Sign in to use this feature.

Years

Between: -

Subjects

remove_circle_outline
remove_circle_outline
remove_circle_outline
remove_circle_outline
remove_circle_outline
remove_circle_outline
remove_circle_outline

Journals

Article Types

Countries / Regions

Search Results (21)

Search Parameters:
Keywords = cold-hardy grapes

Order results
Result details
Results per page
Select all
Export citation of selected articles as:
17 pages, 2594 KB  
Article
Different Yeast Strain Effects on ‘King of the North’ Wine Chemical, Chromatic, and Descriptive Sensory Characteristics
by Zhuoyu Wang, Andrej Svyantek, Venkateswara Rao Kadium, Sarah Bogenrief and Harlene Hatterman-Valenti
Fermentation 2025, 11(5), 262; https://doi.org/10.3390/fermentation11050262 - 6 May 2025
Cited by 1 | Viewed by 1611
Abstract
‘King of the North’ (‘KON’), as a cold-hardy grape, has many advantages, such as tolerance to a wide range of soil conditions and harsh winter climate. Due to the adapting demand of North Dakota’s fruit and wine industry, optimized quality of wine from [...] Read more.
‘King of the North’ (‘KON’), as a cold-hardy grape, has many advantages, such as tolerance to a wide range of soil conditions and harsh winter climate. Due to the adapting demand of North Dakota’s fruit and wine industry, optimized quality of wine from regionally productive grapevines is required. In this study, yeast strain, one of the primary fermentation tactics, was tested on ‘KON’ grapes. Five different commercial yeast strains, including 71B, EC1118, Maurivin B, Rhône 4600, and W15, were added to initiate fermentation. The analysis of grape must characteristics and the fermentation dynamic changes indicated a high correlation between color and acid metrics. Yeast strains have influenced the color dynamic changes and fermentation process. The panelist sensory evaluations confirmed that yeast strains contributed differently to the perceived aromas and flavors within ‘KON’ wines. Rose, apple, grape, and apricot aromas were distinguished in ‘KON’ wines. The lemon taste was the dominant flavor detected in ‘KON’ wines. However, wines were also varied based on the extent of the aroma or taste observed. Therefore, exploring the use of different yeast strains for fermentation provides information for further application to cold-hardy grape cultivars and other high-acid fruit, aiding winemakers in using North American grapes with diverse fruit chemistry. Full article
(This article belongs to the Special Issue Biotechnology in Winemaking)
Show Figures

Figure 1

18 pages, 3001 KB  
Review
Adaptive Viticulture Strategies to Enhance Resilience and Grape Quality in Cold Climate Regions in Response to Climate Warming
by Gastón Gutiérrez-Gamboa and Ana Mucalo
Horticulturae 2025, 11(4), 394; https://doi.org/10.3390/horticulturae11040394 - 8 Apr 2025
Cited by 5 | Viewed by 3766
Abstract
Cold climate viticulture is challenged by climatic variability, including increased frost risk, shorter growing seasons, and unpredictable weather events that impact vine productivity and grape quality. Global warming is altering traditional viticulture zones, prompting the exploration of new regions for grape cultivation, the [...] Read more.
Cold climate viticulture is challenged by climatic variability, including increased frost risk, shorter growing seasons, and unpredictable weather events that impact vine productivity and grape quality. Global warming is altering traditional viticulture zones, prompting the exploration of new regions for grape cultivation, the selection of climate-resilient cultivars, and the implementation of adaptive practices. This review synthesizes recent advances in adaptive viticulture practices and plant growth regulator applications, highlighting novel molecular and physiological insights on cold stress resilience and berry quality. Key strategies include delayed winter pruning to mitigate frost damage, osmoprotectant application to improve freeze tolerance, and canopy management techniques (cluster thinning and defoliation) to enhance berry ripening and wine composition. Their effectiveness depends on vineyard microclimate, soil properties and variety-specific physiological response. Cover cropping is examined for its role in vine vigor regulation, improving soil microbial diversity, and water retention, though its effectiveness depends on soil type, participation patterns, and vineyard management practices. Recent transcriptomic and metabolomic studies have provided new regulatory mechanisms in cold stress adaptation, highlighting the regulatory roles of abscisic acid, brassinosteroids, ethylene, and salicylic acid in dormancy induction, oxidative stress response, and osmotic regulation. Reflective mulch technologies are currently examined for their ability to enhance light interception, modulating secondary metabolite accumulation, improving technological maturity (soluble solids, pH, and titratable acidity) and enhancing phenolic compounds content. The effectiveness of these strategies remains highly site-specific, influenced by variety selection and pruning methods particularly due to their differences on sugar accumulation and berry weight. Future research should prioritize long-term vineyard trials to refine these adaptive strategies, integrate genetic and transcriptomic insights into breeding programs to improve cold hardiness, and develop precision viticulture tools tailored to cold climate vineyard management. Full article
(This article belongs to the Section Viticulture)
Show Figures

