Sign in to use this feature.

Years

Between: -

Subjects

remove_circle_outline
remove_circle_outline
remove_circle_outline
remove_circle_outline
remove_circle_outline
remove_circle_outline
remove_circle_outline
remove_circle_outline

Journals

Article Types

Countries / Regions

Search Results (104)

Search Parameters:
Keywords = cocaine dependence

Order results
Result details
Results per page
Select all
Export citation of selected articles as:
18 pages, 1573 KB  
Article
Cognitive Flexibility and Inhibition Deficits in HIV and Cocaine Dependence: Evidence from Stroop and Trail Making Tests
by Sarah E. Nigro, Minjie Wu, Betty Jo Salmeron, Sharmin Islam-Souleimanova, Eve Lauer, Anthony C. Juliano, Alinda R. Lord, Atash Sabet, Lisa H. Lu, T. Celeste Napier, Audrey L. French, Howard J. Aizenstein, Yihong Yang and Shaolin Yang
Viruses 2026, 18(1), 122; https://doi.org/10.3390/v18010122 (registering DOI) - 16 Jan 2026
Abstract
Objective: To better define potential executive function difficulties in individuals living with HIV but not clinically identified as having HAND, with and without mild to moderate cocaine dependence (CD), our cross-sectional study examined executive function performance on the Stroop Color-Word Test (Stroop) and [...] Read more.
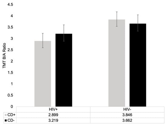
Objective: To better define potential executive function difficulties in individuals living with HIV but not clinically identified as having HAND, with and without mild to moderate cocaine dependence (CD), our cross-sectional study examined executive function performance on the Stroop Color-Word Test (Stroop) and the Trail Making Test (TMT) in four groups stratified by HIV and CD status. Method: We recruited 101 participants (26 HIV+/CD+; 18 HIV+/CD−; 30 HIV−/CD+; 27 HIV−/CD−). We utilized a 2 (HIV: yes/no) × 2 (Cocaine: yes/no) MANCOVA while controlling for age and premorbid intelligence on the Stroop trials (i.e., color-naming, word-reading, interference), and TMT-A and TMT-B z-scores, number of errors, and the B/A ratio. Results: HIV was associated with significantly slower performance on the Stroop Interference (p = 0.012, η2 = 0.064). CD showed a trend towards slower performance on interference trials (p = 0.061, η2 = 0.037) and was associated with significantly more errors on the Stroop Word-Reading (p = 0.028, η2 = 0.050) and Interference trials (p = 0.046, η2 = 0.041), suggestive of difficulties with inhibitory control and written language processing. There were no significant HIV × Cocaine interactions. Conclusions: Our results suggest HIV without clinically identified cognitive impairment and CD are associated with distinct and potentially overlapping executive functioning deficits, particularly for measures of inhibitory control. Notably, CD showed trend-level slowing on Stroop Interference performance, suggesting partial overlap with HIV effects. Clarifying the specific cognitive processes impacted by HIV and CD can help guide tailored interventions to improve functional outcomes in these populations. Full article
(This article belongs to the Special Issue HIV Neurological Disorders: 2nd Edition)
Show Figures

Figure 1

12 pages, 636 KB  
Article
Association Between Dental Caries and Unemployment Among U.S. Adults with a History of Illicit Drugs
by Sucharu Ghosh, Samarpita Chatterjee, Changyong Feng, Janine Burkhardt and Sangeeta Gajendra
Dent. J. 2025, 13(12), 548; https://doi.org/10.3390/dj13120548 - 21 Nov 2025
Viewed by 419
Abstract
Objectives: This study aims to explore the relationship between dental caries and unemployment among U.S. adults who have engaged in illicit drug use, such as cocaine, heroin, and methamphetamine. Methods: The National Health and Nutrition Examination Survey (2015–2018) data were analyzed. The independent [...] Read more.
Objectives: This study aims to explore the relationship between dental caries and unemployment among U.S. adults who have engaged in illicit drug use, such as cocaine, heroin, and methamphetamine. Methods: The National Health and Nutrition Examination Survey (2015–2018) data were analyzed. The independent variable was severe dental caries (defined as DMFT > 13.99), and the dependent variable was employment status. The sample was categorized into non-users, current users (used in the past year), and former users (used prior to the past year). Covariates included age, education, race, gender, smoking status, family income-to-federal poverty level ratio, and health insurance status. Logistic regression with survey weights was applied to assess associations between severe dental caries and employment status. Results: The total sample (n = 5476) represented 131,848,604 U.S. adults aged 18–59 years, with 4% current users and 12% former users of the specified drugs. Among current users, those with severe caries had higher odds of unemployment (OR = 2.6, p = 0.025) compared to those without severe caries. No significant association was found between severe caries and employment status among former users after controlling for covariates. Conclusions: The study underscores a significant association between severe dental caries and unemployment among U.S. adults who have used illicit drugs in the past year. These findings suggest a potential need for targeted oral health interventions in this population to improve economic well-being. Future research should focus on longitudinal studies to establish causality and explore mechanisms through which dental health may impact employment prospects. Full article
(This article belongs to the Section Dental Education)
Show Figures

