Previous Article in Journal
Gamma-Aminobutyric Acid Application Methods for Sustainable Improvement of Plant Performance Under Abiotic Stress: A Review
error_outline You can access the new MDPI.com website here. Explore and share your feedback with us.
 
 
Font Type:
Arial Georgia Verdana
Font Size:
Aa Aa Aa
Line Spacing:
Column Width:
Background:
Article

Effect of Two Calcium Levels and a Chicken Manure-Based Soil Amendment on Tomato Hybrid Performance

by
Carlos David Carretillo Moctezuma
1,
Abraham Francisco Aponte Herrera
2,
José Terrones Salgado
3,
Edgar Pérez Arriaga
4,
Flaviano Godínez-Jaimes
1,*,
María Guzmán Martínez
1,
José Francisco Díaz-Nájera
2,
Ramón Reyes Carreto
1,
José C. García-Preciado
5 and
Juan Antonio Chamú-Baranda
2
1
Facultad de Matemáticas, Universidad Autónoma de Guerrero, Av. Lázaro Cárdenas S/N, Chilpancingo de los Bravo 39087, Guerrero, Mexico
2
Centro de Estudios Profesionales, Colegio Superior Agropecuario del Estado de Guerrero, Iguala de la Independencia 40000, Guerrero, Mexico
3
Centro de Investigación en Horticultura y Plantas Nativas, Escuela de Ingeniería en Agronomía, Decanato de Ciencias de la Vida y la Salud, Universidad Popular Autónoma del Estado de Puebla, 21 sur No. 1103, Puebla 72410, Mexico
4
División de Estudios de Posgrado e Investigación, Instituto Tecnológico de Ciudad Victoria, Tecnológico Nacional de México, Ciudad Victoria 87010, Tamaulipas, Mexico
5
Instituto Nacional de Investigaciones Forestales, Agrícolas y Pecuarias, Campo Experimental Tecomán, Tecomán 28930, Colima, Mexico
*
Author to whom correspondence should be addressed.
Crops 2026, 6(1), 11; https://doi.org/10.3390/crops6010011
Submission received: 13 October 2025 / Revised: 20 December 2025 / Accepted: 31 December 2025 / Published: 8 January 2026

Abstract

Calcium (Ca) is essential for tomato (Solanum lycopersicum L.) fruit quality and for preventing physiological disorders such as blossom-end rot. However, high total soil Ca does not necessarily translate into plant-available Ca due to factors such as soil pH and limited mobility. This study evaluated soil Ca availability and the effect of a chicken manure-based soil amendment on the growth and yield of four tomato genotypes (Pony Express F1, Palomo F1, Toro F1, and Perseo F1) grown on a loam–clay–sand soil containing 4886 ppm Ca. In the first cycle, conducted in a shade house, two Ca application levels (0% and 25% of the crop’s requirement) were tested. The 0% treatment outperformed the 25% treatment regarding yield-related traits, indicating that native soil Ca met crop demand; application of 25% Ca reduced total fruit weight and fruit number by 19.7% and 5.9%, respectively, while the 0% treatment produced 40.8% more first-quality fruits. Perseo F1 (Perseo) produced the highest yield of first-quality fruits (20.61 t ha−1), exceeding Pony Express F1 (Pony express), Palomo F1 (Palomo), and Toro F1 (Toro) by 10.8%, 6.6%, and 51.4%, respectively. In a second cycle under open-field conditions, incorporation of the chicken manure amendment significantly enhanced growth and yield: treated plants reached a 0.85 m height 58 days after transplanting, and overall yield increased to 70.08 t ha−1 compared with 50.30 t ha−1 in the control (21.9% increase). These results indicate that, while native soil Ca can satisfy crop requirements under the studied conditions, soil amendment under field conditions substantially improves plant performance and commercial yield potential.

1. Introduction

Calcium (Ca) is the most abundant soluble cation in the Earth’s crust [1,2] and is classified as an essential secondary macronutrient that performs crucial functions in plant physiology [3]. At the cellular level, Ca not only maintains membrane integrity and the physicochemical stability of proteins [4] but also constitutes a fundamental structural component of the cell wall [5]. Its uptake occurs primarily through the roots [6]; however, its limited phloem mobility restricts transport to growing tissues and accumulation in fruits [7]. In tomato, this limitation leads to physiological disorders such as blossom-end rot [8] and apical necrosis [9,10], requiring a continuous supply during the critical fruit development stage [11,12].
Additionally, Ca regulates key processes including root development, cell elongation and division [13,14,15], microbial activity, and molybdenum (Mo) availability [8]. The bioavailability of Ca is closely linked to its exchangeable levels in the soil, which reflect its release from minerals such as calcite and gypsum [16,17]. Moreover, the balance with other cations (Mg and K) is critical for optimal absorption [18]. While Ca supplementation has been shown to improve yield under soil-deficiency conditions [19,20], agronomic diagnostic criteria classify concentrations above 5000 ppm as excessive [21]. This generates a critical research gap: in soils that are naturally rich in Ca (4886 ppm) and alkaline (pH of 8.04), it remains unclear whether yield is limited by the bioavailability of native Ca or by ionic competition, which complicates efficient management.
Historically, low Ca uptake efficiency has been addressed through excessive fertilizer applications [22]. However, since these practices are unsustainable and contribute to soil degradation, integrating fertigation with organic amendments has been promoted as a viable alternative [23,24,25]. Organic amendments (e.g., poultry manure compost) have been shown to improve the chemical, physical, and biological properties of soils, enhancing nutrient absorption, microbial activity, and water retention [26,27,28]. Despite these benefits, their validation in soils with high Ca concentrations requires further investigation.
In recent years, research has highlighted that tomato genotypes may respond differently to Ca availability, indicating the importance of genotype-specific studies in nutrient management. Genetic variation in Ca uptake, transport, and allocation can influence both fruit quality and susceptibility to physiological disorders [29]. Understanding these genotype-specific responses is essential for designing targeted fertilization strategies and optimizing productivity under variable soil conditions.
Furthermore, the interaction between soil Ca, organic amendments, and microbial communities represents a promising avenue for enhancing crop resilience. Organic amendments can stimulate beneficial microbial populations that facilitate nutrient cycling, improve soil structure, and promote water retention, potentially mitigating the limitations of native Ca availability [30,31]. Integrating these management practices may contribute to more sustainable and efficient tomato production, particularly in alkaline soils with naturally high Ca content.
In this context, the present study evaluated Ca availability and the effect of organic amendments on tomato production. It was hypothesized that Ca availability in alkaline soils may differ between native and supplemented sources and can be modified by organic amendments. Therefore, the study aimed to determine whether native Ca meets crop requirements and how management practices induce variations in yield and quality, with genotype-specific responses. This dual design allowed exploration not only of the role of soil Ca in crop nutrition but also of the potential of amendments to promote microbial activity, improve water retention, and enhance fruit productivity and quality [29,30].

2. Materials and Methods

This section includes a description of the materials used, the experimental design, the management procedures, and the analytical techniques applied. It details the environment in which the experiment was conducted, the treatments applied, and the specific methodologies for data collection and analysis.
Both experiments were conducted at the same experimental site to ensure comparable soil conditions and to establish a direct relationship between them. Prior to experiment establishment, soil chemical properties were characterized (Supplementary Material), revealing low organic matter content (1.54%) and very high calcium availability (4886 ppm), which supported the experimental focus on calcium management and organic matter amendments.

2.1. Location of the Experimental Site

This research was conducted at the Valerio Trujano nursery of the Superior Agricultural College of the State of Guerrero, located in the municipality of Tepecoacuilco de Trujano 11 km from the Iguala–Huitzuco highway, at an altitude of 860 m above sea level (17°54 N, 99°41 W). The experimental site is characterized by a loam–clay–sand soil containing 4886 ppm of Ca, with a pH of 8.04, an electrical conductivity of 0.51 dS m−1, and a bulk density of 1.3 g cm−3. Although total Ca content is high, the low electrical conductivity indicates reduced concentrations of soluble Ca in the soil solution. This condition is associated with the alkaline pH and the soil texture, which limit Ca solubilization and promote its binding to carbonates and clay surfaces. Consequently, the actual availability of Ca to plants depends primarily on its release into the soil solution rather than on the total Ca present in the soil matrix.
In the first cycle, carried out under 50% shade-house conditions, four tomato genotypes (Toro, Pony express, Perseo, and Palomo) were evaluated under two Ca application levels (0% and 25%). In the second cycle, established under open-field conditions, organic amendments were incorporated as an additional factor, complementing the fertigation strategy applied during the first cycle, as implemented by [32].
The shaded house where the crop was established is a structure covered with 50% shade mesh, measuring 16 m in width by 24 m in length, with iron supports spaced 4 m apart. It regulates the climatic environment and protects the crop from adverse conditions such as intense solar radiation, strong winds, and pest attacks. The maximum temperature inside the shaded house was 29.1 °C during the day and 24.7 °C at night, with an average of 26.9 °C, with an average relative humidity (RH) of 78.5% during the day and 86.5% at night.

2.2. Genetic Material

The genotypes used in this study are described below, all from the commercial brand Harris Moran. These materials were selected because they were the ones available at the time the research was conducted; therefore, their selection was not random.
Pony express, Palomo, Toro, and Perseo are determinate tomato genotypes characterized by high fruit quality, good firmness, intense red color, and high yield. Pony express exhibits early maturity and concentrated productivity; Palomo stands out for its vigor, extended shelf life, and maximum production; Toro is notable for its firmness and suitability for long-distance transport; and Perseo produces large, uniform, and high-quality fruits [33,34,35,36].

2.3. Factors and Treatments Under Study

Two factors were evaluated over two consecutive years. In the first year, calcium (Ca) was studied at two levels (0% and 25%) in combination with four tomato genotypes. In the second year, the experimental factor was the application of soil amendment, evaluated at two levels (with and without), also in combination with the same four genotypes, all from the commercial brand Harris Moran (see Table 1).

2.4. Experimental Design and Experimental Unit

The experimental design used was a split-plot design, where the large plots represented the Ca levels, and the small plots were randomized with the tomato genotypes. The experimental unit consisted of two planting beds, each 1.20 m wide and 4 m long, resulting in an area of 4.80 m2. Four replications were performed for each treatment, resulting in a total of 32 experimental units. Each large plot had an area of 192 m2, where ten cultivation beds were established. The first and last beds were used as borders, and the remaining eight beds were used for the establishment of the genotypes (two planting beds per genotype). The plant spacing was 0.40 m, with twenty plants per experimental unit arranged in double rows. Two plants were discarded from each row, one at each end, resulting in a useful plot of sixteen plants per experimental unit. Four plants were measured for growth and sixteen for yield.

2.5. Seedling Production

For the planting process, a substrate mixture of peat moss and lama soil was used. The peat moss was sifted through a mesh sieve and then combined with the lama soil at a 1:3 ratio, meaning for every part of peat moss, three parts of lama soil were added. The lama soil was sterilized with Anibac at a concentration of 5 mL L−1. In a 200 L container, a solution of water and Anibac was prepared at a dose of 5 mL L−1 of water, and polypropylene trays with 200 cavities were disinfected by immersing them for 5 min. Meanwhile, the substrate was thoroughly moistened using a backpack sprayer, and the trays were then filled. The planting took place on 26 October 2018, with one seed placed per cavity at a depth of 0.5 cm. Following this, a light irrigation was applied using the fungicide Captan Ultra 500 WP (Captan) at a concentration of 1.5 g L−1 of water. Upon completion of this step, the trays were stacked and covered with polyethylene until the emergence of the seedlings (within three days). The trays were then transferred to a nursery, where they remained for 28 days to protect them from vector attacks that transmit viral diseases. During the seedling stage, irrigations were carried out twice daily (morning and afternoon) with a solution of Rootex (rooting hormone) at a dose of 2 g L−1 of water and Captan at a concentration of 1.5 g L−1 of water using a backpack sprayer to prevent diseases. Fertilization of the tomato seedlings was applied alternately (every third day) with a solution of the water-soluble fertilizer Ultrasol Inicial (15-30-15) at a dose of 1.5 g L−1 of water and the foliar fertilizer Bio-Green Plus (20-30-10) on three occasions (once a week) at a dose of 5 g L−1 of water.