Graphical abstract

14 pages, 1028 KB  
Article
How Does Extended Maceration Affect Tannin and Color of Red Wines from Cold-Hardy Grape Cultivars?
by Aude A. Watrelot and Nicolas Delchier
Foods 2025, 14(7), 1187; https://doi.org/10.3390/foods14071187 - 28 Mar 2025
Cited by 3 | Viewed by 1641
Abstract
Red wines produced with interspecific grape cultivars tend to have low tannin concentration and are therefore unbalanced. Extended maceration (EM) is a common winemaking technique which can promote the extraction of tannins from grape skins and seeds. The goal of this study was [...] Read more.
Red wines produced with interspecific grape cultivars tend to have low tannin concentration and are therefore unbalanced. Extended maceration (EM) is a common winemaking technique which can promote the extraction of tannins from grape skins and seeds. The goal of this study was to evaluate the effect of EM on the tannin concentration, color intensity and other chemical properties of red wines made from cold-hardy grape cultivars. The wines were made from two cold-hardy interspecific grape cultivars (Marquette, and Petite Pearl) for either 7 days (control) or 21 days (EM) before pressing. Chemical analysis of the wines was conducted to determine their tannin concentration and color parameters at different stages of the process and after 14 months of aging. EM resulted in an improvement in the iron-reactive phenolic content of Marquette red wines (from 582 to 969 mg/L at bottling in control and EM wines, respectively), but no significant improvement in tannin content. The hue of Petite Pearl wines increased following EM only at pressing, and color intensity of those wines decreased at pressing and bottling by 43% and 52%, respectively. This study was the first one conducted on non-Vitis vinifera grapes which showed a lack of impact of EM on the phenolics and tannin concentration in the red wines made in 2022. Full article
(This article belongs to the Section Drinks and Liquid Nutrition)
Show Figures

Figure 1

28 pages, 10188 KB  
Article
Potential of a Remotely Piloted Aircraft System with Multispectral and Thermal Sensors to Monitor Vineyard Characteristics for Precision Viticulture
by Leeko Lee, Andrew Reynolds, Briann Dorin and Adam Shemrock
Plants 2025, 14(1), 137; https://doi.org/10.3390/plants14010137 - 6 Jan 2025
Cited by 1 | Viewed by 1772
Abstract
Grapevines are subjected to many physiological and environmental stresses that influence their vegetative and reproductive growth. Water stress, cold damage, and pathogen attacks are highly relevant stresses in many grape-growing regions. Precision viticulture can be used to determine and manage the spatial variation [...] Read more.
Grapevines are subjected to many physiological and environmental stresses that influence their vegetative and reproductive growth. Water stress, cold damage, and pathogen attacks are highly relevant stresses in many grape-growing regions. Precision viticulture can be used to determine and manage the spatial variation in grapevine health within a single vineyard block. Newer technologies such as remotely piloted aircraft systems (RPASs) with remote sensing capabilities can enhance the application of precision viticulture. The use of remote sensing for vineyard variation detection has been extensively investigated; however, there is still a dearth of literature regarding its potential for detecting key stresses such as winter hardiness, water status, and virus infection. The main objective of this research is to examine the performance of modern remote sensing technologies to determine if their application can enhance vineyard management by providing evidence-based stress detection. To accomplish the objective, remotely sensed data such as the normalized difference vegetation index (NDVI) and thermal imaging from RPAS flights were measured from six commercial vineyards in Niagara, ON, along with the manual measurement of key viticultural data including vine water stress, cold stress, vine size, and virus titre. This study verified that the NDVI could be a useful metric to detect variation across vineyards for agriculturally important variables including vine size and soil moisture. The red-edge and near-infrared regions of the electromagnetic reflectance spectra could also have a potential application in detecting virus infection in vineyards. Full article
Show Figures