Figure 1

21 pages, 348 KB  
Article
The Divergent Associations of LGBTQ+ Belongingness with Illicit Drug Use and Alcohol Consumption Among Adults in Kentucky
by Keith J. Watts, Shawndaya S. Thrasher, Laneshia R. Conner, Kathryn Showalter, DeKeitra Griffin, Sydney P. Howard, Elaine M. Maccio and Justin X. Moore
Sexes 2025, 6(3), 44; https://doi.org/10.3390/sexes6030044 - 9 Aug 2025
Viewed by 1413
Abstract
LGBTQ+ individuals face substance use disparities linked to minority stress. While community belongingness may buffer stress, its role is complex. This study examined divergent associations between belongingness within the LGBTQ+ community and lifetime illicit drug use versus past-year alcohol frequency among LGBTQ+ adults [...] Read more.
LGBTQ+ individuals face substance use disparities linked to minority stress. While community belongingness may buffer stress, its role is complex. This study examined divergent associations between belongingness within the LGBTQ+ community and lifetime illicit drug use versus past-year alcohol frequency among LGBTQ+ adults in Kentucky (n = 2953), a region with notably high rates of substance use. Methods: Cross-sectional online survey data were analyzed. We measured LGBTQ+ belongingness, lifetime use of cocaine/crack/heroin/methamphetamine, and past-year alcohol frequency. Logistic and linear regressions controlled for age, education, gender identity, and income. Results: Greater belongingness predicted significantly higher odds of lifetime illicit drug use (OR = 1.24) but lower past-year alcohol consumption frequency (B = −0.094). Transgender and gender expansive identity predicted significantly higher illicit drug use odds and higher alcohol frequency. Conclusions: In this Kentucky sample, LGBTQ+ belongingness showed divergent substance use associations: it was protective against frequent alcohol use but, unexpectedly, was associated with higher odds of lifetime illicit drug use. Findings highlight belongingness’s complex, context-dependent nature and the need for nuanced research and interventions considering substance type and specific vulnerabilities, particularly for TGE individuals. Full article
29 pages, 3037 KB  
Review
Methods for GC/MS Analysis of the Most Commonly Seized Drugs of Abuse and Their Metabolites in Biological Samples
by Ivan Kojić, Violeta M. Đurović, Yulia A. Smyatskaya, Nemanja Brkljača, Angi E. Skhvediani, Andrey V. Vasin, Ksenija Stojanović and Saša D. Đurović
Chemosensors 2025, 13(8), 286; https://doi.org/10.3390/chemosensors13080286 - 4 Aug 2025
Cited by 1 | Viewed by 8802
Abstract
Gas chromatography with mass spectrometry (GC-MS) is a common analytical technique used for identifying and quantifying drugs of abuse, as well as their metabolites, extracted from biological samples. Depending on the properties of the analyzed compounds, particularly in the case of metabolites, derivatization [...] Read more.
Gas chromatography with mass spectrometry (GC-MS) is a common analytical technique used for identifying and quantifying drugs of abuse, as well as their metabolites, extracted from biological samples. Depending on the properties of the analyzed compounds, particularly in the case of metabolites, derivatization is often necessary. In this article, we will address the definition, properties, sample preparation, and GC-MS analysis of the most common drugs of abuse in their native (seized) form and their metabolites in biological samples (urine, blood, hair, and tissue). Drugs that will be described are: amphetamines and their derivatives, cannabinoids, cocaine, opioids, lysergide (LSD), benzodiazepines, gamma-hydroxybutyric acid (GHB), phencyclidine (PCP), mescaline, psilocin, and psilocybin. The literature review showed that the analysis of the drugs of abuse requires a simple extraction procedure and analysis with or without derivatization. However, the analysis of the metabolites requires removing the interferences from the matrix (proteins, other compounds, water, and other species that may interfere with the analysis or contaminate the GC-MS). This review article will provide insights into the available procedures for sample preparation and analytical methods, helping authors gain the necessary information and select the desired procedure for analysis. Full article
Show Figures

