidogyne incognita showed high mortality rates of 95.3%, 74.6%, and 72.6% after 72 h of treatment with the X. indica filtrate at three concentrations. At the same concentrations, biogenic Ag-NPs resulted in 82.0%, 90.0%, and 85.3% mortality rates, respectively. After 72 h, hatchability decreased by 53%, 74.6%, and 72.6% for the X. indica filtrate and 82.0%, 90.0%, and 85.3% for Ag-NPs. Quantitative real-time PCR (Q-PCR) revealed that Mi-Ache1 expression was lower in M. incognita second-stage juveniles (J2s) treated with the filtrate and Ag-NPs after 72 h compared to controls. Mi-Ache2 expression was also decreased, but only slightly. Furthermore, both the X. indica filtrate and biogenic Ag-NPs were safe in human lung (WI-38) and skin (HFB4) cell lines. These findings suggest that bacterial filtrates and their biogenic Ag-NPs could serve as cost-effective, environmentally friendly alternatives to commercial nematicides. Full article
(This article belongs to the Special Issue Silver Nanoparticles as Antimicrobial Agents)
Show Figures

Figure 1

14 pages, 904 KB  
Article
A Compound Fungicide Impairs Cognitive Performance in Honey Bees (Apis mellifera)
by Xufeng Zhang, Qian Cao, Qihang Sun, Yuting Tian, Yinyin Du and Yuan Guo
Insects 2026, 17(1), 51; https://doi.org/10.3390/insects17010051 - 30 Dec 2025
Viewed by 308
Abstract
Fungicides play a critical role in crop protection, yet their potential threats to pollinator remain a concern. This study investigated the sublethal effects of a commercial fungicide, Chunmanchun® (a suspension-emulsion of 7% propiconazole and 28% carbendazim), on cognitive functions of the honey [...] Read more.
Fungicides play a critical role in crop protection, yet their potential threats to pollinator remain a concern. This study investigated the sublethal effects of a commercial fungicide, Chunmanchun® (a suspension-emulsion of 7% propiconazole and 28% carbendazim), on cognitive functions of the honey bee (Apis mellifera). Using the proboscis extension reflex (PER) assay, we evaluated sucrose sensitivity and olfactory learning and memory in workers exposed to the recommended field concentration (PC), along with sublethal (LD10) and semi-lethal (LD50) concentrations. Fungicide exposure significantly reduced sucrose sensitivity across all concentrations tested (0.1%, 1%, and 3%), with the strongest reductions occurring at the LD10 and LD50 levels. While olfactory associative learning was not significantly impaired, memory retention was adversely affected. Bees in the LD50 group showed significantly reduced PER rates at both1 h and 6 h post-training, and LD10 and LD50 groups exhibited significant memory deficits by 1 h and 6 h relative to the control. These results demonstrate that Chunmanchun® impairs both sucrose responsiveness and olfactory memory in honey bees, which may impair foraging efficiency and ultimately affect colony performance. This study highlights a potential ecological risk posed by this fungicide to pollinators in agricultural environments. Full article
(This article belongs to the Special Issue Biology and Conservation of Honey Bees)
Show Figures

Figure 1

17 pages, 3648 KB  
Article
Functional Characterization of Floral Gene Network Reveals a Critical FT1–AP1 Interaction in Flowering Regulation in Longan
by Yuru Tang, Yating Xu, Haoming Mao, Yawen Xu, Jianling Pan, Shaoquan Zheng, Guochun Zhao, Wenshun Hu and Ray Ming
Plants 2026, 15(1), 106; https://doi.org/10.3390/plants15010106 - 30 Dec 2025
Viewed by 252
Abstract
Longan (Dimocarpus longan Lour.) is a commercially valuable tropical fruit crop that contains two antagonistic FLOWERING LOCUS T (FT) homologs involved in regulating flowering time. However, how these FT genes interact with flowering regulators FLOWERING LOCUS D (FD) [...] Read more.
Longan (Dimocarpus longan Lour.) is a commercially valuable tropical fruit crop that contains two antagonistic FLOWERING LOCUS T (FT) homologs involved in regulating flowering time. However, how these FT genes interact with flowering regulators FLOWERING LOCUS D (FD) and APETALA1 (AP1) remains unknown. Four flowering-related genes in longan, DlFT1, DlFT2, DlAP1 and DlFD, were successfully isolated. Expression profiling revealed that all four genes were expressed in leaves and buds across different stages of natural and KClO3-induced floral bud differentiation. Functional characterization through heterologous overexpression in Arabidopsis thaliana showed that DlAP1 significantly promotes early flowering under long-day conditions and induced morphological changes in floral organs and leaves. In contrast, DlFD overexpression had no effect on flowering time. Subcellular localization assays revealed that DlFT1 and DlFT2 localized to both the nucleus and the plasma membrane, while DlAP1 and DlFD localized exclusively to the nucleus. Yeast two-hybrid and bimolecular fluorescence complementation (BiFC) analyses revealed a novel regulatory node: DlFT1 directly interacts with DlAP1, a finding that expands the classical FT-FD-AP1 flowering model. Additionally, DlFD interacts more strongly with DlFT1 than with DlFT2, whereas DlFT1 only interacts with DlAP1, but not DlFT2. These results demonstrate that DlFT1 promotes flowering not only via the conserved FD-dependent pathway but also through direct association with AP1. These findings advance our understanding of the regulatory mechanisms of flowering in longan and provide valuable insights into flowering pathways of perennial woody species. Full article
(This article belongs to the Special Issue Unraveling Complex Traits and Developmental Pathways of Forest Trees)
Show Figures

Figure 1

Back to TopTop