Sign in to use this feature.

Years

Between: -

Subjects

remove_circle_outline
remove_circle_outline
remove_circle_outline
remove_circle_outline
remove_circle_outline
remove_circle_outline
remove_circle_outline
remove_circle_outline
remove_circle_outline

Journals

remove_circle_outline
remove_circle_outline
remove_circle_outline
remove_circle_outline
remove_circle_outline
remove_circle_outline
remove_circle_outline

Article Types

Countries / Regions

remove_circle_outline
remove_circle_outline
remove_circle_outline
remove_circle_outline

Search Results (231)

Search Parameters:
Keywords = cobalt oxide nanoparticles

Order results
Result details
Results per page
Select all
Export citation of selected articles as:
21 pages, 68333 KB  
Article
Tuning Ag/Co Metal Ion Composition to Control in Situ Nanoparticle Formation, Photochemical Behavior, and Magnetic–Dielectric Properties of UV–Cured Epoxy Diacrylate Nanocomposites
by Gonul S. Batibay, Sureyya Aydin Yuksel, Meral Aydin and Nergis Arsu
Nanomaterials 2026, 16(2), 143; https://doi.org/10.3390/nano16020143 - 21 Jan 2026
Abstract
In this study, we report a reproducible in situ photochemical method for the simultaneous synthesis of metallic and hybrid metal/metal oxide nanoparticles (NPs) within a UV–curable polymer matrix. A series of epoxy diacrylate-based formulations (BEA) was prepared, consisting of Epoxy diacrylate, Di(Ethylene glycol)ethyl [...] Read more.
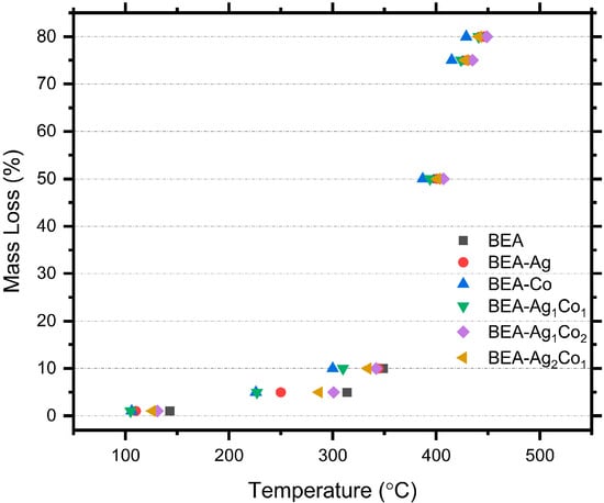
In this study, we report a reproducible in situ photochemical method for the simultaneous synthesis of metallic and hybrid metal/metal oxide nanoparticles (NPs) within a UV–curable polymer matrix. A series of epoxy diacrylate-based formulations (BEA) was prepared, consisting of Epoxy diacrylate, Di(Ethylene glycol)ethyl ether acrylate (DEGEEA), and Phenylbis (2,4,6-trimethylbenzoyl) phosphine oxide (BAPO), which served as a Type I photoinitiator. These formulations were designed to enable the simultaneous photopolymerization and photoreduction of metal precursors at various Ag+/Co2+ ratios, resulting in nanocomposites containing in situ-formed Ag NPs, cobalt oxide NPs, and hybrid Ag–Co3O4 nanostructures. The photochemical, magnetic, and dielectric properties of the resulting nanocomposites were evaluated in comparison with those of the pure polymer using UV–Vis and Fourier Transform Infrared Spectroscopy (FT-IR), Photo-Differential Scanning Calorimetry (Photo-DSC), Thermogravimetric Analysis (TGA), Scanning Electron Microscopy (SEM), X-Ray Diffraction (XRD), Impedance Analysis, and Vibrating Sample Magnetometry (VSM). Photo-DSC studies revealed that the highest conversion values were obtained for the BEA-Ag1Co1, BEA-Co, and BEA-Ag1Co2 samples, demonstrating that the presence of Co3O4 NPs enhances polymerization efficiency because of cobalt species participating in redox-assisted radical generation under UV irradiation, increasing the number of initiating radicals and leading to faster curing and higher final conversion. On the other hand, the Ag NPs, due to the SPR band formation at around 400 nm, compete with photoinitiator absorbance and result in a gradual decrease in conversion values. Crystal structures of the NPs were confirmed by XRD analyses. The dielectric and magnetic characteristics of the nanocomposites suggest potential applicability in energy-storage systems, electromagnetic interference mitigation, radar-absorbing materials, and related multifunctional electronic applications. Full article
(This article belongs to the Section Nanocomposite Materials)
Show Figures