Figure 1

46 pages, 2278 KB  
Review
Melanin-Concentrating Hormone (MCH): Role in Mediating Reward-Motivated and Emotional Behavior and the Behavioral Disturbances Produced by Repeated Exposure to Reward Substances
by Olga Karatayev and Sarah F. Leibowitz
Int. J. Mol. Sci. 2025, 26(15), 7143; https://doi.org/10.3390/ijms26157143 - 24 Jul 2025
Viewed by 2310
Abstract
Clinical and animal studies suggest that multiple brain systems are involved in mediating reward-motivated and related emotional behavior including the consumption of commonly used drugs and palatable food, and there is evidence that the repeated ingestion of or exposure to these rewarding substances [...] Read more.
Clinical and animal studies suggest that multiple brain systems are involved in mediating reward-motivated and related emotional behavior including the consumption of commonly used drugs and palatable food, and there is evidence that the repeated ingestion of or exposure to these rewarding substances may in turn stimulate these brain systems to produce an overconsumption of these substances along with co-occurring emotional disturbances. To understand this positive feedback loop, this review focuses on a specific population of hypothalamic peptide neurons expressing melanin-concentrating hormone (MCH), which are positively related to dopamine reward and project to forebrain areas that mediate this behavior. It also examines neurons expressing the peptide hypocretin/orexin (HCRT) that are anatomically and functionally linked to MCH neurons and the molecular systems within these peptide neurons that stimulate their development and ultimately affect behavior. This report first describes evidence in animals that exposure in adults and during adolescence to rewarding substances, such as the drugs alcohol, nicotine and cocaine and palatable fat-rich food, stimulates the expression of MCH as well as HCRT and their intracellular molecular systems. It also increases reward-seeking and emotional behavior, leading to excess consumption and abuse of these substances and neurological conditions, completing this positive feedback loop. Next, this review focuses on the model involving embryonic exposure to these rewarding substances. In addition to revealing a similar positive feedback circuit, this model greatly advances our understanding of the diverse changes that occur in these neuropeptide/molecular systems in the embryo and how they relate, perhaps causally, to the disturbances in behavior early in life that predict a later increased risk of developing substance use disorders. Studies using this model demonstrate in animals that embryonic exposure to these rewarding substances, in addition to stimulating the expression of peptide neurons, increases the intracellular molecular systems in neuroprogenitor cells that promote their development. It also alters the morphology, migration, location and neurochemical profile of the peptide neurons and causes them to develop aberrant neuronal projections to forebrain structures. Moreover, it produces disturbances in behavior at a young age, which are sex-dependent and occur in females more than in males, that can be directly linked to the neuropeptide/molecular changes in the embryo and predict the development of behavioral disorders later in life. These results supporting the close relationship between the brain and behavior are consistent with clinical studies, showing females to be more vulnerable than males to developing substance use disorders with co-occurring emotional conditions and female offspring to respond more adversely than male offspring to prenatal exposure to rewarding substances. It is concluded that the continued consumption of or exposure to rewarding substances at any stage of life can, through such peptide brain systems, significantly increase an individual’s vulnerability to developing neurological disorders such as substance use disorders, anxiety, depression, or cognitive impairments. Full article
(This article belongs to the Special Issue The Role of Neurons in Human Health and Disease—3rd Edition)
Show Figures

Figure 1

14 pages, 4042 KB  
Article
Conditional Deletion of Translin/Trax in Dopaminergic Neurons Reveals No Impact on Psychostimulant Behaviors or Adiposity
by Yunlong Liu, Renkun Wu, Gaiyuan Geng, Helian Yang, Chunmiao Wang, Mengtian Ren and Xiuping Fu
Biomolecules 2025, 15(7), 1040; https://doi.org/10.3390/biom15071040 - 17 Jul 2025
Viewed by 767
Abstract
Despite the abundant expression of the microRNA-degrading Translin (TN)/Trax (TX) complex in midbrain dopaminergic (DA) neurons and its implication in neuropsychiatric disorders, its cell-autonomous roles in metabolic and behavioral responses remain unclear. To address this, we generated DA neuron-specific conditional knockout (cKO) mice [...] Read more.
Despite the abundant expression of the microRNA-degrading Translin (TN)/Trax (TX) complex in midbrain dopaminergic (DA) neurons and its implication in neuropsychiatric disorders, its cell-autonomous roles in metabolic and behavioral responses remain unclear. To address this, we generated DA neuron-specific conditional knockout (cKO) mice for Tsn (TN) or Tsnax (TX) using DAT-Cre. Immunostaining confirmed efficient TX loss in Tsnax cKO DA neurons without affecting TN, while Tsn deletion abolished TX expression, revealing asymmetric protein dependency. Body composition analysis showed no alterations in adiposity in either cKO model. Locomotor responses to acute or repeated administration of cocaine (20 mg/kg) or amphetamine (2.5 mg/kg) were unchanged in Tsn or Tsnax cKO mice. Furthermore, amphetamine-induced conditioned place preference (1 mg/kg) was unaffected. These results demonstrate that the TN/TX complex within DA neurons is dispensable for regulating adiposity, psychostimulant-induced locomotion (both acute and sensitized), or amphetamine reward-related behavior, suggesting its critical functions may lie outside these specific domains. Full article
(This article belongs to the Section Molecular Genetics)
Show Figures

