Next Article in Journal
Roles of Process Parameters on the Ricinoleic Acid Production from Castor Oil by Aspergillus flavus BU22S
Next Article in Special Issue
Optimization of Main Ingredient Ratio, Metabolomics Analysis, and Antioxidant Activity Analysis of Lycopene-Enriched Compound Fruit Wine
Previous Article in Journal
Effects of Inoculation with Different Rhizobia on the Nutritional Value and Ruminal Fermentation of Desmodium intortum
 
 
Font Type:
Arial Georgia Verdana
Font Size:
Aa Aa Aa
Line Spacing:
Column Width:
Background:
Article

Impact of Steam Extraction and Maceration Duration on Wines from Frozen ‘Frontenac’ Must

by
Andrej Svyantek
1,2,
Zhuoyu Wang
1,2 and
Harlene Hatterman-Valenti
1,*
1
Department of Plant Sciences, North Dakota State University, Fargo, ND 58102, USA
2
Western Agriculture Research Center, Montana State University, Corvallis, MT 59828, USA
*
Author to whom correspondence should be addressed.
Fermentation 2023, 9(4), 317; https://doi.org/10.3390/fermentation9040317
Submission received: 14 February 2023 / Revised: 18 March 2023 / Accepted: 20 March 2023 / Published: 23 March 2023
(This article belongs to the Collection New Aspect on Wine Fermentation)

Abstract

The enology industry in North Dakota is extremely young, with less than twenty years of existence. At times throughout the development of the North Dakota viticulture and enology industries, commercial wine producers have elected to purchase or store fresh harvested grapes as frozen musts. To investigate the fermentation outcomes related to skin contact for red grapevine musts, a postfreeze fermentation experiment was conducted with fruit from ‘Frontenac’, one of the most widely grown red grapevines in the Upper Midwest U.S. and North Dakota. Four fermentation treatments were applied to frozen ‘Frontenac’ grapevine musts: steam juice extraction, rosé, 1 day after inoculation (DAI) skin contact, and 9 DAI skin contact. Samples were collected daily for ten days and analyzed for fermentation progress and spectrophotometric monitoring of wine color attributes and total phenolics. The final wines were analyzed two years after bottling. Steam-extracted musts were initially darkest; however, they were lighter as final wines than the 9 DAI wines and similar to rosé wines in lightness. Total phenolics were greatest for 9 DAI wines and total red pigments were lowest for steam-extracted wines. While differences between treatments were detected, the wines remained visually similar; this indicates that color extraction within the freeze–thaw processes of musts may obliterate subtly and make it difficult to produce wines of light color when stored under these conditions. Continued work with additional grapevines beyond ‘Frontenac’ may help fine-tune must and fermentation extraction procedures for small-scale wineries growing cold-hardy grapevines.

1. Introduction

In North Dakota, grapevine production is limited by extreme annual winter events [1,2]. Winter temperatures frequently remain below 0 °C for the majority of the dormant season, with specific climatic freeze events forcing the temperatures to periodically fall below −35 °C. Along with midwinter events, frost and freeze risks occur in both early autumn and spring. These freeze events can cause damage to unacclimated grapevines or kill off new shoots at the start of the new growing season [2,3,4]. To overcome these winter obstacles, grape growers produce vines of diverse genetic backgrounds capable of withstanding the winters in North Dakota; these grapes include Vitis vinifera in small proportions relative to the contributions from V. labrusca, V. amurensis, V. aestivalis, V. rupestris, and especially V. riparia [1,5,6].
‘Frontenac’ is one of the most widely grown grapes in North Dakota [5]. It represented approximately 28% of red wine grapes grown in North Dakota and South Dakota when a recent survey concluded in 2014 [5]. ‘Frontenac’ was bred at the University of Minnesota; it resulted from a cross conducted using a wild grapevine accession, V. riparia #89, pollinated by an interspecific hybrid, ‘Landot noir’ syn. Landot 4511. ‘Frontenac’ gave rise to a bud sport with gray berries, and ‘Frontenac gris’ was subsequently released [7]. ‘Frontenac gris’ is the third most planted white grape in North Dakota and South Dakota; together, they are economically important in many other northern states that produce cold-hardy wine grapes [5,8,9]. ‘Frontenac’ and clonally derived sports of ‘Frontenac’ are valued grapevines for their winter hardiness and relative disease tolerance under certain environmental conditions [3,10,11,12].
Considering the importance of ‘Frontenac’ grapevines to northern viticulture, recent research has focused on methods to improve fruit quality for wine production purposes. Work in North Dakota, Nebraska, and Wisconsin has examined leaf removal and training systems in attempts to alter fruit composition [13,14,15,16,17,18,19]. Research with Frontenac wine has focused on aroma, acids, and descriptive sensory characterization, limited knowledge exists concerning wine fermentation technique influences on wine quality [20,21,22,23]. Examination of pigments and phenolics in ‘Frontenac’ fruit noted undetected differences in seed tannin concentration when compared to ‘Marquette’ and ‘St. Croix’ across two vineyard sites [24]. In recent work, ‘Frontenac’ wine tannin content has been shown to be lower than V. vinifera wines of ‘Cabernet Sauvignon’ and ‘Pinot Noir’ as well as wines of interspecific cold-hardy wine grapes, such as ‘Marquette’ and ‘Petite Pearl,’ based on multiple analytical methods [25]. ‘Frontenac’ wines have been shown to comparable levels of total phenolic compounds when compared to other interspecific wine grape varieties, such as ‘Saberevois’, ‘Marquette’, and ‘Maréchal Foch’; however, for tannin concentration to increase in ‘Frontenac’ musts and wines, tannin additions have been suggested alongside the removal of must from pomace [26,27].
Wine produced from ‘Frontenac’ and ‘Frontenac gris’ berries identified about more than fifty key volatile aroma compounds, which vary by location and harvest time [23,28]. Descriptors for ‘Frontenac’ wines range from dark fruit notes such as blackberry, blackcurrant, and cherry to other descriptors such spice, cedar, earthy, and cooked vegetables [22]. These aromas and flavors are partially dependent on the grapevine itself, but also on enological and viticultural production procedures.
North Dakota wineries have additional obstacles beyond grape production in a harsh, northern climate; there are logistical concerns for wine production and timing. Because most North Dakota vintners and grape growers do not claim grape growing and winemaking as their sole occupation, timing of fermentation and wine processing is often not the primary financial obligation that individuals are faced with [6]. Further, as a result of the industry’s youth, harvests are delayed or advanced to fit the schedule of often-unpaid labor. At times, when harvesting cannot align with an individual winemaker’s schedule, fruit is stored for an extended period in either cooler or freezer storage. In unique circumstances, producers have opted to apply heat to their fruit during the thawing process prior to fermentation processing. This technique of heating frozen musts is utilized on a small scale, and while it may target mimicking the commercial use of flash détente juice extraction, the heat and duration may often be much greater and longer. Thus, to understand more about the fermentation consequences of extraction and maceration techniques on wines from ‘Frontenac’ grapes, we established an experiment to examine the effect of steam extraction and maceration duration on frozen ‘Frontenac’ musts. This study is useful for winemakers as an initial reference for cold-hardy grape wine fermentation starting from frozen grapes as well as for those winemakers employing pre-fermentative heat additions to fruit or must.