Graphical abstract

32 pages, 13624 KB  
Article
Micro-Aluminum Simultaneously Coated with Metallic Cu, Ni, and Co Nanoparticles: Thermal Reaction and Catalytic Mechanism
by Wenhu Yan, Xiaolan Song and Yi Wang
Coatings 2026, 16(1), 65; https://doi.org/10.3390/coatings16010065 - 6 Jan 2026
Viewed by 184
Abstract
This investigation has yielded a remarkably efficient metallic catalyst. Copper (Cu), cobalt (Co), and nickel (Ni) nanoparticles were concurrently deposited onto micron-sized aluminum (µAl) through a displacement reaction, resulting in the formation of [nCu+nCo+nNi]/µAl composites. The interfacial layer of the nanocomposite facilitates the [...] Read more.
This investigation has yielded a remarkably efficient metallic catalyst. Copper (Cu), cobalt (Co), and nickel (Ni) nanoparticles were concurrently deposited onto micron-sized aluminum (µAl) through a displacement reaction, resulting in the formation of [nCu+nCo+nNi]/µAl composites. The interfacial layer of the nanocomposite facilitates the creation of efficient oxygen transport pathways, significantly augmenting thermal release. In the context of the ADN/AP oxidizer, the [nCu+nCo+nNi]/µAl configuration demonstrates a substantial synergistic catalytic effect, reducing its thermal decomposition temperature by an impressive 104.1 °C. Combustion experiments have corroborated that this composite markedly enhances flame intensity, combustion temperature, and the burning rate of the ADN/AP system. The underlying thermal-oxidative mechanism was elucidated through comprehensive thermal analysis of the composite both prior to and following a heat treatment at 1100 °C. Moreover, through an integration of thermal analysis and combustion experiments, the catalytic mechanism of [nCu+nCo+nNi]/µAl on the thermolysis of ADN/AP was elucidated, and a plausible reaction pathway under thermal stimulation was proposed (e.g., NH4ClO4+NH4N(NO2)2Cu,Co,NiN2+H2O+HCl+O2+[O]). The developed nanocomposite significantly enhances the performance of oxidizers, presenting considerable potential for a wide array of applications in solid propellants. Full article
(This article belongs to the Special Issue Advanced Surface Engineering of Alloys: Coatings and Thin Films)
Show Figures

Figure 1

11 pages, 3262 KB  
Article
Graphene-Driven Formation of Ferromagnetic Metallic Cobalt Nanoparticles
by Salim Al-Kamiyani, Mohammed Al Bahri, Tariq Mohiuddin, Eduardo Saavedra and Al Maha Al Habsi
Nanomaterials 2026, 16(1), 41; https://doi.org/10.3390/nano16010041 - 28 Dec 2025
Viewed by 290
Abstract
This work demonstrates the synthesis of ferromagnetic metallic cobalt nanoparticles embedded in a graphene framework through a graphene-assisted carbothermal reduction process. Cobalt oxide (Co3O4) was employed as the starting material, with graphene nanopowder functioning simultaneously as the reducing medium [...] Read more.
This work demonstrates the synthesis of ferromagnetic metallic cobalt nanoparticles embedded in a graphene framework through a graphene-assisted carbothermal reduction process. Cobalt oxide (Co3O4) was employed as the starting material, with graphene nanopowder functioning simultaneously as the reducing medium and structural scaffold. Thermal treatment at 850 °C under an argon atmosphere triggered the phase transformation. X-ray diffraction (XRD) confirmed the successful conversion of cobalt oxide into face-centered cubic (FCC) metallic cobalt. The graphene network not only accelerated the reduction reaction but also ensured the homogeneous distribution of cobalt nanoparticles within the matrix. Magnetic measurements using vibrating sample magnetometry (VSM) revealed a substantial improvement in ferromagnetic behavior: the graphene-mediated samples reached a saturation magnetization (Ms) of approximately 130 emu/g, compared to the nearly non-magnetic response of cobalt oxide annealed under the same conditions without graphene. Collectively, the structural, compositional, and magnetic results highlight graphene’s critical role in driving the formation of metallic cobalt nanoparticles with enhanced ferromagnetism, emphasizing their promise for use in magnetic storage, sensing, and spintronic applications. We anticipate that this study will inspire further research into the dual functionality of graphene, serving as both a reductive agent for metal oxides and a supportive matrix for nanoparticles, toward enhancing the structural integrity and functional properties of graphene-based metal nanocomposite materials. Full article
(This article belongs to the Special Issue Ferroelectricity, Multiferroicity, and Magnetism in Nanomaterials)
Show Figures