Figure 1

32 pages, 3113 KB  
Review
Exploring the Impact of Chirality of Synthetic Cannabinoids and Cathinones: A Systematic Review on Enantioresolution Methods and Enantioselectivity Studies
by Ana Sofia Almeida, Rita M. G. Santos, Paula Guedes de Pinho, Fernando Remião and Carla Fernandes
Int. J. Mol. Sci. 2025, 26(13), 6471; https://doi.org/10.3390/ijms26136471 - 4 Jul 2025
Cited by 1 | Viewed by 1533
Abstract
New psychoactive substances (NPSs) are emerging narcotics or psychotropics that pose a public health risk. The most commonly reported NPSs are synthetic cannabinoids and synthetic cathinones. Synthetic cannabinoids mimic the effects of Δ9-tetrahydrocannabinol (Δ9-THC), often with greater potency, while synthetic cathinones act as [...] Read more.
New psychoactive substances (NPSs) are emerging narcotics or psychotropics that pose a public health risk. The most commonly reported NPSs are synthetic cannabinoids and synthetic cathinones. Synthetic cannabinoids mimic the effects of Δ9-tetrahydrocannabinol (Δ9-THC), often with greater potency, while synthetic cathinones act as stimulants, frequently serving as cheaper alternatives to amphetamines, 3,4-methylenedioxymethamphetamine (MDMA) and cocaine. While some synthetic cannabinoids exhibit chirality depending on their synthesis precursors, synthetic cathinones are intrinsically chiral. Biotargets can recognize and differentiate between enantiomers, leading to distinct biological responses (enantioselectivity). Understanding these differences is crucial; therefore, the development of enantioresolution methods to assess the biological and toxicological effects of enantiomer is necessary. This work systematically compiles enantioselectivity studies and enantioresolution methods of synthetic cannabinoids and synthetic cathinones, following PRISMA guidelines. The main aim of this review is to explore the impact of chirality on these NPSs, improving our understanding of their toxicological behavior and evaluating advances in analytical techniques for their enantioseparation. Key examples from both groups are presented. This review highlights the importance of continuing research in this field, as demonstrated by the differing properties of synthetic cannabinoid and synthetic cathinone enantiomers, which are closely linked to variations in biological and toxicological outcomes. Full article
(This article belongs to the Section Biochemistry)
Show Figures

Figure 1

27 pages, 612 KB  
Systematic Review
Cocaine Cues Used in Experimental Research: A Systematic Review
by Eileen Brobbin, Natalie Lowry, Matteo Cella, Alex Copello, Simon Coulton, Jerome Di Pietro, Colin Drummond, Steven Glautier, Ceyda Kiyak, Thomas Phillips, Daniel Stahl, Shelley Starr, Lucia Valmaggia, Colin Williams and Paolo Deluca
Brain Sci. 2025, 15(6), 626; https://doi.org/10.3390/brainsci15060626 - 10 Jun 2025
Viewed by 4712
Abstract
Aims: Cue exposure therapy (CET) is a promising treatment approach for cocaine substance use disorder (SUD). CET specifically targets the psychological and physiological responses elicited by drug-related cues, aiming to reduce their motivational impact. To advance understanding of CET for cocaine treatment, [...] Read more.
Aims: Cue exposure therapy (CET) is a promising treatment approach for cocaine substance use disorder (SUD). CET specifically targets the psychological and physiological responses elicited by drug-related cues, aiming to reduce their motivational impact. To advance understanding of CET for cocaine treatment, this systematic review aims to categorise the range of cocaine cues used in research. Methods: A systematic review of the existing literature with searches conducted on PubMed and Web of Science bibliographic databases with no time constraints in August 2024 (PROSPERO: CRD42024554361). Three reviewers were independently involved in the screening, review and data extraction process, in line with PRISMA guidelines. Data extracted included participant demographics, study design, data on the cocaine cue task, and examples (if provided). Each study was appraised and received a quality score. The secondary outcome was to summarise examples for each category type identified. The data are presented as a narrative synthesis. Results: 3600 articles were identified and screened. 235 articles were included in the analysis. Cues identified included images, paraphernalia, drug-related words, cocaine smell, auditory stimuli presented via audiotapes, video recordings, scripts, and virtual reality environments, often combining multiple modalities. Included studies recruited cocaine-dependent individuals, recreational users, polydrug users, and non-cocaine-using controls. The sample sizes of the studies ranged from a single case study to a study including 1974 participants. Conclusions: This review found that studies employed a wide range of cue categories, but detailed examples were often lacking, limiting replication. The number and combination of cues varied: some studies used only cocaine-related images, while others included images, videos, physical items, and audiotapes. The level of immersion and personalisation also differed considerably. All studies used cocaine-specific cues, most commonly images or representations of cocaine substance, cocaine use or drug paraphernalia, drug preparation items, or conversations of cocaine use and its effects. The overall quality of the included studies was deemed good, with all adhering to standard research norms. While this review highlights the breath of cue types used in the literature, further research should focus on enhancing cue exposure techniques by incorporating more immersive and personalised stimuli, and by providing clearer documentation of cue characteristics to support replication and clinical translation. Full article
(This article belongs to the Special Issue Psychiatry and Addiction: A Multi-Faceted Issue)
Show Figures