Figure 1

16 pages, 983 KB  
Article
Synergetic Effect of Accentuated Cut Edges (ACE) and Macerating Enzymes on Aroma and Sensory Profiles of Marquette Red Wine
by Yiliang Cheng and Aude A. Watrelot
Fermentation 2024, 10(12), 624; https://doi.org/10.3390/fermentation10120624 - 6 Dec 2024
Viewed by 1590
Abstract
This research explored the effects of using Accentuated Cut Edges (ACE) and macerating enzymes on the aroma and sensory profile of Marquette red wines after nine months of aging. The aroma analysis was conducted using gas chromatography-mass spectrometry (GC-MS) with solid-phase microextraction (SPME). [...] Read more.
This research explored the effects of using Accentuated Cut Edges (ACE) and macerating enzymes on the aroma and sensory profile of Marquette red wines after nine months of aging. The aroma analysis was conducted using gas chromatography-mass spectrometry (GC-MS) with solid-phase microextraction (SPME). The intensity of basic sensory attributes, including color, aroma, taste, and mouthfeel, were evaluated by eight trained panelists through descriptive analysis using 15 cm line scales. ACE treatment affected the aroma compounds profile, as suggested by the increased response ratio of ethyl butanoate, ethyl 2-methylpropanoate, and ethyl 3-methylbutanoate. Statistically, it significantly intensified honey (by 1.6 times) and green apple (by 2.1 times) notes, as perceived by panelists, compared to the control during the sensory descriptive analysis. Regardless of the type of enzymes, combined ACE and enzymes treatment amplified the color intensity of wine by up to 71.4% as observed by panelists, though this was not captured by spectrophotometric measurements (p > 0.05) from the previous study. A lower concentration of ester-derived compounds was found in ACE with enzymes wines, which was associated with the lower intensity of fruity notes during the descriptive analysis. Notably, none of the treatments affected astringency perception, likely due to the low concentration and small molecular weight of condensed tannins, alongside changes in the composition of soluble polysaccharide in Marquette red wines. Full article
(This article belongs to the Special Issue Science and Technology of Winemaking)
Show Figures

Figure 1

17 pages, 3486 KB  
Article
Tannin and Iron-Reactive Phenolics Content in Red Cold-Hardy Hybrid Grape Tissues throughout Development and Ripening
by Alexander D. Gapinski, Nicolas Delchier and Aude A. Watrelot
Foods 2024, 13(7), 986; https://doi.org/10.3390/foods13070986 - 23 Mar 2024
Cited by 3 | Viewed by 2031
Abstract
Phenolic compounds, especially tannins, are important for red wine quality. Wines made from cold-hardy hybrid grape cultivars have much lower tannin concentrations than wines from Vitis vinifera grape cultivars. This study assessed the phenolics content of berry tissues of three red cold-hardy hybrid [...] Read more.
Phenolic compounds, especially tannins, are important for red wine quality. Wines made from cold-hardy hybrid grape cultivars have much lower tannin concentrations than wines from Vitis vinifera grape cultivars. This study assessed the phenolics content of berry tissues of three red cold-hardy hybrid cultivars in comparison to V. vinifera cv. ‘Pinot noir’ throughout development and ripening. Basic chemical properties, iron-reactive phenolics content, and tannin content were evaluated in the juice, skins, and seeds of Vitis spp. cvs. ‘Crimson Pearl’, ‘Marquette’, and ‘Petite Pearl’ and ‘Pinot noir’ at six time points from one week post-fruit set to harvest in 2021 and 2022. ‘Crimson Pearl’ displayed similar iron-reactive phenolics and tannin contents in juice, skins (22.6–25.4 mg/g dry skin and 8.0–12.2 mg/g dry skin, respectively), and seeds (12.8–29.8 mg/g dry seed and 4.2–22.0 mg/g dry seed, respectively) as ‘Petite Pearl’ and ‘Marquette’ at harvest in 2022. The hybrid cultivars showed a similar trend of phenolic accumulation as ‘Pinot noir’ but resulted in overall lower content in skins and seeds. Despite differences in developmental trends, the three hybrid grape cultivars displayed similar phenolic content at harvest ripeness. This is the first study examining the phenolic content of ‘Crimson Pearl’ and ‘Petite Pearl’ throughout berry development and ripening. This study provides important information for the wine industry to make informed decisions on making wine with these cultivars. Full article
(This article belongs to the Section Plant Foods)
Show Figures