2.6. Land Preparation and Irrigation System Installation

The land was manually cleared with the help of a hoe, and subsequently, the planting beds were made. These were created manually, with a distance of 120 cm between furrows. Ten beds were made for the treatments with Ca, and another ten beds were made for the treatments without Ca. Once the beds were completed, mulch was applied. For the installation of the drip irrigation system, 6.35 cm PVC tubing was used for the main network, and 5.08 cm hoses were used for the secondary network. In the tertiary network, 2.54 cm hoses were connected, where individual spider-type drippers with 4 outlets and a flow rate of 2 L h−1 were placed every 60 cm. Additionally, a 5.08 cm mesh filter header was installed for the application of the nutrient solution, along with a 3 HP capacity pump.

2.7. Transplanting

The transplanting was carried out on 20 November 2018, for which a pointed stick was used to create planting cavities of a size similar to the root ball of the plants. Before transplanting, a solution of Rootex at 3 g L−1, Proplant at 3 mL L−1, Aminocel 500 at 3 g L−1, and Interguzan at 3 mL L−1 was applied. The seedlings were removed from the tray with the entire root ball and placed one plant per cavity, ensuring that the plant’s collar was level with the soil surface. A light soil compaction was applied around the plant without damaging the stem, to avoid air pockets and ensure a 100% success rate for the transplant.

2.8. Fertirrigation

The nutrient solution irrigation was applied every eight days, with fertilizers such as calcium nitrate tetrahydrate (Ca (NO3)2·4H2O), magnesium sulfate (MgSO4·7H2O), monopotassium phosphate (KH2PO4), potassium nitrate (KNO3), and ammonium sulfate ((NH4)2SO4) being applied according to the plant’s growth stage (Table 2). The total amount of Ca supplied during the crop cycle was 29 kg, corresponding to 25% of the plant’s total Ca requirement. This reduced level was intentionally selected to evaluate whether a minimal supplemental application could enhance crop performance under conditions where the actual availability of native soil calcium may have been limited due to the physicochemical characteristics of the alkaline soil. Once the required amount of fertilizer was calculated, the pH of the water was reduced to 5.5, and the fertilizer was weighed, dissolved in a 20 L capacity container, and then transferred to the corresponding container with a capacity of 1100 L.
The application of irrigation without the nutritive solution of Ca (Table 3) was also applied every eight days. The fertilizers used were the same, except for the calcium nitrate tetrahydrate.

2.9. Foliar Fertilization During the Crop Cycle

High Ca concentration and alkaline soil pH can reduce the availability and uptake of essential micronutrients such as Mg, K, boron (B), zinc (Zn), iron (Fe), and manganese (Mn), due to antagonistic interactions and low solubility under elevated-pH conditions. For this reason, micronutrient fertilization was supplemented during the cultivation period (Table 4).

2.10. Compost Preparation

Compost was produced using layer hen manure of approximately four weeks old, combined with sawdust bedding (chicken litter), totaling about one ton. The chicken litter was spread and moistened to field capacity, ensuring uniform hydration through manual turning with a shovel. The pile was covered with black plastic to retain moisture and heat. To control temperature, the compost was turned twice daily. When high temperatures persisted, an equal volume of compost made from leaves and bovine manure was added to balance the carbon-to-nitrogen ratio (C/N) and mitigate overheating. The composting process lasted 41 days.
The compost exhibited a C/N ratio of 13:1, a pH of 6.8, and an electrical conductivity of 4.5 dS m−1, values that indicated a stabilized material, slightly alkaline in nature, with a moderate concentration of soluble salts.

Incorporation of the Amendment

The planting beds were constructed manually, with dimensions equivalent to those mentioned in Section 2.4. The compost was incorporated manually by opening furrows approximately 15 cm deep along the planting beds and evenly distributing the compost together with the fertilizers, potassium nitrate (KNO3) and magnesium sulfate (MgSO4), at rates of 9.6 kg, 1.10 g, and 2.60 g per linear meter, respectively. Once the amendment was incorporated, the furrows were covered and the planting beds were reconstructed.
Additional fertilization was applied via fertigation, following the same criteria used in the previous cycle (Table 2 and Table 4) for the amendment factor.
The beds were mulched with black/silver polyethylene to suppress weed growth and enhance moisture retention. The mulch was perforated in double rows with 40 cm spacing between holes to allow for crop transplanting.

2.11. Harvest

The first crop cycle lasted 174 days, from 26 October 2018 to 17 April 2019. The first harvest was carried out 100 days after transplanting (dat), with a harvesting period of 39 days. In the second cycle, the harvest was conducted on 30 March 2020, at 78 dat.

2.12. Response Variables

At each harvest, the fruits from each treatment and repetition (Rep) were classified according to their quality: first quality (100 g), second quality (50–100 g), third quality (20–30 g), fourth quality (20 g), and waste (<20 g or damaged). Once the crop was established, the following phenological variables were measured:
  • Plant height: Determined by measuring with a tape measure from the soil to the apex of the plant.
  • Neck diameter of the plant: Determined with a digital caliper by measuring the plant’s neck.
  • Average fruit weight: Measured by averaging the weights of the first- and second-quality fruits.
  • Fruit diameter: Determined only for first-quality fruits.
  • Fruit length: Measured with a digital caliper for first- and second-quality fruits.
  • Number of fruits per square meter: Determined by separating the heavier fruits and counting them by treatment for first-quality, second-quality, third-quality, fourth-quality, commercial, and total fruits.
  • Fruit weight per square meter: Determined by weighing the first-quality, second-quality, third-quality, and total fruits.

2.13. Statistical Analysis

The statistical analysis of the evaluated variables was performed using SAS software version 9.4 and R version 4.5 [37]. For the variables that showed a significant genotype effect, means were compared using Tukey’s test.
Because the treatments applied in year 1 (shade house) and year 2 (open field) correspond to different management packages (year 1: Ca application levels via fertigation; year 2: an organic amendment based on poultry manure supplemented with K and Mg), the whole-plot factor α i does not represent equivalent interventions across years. To maintain consistency in the split-plot design structure and to avoid confounding treatment effects with year-specific environmental differences, statistical analyses were conducted separately for each cycle using the same base model.
The statistical model used in both years was
Y i j k = μ + α i + R k + ( α R ) i k + β j + ( α β ) i j + E i j k .
In this model, Y i j k represents the observed value of the response variable at the i-th level of the main factor, the j-th genotype, and the k-th replication. The term μ denotes the overall mean. The factor α i describes the effect of the whole-plot management treatment, which in year 1 corresponded to the two Ca application levels (0% and 25%) and in year 2 to the two soil amendment levels (no amendment vs. amendment). The term R k represents the effect of the k-th replication, while ( α R ) i k is the whole-plot error term. The subplot factor β j corresponds to the genotype effect, which remained the same in both years. The interaction term ( α β ) i j captures the differential response of genotypes to the main factor within each year, and E i j k represents the residual error term.
This approach maintains methodological consistency while ensuring that the results from each year are interpreted within their specific agronomic context.

Percentage Calculation

Relative variations between treatments were expressed as percentages with respect to the control. The calculation was performed using the following formula:
Δ % = X treatment X control X control × 100
where X treatment corresponds to the observed value in the treatment and X control to the observed value in the control.

3. Results: Year 1

Although the Palomo and Pony express genotypes are generally considered resistant to Rhizoctonia solani, a limited incidence of collar rot caused by this pathogen was detected in some plants under field conditions (Appendix A, Figure A1), as well as infestations of Bemisia tabaci throughout the crop. These issues were managed through applications of the fungicide Captan and the insecticide PLENUM® 50 GS, respectively. These phytosanitary interventions were necessary to maintain adequate plant health; however, they do not constitute the primary focus of the present study.

3.1. Plant Height

Table 5 shows the average tomato plant height at different stages of development, from the vegetative stage (15 dat) to the beginning of fruiting (62 dat). The interaction between the factors Ca and genotypes was not significant, indicating that the effect of Ca was similar across the different genotypes, and there was no significant variation in plant height among the genotypes at different Ca levels. However, there was an effect of Ca on tomato height during the flowering and fruiting initiation stages (34, 41, 48, 55, and 62 dat), meaning that the means were statistically different. The average height of the genotypes at the 0% Ca level was greater than that at the 25% Ca level by 5.71%, 3.64%, 3.33%, 7.75%, and 7.28%, respectively. The comparison of genotype height means revealed two statistically different groups. In the measurements taken at 27, 34, 41, 48, 55, and 62 dat, the genotype Perseo was the only one that stood out in the group with the highest average plant height. Additionally, at 15 and 22 dat, the presence of the Pony express genotype was also observed. In the final measurement at 62 dat, the average plant height of the Perseo genotype significantly surpassed that of the Pony express, Palomo, and Toro genotypes, with increases of 8.18%, 12.58%, and 13.84%, respectively.
In the graph with the calcium factor (Figure 1), plant height increases similarly at both levels (0% and 25%), with noticeable differences emerging from the flowering stage onward, where the 0% level shows slightly higher values, consistent with the significant differences reported in Table 5. In the graph with the genotype factor, Perseo consistently exhibits the greatest height throughout the growth cycle, followed by Pony express, while Palomo and Toro show the lowest values. These trends align with the statistical grouping presented in the table, particularly in the final measurement at 62 dat.
The standard deviations for plant height showed considerable variability among plants within each genotype, with values exceeding 10 cm in several cases, indicating that this trait was highly sensitive to micro-environmental fluctuations. In contrast, stem diameter exhibited relatively high but consistent standard deviations across both calcium levels and genotypes (Figure 2), reflecting a similar degree of internal variability among all groups. This homogeneity in dispersion explains why no significant differences were detected among genotypes and, at the same time, allowed the calcium effect to be identified more clearly, as it was not obscured by unequal within-group variation.

3.2. Neck Diameter of the Plant

Table 6 shows the average stem diameter of the tomato plant for the factors of Ca and genotype at the studied phenological stages. The interaction between Ca and genotype was not significant, indicating that the response to Ca was similar across the different genotypes. There was also no significant effect of either Ca or genotype on the stem diameter of the plant at any of the phenological stages.
In the calcium factor graph (Figure 2), stem diameter exhibits a progressive increase over time at both Ca levels (0% and 25%), with nearly overlapping curves, consistent with the absence of significant differences reported in Table 6.
Regarding the genotype factor, the curves of the evaluated materials remain close to each other throughout the entire period, showing only minor variations at specific dates, which are not statistically significant. This confirms that, under the experimental conditions, neither calcium level nor genotype influenced stem diameter.