Figure 1

14 pages, 7287 KB  
Article
The Conversion of Syngas to Long-Chain α-Olefins over Rh-Promoted CoMnOx Catalyst
by Yuting Dai, Xuemin Cao, Fei Qian, Xia Li, Li Zhang, Peng He, Zhi Cao and Chang Song
Catalysts 2025, 15(12), 1122; https://doi.org/10.3390/catal15121122 - 1 Dec 2025
Viewed by 536
Abstract
The direct synthesis of long-chain α-olefins from syngas offers a strategically vital pathway for producing high-value chemicals from alternative carbon resources. However, achieving high selectivity toward C5+ olefins remains challenging due to competing paraffin formation and difficulties in precisely regulating chain growth [...] Read more.
The direct synthesis of long-chain α-olefins from syngas offers a strategically vital pathway for producing high-value chemicals from alternative carbon resources. However, achieving high selectivity toward C5+ olefins remains challenging due to competing paraffin formation and difficulties in precisely regulating chain growth kinetics. To mitigate these critical challenges, a series of Rh-promoted Co-Mn catalysts supported on SiO2 were synthesized using a carbon-mediated impregnation strategy for the direct conversion of syngas to long-chain α-olefins (C5+). The introduction of Rh significantly enhanced both catalytic activity and C5+ olefin selectivity. The optimal 1.1 wt% Rh-loaded catalyst achieved 24.6% CO conversion and 46.0% total olefin selectivity, with 34.2% of the selectivity toward C5+ olefins, while maintaining low CH4 (6.2%) and CO2 (<1%) selectivity. Comprehensive characterization techniques, including XRD, H2-TPR, XPS, and TEM/HAADF-STEM, revealed that the carbon-mediated method facilitated the formation of highly dispersed Co3O4 nanoparticles with abundant oxygen vacancies and strengthened the Co-MnOx interface. Rh promotion modulated the cobalt speciation (Co0/Co2+), improved reducibility, and enhanced the metal-support interaction. This promoted chain growth and olefin desorption while suppressing over-hydrogenation. This study demonstrates the efficacy of Rh promotion and carbon mediation in designing high-performance Fischer-Tropsch catalysts for selective α-olefin synthesis, offering new insights into the design of efficient metal-oxide interfacial catalysts. Full article
(This article belongs to the Special Issue Feature Papers in "Industrial Catalysis" Section, 2nd Edition)
Show Figures

Graphical abstract

13 pages, 5810 KB  
Article
Cobalt Nanoparticle-Modified Boron Nitride Nanobelts for Rapid Tetracycline Degradation via PMS Activation
by Pengcheng Dai, Xiangjian Wang, Yongxin Zhao, Huishan Chen, Hui Zhao, Longzhen Cheng, Longxi Xu and Zeyu Zhang
Catalysts 2025, 15(12), 1117; https://doi.org/10.3390/catal15121117 - 1 Dec 2025
Viewed by 420
Abstract
Tetracycline (TC), a widely used antibiotic, persists in aquatic environments due to its chemical stability, bioaccumulation potential, and role in promoting antimicrobial resistance, posing significant ecological and public health risks. To address the pressing need for effective wastewater treatment technologies, a cobalt nanoparticle-embedded [...] Read more.
Tetracycline (TC), a widely used antibiotic, persists in aquatic environments due to its chemical stability, bioaccumulation potential, and role in promoting antimicrobial resistance, posing significant ecological and public health risks. To address the pressing need for effective wastewater treatment technologies, a cobalt nanoparticle-embedded boron nitride nanocomposite (Co/BN) was developed for efficient peroxymonosulfate (PMS) activation. Among the synthesized catalysts, Co/BN-1 exhibited outstanding performance, achieving near-complete TC degradation within 5 min under mild conditions, along with excellent stability and reusability over four consecutive cycles, accompanied by minimal cobalt leaching. Mechanistic studies combining radical scavenging assays and LC-MS analysis revealed the involvement of both radical species (SO4 and OH) and non-radical pathways (1O2), highlighting a synergistic effect between Co nanoparticles and the BN matrix. This work demonstrates the feasibility of Co/BN composites as highly efficient, stable, and eco-friendly catalysts for sulfate radical-based advanced oxidation processes (SR-AOPs), providing a promising strategy for the rapid and sustainable removal of antibiotic pollutants from water systems. Full article
(This article belongs to the Special Issue Catalysis and New Energy Materials)
Show Figures