Figure 1

15 pages, 2407 KB  
Article
Impact of Steam Extraction and Maceration Duration on Wines from Frozen ‘Frontenac’ Must
by Andrej Svyantek, Zhuoyu Wang and Harlene Hatterman-Valenti
Fermentation 2023, 9(4), 317; https://doi.org/10.3390/fermentation9040317 - 23 Mar 2023
Cited by 3 | Viewed by 2187
Abstract
The enology industry in North Dakota is extremely young, with less than twenty years of existence. At times throughout the development of the North Dakota viticulture and enology industries, commercial wine producers have elected to purchase or store fresh harvested grapes as frozen [...] Read more.
The enology industry in North Dakota is extremely young, with less than twenty years of existence. At times throughout the development of the North Dakota viticulture and enology industries, commercial wine producers have elected to purchase or store fresh harvested grapes as frozen musts. To investigate the fermentation outcomes related to skin contact for red grapevine musts, a postfreeze fermentation experiment was conducted with fruit from ‘Frontenac’, one of the most widely grown red grapevines in the Upper Midwest U.S. and North Dakota. Four fermentation treatments were applied to frozen ‘Frontenac’ grapevine musts: steam juice extraction, rosé, 1 day after inoculation (DAI) skin contact, and 9 DAI skin contact. Samples were collected daily for ten days and analyzed for fermentation progress and spectrophotometric monitoring of wine color attributes and total phenolics. The final wines were analyzed two years after bottling. Steam-extracted musts were initially darkest; however, they were lighter as final wines than the 9 DAI wines and similar to rosé wines in lightness. Total phenolics were greatest for 9 DAI wines and total red pigments were lowest for steam-extracted wines. While differences between treatments were detected, the wines remained visually similar; this indicates that color extraction within the freeze–thaw processes of musts may obliterate subtly and make it difficult to produce wines of light color when stored under these conditions. Continued work with additional grapevines beyond ‘Frontenac’ may help fine-tune must and fermentation extraction procedures for small-scale wineries growing cold-hardy grapevines. Full article
(This article belongs to the Collection New Aspect on Wine Fermentation)
Show Figures

Figure 1

12 pages, 724 KB  
Article
Effects of Saignée and Bentonite Treatment on Phenolic Compounds of Marquette Red Wines
by Yiliang Cheng and Aude A. Watrelot
Molecules 2022, 27(11), 3482; https://doi.org/10.3390/molecules27113482 - 28 May 2022
Cited by 14 | Viewed by 3036
Abstract
To improve the phenolic extraction and color stability of red wine made from cold-hardy grapes, two winemaking practices, saignée and bentonite, were applied separately and in combination on Marquette grapes at crushing. The effects of these winemaking strategies on Marquette wine’s basic chemical [...] Read more.
To improve the phenolic extraction and color stability of red wine made from cold-hardy grapes, two winemaking practices, saignée and bentonite, were applied separately and in combination on Marquette grapes at crushing. The effects of these winemaking strategies on Marquette wine’s basic chemical properties, monomeric and polymeric phenolic compounds were studied, as well as the development of color characteristics from crushing to 5 months of aging. The saignée (9% juice run-off) treatment showed little impact on the phenolic content of the finished wine, but showed an increase in color intensity. A hue shift towards an orange-yellow tone was observed in the bentonite-treated wines, which was associated with a loss of monomeric anthocyanins. The combination of saignée and bentonite showed less impact on removing anthocyanins and wine color, and increased phenolics content, therefore improving the extraction of non-anthocyanins monomeric phenolics. Although this combination treatment led to the highest concentration of tannin content after pressing, this difference between the control and other treatments disappeared over time. These results suggested that the interactions between tannins and other wine compounds still occur after removing proteins in Marquette wines. Full article
(This article belongs to the Section Food Chemistry)
Show Figures