3.3. Average Fruit Weight

Table 7 shows the average tomato yield for first- and second-quality fruit weights. The interaction between Ca and the genotypes was not significant, meaning that the effect of Ca was similar across the genotypes, and no genotype responded better to Ca application. On the other hand, the Ca factor had a significant effect on the average weight of first-quality fruit but not on second-quality fruit. This indicates that Ca application influenced the yield of first-quality fruit, but its effect did not extend to second-quality fruit. The 0% Ca level outperformed the 25% Ca level by 8.68%. This may have been due to an increase in Ca dosage affecting fruit development by blocking other nutrients. The genotype factor exerted a significant effect on the average fruit weight, both for first- and second-quality fruit, indicating that the differences between the means of the two fruit types were not statistically equivalent. The Tukey test identified two statistically distinct groups. For first-quality fruit, the group with the highest averages consisted of the Perseo and Palomo genotypes. For second-quality fruit, the Palomo, Perseo, and Pony express genotypes formed the group with the highest averages. Specifically, for first-quality fruit, the Perseo genotype showed the highest average weight, surpassing the Pony express, Palomo, and Toro genotypes by 16.10%, 5.48%, and 19.99%, respectively. This indicates that the choice of genotype is crucial fpr maximizing first-quality fruit weight.

3.4. Fruit Diameter

Both the calcium and genotype factors exerted significant effects on fruit diameter (Table 8). Mean comparisons reveal the formation of statistically distinct groups: the first group, characterized by the largest diameters, includes the Perseo and Palomo genotypes, which differ significantly from Toro and Pony express. The second group is comprised of Palomo and Pony express, while the third group integrates Pony express and Toro; the latter displays significant differences compared to Perseo. Thus, statistical overlap is evident among certain genotypes according to the mean comparison test used.

3.5. Fruit Length

The interaction between the calcium (Ca) and genotype factors was not significant for the length of first-quality fruit or second-quality fruit, suggesting that the effect of Ca was homogeneous across all the genotypes analyzed. The absence of an effect from the Ca factor (see Table 9) indicates that calcium application at the studied levels did not influence either first-quality fruit or second-quality fruit. However, the genotype factor did show a significant effect on both length measurements. The Tukey test identified two statistically distinct groups. The group with the highest means for both first-quality fruit and second-quality fruit includes the Perseo, Palomo, and Pony express genotypes.

3.6. Number of Fruits per Square Meter

There was a significant interaction in the production of third-quality fruits, indicating that the response of these fruits to calcium application depended on the specific genotype of the tomato (Table 10). Additionally, it can be observed that the Ca factor showed a significant difference for first-quality fruits, favoring the 0% Ca level. At 0% Ca, 40.83% more first-quality fruits were produced than those at 25% Ca. The application of calcium had a significant effect on the production of first-quality fruits, as the mean at 0% Ca was significantly higher than that at 25% Ca, indicating that the absence of additional Ca resulted in more first-quality fruits. For second-quality, third-quality, fourth-quality, commercial, and total fruits, there were no significant effects, meaning that the application of 25% Ca did not significantly influence the production of these fruits compared to 0% Ca. Regarding the genotype factor, a significant difference was observed in all qualities. The Palomo, Pony express, and Perseo genotypes produced the highest number of first-quality fruits, surpassing the Toro genotype by 44.21%, 43.08%, and 43.95%, respectively. Regarding second-quality fruits, according to the mean differences, the Perseo genotype produced fewer fruits of this quality; similarly, it produced fewer third-quality fruits. The Pony express, Palomo, and Toro genotypes showed a higher number of commercial fruits compared to Perseo, due to having a higher quantity of second- and third-quality fruits. On the other hand, Perseo produced more first-quality fruits. This may be attributed to the specific requirements and adaptation conditions of each genotype, along with their genetic characteristics.
As shown in Figure 3, the 0% Ca level produced significantly more first-quality fruits than the 25% level, with no differences observed in other categories or in total yield. For the genotype factor, significant differences were observed in several quality categories; however, total fruit production was similar among genotypes, except for Perseo.

3.7. Fruit Weight per Square Meter

Regarding this variable, the interaction between calcium and genotypes was not significant for the weight of first-quality, second-quality, third-quality, and total fruits (Table 11), indicating that the effect of Ca on the weight of these fruits was consistent across different genotypes. In other words, the impact of calcium application (or the lack of it) on fruit weight did not vary according to genotype. Regarding the Ca factor, the average fruit weight at the 0% Ca level was significantly higher than that at the 25% Ca level for first- and second-quality fruits and for the total. This indicates that the absence of additional Ca resulted in a higher average weight for first-quality fruits. Finally, for third-quality fruits, the weight at the 25% Ca level was significantly higher than that at the 0% Ca level, meaning that the addition of Ca reduced the average weight of first- and second-quality fruits while favoring a higher average weight for third-quality fruits. Regarding the genotype factor, a significant difference was observed for first-quality fruits, where the genotype Perseo produced the highest weight, surpassing the Pony express, Palomo, and Toro genotypes by 10.7%, 6.31%, and 51.45%, respectively. For third-quality fruits, a highly significant difference was observed, with the Toro genotype producing the greatest weight of fruits in this category, which was related to the higher number of fruits obtained in this category. As for total fruits, there was no significant difference among the evaluated genotypes. It was determined that an excess of Ca was detrimental to the production of first-quality fruits, as the 25% Ca level resulted in the higher weight of third-quality fruits.
The calcium factor (Figure 4) produced higher weight for first- and second-quality fruits at 0% Ca, while 25% Ca resulted in the higher total weight of third-quality fruits due to a greater number of fruits. Regarding the genotype factor, Perseo had the heaviest first-quality fruits and Toro had the highest total weight of third-quality fruits, also related to fruit number. No significant differences were observed for total fruit weight.

4. Results: Year 2

In the previous experimental cycle, conducted under shade house conditions, two calcium application levels (0% and 25%) were evaluated. The results showed that the 0% calcium treatment exhibited better performance in yield-related variables, indicating that the crops did not show calcium deficiency under these conditions. Consequently, the natural availability of calcium in the soil was sufficient to meet the crops’ demand, allowing for higher yield compared with the 25% level. Considering these findings, in the second cycle the 0% calcium level was maintained as a reference, but a new management factor (the application of a soil amendment) was introduced, and the experiment was moved to open-field conditions, providing a scenario more representative of actual commercial production conditions.

4.1. Plant Height

The analysis of variance revealed that the application of organic amendment had a significant effect on tomato plant height across all sampling dates, from 23 to 58 dat, with significant differences observed from 37 dat onward (Table 12). On average, plants grown with amendment reached greater height values, attaining 0.85 m at 58 dat, compared to 0.71 m in the treatment without amendment. Regarding the genotype factor, significant differences were observed between 23 and 44 dat, as well as at 58 dat. The genotype Perseo exhibited the greatest height values during the early stages (23–44 dat), whereas Palomo reached the highest final height, with 0.84 m at 58 dat. In contrast, Pony express and Toro showed intermediate growth patterns.
A visual representation of Table 12 is shown in Figure 5, where the genotype factor illustrates how the genotype Perseo stabilized its growth.
The standard deviations of plant height remained stable across all treatments (Figure 5), indicating minimal within-group variability and a highly uniform growth pattern among plants of the same genotype and amendment level. Similarly, stem diameter exhibited consistently low standard deviations (Figure 6), confirming the stability of this trait throughout the experiment. The error bars show a reduced dispersion around the means, suggesting that the observed differences among genotypes and amendment levels were primarily attributable to treatment effects rather than internal variability within groups.

4.2. Neck Diameter of the Plant

Table 13 presents the values of stem collar diameter recorded throughout the evaluations after transplanting. Significant differences were observed for both factors at all assessment dates. The values under the amendment treatment exceeded those of the non-amendment treatment by 18.51% at 58 days after transplanting (dat). Regarding the genotype factor, the hybrid Palomo exhibited the largest stem collar diameter, whereas Perseo showed the lowest values, reflecting the genetic variability in this trait.
In the graph for the amendment factor (Figure 6), a progressive increase is observed over time at both amendment levels. Although the trajectories are close, the figure clearly shows differences between treatments at all sampling times, consistent with the significant differences reported in Table 13.
Regarding the genotype factor, the evaluated materials exhibited a similar growth pattern in stem diameter during most of the observation period. However, the graph reveals visible differences among genotypes at specific time points, confirming the presence of significant effects at particular stages of development.

4.3. Average Fruit Weight

The incorporation of organic amendment did not produce significant differences in the weight of first- or second-quality fruits (Table 14). In contrast, the genotype factor showed significant differences in the weight of first-quality fruits. The genotype Perseo recorded the highest value, with an average fruit weight of 160 g, while the other genotypes exhibited lower values. For second-quality fruits, all genotypes showed statistically similar performance.

4.4. Fruit Diameter

The analysis of variance (Table 15) indicates that the incorporation of organic amendment did not produce significant differences in fruit diameter, suggesting that this variable was not directly influenced by the amendment under the field conditions of the second growing cycle. Regarding the genotype factor, significant differences were observed in the diameter of second-quality fruits, with the genotypes Palomo and Toro standing out by reaching the highest value, both at 4.92 cm. For first-quality fruits, all genotypes behaved statistically similarly, showing a more homogeneous range for this variable.
Furthermore, when examining variability among genotypes, Palomo and Toro consistently exhibited the highest values for second-quality fruits, while the remaining genotypes maintained intermediate diameters.

4.5. Fruit Length

According to Table 16, the length of first- and second-quality fruits did not show significant differences with the incorporation of amendments, indicating that this factor did not directly affect fruit development under the evaluated field conditions.
Regarding the genotype factor, significant differences were observed in the length of first-quality fruits. The genotype Perseo achieved the greatest fruit length at 7.60 cm, whereas the other genotypes presented lower but statistically distinct values, reflecting the genetic variability of this trait.

4.6. Number of Fruits per Square Meter

In Table 17, it can be observed that, for the amendment factor, first-quality fruits showed significant differences, with the amendment treatment producing a higher number of fruits per square meter (27.63) compared to the treatment without amendment (18.98), representing an increase of 31.31%. Likewise, significant differences were detected in the number of marketable fruits per square meter, once again favoring the amendment treatment.
For the genotype factor, the analysis of variance indicated significant differences in the number of fruits per square meter for second-, third-, and fourth-quality fruits, as well as for marketable and total fruits. The genotype Toro reached the highest number of fruits per square meter with a total of 86.46 fruits, statistically similar to that of Palomo at 81.21, whereas the remaining genotypes presented lower values that were statistically different.
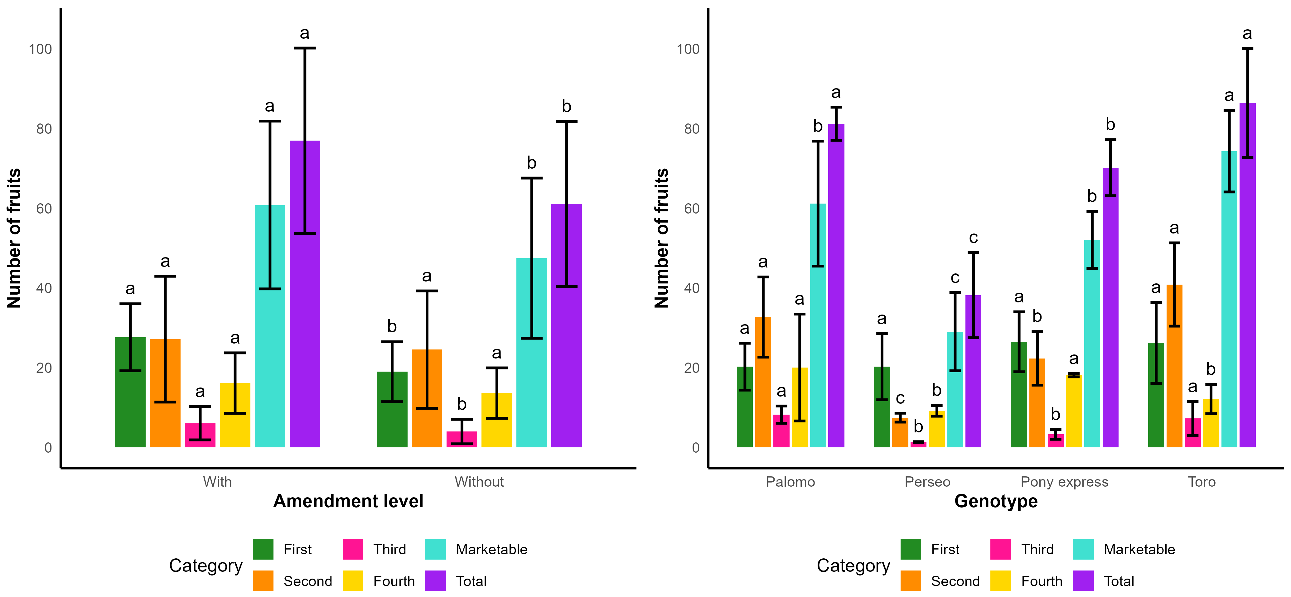
Figure 7 provides a comparative visualization of fruit number distribution by category. It can be observed that the application of the amendment consistently enhanced production across all fruit classes, as reflected by a higher proportion of marketable fruits and an increase in total fruits per square meter. Regarding the genotype factor, the graph clearly shows that Toro and Palomo achieved the highest values for both marketable and total fruits, whereas Perseo exhibited the lowest overall production. In contrast, Pony was positioned at an intermediate level, performing particularly well in marketable fruits.