2. Materials and Methods

2.1. Fermentation Procedures

In 2018, fruit from individual rows of ‘Frontenac’ grapevines grown at the Absaraka Horticulture Research Farm near Absaraka, ND were pooled to create three field replicates. Replicate musts were treated with sulfur dioxide (SO2) at a rate of 50 ppm using a potassium metabisulfite stock solution. Individual musts from composite field replicates were then stored in 3.785 L food-grade plastic containers at −20 °C for approximately three months until fermentation was conducted in the winter of 2018–2019.
When grape musts were removed from the freezer, 0.264 g/L of an exogenous tannin product (FT Rouge, Scott Laboratories, Petaluma, CA, USA) was added as an antioxidant protectant, and the musts were thawed at 4 °C over a 24 h period. Except for steam extraction musts, samples were removed from refrigeration after becoming homogeneously thawed, then poured into individual 5.30 L glass fermenters (Little Big Mouth Bubbler®, Midwest Supplies, Roseville, MN, USA) where they were allowed to return to room temperature (Table 1). Grape musts of steam wines were directly removed from the freezer, thawed for a 4 h period, then steam-juice-extracted 1 h at 100 °C using a stove-top steam juicer on an electric stove (Euro Cuisine Stove Top Steam Juicer, Stainless Steel, Euro Cuisine, Bell Gardens, CA, USA). The steam-extracted juice was captured into a 3.785 L glass bottle for fermentation, at which point the exogenous tannin was added at a rate of 0.264 g/L. The glass bottle was then sealed, stirred gently to homogenize, and refrigerated until it reached room temperature for fermentation. All the treatments, including rosé, 1 day skin contact, 9 days skin contact, and steam juice extraction, contained three replicates.
Musts were pressed via a 4.73 L capacity, stainless-steel, tabletop screw press with a stainless-steel plate to remove the skins and seeds from the must at specific days according to their treatment specifications; pressure was applied until no further juice was liberated from the pomace. For rosé wines, musts were pressed immediately after reaching room temperature, prior to inoculation with yeast. Other musts were pressed at 1 d (1 DAI) or 9 d (9 DAI) after inoculation. To minimize headspace, after pressing, musts were transferred to a 3.785 L or 1.89 L glass fermenter, depending on volume. When skins were present within the must, the cap was punched twice daily.
Musts were inoculated with Saccharomyces cerevisiae var. cerevisiae yeast (D254, Lallemand Inc., Montreal, QC, Canada) at a rate of 0.264g/L following rehydration in a solution containing a 1:1.25 ratio of yeast-to-yeast rehydration nutrients (Go-Ferm®, Lallemand Inc., Montreal, QC, Canada). One day after inoculation, fermentation was visually confirmed by assessing visible bubbling within the musts. After confirmation of successful inoculation, a yeast nutrient supplement was added at a rate of 0.264g/L (Fermaid® K, Lallemand Inc., Montreal, QC, Canada).
Individual musts were allowed to complete alcoholic fermentation at 21 °C. After completion of alcoholic fermentation, wines were manually racked off their gross lees into argon-purged, sanitized, clear glass fermenters smaller than the vessel utilized in primary alcoholic fermentation.
Wines were stored in these containers for approximately 2 months before bottling. Wines were then manually bottled into argon-purged, 187 mL clear glass bottles fitted with oxygen-scavenging crown caps, and their SO2 was adjusted to 40 ppm using a potassium metabisulfite stock solution. Wines were held in their glass bottles and stored in a cardboard box within a dark cabinet at 21 °C for 2 years following bottling before final wine samples were collected for analysis. Each treatment contained three replicate fermentations.

2.2. Sample Collection

Throughout the first ten days of the fermentation process, samples were collected daily from each vessel in the morning at the first must cap punching each day. Must fermentation samples were collected using individual, sanitized borosilicate glass serological pipets. Samples were captured in 15 mL plastic centrifuge tubes and immediately frozen until analysis.
Final wine samples were collected 2 years following bottling. Samples were extracted from individual glass bottles using sterile 10 mL serological pipets. Samples were transferred into 15 mL plastic centrifuge tubes and either transported to the laboratory for immediate analysis of colorimetric properties or frozen for later analysis using enzymatic assays.

2.3. Sample Analysis

Pre-fermentation samples were analyzed for yeast assimilable nitrogen (YAN) as a composite of primary amino nitrogen (K-PANOPA; Megazyme, Bray, Ireland) and ammonia (K-AMIAR; Megazyme, Bray, Ireland) using manual enzymatic test kits according to the manufacturer’s instructions. Samples were evaluated for tartaric acid and malic acid content enzymatically (K-LMAL and K-TART; Megazyme, Bray, Ireland). Active fermentations were monitored for residual sugar as a composite fructose and glucose using a manual enzymatic test kit (K-FRUGL; Megazyme, Bray, Ireland) according to the manufacturer’s instructions.
Total acidity (expressed as g/L tartaric acid) was monitored using a PAL-BX/ACID2 meter (Atago Co., Tokyo, Japan), and pH was assessed using a pocket pH meter (PAL-pH; Atago Co., Tokyo, Japan).
CIELab color coordinates were calculated with MSCV 7® software according to Ayala et al. (2001), obtaining values for lightness (L*), chroma (C*), hue (h), red-green (a*), and yellow-blue (b*) based on measurements collected from undiluted samples in a 1 mm path length quartz cell measured in a UV-Vis spectrophotometer (GenesysTm 10S UV-Vis Spectrophotometer, ThermoFisher Scientific, Waltham, MA, USA). CIELab color coordinate results were depicted for a 10 mm cell according to OIV recommendations [29].
Assessment of color density (A420nm + A520nm), color intensity (A420nm + A520nm + A620nm), color hue (A420nm/A520nm), degree of red pigment coloration (%) ([A520nm/AHCl 520nm] × 100), total red pigments (AHCl 520 nm), and total phenolics (AHCl 280 nm − 4) were conducted according to Iland et al. [30]. Measurements were conducted using a 1 mm pathlength quartz cell for undiluted wine samples or a 10 mm pathlength polymethyl methacrylate UV-cuvette cell (UV-Cuvette semi-micro, BrandTech® Scientific, Inc., Essex, CT, USA) for samples diluted in 1 M HCl.
Samples of final wines were analyzed two years after bottling for previously described measurements, as well as glycerol and ethanol content (K-GCROL and K-ETOH; Megazyme, Bray, Ireland) using manual enzymatic test kits following the manufacturer’s instructions.

2.4. Statistical Analysis

Statistical analysis was conducted using R software [31]. Field replicates were treated as random effects and wine treatments were treated as fixed effects. For pre-fermentation treatments, data of non-steam-extracted musts were pooled and mean comparisons were conducted using a Student’s t-test at α = 0.05. For final wine samples, mean comparisons were conducted according to Tukey’s HSD at α = 0.05. In all tables, principal component analysis was conducted using the factoextra v1.07 and prcomp function of the stats v3.6.2 package [31,32]. Color data for samples were processed with the colorspace package [33]. Figures were created using the ggplot2 package v0.9.0 [34].

3. Results

3.1. Pre-Fermentation Must Composition

Nonsteamed, control musts did not differ from steam-extracted musts in glucose, fructose, or total fermentable sugar content (Table 1). Similarly, no differences were detected between must acid components (pH, malic, tartaric, or total acidity), YAN, pigment, or phenolic concentrations (Table 2 and Table 3).
Pre-fermentation YAN content did not differ between pre-fermentation treatments, with a range from 184.66 to 193.76 mg/L (Table 4). Similarly, no differences were detected for total red pigments or total phenolics, which indicated that the red pigment absorbance and phenolic amount had no significant differences among steamed and control musts.
Meanwhile, the color of the musts differed for the steam-extracted compared to nonsteamed musts (Table 5). Steam-extracted musts were darker, as indicated by their lower L* value. They also had a lower b* value, indicating that they were more blue and less yellow in pigment than the control musts. Steam samples had lower a* values. C* (chroma values) and h (hue) between the control and steam musts were also significantly different, being lower for steam musts in both instances.