Figure 1

13 pages, 644 KB  
Article
Patterns of Polydrug Use in Patients Presenting at the Emergency Department with Acute Intoxication
by Helena Manjón-Prado, Enrique Serrano Santos and Eduardo Osuna
Toxics 2025, 13(5), 380; https://doi.org/10.3390/toxics13050380 - 7 May 2025
Cited by 1 | Viewed by 1459
Abstract
Studies analyzing the prevalence of associated substance use are limited. Currently, the World Health Organization (WHO) defines polydrug use as the concurrent (simultaneous use) or sequential (use of one drug followed by another) abuse of more than one drug or type of drug, [...] Read more.
Studies analyzing the prevalence of associated substance use are limited. Currently, the World Health Organization (WHO) defines polydrug use as the concurrent (simultaneous use) or sequential (use of one drug followed by another) abuse of more than one drug or type of drug, with dependence on at least one. Associated drug consumption can exacerbate the adverse effects and complicate the clinical management of patients. This study aimed to investigate the prevalence of polydrug use, excluding tobacco, in patients presenting with acute intoxication in the Emergency Department (ED) of the Clinical University Hospital Virgen de la Arrixaca (Murcia, Spain) in the year 2023. To this end, a retrospective analysis of 2562 patients was conducted, examining demographic variables, substance use patterns, reasons for presenting to the ED, and the substances consumed by each patient. The study reveals an average patient age of 41 ± 0.5 (SD = 11.96) composed of predominantly male patients (74.4%). A high prevalence of benzodiazepines and cocaine use, often in combination, was observed. The main reasons for attendance included symptoms such as palpitations, dyspnea, vomiting, diarrhea, behavioral disturbances, and self-harm. Only 25.5% of patients admitted to consuming all substances detected in their analyses. Polydrug use is frequent in our environment, which can lead to added complexity in diagnosis and treatment. Consumption patterns show a profile strongly related to the age of the subject. Among the youngest subjects, tetrahydrocannabinol (THC) and benzodiazepines predominate, whilst among older subjects, alcohol and benzodiazepines, and sometimes cocaine, predominate. This study highlights the need to design specific intervention and prevention strategies to address patterns of substance abuse, the importance of family and community support, and the need to tackle challenges in identifying and treating cases of polysubstance abuse. Moreover, cooperation between the healthcare system and law enforcement is also important to obtain up-to-date knowledge of new drugs and their consumption patterns in an emergency context. Full article
(This article belongs to the Section Human Toxicology and Epidemiology)
Show Figures