4.7. Fruit Weight per Square Meter

As shown in Table 18, significant differences were observed regarding the amendment factor and the weight of first-quality fruits. The amendment treatment produced the highest weight, with 3.49 kg m−2, equivalent to 34.90 t ha−1, surpassing that of the treatment without amendment by 30.94%.
For the weight of marketable fruits per square meter, significant differences were also found. The amendment treatment achieved the highest yield, reaching 58.20 t ha−1, 23.02% higher than that of the treatment without amendment.
Regarding total fruit weight per square meter, the use of amendment produced a yield of 7.08 kg m−2 (70.80 t ha−1), while the treatments without amendment reached 55.30 t ha−1. This represents an increase of 21.89% in yield per hectare due to the application of amendment.
Concerning genotypes, significant differences were observed in fruit weight per square meter for second-, third-, and fourth-quality fruits, as well as in the weight of marketable fruits and total fruit weight. The genotype Toro was the most outstanding in total fruit weight, reaching 7.35 kg m−2, equivalent to 73.50 t ha−1.
Figure 8 shows that the application of amendments consistently increased fruit weight across all categories, with a particularly notable effect on marketable fruits. Among the genotypes, Toro reached the highest total fruit weight, followed by Palomo, whereas Perseo exhibited the lowest values, and Pony was positioned at an intermediate level.

5. Discussion

The results of the present study indicate that supplementary calcium application did not result in an improvement in tomato yield and, in certain cases, even caused a reduction. This finding is consistent with previous research emphasizing the criticality of assessing soil calcium availability prior to supplementation, in order to avoid excessive fertilizer use that could prove counterproductive. For instance, ref. [22] reported significant calcium accumulation in greenhouse soils.
The primary explanation for the negative effect observed with the 25% calcium treatment lies in the alkaline soil pH (8.04). In soils with elevated pH, the availability of essential micronutrients such as iron, zinc, manganese, and copper is substantially reduced due to precipitation of hydroxides or the formation of insoluble complexes [38]. The excess Ca under these conditions intensifies such processes. The improvement in first-quality fruit yield at the 0% calcium level compared to the 25% level (Table 7 and Table 11) is indicative of a nutritional imbalance induced by surplus Ca. Under alkaline conditions, high calcium concentrations limit the mobility and uptake of other micronutrients. As a precedent, calcareous soils with high pH have shown reduced Zn and Fe availability [39]. Furthermore, excessive Ca has been reported to inhibit the absorption of other essential nutrients, such as potassium and magnesium [12]. This interpretation is reinforced by the observed decrease in average fruit weight (for first and second qualities) and the consequent increase in third-quality fruit weight at the 25% treatment level (Table 11).
The lack of effect of calcium application on fruit diameter and length (Table 8 and Table 9) suggests that these characteristics may be predominantly genetically determined rather than influenced by Ca availability. This aligns with [10], who indicated that the K–Ca ratio influences fruit development through vapor pressure deficit and photosynthetically active radiation, without necessarily modifying the final fruit size or shape. Despite the foliar application of micronutrients, the high alkalinity and elevated calcium levels may have prevented a complete compensation for the restriction in edaphic availability. Management strategies for alkaline soils advise the use of chelates or acidifying amendments to enhance the availability of Fe, Zn, and Mn [40]. In synthesis, the detrimental effects of the 25% calcium level stem from a synergistic interaction between high pH and excess Ca, which promotes micronutrient precipitation and generates deficiencies, negatively affecting plant physiology, growth, and fruit quality. Recent studies have highlighted similar mechanisms, including the role of humic and fulvic acids in the mobilization of micronutrients in calcareous soils [38].
Certain genotypes, such as Perseo, outperformed others in plant height and first-quality fruit yield (Table 5, Table 7 and Table 11), thus underlining the significance of genetic selection in tomato production programs. As noted by [41], innovations such as nanomaterials could improve nutrient uptake efficiency, optimizing genotype-specific performance. The initial hypothesis—that soil Ca availability was sufficient—was confirmed, and the results demonstrate that excessive application can compromise yield quality. This reaffirms studies questioning indiscriminate Ca fertilization, such as that by [42], which demonstrated that excess Ca can induce Mg and K deficiencies, limiting tomato productivity. Genotypic differences in fruit quality attributes reflect previous findings regarding the moderate to high heritability of these characteristics in tomato [43,44]. The specific patterns of the genotypes also concur with the descriptions provided by the seed company regarding the vigor and stature of Toro and Palomo [45].
The compost utilized in the second cycle, with a C/N ratio of 13:1, pH of 6.8, and EC of 4.5 dS m−1, is classified as a mature, slightly alkaline material with moderate soluble salts. These characteristics favor both nutrient supply and the improvement of the soil’s physical, chemical, and biological properties. Compost use increased plant height, an effect attributed to various processes: nutrient mineralization [46,47,48,49], improved soil structure and aeration, stimulation of beneficial microbial communities, and increased moisture retention. These effects enhance root development and aboveground biomass. The increase in stem diameter was consistent with improvements in soil organic matter, aggregation, and aeration [50]. The stem diameters exceeded those reported by Ungaro [51], which emphasizes the positive impact of the compost.
The compost did not show a significant effect on average fruit weight (Table 14), a result that aligns with [52], who found that poultry manure may increase fruit weight, though not always significantly. Differences in first-quality fruit weight between genotypes reflect their intrinsic genetic potential [53]. The absence of effects on fruit diameter and length is consistent with [54]. Nevertheless, other studies with higher manure rates or integrated organic and mineral fertilizers have reported positive effects [55,56], suggesting that the dose employed here may have been insufficient to induce morphological changes. Yield improvements, reflected in the number of fruits per square meter and total production, are attributed to the optimization of soil fertility through organic matter decomposition and microbial activity [57]. The yields obtained ( 70.80 vs . 55.30 t ha 1 ) are consistent with reports associating poultry manure with increased tomato productivity [46]. Variations across studies may stem from edaphic conditions, fertigation practices, and calcium interactions.
According to the results and the literature, the compost functions as a multifunctional amendment that improves soil structure, biological activity, water availability, and nutrient supply, contributing to increased productivity in intensive tomato systems. Conversely, calcium application is primarily beneficial in calcium-deficient soils. Supplementation is crucial where Ca limits growth; soil testing is mandatory [58]. Susceptible genotypes, such as cultivars prone to blossom-end rot, respond favorably to Ca, particularly through fertigation [59]. During critical developmental stages, flowering and fruit setting have high Ca demand [60]. Likewise, factors such as high temperatures, low humidity, and salinity restrict Ca uptake; supplementation may be necessary [61]. Techniques like fertigation and using Ca chelates enhance nutrient availability [62].

6. Conclusions

The results of this study demonstrate that, under the evaluated soil conditions, the intrinsic calcium availability was sufficient and the additional application of calcium at a 25% dose proved detrimental. The negative effect on fruit quality and yield is attributed to a specific interaction between calcium excess and the alkaline soil pH, which exacerbated nutrient imbalance and micronutrient deficiency.
In contrast, the application of the chicken manure-based compost functioned as a highly effective multifunctional amendment, significantly improving soil properties and promoting a substantial increase in total tomato yield.
It is concluded that the most efficient strategy for tomato production in this system is to prioritize organic soil management using compost and focus attention on the selection of high-yielding genotypes. Calcium application must be performed in a rational and targeted manner (preferably via fertigation) only after a soil analysis confirms a deficiency, thereby avoiding the indiscriminate use that compromises nutritional balance.

Supplementary Materials

The following supporting information can be downloaded at: https://www.mdpi.com/article/10.3390/crops6010011/s1.

Author Contributions

Conceptualization, C.D.C.M., A.F.A.H., and J.F.D.-N.; methodology, C.D.C.M., A.F.A.H., E.P.A., J.T.S., J.C.G.-P., and J.F.D.-N.; software, C.D.C.M., M.G.M., F.G.-J., and R.R.C.; validation, R.R.C., J.C.G.-P., E.P.A., J.A.C.-B., and J.T.S.; formal analysis, C.D.C.M., A.F.A.H., M.G.M., R.R.C., and F.G.-J.; investigation, C.D.C.M., A.F.A.H., J.F.D.-N., J.T.S., and J.C.G.-P.; resources, J.F.D.-N., C.D.C.M., and J.T.S.; data curation, C.D.C.M., A.F.A.H., J.T.S., E.P.A., and J.F.D.-N.; writing—original draft preparation, C.D.C.M., A.F.A.H., M.G.M., F.G.-J., and R.R.C.; writing—review and editing, C.D.C.M., A.F.A.H., M.G.M., F.G.-J., J.C.G.-P., J.A.C.-B., J.T.S., and E.P.A.; visualization, C.D.C.M., M.G.M., E.P.A., F.G.-J., J.T.S., and R.R.C.; supervision, C.D.C.M., M.G.M., J.T.S., J.F.D.-N., F.G.-J., E.P.A., and R.R.C.; project administration, E.P.A. and J.A.C.-B.; funding acquisition, J.T.S., J.A.C.-B. and C.D.C.M. All authors have read and agreed to the published version of the manuscript.

Funding

Colegio Superior Agropecuario del Estado de Guerrero.

Data Availability Statement

The dataset used in this study, including all measurements of tomato crop variables, is publicly available in the GitHub repository: https://github.com/Carlos464-L/Tomato-crop-variables.git (accessed on 11 October 2025).

Acknowledgments

We wish to express our gratitude to the Valerio Trujano Nursery, where the experiment was conducted, for their support throughout the study. In particular, we, CDCM and AFAH, extend our sincere appreciation to Horacio A. Pérez Espinoza for his valuable collaboration and assistance in the fieldwork. We also thank the Colegio Superior Agropecuario del Estado de Guerrero (CEP-CSAEGRO) for the academic training received at this institution.

Conflicts of Interest

The authors declare no conflicts of interest.