3.2. Fermentation Dynamics

Sugar consumption was slow for the first two days of fermentation (Figure 1). However, fermentation of all musts proceeded rapidly from four days to six days after inoculation, and nearly all sugars were consumed by the tenth day after inoculation. No differences were detected for fermentation rate between the different treatments.
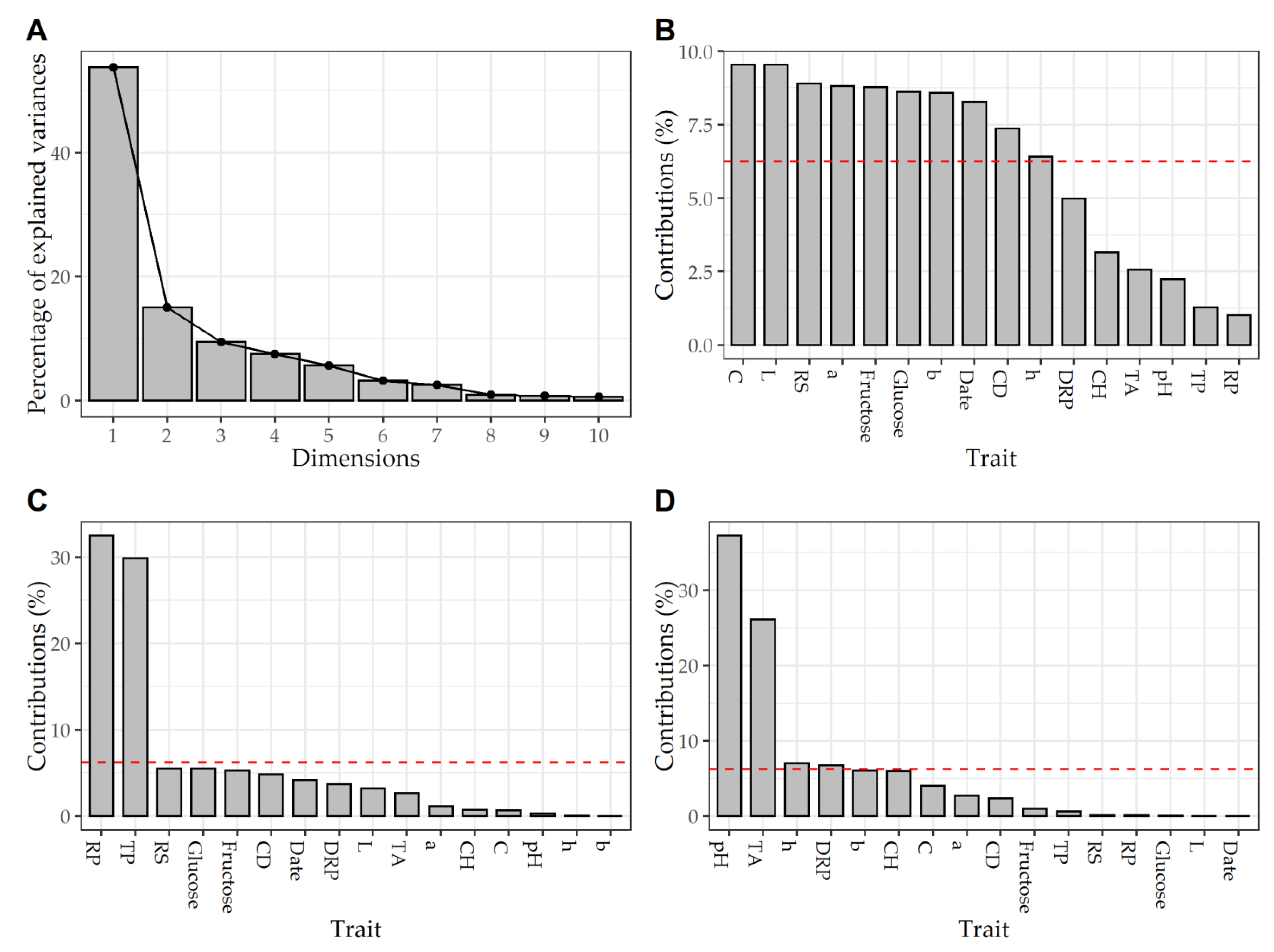
Principal component analysis of sample variance indicated that the first three PCs accounted for over 78 percent of variation among samples (Figure 2). PC1 was influenced by color traits (L*, C*, a*, b*, h, and color density), sugar traits (Brix, Fructose, Glucose, and residual sugar (RS)), and date of sampling. PC2 captured variation contributions from red pigments (RP) in the wine and total phenolics (TP). PC3 was composed of acid traits (pH and TA), h, and degree of red pigment coloration.
PC1 and PC2 combined for over 68 percent of variation (Figure 3). When visualized, they depict the negative relationship between sugar traits and date in relation to fermentation consumption of sugar components (glucose, fructose, and their cumulative sum of residual sugar). They also capture the negative relationship between color components such as color density compared to pH.
Investigating the relationship between fermentation date and L*, all wines became lighter as fermentation proceeded (Figure 4). Steam wines were initially the darkest musts, as measured by L*. However, by the completion of alcoholic fermentation, steam wines were only differentiated from rosé at ten days after inoculation.

3.3. Final Wine Composition

Final wines did not differ significantly for acid attributes (Table 6). Values for pH ranged between 3.35 and 3.43, while total acidity was between 6.40 and 7.20 g/L. Malic acid was the dominant acid in all wines, and there were no significant differences among the fermented products.
Ethanol was above 10 % for all wines and glycerol ranged between 7.27 and 9.22 g/L with no significant trends of treatment effect (Table 7).
Color density was greatest for the 9 DAI wines and lowest for the rosé and steam wines (Table 8). Color intensity followed a similar ranking: it was greatest for the 9 DAI wines, followed by the 1 DAI wines. Color intensity was lowest for the rosé and steam wines. Color hue and degree red pigment (%) did not differ among treatments. Color hue remained near 1.00 (min = steam, 0.94; max = 9 DAI, 1.06). The final wine colors indicated that the treatments caused significant differences in wine color density and intensity.
In the final wines, both the total red pigments and the total phenolics were reduced for the steam treatment relative to the 9 DAI wines (Figure 5). Steam wines had the lowest total red pigments (21.45 AU) and the numerically lowest total phenolics (35.09 AU). The 9 DAI wines had the greatest total phenolic content (43.44 AU).
Rosé and steam wines were the lightest L* values (Table 9), while 9 DAI was the darkest (16.73). This is visually reflected in the relative darkness of mean wine colors. It followed that the 9 DAI wine had the lowest a* and b* values while the rosé wine had the greatest. Likewise, the C values for 9 DAI was lower than the rosé, but similar to the steam and 1 DAI wines. For steam wines, all mean CIELAB color space values were similar to the 1 DAI wines, while the L* and h° values were also similar to the rosé wines.