Graphical abstract

17 pages, 4246 KB  
Article
Dual Reinforcement of Biohydrogen Production from Food Waste Dark Fermentation by Thermal–Alkaline Pretreatment Coupled with Nickel-Based Nanoparticles
by Yu-Ting Zhang, Xiaona An, Jingyu Hao, Xiaohu Dai and Ying Xu
Fermentation 2025, 11(12), 658; https://doi.org/10.3390/fermentation11120658 - 24 Nov 2025
Viewed by 812
Abstract
Dark fermentation of food waste for biohydrogen production can simultaneously achieve waste resource utilization and clean energy production. However, the widespread application of this technology remains constrained by challenges such as low substrate hydrolysis efficiency and suboptimal metabolic performance of functional microorganisms. This [...] Read more.
Dark fermentation of food waste for biohydrogen production can simultaneously achieve waste resource utilization and clean energy production. However, the widespread application of this technology remains constrained by challenges such as low substrate hydrolysis efficiency and suboptimal metabolic performance of functional microorganisms. This study evaluated the synergistic enhancement of biohydrogen production from food waste through dark fermentation by integrating thermal–alkaline (TA) pretreatment with varying concentrations (50, 100, 150, and 200 mg/L) of nickel–cobalt oxide nanoparticles (NiCo2O4 NPs), and the underlying mechanisms involved were systematically elucidated. The results demonstrated that individual TA pretreatment (pH 11, 70 °C, 1 h) and TA coupled with NiCo2O4 NPs (100 mg/L) significantly (p < 0.01) enhanced the cumulative biohydrogen yields of the food waste dark fermentation by 20.89% and 35.76%, respectively. Mechanism research revealed that TA pretreatment effectively facilitated the dissolution and hydrolysis of macro-molecular organics such as polysaccharides and proteins, thereby enhancing the bio-accessibility of fermentation substrates. The introduction of NiCo2O4 NPs further intensified the microbial biohydrogen-producing metabolism by augmenting enzymatic activity and enriching functional bacteria. NiCo2O4 NPs significantly (p < 0.001) enhanced the overall activity of hydrogenase by 95.10% compared to the control group (CG) by providing the cofactor of hydrogenase and accelerating electron transfer. Additionally, this synergistic strategy significantly (p < 0.01) increased the activities of hydrolases (e.g., protease and α-glucosidase), as well as key enzymes in acetate-type and butyrate-type fermentation pathways (e.g., acetate kinase and butyrate kinase), and enriched the biohydrogen-producing microbial community centered on Clostridium_sensu_stricto_1. This study systematically elucidated the synergistic strategy of TA pretreatment and NiCo2O4 NPs, which achieved dual-pathway reinforcement from substrate degradability to microbial metabolic activity. The findings are expected to provide theoretical support for developing efficient biohydrogen production technology from perishable organic solid waste. Full article
(This article belongs to the Special Issue Recent Advances in Anaerobic-Digestion-Based Biorefinery)
Show Figures

Figure 1

24 pages, 4939 KB  
Article
Engineering Rare Earth-Assisted Cobalt Oxide Gels Toward Superior Energy Storage in Asymmetric Supercapacitors
by Pritam J. Morankar, Rutuja U. Amate, Aviraj M. Teli, Aditya A. Patil, Sonali A. Beknalkar and Chan-Wook Jeon
Gels 2025, 11(11), 867; https://doi.org/10.3390/gels11110867 - 29 Oct 2025
Cited by 1 | Viewed by 715
Abstract
The rational design of transition metal oxides with tailored electronic structures and defect chemistries is critical for advancing high-performance supercapacitors. Herein, we report the engineering of cobalt oxide (Co3O4) gels through controlled sol–gel synthesis and rare earth (RE) incorporation [...] Read more.
The rational design of transition metal oxides with tailored electronic structures and defect chemistries is critical for advancing high-performance supercapacitors. Herein, we report the engineering of cobalt oxide (Co3O4) gels through controlled sol–gel synthesis and rare earth (RE) incorporation using neodymium (Nd), gadolinium (Gd), and dual neodymium/gadolinium (Nd/Gd) doping. X-ray diffraction (XRD) confirmed the preservation of the cubic spinel structure with systematic peak shifts and broadening, evidencing lattice strain, oxygen vacancy generation, and defect enrichment. Field-emission scanning electron microscopy (FE-SEM) analyses revealed distinct morphological evolution from compact nanoparticle assemblies in pristine Co3O4 to highly porous, interconnected frameworks in Nd/Gd–Co3O4 (Nd/Gd-Co). X-ray photoelectron spectroscopy (XPS) verified the stable incorporation of RE ions, accompanied by electronic interaction with the Co–O matrix and enhanced oxygen defect states. Electrochemical measurements demonstrated that the Nd/Gd–Co electrode achieved a remarkable areal capacitance of 25 F/cm2 at 8 mA/cm2, superior ionic diffusion coefficients, and the lowest equivalent series resistance (0.26 Ω) among all samples. Long-term cycling confirmed 84.35% capacitance retention with 94.46% coulombic efficiency after 12,000 cycles. Furthermore, the asymmetric pouch-type supercapacitor (APSD) constructed with Nd/Gd–Co as the positive electrode and activated carbon as the negative electrode delivered a wide operational window of 1.5 V, an areal capacitance of 140 mF/cm2, an energy density of 0.044 mWh/cm2, and 89.44% retention after 7000 cycles. These findings establish Nd/Gd-Co gels as robust and scalable electrode materials and demonstrate that RE co-doping is an effective strategy for bridging high energy density with long-term electrochemical stability in asymmetric supercapacitors. Full article
(This article belongs to the Special Issue Gel-Based Materials for Energy Storage)
Show Figures