Graphical abstract

16 pages, 2141 KB  
Article
Exploring Nepicastat Activity: Beyond DβH
by Rafal Jas, Marta Bauer, Błażej Grodner, Weronika Kończak, Karolina Frączek, Anna K. Laskowska, Małgorzata Milczarek, Wojciech Kamysz and Patrycja Kleczkowska
Int. J. Mol. Sci. 2025, 26(9), 4356; https://doi.org/10.3390/ijms26094356 - 3 May 2025
Cited by 1 | Viewed by 1280
Abstract
Recently, an old drug, disulfiram, has been shown to reduce cocaine intake by inhibiting dopamine beta (β)-hydroxylase. Its effectiveness was also reported in opioid treatment, as disulfiram attenuated morphine-induced tolerance and dependence. A similar mechanism of action was evident in a selective inhibitor [...] Read more.
Recently, an old drug, disulfiram, has been shown to reduce cocaine intake by inhibiting dopamine beta (β)-hydroxylase. Its effectiveness was also reported in opioid treatment, as disulfiram attenuated morphine-induced tolerance and dependence. A similar mechanism of action was evident in a selective inhibitor of DβH, nepicastat, particularly in the aspect of cocaine-seeking behavior. Hence, the objective of this study was to verify whether or not nepicastat reproduces disulfiram activity in pain reduction. Moreover, determination of its likely biological effects resulting from interactions with targets other than DβH has been given, in particular acetylcholinesterase. As was found, nepicastat was characterized by the absence of desired antinociceptive activity, though its co-administration with morphine resulted in a dose- and time-dependent enhancement of morphine-induced analgesic effect and attenuation of tolerance. Similarly, nepicastat was found to manifest antimicrobial potency against selected bacterial strains, although the effect was found to be weak. Intriguingly, this compound interacted with acetylcholinesterase through inhibition of its activity. These results clearly indicate nepicastat as a potent molecule that exhibits various biological effects. This, in turn, suggests its possible application in pathological conditions that still require effective treatment. Full article
(This article belongs to the Special Issue Drug Repurposing: Emerging Approaches to Drug Discovery)
Show Figures

Figure 1

16 pages, 310 KB  
Article
Trends in Homelessness and Social Sustainability: Veterans vs. Non-Veterans in the US
by Ângela Leite and Catarina Vieira da Silva
Healthcare 2025, 13(9), 967; https://doi.org/10.3390/healthcare13090967 - 22 Apr 2025
Cited by 1 | Viewed by 2131
Abstract
Introduction: Social sustainability is deeply connected to the well-being of marginalized groups, and it is important to highlight how mental health impacts the social inclusion of homeless individuals, particularly veterans. Homelessness is a growing global issue, disproportionately affecting U.S. veterans, with mental [...] Read more.
Introduction: Social sustainability is deeply connected to the well-being of marginalized groups, and it is important to highlight how mental health impacts the social inclusion of homeless individuals, particularly veterans. Homelessness is a growing global issue, disproportionately affecting U.S. veterans, with mental health challenges playing a significant role in its onset and perpetuation. Purpose: This study aims to compare the sociodemographic and clinical characteristics of homeless veterans and non-veterans in the U.S. Method: Using public data (N = 6295), this quantitative study applies descriptive and inferential statistical analyses. Results: Homeless veterans are more likely than non-veterans to be older, male, and identify as Caucasian or African American. They are more frequently high school graduates or have higher education, and report being divorced, widowed, married, or in varied employment statuses (full-time, part-time, or unemployed). Veterans exhibit higher rates of severe mental illnesses, schizophrenia, trauma- and stressor-related disorders, ADHD, bipolar disorder, personality disorders, depression, anxiety, and substance or alcohol use disorders. However, they are less likely than non-veterans to report substance-induced disorders, intoxication, dependence, or abuse involving cocaine, cannabis, opioids, and other substances. Conclusions: Psychosocial interventions for homeless veterans should prioritize mental health-related concerns, whereas efforts for homeless non-veterans should focus on addressing substance use. Future research should develop tailored interventions, explore the sociodemographic factors influencing homelessness, and investigate the interplay between trauma, mental health, and substance use. Addressing these issues can contribute to a more resilient, inclusive, and sustainable society by providing long-term support and integration opportunities for those most affected. The novelty of this study lies in distinguishing between mental health issues prevalent in veterans and substance use disorders more common in non-veterans, offering insights for tailored interventions. It also connects these findings to social sustainability, suggesting that addressing these issues can promote a more inclusive and resilient society. Full article
54 pages, 10552 KB  
Review
Plant Alkaloids as Promising Anticancer Compounds with Blood–Brain Barrier Penetration in the Treatment of Glioblastoma: In Vitro and In Vivo Models
by Marcin Ożarowski, Tomasz M. Karpiński, Bogusław Czerny, Adam Kamiński and Agnieszka Seremak-Mrozikiewicz
Molecules 2025, 30(7), 1561; https://doi.org/10.3390/molecules30071561 - 31 Mar 2025
Cited by 4 | Viewed by 6343
Abstract
Glioblastoma (GBM) is one of the most invasive central nervous system tumors, with rising global incidence. Therapy resistance and poor prognosis highlight the urgent need for new anticancer drugs. Plant alkaloids, a largely unexplored yet promising class of compounds, have previously contributed to [...] Read more.
Glioblastoma (GBM) is one of the most invasive central nervous system tumors, with rising global incidence. Therapy resistance and poor prognosis highlight the urgent need for new anticancer drugs. Plant alkaloids, a largely unexplored yet promising class of compounds, have previously contributed to oncology treatments. While past reviews provided selective insights, this review aims to collectively compare data from the last decade on (1) plant alkaloid-based anticancer drugs, (2) alkaloid transport across the blood–brain barrier (BBB) in vitro and in vivo, (3) alkaloid mechanisms of action in glioblastoma models (in vitro, in vivo, ex vivo, and in silico), and (4) cytotoxicity and safety profiles. Additionally, innovative drug delivery systems (e.g., nanoparticles and liposomes) are discussed. Focusing on preclinical studies of single plant alkaloids, this review includes 22 botanical families and 28 alkaloids that demonstrated anti-GBM activity. Most alkaloids act in a concentration-dependent manner by (1) reducing glioma cell viability, (2) suppressing proliferation, (3) inhibiting migration and invasion, (4) inducing cell death, (5) downregulating Bcl-2 and key signaling pathways, (6) exhibiting antiangiogenic effects, (7) reducing tumor weight, and (8) improving survival rates. The toxic and adverse effect analysis suggests that alkaloids such as noscapine, lycorine, capsaicin, chelerythrine, caffeine, boldine, and colchicine show favorable therapeutic potential. However, tetrandrine, nitidine, harmine, harmaline, cyclopamine, cocaine, and brucine may pose greater risks than benefits. Piperine’s toxicity and berberine’s poor bioavailability suggest the need for novel drug formulations. Several alkaloids (kukoamine A, cyclovirobuxine D, α-solanine, oxymatrine, rutaecarpine, and evodiamine) require further pharmacological and toxicological evaluation. Overall, while plant alkaloids show promise in glioblastoma therapy, progress in assessing their BBB penetration remains limited. More comprehensive studies integrating glioma research and advanced drug delivery technologies are needed. Full article
(This article belongs to the Special Issue Anti-cancer Agents from Natural Products)
Show Figures