4. Discussion

The final wine total acidity mainly came from malic acid. In ‘Frontenac’, tartaric acid, which would be anticipated to be present in similar concentrations as the malic acid within musts, may be reduced within the musts by the freezing processes. Further work is required to understand to what extent the tartaric acid redissolves into solution or if wine starting with frozen musts benefits from separation from excess tartaric acid prior to fermentation. However, it may be beneficial if musts undergo a pre-fermentation cold stabilization process with musts separated from tartaric acid crystals. On one hand, this reduces the TA of juices leading to a seemingly riper must when compared to the typical TA of North Dakota grape musts [1,13,20]. Yet, on the other hand, this reduction is artificial, reducing only the tartaric acid component, an acid which is already precipitated and removed through typical local winemaking practices such as cold stabilization [20]. Thus, winemaking practices to reduce malic acid, such as malic-acid-consuming yeast selection and malic-acid-degrading bacteria addition, must still be considered thoroughly, despite the seemingly lower TA must.
The initial must color of steam-extracted wines increased relative to the non-steam-extracted treatments in our research. This was similar to observations with four French–American hybrid wine grape cultivars [35]. However, Sims and Morris [35] note that while color and flavor became more stable for ‘Chancellor’, within white grapes (‘Aurore’, ‘Seyval’, ‘Vidal’) the flavor and color quality were decreased.
Advanced technologies might require further examination for cold-hardy grape fermentation. Heat-based wine extraction processes such as thermovinification and flash release hold opportunities for achieving winemaking goals [36,37]. Thermovinification methods can increase the total phenolic content in wines [37]. Flash Détente systems are utilized commercially within the juice and wine industry [38,39,40]. While it concentrates, Flash Détente involves rapid heating followed by vacuum pressure and cooling [41]. These systems are not currently applied for North Dakota’s scale of wineries. Until thoroughly understood, commercial use of heat extraction procedures is limited in cold-hardy grapes.
Flash Détente processes have potential benefits for some grapes grown in the Upper Midwest as they may aid in phenolic extraction and obliteration of negative aromatic compounds. negative aromatic compounds, such as methoxypyrazines, are oftentimes found in high quantities for certain grapevines derived from native V. riparia lineages. Heat treatment has been demonstrated to remove pyrazine taints associated with Coccinellidae insects such as the seven-spot ladybeetle (Coccinella septempunctata) and the multicolored Asian lady beetle (Harmonia axyridis) [42,43,44,45,46].
In this research, steam-extracted musts were initially much darker than other musts; however, this darkness was not retained into the final wine. The final steam wines were similar to the rosé wines in most attributes monitored. The phenolics and anthocyanin content and specific make-up require further study to evaluate the steam procedure effects on musts and final wines. Addition of the steamed pomace back into the must may enable more color, red pigment, and phenolic extraction to occur, but may also reduce tannin content in final wines; this may be investigated in future studies [26]. However, if applying these techniques to the production of wines, further research must be conducted to evaluate the consequences of steam extraction on sensory attributes and aromatic compounds. The re-addition of cooked pomace may lead to undesirable sensory outcomes but may need further research to study it.
The action of steam extraction might bring out sensory descriptors such as jammy, cooked vegetable, and earthy rather than the other previously used fresh fruit attributes for ‘Frontenac’ [22]. Steam extraction and heating of must at a high temperature for a short amount of time may play a role in improving must sanitation and food safety; however, this experiment did not delve into the role of temperature on the presence of microorganisms or their compounds. For ‘Concord’ grape juice, a reduction in ochratoxin A was observed for steam-extracted juices when compared to untreated musts [47]. The researchers found an increase in juice phenolic acids, flavonols, anthocyanins, and color intensity followed by extended steam extraction time periods. Similar work demonstrated that steam extraction of ‘Isabel’ results in darker musts, measured by L* values [48]. Not only were ‘Isabel’ steam-extracted juices darker, but they also contained higher quantities of hydrolyzable phenolics, soluble phenolics, and total anthocyanins than juices derived from extractors, juicers, or blenders. Hot-pressed juices and wines of ‘Chambourcin’ had increased color intensity compared to immediately pressed wines or extended skin fermentation wines (7, 13, or 21 days skin contact) [49]. This was reflected in the phenolic compound content of ‘Chambourcin’ heat-pressed wines as well. Ultimately, treatment effects likely differ for other grapevines, and they should be evaluated in the gamut of different cold-hardy grapevines grown locally.
In our study, the extended skin maceration had increased the total phenolics and color pigments. From publications, extended skin maceration times are associated with increased anthocyanin content, color, and phenolic compound content [49,50,51,52,53]. Yet, interestingly, pomace contact has been shown to limit the tannin content in final wines of ‘Frontenac’ [26]. This phenomenon is not unique to ‘Frontenac’. Within wine grapes, especially hybrid wine grapes, exogenous tannin addition is common due to innately low tannin content or protein precipitation of tannins within juices, musts, and wines [54,55,56,57,58]. This is another factor that may require future evaluation.
Frozen ‘Frontenac’ fermentation in our research provided some information about the application of frozen grapes. The effect of freezing and thawing warrants examination. Researchers have proposed the use of a freeze–thaw method to artificially increase the phenolic ripeness of grape seeds [59,60]. This may provide an alternative to enological tannin additions in underripe grapes grown in northern climates [61].
The cumulative results of this research indicate that extending skin contact following must freezing consequentially alters red pigment and phenolic extraction with differences in final wine color. However, the rosé wines, though distinguishable, remained quite similar to the wines that had extended fermentative skin contact. For this reason, freezing of musts with pomace cannot be recommended for producers targeting lighter final wine colors. Additionally, this study did not examine the effects of freezing, skin contact, or steam extraction on white wine musts or pomace. Yet, local producers may be able to retain white wine pomace through this process to increase production through later cofermentation with red grapes [62]. This technique would have the benefit of artificially supplementing yield for value-added local red wine production while also potentially reducing the acid content of red wine musts that frequently have a TA above 10 g/L and a pH below 3.2 [1,13,14,20,63].
Future work should consider examining the effect of freezing compared to fresh must fermentation with cold-hardy grapes following the example of previous work in V.vinifera [64]. Similarly, within cold-hardy wine grapes, maceration should be more thoroughly examined within fresh grapes to identify and quantify benefits and drawbacks associated with temperature, duration, enzyme additions, and exogenous tannins. Aromatic compound quantification, aging studies of wines in bottle, and sensory evaluation of wines made with varying styles from grapes adapted to the cold winters of North Dakota will increase the suitability of winemaking procedures for the young industry. Typical winemaking practices for many local North Dakota wineries mimic those published for V. vinifera grapevines—specifically, extended skin contact times; yet, to fully maximize local wine quality, regional winemaking practices must be developed, improved, and deployed to match local grape options, thus meeting the needs of wineries and consumers.

5. Conclusions

In conclusion, our research indicated that four different must treatments on frozen ‘Frontenac’ musts contributed to the variation of color attributes and total phenolics. However, the treatments did not significantly influence the progress of the fermentation processes. The daily monitoring and analysis indicated that steam extraction produced the darkest musts initially, but did not necessarily produce darker wines. Extended maceration contributes to the highest level of total phenolics in wines made from frozen ‘Frontenac’ musts, yet this may fail to capture the impact on perception of tannins in wines. With the continued examination of advanced methodologies on cold-hardy grape fermentation, further progress is anticipated that will enhance grower and winemaker application of new techniques for quality wine fermentation.

Author Contributions

Conceptualization, A.S.; methodology, A.S. and Z.W., investigation, A.S. and Z.W.; formal analysis, A.S. and Z.W.; resources, H.H.-V., data curation, A.S. and Z.W., writing—original draft preparation, A.S. and Z.W.; writing—review and editing, A.S., Z.W. and H.H.-V.; visualization, A.S.; supervision, H.H.-V.; funding acquisition, A.S. and H.H.-V. All authors have read and agreed to the published version of the manuscript.

Funding

This research was funded by the North Dakota Department of Agriculture Specialty Block Grant, grant number 18-270. Evaluation, Development, and Postharvest Treatments for Improved Quality of Cold-Hardy Interspecific Grape Crosses. The funders had no role in the design of the study or the decision to publish.

Institutional Review Board Statement

Not applicable.

Informed Consent Statement

Not applicable.

Data Availability Statement

Data are available from the authors upon reasonable request.

Acknowledgments

The authors would like to thank Research Specialist Collin Auwarter, previous postdoctoral scholar John Stenger, and former graduate students Matthew Brooke, Nickolas Theisen, Jacob Lachowitzer, and Ikbal Tatar for assistance with vineyard and/or fermentation maintenance.

Conflicts of Interest

The authors declare no conflict of interest.