Figure 1

15 pages, 1141 KB  
Article
Effect of the Application Time of Accentuated Cut Edges (ACE) on Marquette Wine Phenolic Compounds
by Yiliang Cheng, Jennifer Rae Savits and Aude Annie Watrelot
Molecules 2022, 27(2), 542; https://doi.org/10.3390/molecules27020542 - 15 Jan 2022
Cited by 14 | Viewed by 3617
Abstract
Cold-hardy interspecific hybrid grape varieties (Vitis spp.) have distinctive chemical compositions such as high acidity, a high content of anthocyanin diglucoside and a low condensed tannins content, compared to Vitis vinifera varieties. Considering the importance of phenolic compounds on the quality of [...] Read more.
Cold-hardy interspecific hybrid grape varieties (Vitis spp.) have distinctive chemical compositions such as high acidity, a high content of anthocyanin diglucoside and a low condensed tannins content, compared to Vitis vinifera varieties. Considering the importance of phenolic compounds on the quality of red wine, a mechanical maceration technique, accentuated cut edges (ACE), has been evaluated when applied directly to crushed grapes (ACE-C), and 24 h before pressing (ACE-P), to improve the extraction of phenolic compounds. Samples were collected at crushing, bottling, and after five months of aging. Phenolic compounds and color characteristics of the wines were analyzed by high-performance liquid chromatography (HPLC) with diode array and fluorescence detectors and UV-Visible spectrophotometry. The color intensity, non-anthocyanin monomeric compounds and total iron-reactive phenolics content increased after applying ACE, compared to the control (CTL) after aging, and was significantly higher (37%) after ACE-C, compared to ACE-P. However, the concentration of condensed tannins was below the limit of detection in all the samples, indicating that ACE did not help their extraction or further interactions occurred with disrupted cell wall material. Applying ACE at crushing was considered as the optimum time to achieve a higher color stability in Marquette red wines. Full article
(This article belongs to the Section Natural Products Chemistry)
Show Figures

Figure 1

16 pages, 3928 KB  
Article
Identification and Regionalization of Cold Resistance of Wine Grape Germplasms (V. vinifera)
by Zhilei Wang, Ying Wang, Dong Wu, Miao Hui, Xing Han, Tingting Xue, Fei Yao, Feifei Gao, Xiao Cao, Hua Li and Hua Wang
Agriculture 2021, 11(11), 1117; https://doi.org/10.3390/agriculture11111117 - 9 Nov 2021
Cited by 13 | Viewed by 3622
Abstract
With the extreme changes of the global climate, winter freezing injury has become an important limiting factor for the development of the global grape industry. Therefore, there is a significant need for the screening of cold-resistant wine grape germplasms and cold regionalization for [...] Read more.
With the extreme changes of the global climate, winter freezing injury has become an important limiting factor for the development of the global grape industry. Therefore, there is a significant need for the screening of cold-resistant wine grape germplasms and cold regionalization for cold-resistant breeding and the development of grapevine cultivation in cold regions. In this study, the low-temperature half-lethal temperature (LT50) values were determined for the annual dormant branches of 124 wine grape germplasms (V. vinifera) to evaluate their cold resistance. The LT50 values of the 124 tested germplasms ranged from −22.01 °C to −13.18 °C, with six cold-resistant germplasms below −20 °C. Based on the LT50 values, the 124 germplasms were clustered into four types, with cold resistance from strong to weak in the order of type Ⅱ > type Ⅰ > type Ⅳ > type Ⅲ, corresponding to the four cold hardiness zones. Zones 1, 2, 3, and 4 included 6, 22, 68, and 28 germplasms, respectively, with decreasing cold resistance. The number of germplasms in different hardiness zones followed a normal distribution, with the most in zone 3. In Type Ⅱ, the fruit skin color of germplasms was positively correlated with cold hardiness, while the temperature of origin was negatively correlated with cold hardiness. The average LT50 of germplasms in different origin regions ranged from −17.44 °C to −16.26 °C, with differences among some regions. The cold regionalization analysis resulted in the distribution of 124 germplasms in four temperature regions in China with six germplasms in region A (−22 °C ≤ LT50 ≤ −20 °C), 30 germplasms in region B (−20°C ≤ LT50 ≤ −18°C), 71 germplasms in region C (−18 °C ≤ LT50 ≤ −15 °C), and 17 germplasms in region D (−15 °C ≤ LT50 ≤ −13 °C). Strong cold-resistant wine grape germplasms (V. vinifera) were identified, and these could be used as parental material for cold-resistant breeding. In some areas in China, soil-burial over-wintering strategies are used, but our results suggest that some wine grapes could be cultivated without requiring winter burial during overwintering. The results of this study should provide guidance for the selection of promising strains for cold-resistant breeding for expanded cultivation of improved varieties for wine grape production in China. Full article
(This article belongs to the Special Issue Advanced Research in Viticulture and Grapevine Physiology)
Show Figures