Figure 1

17 pages, 3827 KB  
Article
Cocaine Differentially Affects Mitochondrial Function Depending on Exposure Time
by Sahar Wattad, Gabriella Bryant, Miriam Shmuel, Hannah L. Smith, Rami Yaka and Claire Thornton
Int. J. Mol. Sci. 2025, 26(5), 2131; https://doi.org/10.3390/ijms26052131 - 27 Feb 2025
Cited by 1 | Viewed by 1699
Abstract
Cocaine use is a rising global concern, and increased use is accompanied by a significant increase in people entering treatment for the first time. However, there are still no complete therapies, and preclinical tools are necessary to both understand the action of cocaine [...] Read more.
Cocaine use is a rising global concern, and increased use is accompanied by a significant increase in people entering treatment for the first time. However, there are still no complete therapies, and preclinical tools are necessary to both understand the action of cocaine and mitigate for its effects. Cocaine exposure rapidly impacts cellular and mitochondrial health, leading to oxidative stress. This study evaluated the effects of acute, repeated, and chronic cocaine exposure on C17.2 neural precursor cells. A single exposure to high concentrations of cocaine caused rapid cell death, with lower concentrations increasing markers of oxidative stress and mitochondrial dysfunction within 4 h of exposure. Alterations in cellular bioenergetics and mitochondrial fusion and fission gene expression (OPA1, DRP1) were also observed, which returned to baseline by 24 h after insult. Repeated exposure over 3 days reduced cell proliferation and spare mitochondrial respiratory capacity, suggesting compromised cellular resilience. Interestingly, chronic exposure over 4 weeks led to cellular adaptation and restoring mitochondrial bioenergetics and ATP production while mitigating for oxidative stress. These findings highlight the time-dependent cellular effects of cocaine, with initial toxicity and mitochondrial impairment transitioning to adaptive responses under chronic exposure. Full article
(This article belongs to the Special Issue Mitochondrial Function in Health and Disease, 3rd Edition)
Show Figures