References

  1. Hatterman-Valenti, H.M.; Auwarter, C.P.; Stenger, J.E. Evaluation of Cold-Hardy Grape Cultivars for North Dakota and the North Dakota State University Germplasm Enhancement Project. Acta Hortic. 2016, 1115, 13–22. [Google Scholar] [CrossRef]
  2. Svyantek, A.; Köse, B.; Stenger, J.; Auwarter, C.; Hatterman-Valenti, H. Cold-Hardy Grape Cultivar Winter Injury and Trunk Re-Establishment Following Severe Weather Events in North Dakota. Horticulturae 2020, 6, 75. [Google Scholar] [CrossRef]
  3. Stenger, J.; Hatterman-Valenti, H. Contrasting Responses to Environmental Conditions by Three Cold-Climate Winegrape Cultivars Grown in the United States Northern Plains Region. Acta Hortic. 2017, 1118, 173–180. [Google Scholar] [CrossRef]
  4. Stenger, J. Environmental Influence on Cold-Climate Grapevine (Vitis Spp.) Fall Acclimation Response and Fruit Ripening; North Dakota State University: Fargo, ND, USA, 2016. [Google Scholar]
  5. Tuck, B.; Gartner, W. Vineyards and Wineries in North and South Dakota: A Status and Economic Contribution Report; University of Minnesota: Minneapolis, MN, USA, 2014. [Google Scholar]
  6. Hodur, N.M.; Leistritz, F.L.; Bangsund, D.A. Characteristics and Economic Contribution of the North Dakota Grape Industry; Department of Agribusiness and Applied Economics, North Dakota State University: Fargo, ND, USA, 2010. [Google Scholar]
  7. Luby, J.; Hemstad, P. Grape Plant Named ‘Frontenac Gris’. U.S. Patent PP16,478; Application Number 10/775,435, 25 April 2006. [Google Scholar]
  8. Tuck, B.; Gartner, W. Vineyards and Wineries in Nebraska: A Status and Economic Contribution Report; University of Minnesota: Minneapolis, MN, USA, 2014. [Google Scholar]
  9. Tuck, B.; Gartner, W. Vineyards and Wineries in the New England States: A Status and Economic Contribution Report; University of Minnesota: Minneapolis, MN, USA, 2014. [Google Scholar]
  10. Carisse, O.; Lefebvre, A. Evaluation of Northern Grape Hybrid Cultivars for Their Susceptibility to Anthracnose Caused by Elsinoe Ampelina. Plant Health Prog. 2011, 12, 9. [Google Scholar] [CrossRef]
  11. Hemstad, P.R.; Luby, J.J. Utilization of Vitis riparia for the development of new wine varieties with resistance to disease and extreme cold. Acta Hortic. 2000, 528, 487–496. [Google Scholar] [CrossRef]
  12. Jones, D.S.; McManus, P.S. Susceptibility of Cold-Climate Wine Grape Cultivars to Downy Mildew, Powdery Mildew, and Black Rot. Plant Dis. 2017, 101, 1077–1085. [Google Scholar] [CrossRef]
  13. Olson, B.K.; Brooke, M.; Wang, Z.; Svyantek, A.; Stenger, J.; Hatterman-Valenti, H. ‘Frontenac’ Grape Response to Canopy Management in North Dakota. Horticulturae 2021, 7, 288. [Google Scholar] [CrossRef]
  14. Aipperspach, A.; Hammond, J.; Hatterman-Valenti, H. Utilizing Pruning and Leaf Removal to Optimize Ripening of Vitis Riparia-Based ‘Frontenac Gris’ and ‘Marquette’ Wine Grapes in the Northern Great Plains. Horticulturae 2020, 6, 18. [Google Scholar] [CrossRef]
  15. Bavougian, C.M.; Read, P.E.; Schlegel, V.L.; Hanford, K.J. Canopy Light Effects in Multiple Training Systems on Yield, Soluble Solids, Acidity, Phenol and Flavonoid Concentration of ‘Frontenac’ Grapes. HortTechnology 2013, 23, 86–92. [Google Scholar] [CrossRef]
  16. Bavougian, C.M.; Read, P.E.; Walter-Shea, E. Training System Effects on Sunlight Penetration, Canopy Structure, Yield, and Fruit Characteristics of ‘Frontenac’ Grapevine (Vitis Spp.). Int. J. Fruit Sci. 2012, 12, 402–409. [Google Scholar] [CrossRef]
  17. Scharfetter, J.; Workmaster, B.A.; Atucha, A. Preveraison Leaf Removal Changes Fruit Zone Microclimate and Phenolics in Cold Climate Interspecific Hybrid Grapes Grown under Cool Climate Conditions. Am. J. Enol. Vitic. 2019, 70, 297–307. [Google Scholar] [CrossRef]
  18. Riesterer-Loper, J.; Workmaster, B.A.; Atucha, A. Impact of Fruit Zone Sunlight Exposure on Ripening Profiles of Cold Climate Interspecific Hybrid Winegrapes. Am. J. Enol. Vitic. 2019, 70, 286–296. [Google Scholar] [CrossRef]
  19. Wimmer, M.; Workmaster, B.A.; Atucha, A. Training Systems for Cold Climate Interspecific Hybrid Grape Cultivars in Northern Climate Regions. HortTechnology 2018, 28, 202–211. [Google Scholar] [CrossRef]
  20. Olson, B.K. Frontenac’ Response to Leaf Removal and Training Systems and a Microvinification and Deacidification Bioassay of Interspecific Hybrids (Vitis spp.); North Dakota State University: Fargo, ND, USA, 2016. [Google Scholar]
  21. Slegers, A.; Angers, P.; Ouellet, É.; Truchon, T.; Pedneault, K. Volatile Compounds from Grape Skin, Juice and Wine from Five Interspecific Hybrid Grape Cultivars Grown in Québec (Canada) for Wine Production. Molecules 2015, 20, 10980–11016. [Google Scholar] [CrossRef]
  22. Mansfield, A.K.; Vickers, Z.M. Characterization of the Aroma of Red Frontenac Table Wines by Descriptive Analysis. Am. J. Enol. Vitic. 2009, 60, 435–441. [Google Scholar] [CrossRef]
  23. Rice, S.; Lutt, N.; Koziel, J.A.; Dharmadhikari, M.; Fennell, A. Determination of Selected Aromas in Marquette and Frontenac Wine Using Headspace-SPME Coupled with GC-MS and Simultaneous Olfactometry. Separations 2018, 5, 20. [Google Scholar] [CrossRef]
  24. Rice, S.; Koziel, J.A.; Dharmadhikari, M.; Fennell, A. Evaluation of Tannins and Anthocyanins in Marquette, Frontenac, and St. Croix Cold-Hardy Grape Cultivars. Fermentation 2017, 3, 47. [Google Scholar] [CrossRef]
  25. Watrelot, A.A. Tannin Content in Vitis Species Red Wines Quantified Using Three Analytical Methods. Molecules 2021, 26, 4923. [Google Scholar] [CrossRef]
  26. Nicolle, P.; Marcotte, C.; Angers, P.; Pedneault, K. Pomace Limits Tannin Retention in Frontenac Wines. Food Chem. 2019, 277, 438–447. [Google Scholar] [CrossRef]
  27. Gagné, M.-P.; Angers, P.; Pedneault, K. Phenolic Compounds Profile of Berries and Wines from Five Fungus-Resistant Grape Varieties. Ann. Food Process. Preserv. 2016, 1, 1003. [Google Scholar]
  28. Rice, S.; Tursumbayeva, M.; Clark, M.; Greenlee, D.; Dharmadhikari, M.; Fennell, A.; Koziel, J.A. Effects of Harvest Time on the Aroma of White Wines Made from Cold-Hardy Brianna and Frontenac Gris Grapes Using Headspace Solid-Phase Microextraction and Gas Chromatography-Mass Spectrometry-Olfactometry. Foods 2019, 8, 29. [Google Scholar] [CrossRef] [PubMed]
  29. Compendium of International Methods of Analysis of Wines and Musts. Volume 2. Available online: http://www.oiv.int/en/technical-standards-and-documents/methods-of-analysis/compendium-of-international-methods-of-analysis-of-wines-and-musts-2-vol (accessed on 8 September 2021).
  30. Iland, P.; Bruer, N.; Edwards, G.; Caloghiris, S.; Wilkes, E. Chemical Analysis of Grapes and Wine: Techniques and Concepts; Patrick Iland Wine Promotions: Athelstone, SA, Australia, 2013; ISBN 978-0-9581605-7-5. [Google Scholar]
  31. R Core Team. R: A Language and Environment for Statistical Computing; R Foundation for Statistical Computing: Vienna, Austria, 2021. [Google Scholar]
  32. Kassambara, A.; Mundt, F. Factoextra: Extract and Visualize the Results of Multivariate Data Analyses; R Foundation for Statistical Computing: Vienna, Austria, 2020. [Google Scholar]
  33. Zeileis, A.; Fisher, J.C.; Hornik, K.; Ihaka, R.; McWhite, C.D.; Murrell, P.; Stauffer, R.; Wilke, C.O. Colorspace: A Toolbox for Manipulating and Assessing Colors and Palettes. arXiv 2019. [Google Scholar] [CrossRef]
  34. Wickham, H. Ggplot2—Elegant Graphics for Data Analysis; Springer: New York, NY, USA, 2009; Available online: https://www.springer.com/gp/book/9780387981413 (accessed on 3 September 2021).
  35. Sims, C.A.; Morris, J.R. Effects of Fruit Maturity and Processing Method on the Quality of Juices from French-American Hybrid Wine Grape Cultivars. Am. J. Enol. Vitic. 1987, 38, 89–94. [Google Scholar] [CrossRef]
  36. Morel-Salmi, C.; Souquet, J.-M.; Bes, M.; Cheynier, V. Effect of Flash Release Treatment on Phenolic Extraction and Wine Composition. J. Agric. Food Chem. 2006, 54, 4270–4276. [Google Scholar] [CrossRef]
  37. Atanacković, M.; Petrović, A.; Jović, S.; Bukarica, L.G.-; Bursać, M.; Cvejić, J. Influence of Winemaking Techniques on the Resveratrol Content, Total Phenolic Content and Antioxidant Potential of Red Wines. Food Chem. 2012, 131, 513–518. [Google Scholar] [CrossRef]
  38. Ntuli, R.G.; Ponangi, R.; Jeffery, D.W.; Wilkinson, K.L. Color Extraction and Stability of Rubired Juice Concentrate Produced via Conventional Must Heating or Flash Détente Processing. ACS Food Sci. Technol. 2021, 1, 829–838. [Google Scholar] [CrossRef]
  39. Ntuli, R.G.; Saltman, Y.; Ponangi, R.; Jeffery, D.W.; Bindon, K.; Wilkinson, K.L. Impact of Fermentation Temperature and Grape Solids Content on the Chemical Composition and Sensory Profiles of Cabernet Sauvignon Wines Made from Flash Détente Treated Must Fermented Off-Skins. Food Chem. 2022, 369, 130861. [Google Scholar] [CrossRef]