Appendix A

The fungal identification was performed using the moist chamber technique to induce mycelial growth, following the steps outlined below:
  • Infected roots were washed with water to remove adhered soil.
  • Small pieces (≈5 mm2) of diseased tissue were cut, immersed in 1% sodium hypochlorite solution for 1 min, and then rinsed with sterile water.
  • A layer of sterile absorbent paper moistened with distilled water was placed at the bottom of a Petri dish, and two glass slides were arranged in a cross formation on top.
  • Five pieces of disinfected plant tissue were placed per dish.
  • The dishes were sealed, labeled with the crop name, date, and type of infected tissue, and incubated at room temperature (±28 °C) under a natural photoperiod (12 h light/12 h dark) in the laboratory.
After incubation, fungal mycelium developing on the plant tissue was located. Hyphal tips were aseptically collected using a flame-sterilized dissecting needle and transferred to the center of Petri dishes containing water–agar medium inside a vertical laminar flow hood. This procedure was performed in triplicate. Pure fungal cultures were obtained, from which hyphal tips were further transferred to Potato Dextrose Agar (PDA) tubes.
For identification (Figure A1), pure fungal isolates were used. Small fragments (1 cm2) containing hyphal tips were taken from the colony edge and placed on glass slides within Petri dishes, with two replicates. These were incubated at room temperature (±28 °C) for 5 days in the Phytopathology Laboratory.
After removing the PDA medium, the fungal mycelium developed on the surface of the slides was stained with lactophenol and examined under a microscope. Hyphae observed were brown to dark brown in color, with right-angle branching.
These morphological features formed the basis for pathogen identification, following the taxonomic keys of Barnett and Hunter [63] and Watanabe [64].
Figure A1. Rhizoctonia solani (the red square highlights the typical right-angle branching of the hyphae, a key diagnostic feature of R. solani).
Figure A1. Rhizoctonia solani (the red square highlights the typical right-angle branching of the hyphae, a key diagnostic feature of R. solani).
Crops 06 00011 g0a1