Figure 1

14 pages, 881 KB  
Article
Viticultural Performance of Hybrids and Vitis vinifera Varieties Established in Annapolis Valley (Nova Scotia)
by Francisco Diez-Zamudio, Rodrigo Laytte, Cecilia Grallert, Nedret Neslihan Ivit and Gastón Gutiérrez-Gamboa
Horticulturae 2021, 7(9), 291; https://doi.org/10.3390/horticulturae7090291 - 6 Sep 2021
Cited by 4 | Viewed by 3431
Abstract
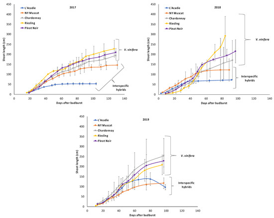
(1) Background: Cold-hardy interspecific hybrid grapes (CIHG) are well adapted to the Annapolis Valley edaphoclimatic conditions. The main characteristics of CIHG are the high bud hardiness tolerance to winter frost, the short growing cycle, and the good tolerance to cryptogamic diseases. Based on [...] Read more.
(1) Background: Cold-hardy interspecific hybrid grapes (CIHG) are well adapted to the Annapolis Valley edaphoclimatic conditions. The main characteristics of CIHG are the high bud hardiness tolerance to winter frost, the short growing cycle, and the good tolerance to cryptogamic diseases. Based on local experience, the Vitis vinifera varieties should be grown in the warmest areas of the Annapolis Valley (Nova Scotia, Canada). Despite this, there is little scientific evidence that shows the viticultural behavior of these varieties under the edaphoclimatic conditions of this valley. (2) Methods: Thus, the aim of this research was to evaluate the viticultural behavior of two CIHG (L’Acadie and New York Muscat) and three V. vinifera varieties (Chardonnay, Riesling, and Pinot Noir) growing in the Annapolis Valley over three consecutive seasons. (3) Results: The coldest season (2019) produced a delay in grapevine phenology of at least 18 days for budburst compared to the warm seasons (2017 and 2018). In addition, in the coldest season from budburst to bloom the duration decreased compared to the rest of the seasons. The main phenological stages started earlier in L’Acadie than in the V. vinifera varieties. L’Acadie presented lower N petiole content than the V. vinifera varieties, which conditioned shoot growth in the studied seasons. CIHG presented low B petiole levels and produced musts with low malic acid content, while V. vinifera varieties produced musts with high N content. L’Acadie was the only variety that could bud out, and differentially produced fruit after the spring frost of −2 to −3 °C for 2 h in 2018 in this trial. (4) Conclusions: L’Acadie, and to a lesser extent, Riesling, hold an interesting adaptation to the edaphoclimatic conditions of the Annapolis Valley. Full article
(This article belongs to the Section Viticulture)
Show Figures