  40. Ntuli, R.G.; Ponangi, R.; Jeffery, D.W.; Wilkinson, K.L. Impact of Juice Extraction Method (Flash Détente vs. Conventional Must Heating) and Chemical Treatments on Color Stability of Rubired Juice Concentrates under Accelerated Aging Conditions. Foods 2020, 9, 1270. [Google Scholar] [CrossRef]
  41. Mozzon, M.; Savini, S.; Boselli, E.; Thorngate, J. The Herbaceous Character of Wines. Ital. J. Food Sci. 2016, 28, 190–207. [Google Scholar] [CrossRef]
  42. Pickering, G.J.; Lin, Y.; Reynolds, A.; Soleas, G.; Riesen, R.; Brindle, I. The Influence of Harmonia Axyridis on Wine Composition and Aging. J. Food Sci. 2005, 70, S128–S135. [Google Scholar] [CrossRef]
  43. Botezatu, A.I.; Kotseridis, Y.; Inglis, D.; Pickering, G.J. Occurrence and Contribution of Alkyl Methoxypyrazines in Wine Tainted by Harmonia Axyridis and Coccinella Septempunctata. J. Sci. Food Agric. 2013, 93, 803–810. [Google Scholar] [CrossRef]
  44. Kögel, S.; Botezatu, A.; Hoffmann, C.; Pickering, G. Methoxypyrazine Composition of Coccinellidae-Tainted Riesling and Pinot Noir Wine from Germany. J. Sci. Food Agric. 2015, 95, 509–514. [Google Scholar] [CrossRef] [PubMed]
  45. Pickering, G. Origin and Remediation of Asian Lady Beetle (Harmonia Axyridis) Taint in Wine. In Crops: Growth, Quality and Biotechnology; WFL Publisher: Helsinki, Finland, 2006; pp. 785–794. ISBN 978-952-91-8601-3. [Google Scholar]
  46. Galvan, T.L.; Kells, S.; Hutchison, W.D. Determination of 3-Alkyl-2-Methoxypyrazines in Lady Beetle-Infested Wine by Solid-Phase Microextraction Headspace Sampling. J. Agric. Food Chem. 2008, 56, 1065–1071. [Google Scholar] [CrossRef] [PubMed]
  47. Dachery, B.; Veras, F.F.; Dal Magro, L.; Manfroi, V.; Welke, J.E. Exposure Risk Assessment to Ochratoxin A through Consumption of Juice and Wine Considering the Effect of Steam Extraction Time and Vinification Stages. Food Chem. Toxicol. 2017, 109, 237–244. [Google Scholar] [CrossRef] [PubMed]
  48. Lopes, M.L.M.; Miguel, M.A.L.; Fialho, E.; Valente-Mesquita, V.L. Grape Juice Obtained Using Steam Extraction and Other Small-Scale Extraction Methods: Phenolic Content, Antioxidant Capacity and Stability during Storage. Int. J. Food Sci. Technol. 2016, 51, 1696–1702. [Google Scholar] [CrossRef]
  49. Auw, J.M.; Blanco, V.; O’Keefe, S.F.; Sims, C.A. Effect of Processing on the Phenolics and Color of Cabernet Sauvignon, Chambourcin, and Noble Wines and Juices. Am. J. Enol. Vitic. 1996, 47, 279–286. [Google Scholar] [CrossRef]
  50. Yokotsuka, K.; Sato, M.; Ueno, N.; Singleton, V.L. Colour and Sensory Characteristics of Merlot Red Wines Caused by Prolonged Pomace Contact. J. Wine Res. 2000, 11, 7–18. [Google Scholar] [CrossRef]
  51. Gómez-Plaza, E.; Gil-Muñoz, R.; López-Roca, J.M.; Martínez-Cutillas, A.; Fernández-Fernández, J.I. Phenolic Compounds and Color Stability of Red Wines: Effect of Skin Maceration Time. Am. J. Enol. Vitic. 2001, 52, 266–270. [Google Scholar] [CrossRef]
  52. Gómez-Plaza, E.; Gil-Muñoz, R.; López-Roca, J.M.; Martínez, A. Color and Phenolic Compounds of a Young Red Wine. Influence of Wine-Making Techniques, Storage Temperature, and Length of Storage Time. J. Agric. Food Chem. 2000, 48, 736–741. [Google Scholar] [CrossRef]
  53. Roman, T.; Barp, L.; Malacarne, M.; Nardin, T.; Nicolini, G.; Larcher, R. Mono- and Di-Glucoside Anthocyanins Extraction during the Skin Contact Fermentation in Hybrid Grape Varieties. Eur. Food Res. Technol. 2019, 245, 2373–2383. [Google Scholar] [CrossRef]
  54. Springer, L.F.; Sacks, G.L. Protein-Precipitable Tannin in Wines from Vitis vinifera and Interspecific Hybrid Grapes (Vitis Ssp.): Differences in Concentration, Extractability, and Cell Wall Binding. J. Agric. Food Chem. 2014, 62, 7515–7523. [Google Scholar] [CrossRef] [PubMed]
  55. Springer, L.F.; Chen, L.-A.; Stahlecker, A.C.; Cousins, P.; Sacks, G.L. Relationship of Soluble Grape-Derived Proteins to Condensed Tannin Extractability during Red Wine Fermentation. J. Agric. Food Chem. 2016, 64, 8191–8199. [Google Scholar] [CrossRef] [PubMed]
  56. Kemp, B.; Pedneault, K.; Pickering, G.; Usher, K.; Willwerth, J. Chapter 23—Red Winemaking in Cool Climates. In Red Wine Technology; Morata, A., Ed.; Academic Press: Cambridge, MA, USA, 2019; pp. 341–356. ISBN 978-0-12-814399-5. [Google Scholar]
  57. Watrelot, A.A.; Norton, E.L. Chemistry and Reactivity of Tannins in Vitis Spp.: A Review. Molecules 2020, 25, 2110. [Google Scholar] [CrossRef] [PubMed]
  58. Fredrickson, A.J.; Manns, D.C.; Mansfield, A.K. Addition Rate of Exogenous Tannin for Optimal Tannin Retention in Hybrid Red Wines. Am. J. Enol. Vitic. 2020, 71, 62–69. [Google Scholar] [CrossRef]
  59. VanderWeide, J.; Forte, A.; Peterlunger, E.; Sivilotti, P.; Medina-Meza, I.G.; Falchi, R.; Rustioni, L.; Sabbatini, P. Increase in Seed Tannin Extractability and Oxidation Using a Freeze-Thaw Treatment in Cool-Climate Grown Red (Vitis vinifera L.) Cultivars. Food Chem. 2020, 308, 125571. [Google Scholar] [CrossRef]
  60. Rustioni, L.; Cola, G.; VanderWeide, J.; Murad, P.; Failla, O.; Sabbatini, P. Utilization of a Freeze-Thaw Treatment to Enhance Phenolic Ripening and Tannin Oxidation of Grape Seeds in Red (Vitis vinifera L.) Cultivars. Food Chem. 2018, 259, 139–146. [Google Scholar] [CrossRef]
  61. Alcalde-Eon, C.; García-Estévez, I.; Ferreras-Charro, R.; Rivas-Gonzalo, J.C.; Ferrer-Gallego, R.; Escribano-Bailón, M.T. Adding Oenological Tannin vs. Overripe Grapes: Effect on the Phenolic Composition of Red Wines. J. Food Compos. Anal. 2014, 34, 99–113. [Google Scholar] [CrossRef]
  62. Nicolle, P.; Marcotte, C.; Angers, P.; Pedneault, K. Co-Fermentation of Red Grapes and White Pomace: A Natural and Economical Process to Modulate Hybrid Wine Composition. Food Chem. 2018, 242, 481–490. [Google Scholar] [CrossRef]
  63. Haggerty, L.L. Ripening Profile of Grape Berry Acids and Sugars in University of Minnesota Wine Grape Cultivars, Select Vitis Vinifera, and Other Hybrid Cultivars; University of Minnesota: Minneapolis, MN, USA, 2013. [Google Scholar]
  64. Spayd, S.E.; Nagel, C.W.; Hayrynen, L.D.; Ahmedullah, M. Effect of Freezing Fruit on the Composition of Musts and Wines. Am. J. Enol. Vitic. 1987, 38, 243–245. [Google Scholar] [CrossRef]
Figure 1. Reduction in sugars across fermentation date for fermenting ‘Frontenac’ wines produced from frozen musts using four different skin extraction treatments (bars indicate standard error of the mean for individual treatments, n = 3).
Figure 1. Reduction in sugars across fermentation date for fermenting ‘Frontenac’ wines produced from frozen musts using four different skin extraction treatments (bars indicate standard error of the mean for individual treatments, n = 3).
Fermentation 09 00317 g001
Figure 2. Scree plot (A) and trait contributions to PC1 (B), PC2 (C), and PC3 (D) of wine across fermentation dates for fermenting ‘Frontenac’ wines produced from frozen musts using four different skin extraction treatments. Red line indicates traits significantly contributing to PC1, PC2 and PC3. Abbreviations: a = a* (green-red); b = b* (blue-yellow); C = C* (chroma); CD = color density; CH = color hue; Date = date of fermentation; DRP = degree red pigment coloration %; h = hue; L = L* (lightness); RP = total red pigments; RS = residual sugar; TA = total acidity; TP = total phenolics.
Figure 2. Scree plot (A) and trait contributions to PC1 (B), PC2 (C), and PC3 (D) of wine across fermentation dates for fermenting ‘Frontenac’ wines produced from frozen musts using four different skin extraction treatments. Red line indicates traits significantly contributing to PC1, PC2 and PC3. Abbreviations: a = a* (green-red); b = b* (blue-yellow); C = C* (chroma); CD = color density; CH = color hue; Date = date of fermentation; DRP = degree red pigment coloration %; h = hue; L = L* (lightness); RP = total red pigments; RS = residual sugar; TA = total acidity; TP = total phenolics.
Fermentation 09 00317 g002
Figure 3. Depiction of principal component analysis: (A) loading plot and (B) biplot of individual sample values plotted along PC1 and PC2 for wine across fermentation date of fermenting ‘Frontenac’ wines produced from frozen musts using four different skin extraction treatments (circle= 1 DAI; square= 9 DAI; diamond = Rosé; triangle= steam). Abbreviations: a = a* (green−red); b = b* (blue−yellow); C = C* (chroma); CD = color density; CH = color hue; Date = date of fermentation; DRP = degree red pigment coloration %; h = hue; L = L* (lightness); RP = total red pigments; RS = residual sugar; TA = total acidity; TP = total phenolics.