Figure 1

19 pages, 688 KB  
Systematic Review
The Therapeutic Potential of Psychedelics in Treating Substance Use Disorders: A Review of Clinical Trials
by Lavinia Hogea, Dana Cătălina Tabugan, Iuliana Costea, Oana Albai, Laura Nussbaum, Adriana Cojocaru, Leonardo Corsaro and Teodora Anghel
Medicina 2025, 61(2), 278; https://doi.org/10.3390/medicina61020278 - 6 Feb 2025
Cited by 9 | Viewed by 16513
Abstract
Background and Objectives: Substance use disorders (SUDs) affect millions worldwide. Despite increasing drug use, treatment options remain limited. Psychedelic-assisted therapy (PAT), integrating psychedelic substances with psychotherapy, offers a promising alternative by addressing underlying neural mechanisms. Materials and Methods: This review’s purpose [...] Read more.
Background and Objectives: Substance use disorders (SUDs) affect millions worldwide. Despite increasing drug use, treatment options remain limited. Psychedelic-assisted therapy (PAT), integrating psychedelic substances with psychotherapy, offers a promising alternative by addressing underlying neural mechanisms. Materials and Methods: This review’s purpose is to investigate the current understanding of psychedelic therapy for treating SUDs, including tobacco, alcohol, and drug addiction. The systematic review approach focused on clinical trials and randomized controlled trials conducted from 2013 to 2023. The search was performed using PubMed, Google Scholar, and Consensus AI, following PRISMA guidelines. Studies involving psychedelics like LSD, psilocybin, ibogaine, and ayahuasca for treating various addictions were included, excluding naturalistic studies and reviews. Results: Our results highlight the key findings from 16 clinical trials investigating psychedelic therapy for SUDs. Psychedelics like psilocybin and ayahuasca showed promise in reducing alcohol and tobacco dependence, with psilocybin being particularly effective in decreasing cravings and promoting long-term abstinence. The studies revealed significant improvements in substance use reduction, especially when combined with psychotherapy. However, the variability in dosages and study design calls for more standardized approaches. These findings emphasize the potential of psychedelics in SUD treatment, though further large-scale research is needed to validate these results and develop consistent protocols. Conclusions: This research reviewed the past decade’s international experience, emphasizing the growing potential of psychedelic therapy in treating SUDs pertaining to alcohol, tobacco, and cocaine dependence. Psychedelics such as psilocybin and ketamine can reduce cravings and promote psychological well-being, especially when combined with psychotherapy. However, regulatory barriers and specialized clinical training are necessary to integrate these therapies into mainstream addiction treatment safely. Psychedelics offer a promising alternative for those unresponsive to conventional methods. Full article
(This article belongs to the Section Psychiatry)
Show Figures

Figure 1

24 pages, 2844 KB  
Article
The Gut Microbiome Regulates the Psychomotor Effects and Context-Dependent Rewarding Responses to Cocaine in Germ-Free and Antibiotic-Treated Animal Models
by Andrew D. Winters, Dina M. Francescutti, David J. Kracht, Diptaraj S. Chaudhari, Branislava Zagorac and Mariana Angoa-Perez
Microorganisms 2025, 13(1), 77; https://doi.org/10.3390/microorganisms13010077 - 3 Jan 2025
Cited by 2 | Viewed by 2750
Abstract
Cocaine use disorder remains a major global health concern, with growing evidence that the gut microbiome modulates drug-related behaviors. This study examines the microbiome’s role in cocaine-induced psychomotor activation and context-dependent reward responses using germ-free (GF) and antibiotic-treated (ABX) models. In GF mice, [...] Read more.
Cocaine use disorder remains a major global health concern, with growing evidence that the gut microbiome modulates drug-related behaviors. This study examines the microbiome’s role in cocaine-induced psychomotor activation and context-dependent reward responses using germ-free (GF) and antibiotic-treated (ABX) models. In GF mice, the absence of a microbiome blunted cocaine-induced psychomotor activation (p = 0.013), which was restored after conventionalization. GF mice also showed reduced cocaine-conditioned place preference (CPP) (p = 0.002), which normalized after conventionalization. Dopaminergic function, critical for psychomotor responses and reward, was microbiome-dependent, with increased dopamine levels (p = 0.009) and normalized turnover ratios after conventionalization. In the ABX model, microbiome depletion reduced both cocaine-induced locomotion and CPP responses (p ≤ 0.009), further supporting the role of gut microbes in modulating psychomotor and reward behaviors. ABX-treated mice also showed significant declines in microbial diversity, shifts in bacterial structure, and dysregulation in metabolic, immune, and neurotransmitter pathways (p ≤ 0.0001), including alterations in short-chain fatty acids and gamma-aminobutyric acid metabolism. These findings highlight the gut microbiome’s critical role in regulating cocaine’s psychomotor and rewarding effects, offering insights into potential therapeutic strategies for cocaine use disorder. Full article
(This article belongs to the Special Issue Gut Microbiota: Influences and Impacts on Human Health)
Show Figures

Figure 1

Back to TopTop