References

  1. Aburto-González, C.A.; Alejo-Santiago, G.; Ramírez-Guerrero, L.G.; Sánchez-Hernández, R. Concentración foliar de macronutrientes en diferentes etapas fenológicas del litchi cv. Brewster. Interciencia 2017, 42, 441–445. Available online: https://www.redalyc.org/articulo.oa?id=33952188007 (accessed on 8 April 2025).
  2. Oulehle, F.; Urban, O.; Tahovská, K.; Kolář, T.; Rybníček, M.; Büntgen, U.; Hruška, J.; Čáslavský, J.; Trnka, M. Calcium availability affects the intrinsic water-use efficiency of temperate forest trees. Commun. Earth Environ. 2023, 4, 199. [Google Scholar] [CrossRef]
  3. Labiser. Calcio: Un Macronutriente Secundario. 2024. Available online: https://labiser.es/calcio-un-macronutriente-secundario/ (accessed on 15 March 2025).
  4. Rengasamy, P. Importance of calcium in irrigation with saline-sodic water—A viewpoint. Agric. Water Manag. 1987, 12, 207–219. [Google Scholar] [CrossRef]
  5. De Freitas, S.T.; Mitcham, E.I. 3 factors involved in fruit calcium deficiency disorders. In Horticultural Reviews; Janick, J., Ed.; Wiley Online Library: Hoboken, NJ, USA, 2012; Volume 40, pp. 107–146. [Google Scholar] [CrossRef]
  6. Wdowiak, A.; Podgórska, A.; Szal, B. Calcium in plants: An important element of cell physiology and structure, signaling, and stress responses. Acta Physiol. Plant. 2024, 46, 108. [Google Scholar] [CrossRef]
  7. Hocking, B.; Tyerman, S.D.; Burton, R.A.; Gilliham, M. Fruit calcium: Transport and physiology. Front. Plant Sci. 2016, 7, 569. [Google Scholar] [CrossRef] [PubMed]
  8. Sá, A.A.S.; de Oliveira, G.H.; da Silva, R.P.; de Assis, V.C.S.S.; de Oliveira, C.D.S.; de Oliveira, J.A.; Casamassa, M.T.; da Silva Berti, M.P. A importância do cálcio para a nutrição de plantas: Uma revisão. Sci. Electron. Arch. 2024, 17, 2. [Google Scholar] [CrossRef]
  9. Yang, H.; Jie, Y. Uptake and transport of calcium in plants. J. Plant Physiol. Mol. Biol. 2005, 31, 227. [Google Scholar]
  10. Salas-Rivera, R.; Valdez-Aguilar, L.A.; Alvarado-Camarillo, D.; Rascón-Alvarado, E.; Peña-Ramos, F.M.; González-Fuentes, J.A. Balance potasio: Calcio, relación con el déficit de presión de vapor y la radiación fotosintéticamente activa en tomate de invernadero. Terra Latinoam. 2020, 38, 301–311. [Google Scholar] [CrossRef]
  11. Hanger, B.C. The movement of calcium in plants. Commun. Soil Sci. Plant Anal. 1979, 10, 171–193. [Google Scholar] [CrossRef]
  12. Zamban, D.T.; Prochnow, D.; Caron, B.O.; Turchetto, M.; Fontana, D.C.; Schmidt, D. Applications of calcium and boron increase yields of Italian tomato hybrids (Solanum lycopersicum) in two growing seasons. Rev. Colomb. Cienc. Hort. 2018, 12, 82–93. [Google Scholar] [CrossRef]
  13. White, P.J.; Broadley, M.R. Calcium in plants. Ann. Bot. 2003, 92, 487–511. [Google Scholar] [CrossRef]
  14. Hamza, M.; Abbas, M.; Abd Elrahman, A.; Helal, M.; Shahba, M. Conventional versus nano calcium forms on peanut production under sandy soil conditions. Agriculture 2021, 11, 767. [Google Scholar] [CrossRef]
  15. Lawrence, G.; Siemion, J.; Antidormi, M.; Bonville, D.; McHale, M. Have sustained acidic deposition decreases led to increased calcium availability in recovering watersheds of the Adirondack region of New York, USA? Soil Syst. 2021, 5, 6. [Google Scholar] [CrossRef]
  16. Prietzel, J.; Klysubun, W.; Hurtarte, L.C.C. The fate of calcium in temperate forest soils: A Ca K-edge XANES study. Biogeochemistry 2021, 152, 195–222. [Google Scholar] [CrossRef]
  17. White, R.E. Principles and Practice of Soil Science: The Soil as a Natural Resource; John Wiley & Sons: Hoboken, NJ, USA, 2005. [Google Scholar]
  18. Díaz, A.; Cayón, G.; Mira, J.J. Metabolismo del calcio y su relación con la “mancha de madurez” del fruto de banano. Una revisión. Agron. Colomb. 2007, 25, 280–287. Available online: http://ref.scielo.org/rv9r7d (accessed on 2 December 2025).
  19. Kumar, N.K.; Reddy, C.M.; Rao, K.V.; Ramesh, Y.; Raju, S.K. Effect of different sources and levels of calcium on growth and yield of tomato (Solanum lycopersicum L.) in Alfisols. Plant Arch. 2024, 24, 66–70. [Google Scholar] [CrossRef]
  20. Chauhan, S.; Deependra, Y.; Kumar, S.; Kumar, R.; Kumar, A. Effect of calcium on the growth and yield of tomato (Solanum lycopersicum L.). Biol. Forum—Int. J. 2023, 15, 1162–1166. [Google Scholar]
  21. LAT Nitrogen. Calcium (Ca). 2024. Available online: https://www.lat-nitrogen.com/nutrients/calcium-(ca)-4 (accessed on 21 June 2024).
  22. Lv, H.; Pang, Z.; Chen, F.; Ji, H.; Wang, W.; Zhou, W.; Dong, J.; Li, J.; Liang, B. Effects of cultivation years on the distribution of nitrogen and base cations in 0–7 m soil profiles of plastic-greenhouse pepper. Agronomy 2024, 14, 1060. [Google Scholar] [CrossRef]
  23. Carvajal, R. Implementación sistema fertirriego por goteo localizado en cultivo de tomate tipo chonto Santa Clara cultivar Roble 956 F1 bajo condiciones de invernadero. Rev. Sennova Rev. Sist. Cienc. Tecnol. E Innov. 2021, 6, 11–24. [Google Scholar] [CrossRef]
  24. Lozano Sacoto, A.Y.; Peña Haro, C.A.; Chang Castro, E.V.; Gavilanes Muñoz, H.R.; Viera Aguilera, R.A. Aplicación del fertirriego en el rendimiento del cultivo de tomate, en zona Balzar-Guayas. Rev. Univ. Y Soc. 2023, 15, 49–56. [Google Scholar]
  25. Díaz-Vázquez, F.A.; Benavides-Mendoza, A.; Robledo-Torres, V.; Juárez-Maldonado, A.; García-León, Á; Sandoval-Rangel, A. Influencia de cuatro concentraciones de solución Steiner sobre los nutrientes en la solución del suelo y productividad en tomate (Solanum lycopersicum L.). Terra Latinoam. 2023, 41, 1–12. [Google Scholar] [CrossRef]
  26. Omokaro, G.O.; Osarhiemen, I.O.; Idama, V.; Airueghian, E.O.; West, S.T.; Igbigbi, F.E.; Nnake, D.C.; Obolokor, E.; Ahmed, A.; Omoshie, V.O. The Role of Organic Amendments and Their Impact on Soil Restoration: A Review. Asian J. Environ. Ecol. 2024, 23, 41–52. [Google Scholar] [CrossRef]
  27. Idim, K.S.; Obalum, S.E.; Igwe, C.A.; Ogbodo, E.N. Enhancing composting efficiency and nutrient retention through zeolite addition in poultry manure and sawdust composting. ACS Sustain. Chem. Eng. 2024, 12, 1340–1349. [Google Scholar] [CrossRef]
  28. Jindo, K.; Sonoki, T.; Sánchez-Monedero, M.A. Stabilizing organic matter and reducing methane emissions in composting with biochar to strengthen the role of compost in soil health. Soil Environ. Health 2025, 3, 100164. [Google Scholar] [CrossRef]
  29. García, J.; López, R.; Hernández, M.; Pérez, A. Organic amendments alter urban soil microbiomes and improve crop quality. Appl. Soil Ecol. 2024, 196, 105731. [Google Scholar] [CrossRef]
  30. Verma, S.B.; Singh, R.; Kumari, P. Enhancing soil health through organic inputs to sustain tomato production. BIO Web Conf. 2024, 66, 01012. [Google Scholar] [CrossRef]
  31. Das, A.R.; Raj, S.K.; Pillai, S.P.; Anith, K.N.; Jacob, D.; Vandanadevi, V.S.; Aparna, S.; Meenakshi, R.P. Composting-a viable option for converting poultry manure into a nutrient rich manure. World’s Poult. Sci. J. 2025, 81, 1259–1284. [Google Scholar] [CrossRef]
  32. Fan, H.; Liu, Z.; Wang, Q.; Zhang, Y.; Chen, J. Effects of organic fertilizer supply on soil properties and tomato yield. Sustainability 2023, 15, 4211. [Google Scholar] [CrossRef]
  33. Harris Moran/HM.Clause. (s.f.) Pony Express F1—Tomato (Determinate). Technical Data Sheet. Available online: https://www.latamseeds.mx/catalogo/tomate/tomate-saladette/tomate-determinado/tomate-pony-express (accessed on 13 November 2025).
  34. Harris Moran/HM.Clause. (s.f.) Palomo F1—Tomato (Determinate). Technical Data Sheet. Available online: https://www.latamseeds.mx/catalogo/tomate/tomate-saladette/tomate-determinado/tomate-palomo (accessed on 13 November 2025).
  35. Harris Moran/HM.Clause. (s.f.) Toro F1— Tomato (Determinate). Technical Data Sheet. Available online: https://www.elfield.com.mx/tienda/producto/tomate-hibrido-determinado-toro-harris-moran (accessed on 13 November 2025).
  36. Harris Moran/HM.Clause. (s.f.) Perseo F1—Tomato (Determinate). Technical Data Sheet. Available online: https://www.agrisolucion.com/soluciones/semillas/perseo-f1/ (accessed on 13 November 2025).
  37. Posit Team. RStudio: Integrated Development Environment for R, Version 4.5. Posit Software. PBC: Boston, MA, USA, 2025. Available online: https://posit.co/ (accessed on 12 September 2025).
  38. Barzgar, Z.; Towfighi, H.; Fathi-Gerdelidani, A.; Shahbazi, K.; Heidari, A.; Etesami, H.; Verrillo, M.; Savy, D.; Spaccini, R. Molecular determinants of humic and fulvic acids in enhancing micronutrient availability in calcareous soils: A comparative study on Fe, Mn, Zn, and Cu dynamics. Sci. Rep. 2025, 15, 34142. [Google Scholar] [CrossRef]
  39. Magomere, K.M.; Nchimbi-Msolla, S.; Tryphone, G.M. Effects of soil pH levels on iron and zinc concentrations of common bean (Phaseolus vulgaris L.) genotypes. Afr. J. Agric. Res. 2024, 20, 510–516. [Google Scholar] [CrossRef]
  40. Ricci, L.; Moreau, J.-L.; Petrova, N.; Olsson, T.; Al-Mansoori, F. Soil pH and its effect on nutrient availability in acidic and alkaline soils. J. Soil Future Res. 2021, 2, 46–56. [Google Scholar]
  41. Rodríguez-González, V.; Díaz-Cervantes, E. Potencial de los nanomateriales en la agricultura: Retos y oportunidades. Mundo Nano Rev. Interdiscip. Nanocienc. Nanotecnol. 2024, 17, 1e–20e. [Google Scholar] [CrossRef]
  42. De Freitas, S.T.; do Amarante, C.V.T.; Dandekar, A.M.; Mitcham, E.J. Shifting leaf-fruit calcium allocation reduces blossom-end rot incidence in tomato fruits. Front. Plant Sci. 2019, 10, 1089. [Google Scholar] [CrossRef]
  43. Bhandari, H.R.; Srivastava, K.; Reddy, G.E. Genetic variability, heritability and genetic advance for yield traits in tomato (Solanum lycopersicum L.). Int. J. Curr. Microbiol. App. Sci. 2017, 6, 4131–4138. [Google Scholar] [CrossRef]
  44. Titus, S.R.; Nirmala, D.; Rajasekhar, R.; Reddy, I.P. Genetic variability, heritability and genetic advance in tomato (Solanum lycopersicum L.). Int. J. Curr. Microbiol. Appl. Sci. 2020, 9, 2137–2143. [Google Scholar]
  45. AgriSolución. (s. f.) Semillas: Cuauhtémoc F1; Canek F1; Calafia F1; Aquiles F1; Aníbal F1; Toroty F1; Toro F1; Serengeti F1; Pony Express F1; Perseo F1. AgriSolución, Sección Semillas. Available online: https://www.agrisolucion.com/soluciones/semillas/?page=22 (accessed on 2 December 2025).
  46. Mayele, J.M.; Abu, F.R. Determination of the Effects of Selected Organic Fertilizers on the Growth and Production of Tomato (Lycopersicon esculentum: Rio Grande Variety) in Mundri West County, Western Equatoria State, South Sudan. Agric. Sci. 2023, 14, 1343–1374. [Google Scholar] [CrossRef]
  47. Bitrus Ardo, M.; Audu, P.I.; James, T.; Ali, H. Effects of spacing and poultry manure on the yield parameters of tomato (Solanum lycopersicum L.) in Yola Adamawa State, Nigeria. BW Acad. J. 2025, 12, 31–41. Available online: https://mail.bwjournal.org/index.php/bsjournal/article/view/3038 (accessed on 2 December 2025).
  48. Obadi, M.; Al-Doori, S.; Al-Mashhadani, J.; Al-Hassani, R. Enhancement in Tomato Yield and Quality Using Biochar and Plant Growth-Promoting Rhizobacteria. Plants 2024, 13, 1634. [Google Scholar] [CrossRef]
  49. Situmbeko, A.; Chibuye, S.; Phiri, A.; Phiri, G. The effect of giant kelp (Macrocystis spp.) organic matter amendment on growth and yield of tomato (Solanum lycopersicum). Version 1. Res. Sq. 2025. Preprint. [Google Scholar] [CrossRef]
  50. Yuda, P.P.; Setyono, Y.T.; y Nunun, B. Effect of plant growth-promoting rhizobacteria (PGPR) and chicken manure on the growth and yield of beans (Phaseolus vulgaris L.). Fac. Agric. Univ. Brawijaya 2017, 5, 1087–1815. [Google Scholar]
  51. Ungaro Korn, S. Evaluación de Enmiendas Orgánicas Sobre el Suelo y en el Cultivo de Tomate (Lycopersicum esculentum Mill.). Trabajo Final de Ingeniería Agronómica, Facultad de Ciencias Agrarias y Forestales, Universidad Nacional de La Plata, La Plata, Argentina, 2017; p. 38. Available online: http://sedici.unlp.edu.ar/handle/10915/64137 (accessed on 2 December 2025).
  52. Zdravkova, A.; Krishkova, I. Effect of chicken manure fertilization on vegetative and reproductive parameters of plum (Prunus domestica L.). Fruit Grow. Res. 2023, 39, 75–81. [Google Scholar] [CrossRef]
  53. Bernardo, R. Breeding for Quantitative Traits in Plants, 2nd ed.; Stemma Press: Woodbury, MN, USA, 2010; ISBN 978-0972072427. [Google Scholar]
  54. Rodríguez, N.; Cano, R.; Figueroa, U.; Favela, E.; Moreno, A.; Márquez, C.; Ochoa, E.; Preciado, P. Uso de abonos orgánicos en la producción de tomate en invernadero. Terra Latinoam. 2009, 27, 319–327. [Google Scholar]
  55. Adekiya, A.O.; Agbede, T.M.; Ojeniyi, S.O. Effect of poultry manure on soil properties, growth, and yield of tomato (Solanum lycopersicum L.) in Nigeria. Sci. Hortic. 2019, 246, 511–518. [Google Scholar] [CrossRef]
  56. Tao, Y.; Liu, T.; Wu, J.; Wu, Z.; Liao, D.; Shah, F.; Wu, W. Effect of combined application of chicken manure and inorganic nitrogen fertilizer on yield and quality of cherry tomato. Agronomy 2022, 12, 1574. [Google Scholar] [CrossRef]
  57. Suzuki, S.; Watanabe, S.; Omar, A.I.; Watanabe, F.; Shimada, S. Preliminary study on improvement of soil water retention characteristics by Spirulina. J. Arid. Land Stud. 2022, 32, 49–52. [Google Scholar]
  58. Alarcón, J.J.; Navarro, J.M.; Nicolás, E. Calcium in plants. In Plant Micronutrients; Springer: Cham, Switzerland, 2016; pp. 123–145. [Google Scholar]
  59. De Pascale, S.; Maggio, A.; Barbieri, G.; Ruggiero, C. Calcium fertigation improves fruit quality and shelf-life of two tomato genotypes grown in a Mediterranean environment. Front. Plant Sci. 2017, 8, 1132. [Google Scholar] [CrossRef]
  60. Marschner, P. Marschner’s Mineral Nutrition of Higher Plants, 3rd ed.; Academic Press: Cambridge, MA, USA, 2012. [Google Scholar]
  61. Kaya, C.; Higgs, D.; Murillo-Amador, B. Foliar calcium application and its effects on tomato fruit quality and postharvest shelf life. Sci. Hortic. 2015, 184, 101–106. [Google Scholar]
  62. Rouphael, Y.; Colla, G.; De Pascale, S.; El-Nakhel, C. Synergistic effects of grafting and fertigation with calcium and potassium on tomato yield and fruit quality. Sci. Hortic. 2017, 219, 201–208. [Google Scholar] [CrossRef]
  63. Barnett, H.L.; Hunter, B.B. Illustrated Genera of Imperfect Fungi; The American Phytopathological Society: St Paul, MN, USA, 2000; ISBN 978-0890541920. [Google Scholar]
  64. Watanabe, T. Pictorial Atlas of Soil and Seed Fungi: Morphologies of Cultured Fungi and Key to Species; CRC Press: Boca Raton, FL, USA, 2002; ISBN 978-0849311185. [Google Scholar]
Figure 1. Tomato plant growth as a function of each factor.
Figure 1. Tomato plant growth as a function of each factor.
Crops 06 00011 g001
Figure 2. Tomato plant stem diameter as a function of each factor.
Figure 2. Tomato plant stem diameter as a function of each factor.
Crops 06 00011 g002
Figure 3. Distribution of number of tomato fruits by quality, calcium level, and genotype (levels with the same letter have statistically equal means).
Figure 3. Distribution of number of tomato fruits by quality, calcium level, and genotype (levels with the same letter have statistically equal means).
Crops 06 00011 g003
Figure 4. Distribution of tomato fruit weight by quality, calcium level, and genotype (levels with the same letter have statistically equal means).
Figure 4. Distribution of tomato fruit weight by quality, calcium level, and genotype (levels with the same letter have statistically equal means).
Crops 06 00011 g004
Figure 5. Tomato plant growth as a function of each factor.
Figure 5. Tomato plant growth as a function of each factor.
Crops 06 00011 g005
Figure 6. Tomato plant stem diameter as a function of each factor.
Figure 6. Tomato plant stem diameter as a function of each factor.
Crops 06 00011 g006
Figure 7. Distribution of number of tomato fruits by quality, calcium level, and genotype (levels with the same letter have statistically equal means).
Figure 7. Distribution of number of tomato fruits by quality, calcium level, and genotype (levels with the same letter have statistically equal means).
Crops 06 00011 g007
Figure 8. Distribution of tomato fruit weight by quality, amendment, and genotype (levels with the same letter have statistically equal means).
Figure 8. Distribution of tomato fruit weight by quality, amendment, and genotype (levels with the same letter have statistically equal means).
Crops 06 00011 g008
Table 1. Factors and treatments under study.
Table 1. Factors and treatments under study.
Factors
Year 1Year 2
CalciumGenotypesAmendmentGenotypes
0 % calciumToroWithoutToro
Pony express Pony express
Palomo Palomo