Figure 3. Depiction of principal component analysis: (A) loading plot and (B) biplot of individual sample values plotted along PC1 and PC2 for wine across fermentation date of fermenting ‘Frontenac’ wines produced from frozen musts using four different skin extraction treatments (circle= 1 DAI; square= 9 DAI; diamond = Rosé; triangle= steam). Abbreviations: a = a* (green−red); b = b* (blue−yellow); C = C* (chroma); CD = color density; CH = color hue; Date = date of fermentation; DRP = degree red pigment coloration %; h = hue; L = L* (lightness); RP = total red pigments; RS = residual sugar; TA = total acidity; TP = total phenolics.
Fermentation 09 00317 g003
Figure 4. Lightness (L*) of wine across fermentation date for fermenting ‘Frontenac’ wines produced from frozen musts using four different skin extraction treatments (circle= 1 DAI; square= 9 DAI; diamond = Rosé; triangle= steam; bars indicate standard error of the mean for individual treatments, n = 3).
Figure 4. Lightness (L*) of wine across fermentation date for fermenting ‘Frontenac’ wines produced from frozen musts using four different skin extraction treatments (circle= 1 DAI; square= 9 DAI; diamond = Rosé; triangle= steam; bars indicate standard error of the mean for individual treatments, n = 3).
Fermentation 09 00317 g004
Figure 5. Box plots of total red pigments (A) and total phenolics (B) in final ‘Frontenac’ wines produced from frozen musts using four different skin extraction treatments. Treatments labeled with the same letters are not significantly different according to Tukey’s HSD at α = 0.05.
Figure 5. Box plots of total red pigments (A) and total phenolics (B) in final ‘Frontenac’ wines produced from frozen musts using four different skin extraction treatments. Treatments labeled with the same letters are not significantly different according to Tukey’s HSD at α = 0.05.
Fermentation 09 00317 g005
Table 1. Treatment descriptions for ‘Frontenac’ wines produced from frozen musts using four different skin extraction treatments.
Table 1. Treatment descriptions for ‘Frontenac’ wines produced from frozen musts using four different skin extraction treatments.
TreatmentPre-Fermentation TreatmentSkin Contact
RoséNone0 days on skin fermentation
1 DAINone1 day on skin fermentation
9 DAINone9 days on skin fermentation
SteamSteam juice extraction0 days on skin fermentation
Table 2. Pre-fermentation sugars for ‘Frontenac’ frozen musts based on two pre-fermentation treatments.
Table 2. Pre-fermentation sugars for ‘Frontenac’ frozen musts based on two pre-fermentation treatments.
Pre-Fermentation TreatmentGlucose (g/L)Fructose (g/L)Fermentable Sugars (g/L)
Control105.66±1.77 ns 178.27±0.22 ns183.94±1.87 ns
Steam102.47±1.5776.62±2.48179.10±2.45
F ratio0.95351.51621.8316
p0.35190.24640.2057
1 Means followed by the same letter within columns are not significantly different according to Student’s t-test at α = 0.05; ns = not significant. Values are listed as mean ± standard error of replicates.
Table 3. Pre-fermentation acid attributes for ‘Frontenac’ frozen musts based on two pre-fermentation treatments.
Table 3. Pre-fermentation acid attributes for ‘Frontenac’ frozen musts based on two pre-fermentation treatments.
Pre-Fermentation TreatmentpHMalic (g/L)Tartaric (g/L)Total Acidity (g/L)
Control3.48±0.03 ns 16.36±0.22 ns0.47±0.05 ns6.4±0.2 ns
Steam3.41±0.026.32±0.420.48±0.086.0±0.1
F ratio1.33990.25510.00711.9149
p0.27390.98320.93430.1965
1 Means followed by the same letter within columns are not significantly different according to Student’s t-test at α = 0.05; ns = not significant. Values are listed as mean ± standard error of replicates.
Table 4. Pre-fermentation YAN, pigments, and phenolics for ‘Frontenac’ frozen musts based on two pre-fermentation treatments.
Table 4. Pre-fermentation YAN, pigments, and phenolics for ‘Frontenac’ frozen musts based on two pre-fermentation treatments.
Pre-Fermentation TreatmentYAN (mg/L)Total Red Pigments (AU)Total Phenolics (AU)
Control193.76±5.22 ns 138.51±1.80 ns35.03±1.44 ns
Steam184.66±2.9746.90±4.6240.44±3.59
F ratio0.92394.37462.8962
p0.35910.06300.1196
1 Means followed by the same letter within columns are not significantly different according to Student’s t-test at α = 0.05; ns = not significant. Values are listed as mean ± standard error of replicates.
Table 5. Pre-fermentation color attributes for ‘Frontenac’ frozen musts based on two pre-fermentation treatments.
Table 5. Pre-fermentation color attributes for ‘Frontenac’ frozen musts based on two pre-fermentation treatments.
Pre-Fermentation TreatmentL*a*b*C*hAverage Color of Musts
Control14.08±0.83 a 144.74±0.95 a23.08±1.23 a50.38±1.41 a27.13±0.76 a
Steam3.70±1.44 b23.91±3.85 b6.31±1.272 b24.74±4.05 b14.59±0.57 b
F ratio39.137463.220653.027761.293580.8323
p<0.0001<0.0001<0.0001<0.0001<0.0001
1 Means followed by the same letter within columns are not significantly different according to Student’s t-test at α = 0.05; ns = not significant. Values are listed as mean ± standard error of replicates.
Table 6. Final wine acid attributes two years after bottling for ‘Frontenac’ wines produced from frozen musts using four different skin extraction treatments.
Table 6. Final wine acid attributes two years after bottling for ‘Frontenac’ wines produced from frozen musts using four different skin extraction treatments.
TreatmentpHTotal Acidity (g/L)Tartaric Acid (g/L)Malic Acid (g/L)
1 DAI3.35±0.04 ns 17.20±0.16 ns0.77±0.03 ns5.73±0.04 ns
9 DAI3.36±0.057.07±0.341.33±0.235.73±0.36
Rosé3.41±0.027.07±0.040.92±0.275.72±0.33
Steam3.43±0.066.40±0.481.48±0.306.33±0.32
F ratio0.61941.81961.57520.6926
p0.62760.98220.08180.5893
1 Means followed by the same letter within columns are not significantly different according to Tukey’s HSD at α = 0.05; ns = not significant. Values are listed as mean ± standard error of replicates.
Table 7. Final wine ethanol and glycerol content two years after bottling for ‘Frontenac’ wines produced from frozen musts using four skin extraction treatments.
Table 7. Final wine ethanol and glycerol content two years after bottling for ‘Frontenac’ wines produced from frozen musts using four skin extraction treatments.
TreatmentEthanolGlycerol
1 DAI10.22±0.18 ns 17.98±0.28 ns
9 DAI10.18±0.327.28±0.81
Rosé10.20±0.437.27±0.66
Steam10.40±0.289.22±1.35
F ratio0.07960.9982
p0.31240.4478
1 Means followed by the same letter within columns are not significantly different according to Tukey’s HSD at α = 0.05; ns = not significant. Values are listed as mean ± standard error of replicates.
Table 8. Final wine color density, color intensity, color hue, and degree red pigmentation in final ‘Frontenac’ wines produced from frozen musts using four different skin extraction treatments.
Table 8. Final wine color density, color intensity, color hue, and degree red pigmentation in final ‘Frontenac’ wines produced from frozen musts using four different skin extraction treatments.
TreatmentColor Density (AU)Color Intensity (AU)Color HueDegree Red Pigment (%)
1 DAI7.57±0.19 ab 18.24±0.20 ab0.99±0.06 ns14.12±0.05 ns
9 DAI8.19±0.47 a8.98±0.54 a1.06±0.0415.84±1.78
Rosé5.89±0.31 b6.45±0.33 b0.98±0.0311.48±1.11
Steam5.93±0.61 b6.53±0.65 b0.94±0.0315.00±1.22
F ratio7.50237.32621.53042.3162
p0.00150.00170.23740.1065
1 Means followed by the same letter within columns are not significantly different according to Tukey’s HSD at α = 0.05; ns = not significant. Values are listed as mean ± standard error of replicates.
Table 9. Final wine color (CIELAB color space) two years after bottling for ‘Frontenac’ wines produced from frozen musts using four different skin extraction treatments.
Table 9. Final wine color (CIELAB color space) two years after bottling for ‘Frontenac’ wines produced from frozen musts using four different skin extraction treatments.
TreatmentL*a*b*C*hAverage Color of Wines
1 DAI19.47±1.77 bc 150.25±1.57 b32.81±2.11 ab60.02±2.37 b33.15±1.10 ab
9 DAI16.73±2.29 c47.62±0.98 c28.47±2.99 c55.54±2.22 c30.71±2.31 b
Rosé22.27±1.15 a53.21±0.48 a36.67±1.83 a64.63±0.94 a34.59±1.59 a
Steam22.47±3.07 ab50.56±1.05 b32.64±1.86 b60.19±1.89 b32.78±0.97 ab
F ratio12.476323.711811.984819.83185.5506
p<0.0001<0.00010.0002<0.00010.0071
1 Means followed by the same letter within columns are not significantly different according to Tukey’s HSD at α = 0.05; ns = not significant. Values are listed as mean ± standard error of replicates.
Disclaimer/Publisher’s Note: The statements, opinions and data contained in all publications are solely those of the individual author(s) and contributor(s) and not of MDPI and/or the editor(s). MDPI and/or the editor(s) disclaim responsibility for any injury to people or property resulting from any ideas, methods, instructions or products referred to in the content.