Figure 1

15 pages, 410 KB  
Article
‘Frontenac’ Grape Response to Canopy Management in North Dakota
by Brittany Korynta Olson, Matthew Brooke, Zhuoyu Wang, Andrej Svyantek, John Stenger and Harlene Hatterman-Valenti
Horticulturae 2021, 7(9), 288; https://doi.org/10.3390/horticulturae7090288 - 3 Sep 2021
Cited by 12 | Viewed by 3344
Abstract
Experiments were conducted in 2013 and 2014 to evaluate the effects of training system and leaf removal treatments on yield and quality for ‘Frontenac’, an interspecific hybrid wine grape, at a research vineyard located near Absaraka, North Dakota. The experiment was structured as [...] Read more.
Experiments were conducted in 2013 and 2014 to evaluate the effects of training system and leaf removal treatments on yield and quality for ‘Frontenac’, an interspecific hybrid wine grape, at a research vineyard located near Absaraka, North Dakota. The experiment was structured as a randomized complete block design with a split-plot arrangement including four training system treatments (Geneva Double Curtain (GDC), High Cordon (HC), Vertical Shoot Positioned (VSP), Four-Arm Kniffin (4AK)), and four-leaf removal timing treatments (bloom, post-bloom, veraison, and a control, no removal) with eight replicates. In 2013, 1428 growing degree days (GDDs) accumulated in the 155 days between frost events. In 2014, 1156 GDDs accumulated in the 121 days between frost events, 272 GDDs less than the year prior. Even with the large GDD differences between years, there was no significant interaction between trellis type and leaf removal, and the main factor of leaf removal did not influence any of the fruit variables where data were collected. Combined data analysis showed no significant differences in fruit juice total soluble solids (TSS) or titratable acidity (TA). The fruit juice pH in 2013 was greater when grapes were grown in the VSP system compared to grapes grown in the other trellis systems. In 2014, live nodes and total shoots were greater for grapes grown on GDC and 4AK systems compared to grapes grown on the HC and VSP systems. Additionally, in 2014, grapes grown on the GDC system had a greater cluster number and yield when compared to grapes grown on the 4AK or VSP systems. These findings suggest that ‘Frontenac’ fruit TSS accumulation and TA were not affected by leaf removal or trellis system in North Dakota vineyards and that yield gains may be reached due to the training system without negatively affecting fruit quality. Full article
(This article belongs to the Special Issue Grape Responses to Abiotic and Biotic Stresses)
Show Figures