Perseo Perseo
25 % calciumToroWithToro
Pony express Pony express
Palomo Palomo
Perseo Perseo
Table 2. Amount of fertilizer applied (in kg) per phenological stage with Ca.
Table 2. Amount of fertilizer applied (in kg) per phenological stage with Ca.
FertilizerVFFFBFHFEHTotal (kg)
Ca ( NO 3 ) 2 · 4 H 2 O 0.902.907.2018.0029.00
MgSO 4 · 7 H 2 O 1.505.1012.9031.9051.40
KH 2 PO 4 1.204.4014.009.6029.20
KNO 3 2.307.4033.4042.0085.20
( NH 4 ) 2 SO 4 3.8012.6030.7030.3078.50
Day0–2021–4041–8081–120
VF = vegetative–flowering; FF = flowering–beginning of fruiting; BFH = beginning of fruiting–1st harvest; FEH = 1st harvest–end of harvest.
Table 3. Amount of fertilizer applied per phenological stage without Ca.
Table 3. Amount of fertilizer applied per phenological stage without Ca.
FertilizerVFFFBFHFEHTotal (kg)
MgSO 4 · 7 H 2 O 1.505.1012.9031.9051.40
KH 2 PO 4 1.204.4014.009.6029.20
KNO 3 2.307.4033.4042.0085.20
( NH 4 ) 2 SO 4 3.8012.6031.8030.3078.50
Day0–2021–4041–8081–120
VF = vegetative–flowering; FF = flowering–beginning of fruiting; BFH = beginning of fruiting–1st harvest; FEH = 1st harvest–end of harvest.
Table 4. Foliar fertilizers used during tomato crop development.
Table 4. Foliar fertilizers used during tomato crop development.
Purpose of UseProduct NameDose (g or mL L−1)Application Period (dat)
Foliar fertilizerFertigro-Calcium360–80
Foliar fertilizerFertigro-Boron560–80
Foliar fertilizerFertigro-Zinc560–80
Foliar fertilizerFertigro-Iron560–80
Foliar fertilizerFertigro-Aluminum5100–121
Foliar fertilizerFertigro-Phosphorus5100–121
Foliar fertilizerFertigro-Calcium5100–121
Foliar fertilizerFertigro-Boron3100–121
Foliar fertilizerFertigro-Zinc5100–121
Foliar fertilizerFertigro-Calcium5122–128
Foliar fertilizerFertigro-Boron5129–135
Foliar fertilizerFertigro-Calcium5129–135
Note. dat = Days after transplanting.
Table 5. Analysis of variance and Tukey’s test for the height (m) of tomato genotypes as influenced by soil-applied Ca under protected conditions.
Table 5. Analysis of variance and Tukey’s test for the height (m) of tomato genotypes as influenced by soil-applied Ca under protected conditions.
FactorLevelVegetativeFloweringFruiting
15 dat22 dat27 dat34 dat41 dat48 dat55 dat62 dat
Ca (A)0%0.89 a0.92 a0.96 a1.05 a1.10 a1.20 a1.42 a1.51 a
25%0.87 a0.90 a0.93 a0.99 b1.06 b1.16 b1.31 b1.40 b
Genotype (B)Pony express0.89 ab0.93 ab0.97 ab1.03 b1.09 b1.19 b1.37 b1.46 b
Palomo0.81 b0.84 b0.87 c0.98 bc1.04 bc1.14 bc1.30 b1.39 b
Perseo0.98 ab1.01 a1.04 a1.15 a1.20 a1.30 a1.50 a1.59 a
Toro0.82 b0.85 b0.88 c0.93 c0.99 c1.09 c1.28 b1.37 b
SVPr > F
Rep0.40 ns0.50 ns0.14 ns0.05 ns0.09 ns0.09 ns0.19 ns0.19 ns
A0.58 ns0.49 ns0.30 ns<0.01 **0.01 *0.01 *<0.01 **<0.01 **
A × Rep0.16 ns0.33 ns0.32 ns0.91 ns0.93 ns0.93 ns0.97 ns0.97 ns
B<0.01 **<0.01 **<0.01 **<0.01 **<0.01 **<0.01 **<0.01 **<0.01 **
A × B0.69 ns0.81 ns0.83 ns0.75 ns0.73 ns0.73 ns0.74 ns0.74 ns
CV (%)8.028.356.695.585.615.135.755.39
dat = Days after transplanting. SV = Source of Variation. Means with the same letter are statistically identical. ns = not significant. * and ** = significant at p < 0.01 and p < 0.05, respectively.
Table 6. Analysis of variance and Tukey’s test for the stem diameter (cm) of tomato genotypes as influenced by soil-applied Ca under protected conditions.
Table 6. Analysis of variance and Tukey’s test for the stem diameter (cm) of tomato genotypes as influenced by soil-applied Ca under protected conditions.
FactorLevelVegetativeFloweringFruiting
15 dat22 dat27 dat34 dat41 dat48 dat55 dat62 dat
Ca (A)0%1.14 a1.20 a1.32 a1.37 a1.41 a1.46 a1.59 a1.65 a
25%1.09 a1.15 a1.34 a1.39 a1.43 a1.54 a1.59 a1.67 a
Genotype (B)Pony express1.11 a1.17 a1.34 a1.39 a1.43 a1.56 a1.61 a1.67 a
Palomo1.11 a1.16 a1.34 a1.39 a1.43 a1.47 a1.57 a1.64 a
Perseo1.12 a1.15 a1.26 a1.31 a1.35 a1.53 a1.59 a1.64 a
Toro1.13 a1.21 a1.38 a1.43 a1.47 a1.49 a1.57 a1.65 a
SVPr > F
Rep0.76 ns0.24 ns0.41 ns0.41 ns0.41 ns0.46 ns0.63 ns0.11 ns
A0.16 ns0.24 ns0.75 ns0.75 ns0.75 ns0.41 ns0.84 ns0.21 ns
A × Rep0.08 ns0.16 ns0.18 ns0.18 ns0.18 ns0.48 ns0.56 ns0.48 ns
B0.82 ns0.39 ns0.25 ns0.25 ns0.25 ns0.41 ns0.28 ns0.32 ns
A × B0.34 ns0.09 ns0.22 ns0.22 ns0.22 ns0.47 ns0.42 ns0.32 ns
CV (%)3.905.808.678.358.1243.003.061.67
dat = Days after transplanting. SV = Source of Variation. Means with the same letter are statistically identical. ns = not significant.
Table 7. Analysis of variance and Tukey test for the average fruit weight (g) of tomato genotypes as affected by the application of Ca, in soil, under protected conditions.
Table 7. Analysis of variance and Tukey test for the average fruit weight (g) of tomato genotypes as affected by the application of Ca, in soil, under protected conditions.
FactorLevelFirstSecond
Ca (A)0%144.22 a86.25 a
25%131.70 b82.50 a
Genotype (B)Pony express129.17 b84.79 ab
Palomo145.52 a88.02 a
Perseo153.96 a86.25 ab
Toro123.19 b78.44 b
SVPr > F
Rep 0.85 ns0.53 ns
A 0.01 *0.07 ns
A × Rep 0.77 ns0.74 ns
B <0.01 **0.02 *
A × B 0.10 ns0.86 ns
CV (%) 7.927.03
SV = Source of Variation. Means with the same letter are statistically identical. ns = not significant. * and ** = significant at p < 0.05 and p < 0.01, respectively.
Table 8. Analysis of variance and Tukey test for the average fruit diameter (cm) of tomato genotypes as affected by the application of Ca, in soil, under protected conditions.
Table 8. Analysis of variance and Tukey test for the average fruit diameter (cm) of tomato genotypes as affected by the application of Ca, in soil, under protected conditions.
FactorLevelFirst
Ca (A)0%5.78 a
25%5.32 b
Genotype (B)Pony express5.36 bc
Palomo5.70 ab
Perseo5.98 a
Toro5.17 c
SVPr > F
Rep 0.79 ns
A <0.01 **
A × Rep 0.76 ns
B <0.01 **
A × B 0.09 ns
CV (%) 6.58
SV = Source of Variation. Means with the same letter are statistically identical. ns = not significant. ** = significant at p < 0.05.
Table 9. Analysis of variance and Tukey test for the average fruit length (cm) of tomato genotypes as affected by the application of Ca, in soil, under protected conditions.
Table 9. Analysis of variance and Tukey test for the average fruit length (cm) of tomato genotypes as affected by the application of Ca, in soil, under protected conditions.
FactorLevelFirstSecond
Ca (A)0%7.24 a6.33 a
25%7.01 a6.21 a
Genotype (B)Pony express7.19 ab6.36 a
Palomo7.14 ab6.37 a
Perseo7.39 a6.44 a
Toro6.80 b5.91 b
SVPr > F
Rep 0.63 ns0.38 ns
A 0.17 ns0.32 ns
A × Rep 0.30 ns0.30 ns
B 0.01 *<0.01 **
A × B 0.09 ns0.54 ns
CV (%) 4.453.93
SV = Source of Variation. Means with the same letter are statistically identical. ns = not significant. * and ** = significant at p < 0.05 and p < 0.01, respectively.
Table 10. Analysis of variance and Tukey test for the number of tomato fruits per quality category, as affected by the application of Ca, in soil, under protected conditions.
Table 10. Analysis of variance and Tukey test for the number of tomato fruits per quality category, as affected by the application of Ca, in soil, under protected conditions.
FactorLevelFirstSecondThirdFourthMarketableTotal
Ca (A)0%16.80 a42.26 a17.08 a4.79 a76.13 a80.92 a
25%9.94 b37.74 a22.24 a6.24 a69.92 a76.15 a
Genotype (B)Pony express14.83 a44.74 a21.04 b5.32 b80.61 a85.93 a
Palomo15.13 a41.51 ab19.66 b6.21 ab76.30 a82.51 a
Perseo15.06 a34.66 b12.79 c3.03 c62.51 b65.55 b
Toro8.44 b39.09 ab25.14 a7.49 a72.67 ab80.16 a
SVPr > F
Rep 0.66 ns0.50 ns0.10 ns0.13 ns0.14 ns0.09 ns
A <0.01 **0.08 ns0.09 ns0.11 ns0.09 ns0.15 ns
A × Rep 0.86 ns0.45 ns0.31 ns0.24 ns0.49 ns0.52 ns
B <0.01 **<0.01 **<0.01 **<0.01 **<0.01 **<0.01 **
A × B 0.69 ns0.89 ns0.36 ns0.17 ns0.39 ns0.23 ns
CV (%) 22.4612.7914.6126.5010.7910.19
SV = Source of Variation. Means with the same letter are statistically identical. ns = not significant. ** = significant at p < 0.05.
Table 11. Analysis of variance and Tukey test for the distribution of tomato fruit weight (kg m−2) by quality categories, as affected by the application of Ca, in soil, under protected conditions.
Table 11. Analysis of variance and Tukey test for the distribution of tomato fruit weight (kg m−2) by quality categories, as affected by the application of Ca, in soil, under protected conditions.
FactorLevelFirstSecondThirdTotal
Ca (A)0%2.16 a3.24 a0.60 b6.08 a
25%1.25 b2.64 b0.84 a4.88 b
Genotype (B)Pony express1.84 a3.17 a0.73 b5.82 a
Palomo1.93 a3.02 a0.70 b5.76 a
Perseo2.06 a2.76 a0.50 c5.41 a
Toro1.00 b2.81 a0.96 a4.95 a
SVPr > F
Rep 0.47 ns0.24 ns0.83 ns0.25 ns
A <0.01 **0.02 *<0.01 **<0.01 *
A × Rep 0.75 ns0.43 ns0.97 ns0.53 ns
B <0.01 **0.18 ns<0.01 **0.09 ns
A × B 0.59 ns0.47 ns0.13 ns0.41 ns
CV (%) 23.4813.7618.5213.02
SV = Source of Variation. Means with the same letter are statistically identical. ns = not significant. * and ** = significant at p < 0.05 and p < 0.01, respectively.
Table 12. Analysis of variance and Tukey’s test for tomato plant height (m) of genotypes as influenced by soil amendment (with and without) under open-field conditions.
Table 12. Analysis of variance and Tukey’s test for tomato plant height (m) of genotypes as influenced by soil amendment (with and without) under open-field conditions.
FactorLevel23 dat30 dat37 dat44 dat51 dat58 dat
Amendment (A)Without0.23 b0.36 b0.51 b0.65 b0.68 b0.71 b
With0.25 a0.42 a0.58 a0.71 a0.76 a0.85 a
Genotype (B)Pony express0.23 b0.37 b0.51 b0.66 b0.70 a0.75 b
Palomo0.21 b0.35 b0.54 b0.67 b0.75 a0.84 a
Perseo0.28 a0.47 a0.60 a0.70 a0.72 a0.75 b
Toro0.23 b0.38 b0.52 b0.66 b0.72 a0.78 b
SVPr > F
Rep0.58 ns0.39 ns0.47 ns0.34 ns0.62 ns0.65 ns
A0.03 *0.03 *<0.01 **0.03 *<0.01 **<0.01 **
A × Rep0.58 ns0.15 ns0.67 ns0.21 ns0.86 ns0.86 ns
B<0.01 **<0.01 **<0.01 **<0.01 **0.14 ns<0.01 **
A × B0.51 ns0.82 ns0.53 ns0.57 ns0.71 ns0.26 ns
CV (%)7.757.597.295.315.355.14
dat = Days after transplanting. SV = Source of Variation. Means followed by the same letter are not significantly different according to Tukey’s test. ns = not significant. * and ** = significant at p < 0.05 and p < 0.01, respectively.
Table 13. Analysis of variance and Tukey’s test for the stem diameter (cm) of tomato genotypes as influenced by soil amendment (with and without) under open-field conditions.
Table 13. Analysis of variance and Tukey’s test for the stem diameter (cm) of tomato genotypes as influenced by soil amendment (with and without) under open-field conditions.
FactorLevel23 dat30 dat37 dat44 dat51 dat58 dat
Amendment (A)Without0.74 b0.91 b1.17 b1.25 b1.30 b1.41 b
With0.95 a1.19 a1.44 a1.58 a1.60 a1.73 a
Genotype (B)Pony express0.87 a1.04 b1.30 b1.43 a1.45 bc1.56 bc
Palomo0.91 a1.15 a1.44 a1.54 a1.57 a1.74 a
Perseo0.74 b0.94 c1.16 c1.24 b1.33 c1.43 c
Toro0.88 a1.08 b1.33 b1.43 a1.49 b1.57 b
SVPr > F
Rep0.41 ns1.00 ns0.72 ns0.82 ns0.42 ns0.07 ns
A0.04 *0.01 *0.04 *0.03 *<0.01 **<0.01 **
A × Rep0.08 ns0.09 ns0.12 ns0.07 ns0.73 ns0.08 ns
B<0.01 **<0.01 **<0.01 **<0.01 **<0.01 **<0.01 **
A × B0.08 ns0.09 ns0.07 ns0.25 ns0.08 ns0.10 ns
CV (%)7.574.867.139.506.445.75
dat = Days after transplanting. SV = Source of Variation. Means followed by the same letter are not significantly different according to Tukey’s test. ns = not significant. * and ** = significant at p < 0.05 and p < 0.01, respectively.
Table 14. Analysis of variance and Tukey’s test for the average fruit weight (g) of tomato genotypes of first and second quality as influenced by soil amendment (with and without) under open-field conditions.
Table 14. Analysis of variance and Tukey’s test for the average fruit weight (g) of tomato genotypes of first and second quality as influenced by soil amendment (with and without) under open-field conditions.
FactorLevelFirst (g)Second (g)
Amendment (A)Without138 a80 a
With140 a80 a
Genotype (B)Pony express140 ab80 a
Palomo120 b90 a
Perseo160 a80 a
Toro130 b90 a
SVPr > F
Rep0.05 ns0.94 ns
A0.11 ns0.60 ns
A × Rep0.20 ns0.62 ns
B<0.01 **0.09 ns
A × B1.00 ns0.80 ns
CV (%)13.679.53
SV = Source of Variation. Means followed by the same letter are not significantly different according to Tukey’s test. ns = not significant. ** = significant at p < 0.05.
Table 15. Analysis of variance and Tukey’s test for the fruit diameter (cm) of tomato genotypes in the first and second harvests as influenced by soil amendment (with and without) under open-field conditions.
Table 15. Analysis of variance and Tukey’s test for the fruit diameter (cm) of tomato genotypes in the first and second harvests as influenced by soil amendment (with and without) under open-field conditions.
FactorLevelFirstSecond
Amendment (A)Without5.42 a4.62 a
With5.71 a4.63 a
Genotype (B)Pony express5.38 a4.52 b
Palomo5.07 a4.92 a
Perseo5.78 a4.15 c
Toro5.64 a4.92 a
SVPr > F
Rep0.09 ns0.22 ns
A0.12 ns0.97 ns
A × Rep0.28 ns0.08 ns
B0.09 ns<0.01 **
A × B0.47 ns0.14 ns
CV (%)10.185.36
SV = Source of Variation. Means followed by the same letter are not significantly different according to Tukey’s test. ns = not significant. ** = significant at p < 0.05.
Table 16. Analysis of variance and Tukey’s test for the fruit length (cm) of tomato genotypes in the first- and second-quality categories as influenced by soil amendment (with and without) under open-field conditions.
Table 16. Analysis of variance and Tukey’s test for the fruit length (cm) of tomato genotypes in the first- and second-quality categories as influenced by soil amendment (with and without) under open-field conditions.
FactorLevelFirstSecond
Amendment (A)Without6.56 a5.93 a
With7.08 a5.94 a
Genotype (B)Pony express7.05 ab6.25 a
Palomo6.33 b5.99 a
Perseo7.60 a5.75 a
Toro6.32 b5.75 a
SVPr > F
Rep0.12 ns0.69 ns
A0.16 ns0.95 ns
A × Rep0.39 ns0.68 ns
B<0.01 **0.15 ns
A × B0.48 ns0.12 ns
CV (%)11.278.15
SV = Source of Variation. Means followed by the same letter are not significantly different according to Tukey’s test. ns = not significant. ** = significant at p < 0.05.
Table 17. Analysis of variance and Tukey’s test for the average number of fruits per square meter by quality categories of tomato genotypes as influenced by soil amendment (with and without) under open-field conditions.
Table 17. Analysis of variance and Tukey’s test for the average number of fruits per square meter by quality categories of tomato genotypes as influenced by soil amendment (with and without) under open-field conditions.
FactorLevelFirstSecondThirdFourthMarketableTotal
Amendment (A)Without18.98 b24.54 a3.96 b13.61 a47.48 b61.08 b
With27.63 a27.15 a6.06 a16.13 a60.83 a76.96 a
Genotype (B)Pony express26.50 a22.34 b3.25 b18.13 a52.08 b70.21 b
Palomo20.25 a32.71 a8.21 a20.04 a61.17 b81.21 a
Perseo20.25 a7.46 c1.33 b9.17 b29.04 c38.21 c
Toro26.21 a40.88 a7.25 a12.12 b74.33 a86.46 a
SVPr > F
Rep0.10 ns0.11 ns0.19 ns0.37 ns0.09 ns0.12 ns
A<0.01 **0.44 ns0.16 ns0.27 ns0.04 *0.07 ns
A × Rep0.92 ns0.26 ns0.11 ns0.47 ns0.15 ns0.20 ns
B0.08 ns<0.01 **<0.01 **0.01 *<0.01 **<0.01 **
A × B0.61 ns0.17 ns0.42 ns0.58 ns0.23 ns0.31 ns
CV (%)26.2526.6042.1738.3814.7210.64
SV = Source of Variation. Means followed by the same letter are not significantly different according to Tukey’s test. ns = not significant. * and ** = significant at p < 0.05 and p < 0.01, respectively.
Table 18. Analysis of variance and Tukey’s test for the fruit weight (kg m−2) of tomato genotypes by quality grades as influenced by soil amendment (with and without) under open-field conditions.
Table 18. Analysis of variance and Tukey’s test for the fruit weight (kg m−2) of tomato genotypes by quality grades as influenced by soil amendment (with and without) under open-field conditions.
FactorLevelFirstSecondThirdFourthMarketableTotal
Amendment (A)Without2.41 b1.84 a0.24 a1.05 a4.48 b5.53 b
With3.49 a2.02 a0.31 a1.26 a5.82 a7.08 a
Genotype (B)Pony express3.35 a1.66 b0.22 ab1.39 a5.24 b6.63 a
Palomo2.38 a2.33 b0.37 a1.25 a5.08 b6.33 a
Perseo3.09 a0.63 c0.11 b1.10 a3.82 c4.93 b
Toro2.98 a3.08 a0.41 a0.88 a6.47 a7.35 a
SVPr > F
Rep0.11 ns0.20 ns0.77 ns0.89 ns0.21 ns0.10 ns
A<0.01 **0.48 ns0.46 ns0.18 ns0.03 *0.04 *
A × Rep0.73 ns0.24 ns0.07 ns0.59 ns0.27 ns0.13 ns
B0.09 ns<0.01 **<0.01 **0.14 ns<0.01 **<0.01 **
A × B0.90 ns0.24 ns0.38 ns0.25 ns0.54 ns0.87 ns
CV (%)24.9326.5630.2037.2914.9512.98
SV = Source of Variation. Means followed by the same letter are not significantly different according to Tukey’s test. ns = not significant. * and ** = significant at p < 0.05 and p < 0.01, respectively.
Disclaimer/Publisher’s Note: The statements, opinions and data contained in all publications are solely those of the individual author(s) and contributor(s) and not of MDPI and/or the editor(s). MDPI and/or the editor(s) disclaim responsibility for any injury to people or property resulting from any ideas, methods, instructions or products referred to in the content.