Share and Cite

MDPI and ACS Style

Svyantek, A.; Wang, Z.; Hatterman-Valenti, H. Impact of Steam Extraction and Maceration Duration on Wines from Frozen ‘Frontenac’ Must. Fermentation 2023, 9, 317. https://doi.org/10.3390/fermentation9040317

AMA Style

Svyantek A, Wang Z, Hatterman-Valenti H. Impact of Steam Extraction and Maceration Duration on Wines from Frozen ‘Frontenac’ Must. Fermentation. 2023; 9(4):317. https://doi.org/10.3390/fermentation9040317

Chicago/Turabian Style

Svyantek, Andrej, Zhuoyu Wang, and Harlene Hatterman-Valenti. 2023. "Impact of Steam Extraction and Maceration Duration on Wines from Frozen ‘Frontenac’ Must" Fermentation 9, no. 4: 317. https://doi.org/10.3390/fermentation9040317

APA Style

Svyantek, A., Wang, Z., & Hatterman-Valenti, H. (2023). Impact of Steam Extraction and Maceration Duration on Wines from Frozen ‘Frontenac’ Must. Fermentation, 9(4), 317. https://doi.org/10.3390/fermentation9040317

Note that from the first issue of 2016, this journal uses article numbers instead of page numbers. See further details here.

Article Metrics

Back to TopTop