Figure 1

13 pages, 262 KB  
Article
Rootstocks Impact Yield, Fruit Composition, Nutrient Deficiencies, and Winter Survival of Hybrid Cultivars in Eastern Canada
by Caroline Provost, Alexander Campbell and François Dumont
Horticulturae 2021, 7(8), 237; https://doi.org/10.3390/horticulturae7080237 - 10 Aug 2021
Cited by 18 | Viewed by 4027
Abstract
Grafting cold-hardy hybrid grapevines may influence their attributes under different pedoclimatic conditions and may also contribute to cold-hardiness, influence plant physiology, and affect yield and fruit composition. In a six-year study, we evaluated bud survival, plant development, nutrient deficiencies, yield, and fruit composition [...] Read more.
Grafting cold-hardy hybrid grapevines may influence their attributes under different pedoclimatic conditions and may also contribute to cold-hardiness, influence plant physiology, and affect yield and fruit composition. In a six-year study, we evaluated bud survival, plant development, nutrient deficiencies, yield, and fruit composition for three cold-hardy grape varieties: Frontenac, Frontenac blanc, and Marquette. The grape varieties were grafted on four rootstocks: 3309C, SO4, Riparia Gloire, and 101-14. The final combinations were own-rooted. The six-year research period indicated that cold-hardy hybrids were affected differently by each rootstock. Magnesium deficiency was lower for grafted Frontenac and Frontenac blanc compared with own-rooted vines, but bud survival and grapevine development were not affected by rootstock. Moreover, results related to yield components showed that there are significant differences between rootstocks and own-rooted vines. Frontenac was the least affected grape variety compared to Frontenac blanc and Marquette, where only cluster weight and berry weight were impacted. Overall, for the two Frontenac varietals, we also observed a greater maturity for fruits of vines grafted on 101-14 and 3309C compared with own-rooted vines. Grafting affected fruit composition for Marquette differently, where the lowest grape maturity was observed for fruits on vines grafted on SO4. This study demonstrates that rootstocks affect cold-hardy hybrids, highlighting their potential under eastern North American conditions. Full article
(This article belongs to the Special Issue Advances in Viticulture Production)
11 pages, 261 KB  
Article
Disease Susceptibility of Interspecific Cold-Hardy Grape Cultivars in Northeastern U.S.A
by Ann L. Hazelrigg, Terence L. Bradshaw and Gabriella S. Maia
Horticulturae 2021, 7(8), 216; https://doi.org/10.3390/horticulturae7080216 - 30 Jul 2021
Cited by 7 | Viewed by 3758
Abstract
Susceptibility to diseases of economically important grapes is critical to the evaluation of germplasm recommended for commercial production and for the development of sustainable production systems. In 2018–2019, the cold-hardy grape cultivars including ‘Brianna’, ‘Crimson Pearl’, ‘Itasca’, ‘Louise Swenson’, ‘Marechal Foch’, ‘Marquette’ ‘Petite [...] Read more.
Susceptibility to diseases of economically important grapes is critical to the evaluation of germplasm recommended for commercial production and for the development of sustainable production systems. In 2018–2019, the cold-hardy grape cultivars including ‘Brianna’, ‘Crimson Pearl’, ‘Itasca’, ‘Louise Swenson’, ‘Marechal Foch’, ‘Marquette’ ‘Petite Pearl’, ‘St. Pepin’, and ‘Verona’ were evaluated on non-treated vines for susceptibility to downy mildew, powdery mildew, black rot, anthracnose, Phomopsis leaf spot and fruit rot, and Botrytis bunch rot. No cultivars were consistently disease-free, and all exhibited some degree of black rot and powdery mildew infection. Relative susceptibility to disease was not consistent across both years, but ‘Brianna’ had greater incidence of black rot and ‘Louise Swenson’ showed lower incidence of powdery mildew in both years. The relatively new cultivars ‘Crimson Pearl’ and ‘Verona’ exhibited comparatively moderate disease susceptibility overall. Growers typically manage diseases with fungicides on commercial farms, so cultivar susceptibility is just one component of a sustainable pest management and production system. Full article
(This article belongs to the Special Issue Grape Responses to Abiotic and Biotic Stresses)
15 pages, 3293 KB  
Article
Cold-Hardy Grape Cultivar Winter Injury and Trunk Re-Establishment Following Severe Weather Events in North Dakota
by Andrej Svyantek, Bülent Köse, John Stenger, Collin Auwarter and Harlene Hatterman-Valenti
Horticulturae 2020, 6(4), 75; https://doi.org/10.3390/horticulturae6040075 - 1 Nov 2020
Cited by 20 | Viewed by 4369
Abstract
Extreme winter temperatures during the 2018–2019 dormant season contributed to trunk collapse and complete trunk death of numerous genotypes throughout a diverse grapevine planting in eastern North Dakota, USA. Through the early portion of the dormant season, 12 genotypes were screened to identify [...] Read more.
Extreme winter temperatures during the 2018–2019 dormant season contributed to trunk collapse and complete trunk death of numerous genotypes throughout a diverse grapevine planting in eastern North Dakota, USA. Through the early portion of the dormant season, 12 genotypes were screened to identify lethal temperature exotherms of primary buds; from these results, none were anticipated to be fully prepared to survive the −37 °C minimum temperature recorded in the region. Trunk collapse, death, and survival were monitored for 35 replicated genotypes. New trunks were retrained from suckers and monitored for growth following trunk removal. Only five genotypes exceeded 50% trunk survival at the end of the 2019 growing season, ‘Valiant’, ‘King of the North’, ‘John Viola’, ‘Baltica’, and ‘Bluebell’. Following re-establishment, ‘La Crescent’ was the most vigorous genotype with the largest sucker circumference, sucker length, and internode length. Nearly all genotypes evaluated produced suckers with lengths approaching the high-wire trellis height (1.8 m), designating their potential for cordon retraining in 2020. Cumulatively, however, the lethal temperature exotherm results and the trunk survival examination indicate a harrowing need for investigation of new management practices (such as protected training systems) and the generation of new cold-hardy genotypes to enhance productivity under standard unprotected systems. Full article
(This article belongs to the Special Issue Grape Responses to Abiotic and Biotic Stresses)
Show Figures

Figure 1

Back to TopTop