Share and Cite

MDPI and ACS Style

Moctezuma, C.D.C.; Herrera, A.F.A.; Salgado, J.T.; Arriaga, E.P.; Godínez-Jaimes, F.; Martínez, M.G.; Díaz-Nájera, J.F.; Carreto, R.R.; García-Preciado, J.C.; Chamú-Baranda, J.A. Effect of Two Calcium Levels and a Chicken Manure-Based Soil Amendment on Tomato Hybrid Performance. Crops 2026, 6, 11. https://doi.org/10.3390/crops6010011

AMA Style

Moctezuma CDC, Herrera AFA, Salgado JT, Arriaga EP, Godínez-Jaimes F, Martínez MG, Díaz-Nájera JF, Carreto RR, García-Preciado JC, Chamú-Baranda JA. Effect of Two Calcium Levels and a Chicken Manure-Based Soil Amendment on Tomato Hybrid Performance. Crops. 2026; 6(1):11. https://doi.org/10.3390/crops6010011

Chicago/Turabian Style

Moctezuma, Carlos David Carretillo, Abraham Francisco Aponte Herrera, José Terrones Salgado, Edgar Pérez Arriaga, Flaviano Godínez-Jaimes, María Guzmán Martínez, José Francisco Díaz-Nájera, Ramón Reyes Carreto, José C. García-Preciado, and Juan Antonio Chamú-Baranda. 2026. "Effect of Two Calcium Levels and a Chicken Manure-Based Soil Amendment on Tomato Hybrid Performance" Crops 6, no. 1: 11. https://doi.org/10.3390/crops6010011

APA Style

Moctezuma, C. D. C., Herrera, A. F. A., Salgado, J. T., Arriaga, E. P., Godínez-Jaimes, F., Martínez, M. G., Díaz-Nájera, J. F., Carreto, R. R., García-Preciado, J. C., & Chamú-Baranda, J. A. (2026). Effect of Two Calcium Levels and a Chicken Manure-Based Soil Amendment on Tomato Hybrid Performance. Crops, 6(1), 11. https://doi.org/10.3390/crops6010011

Article Metrics

Back to TopTop