Figure 1

19 pages, 8169 KB  
Article
The Electrochemical Performance of Co3O4 Electrodes with Platinum Nanoparticles for Chlorine Evolution
by Guan-Ting Pan and Aleksandar N. Nikoloski
Inorganics 2025, 13(11), 355; https://doi.org/10.3390/inorganics13110355 - 28 Oct 2025
Viewed by 795
Abstract
Different morphologies of cobalt oxide (Co3O4) electrodes were prepared through the electrochemical deposition technique with various electrodeposition times from 10 min to 50 min. Platinum (Pt) nanoparticles were deposited on the Co3O4 electrodes through sputter coating. [...] Read more.
Different morphologies of cobalt oxide (Co3O4) electrodes were prepared through the electrochemical deposition technique with various electrodeposition times from 10 min to 50 min. Platinum (Pt) nanoparticles were deposited on the Co3O4 electrodes through sputter coating. The crystallographic, microstructural, surface functional, textural–structural, and electric properties of the Co3O4 electrodes were investigated. X-ray diffraction analysis identified a pure cubic Co3O4 crystal structure in the samples. In the electrodeposition process, the microstructure of the electrodes varied from hierarchical 3D flower-like to 2D hexagonal porous nanoplates due to an increase in oxygen vacancies. The carrier densities of all samples were between 5.77 × 1014 cm−3 and 8.77 × 1014 cm−3. The flat band potentials of all samples were between −5.91 V and −6.21 V vs. an absolute electron potential, and the potential values for electrodes became more positive as the oxygen vacancy concentration in the film structure increased. The 2D hexagonal porous nanoplate Pt/Co3O4 electrodes offered the highest oxygen vacancies and thus the maximum current density of 102.66 mA/cm2, with an external potential set at 1.5 V vs. an Ag/AgCl reference electrode. Full article
Show Figures

Graphical abstract

16 pages, 36018 KB  
Article
Ultra-Rapid Synthesis of Co3O4 Nanostructures with Tunable Morphology via Nickel-Assisted Anodization
by Leydi Julieta Cardenas Flechas, Jorge Bautista-Ruiz, Paulo Tarso Cavalcante Freire, Elaine Cristina Paris and Miryam Rincón Joya
Inorganics 2025, 13(11), 350; https://doi.org/10.3390/inorganics13110350 - 26 Oct 2025
Cited by 1 | Viewed by 714
Abstract
Various morphologies of cobalt oxide Co3O4 films on cobalt (Co) foils were obtained via anodization followed by a thermal treatment at 350 °C. This study introduces a rapid and cost-effective synthesis route, achieving well-defined spinel structures in only 30 min. [...] Read more.
Various morphologies of cobalt oxide Co3O4 films on cobalt (Co) foils were obtained via anodization followed by a thermal treatment at 350 °C. This study introduces a rapid and cost-effective synthesis route, achieving well-defined spinel structures in only 30 min. The novelty of this work lies in exploring nickel (Ni) as a morphological modifier in the anodization electrolyte. FESEM analysis revealed that, while anodization without Ni produced nanoflake structures, the inclusion of Ni transformed the morphology into larger cubic crystals and rice grain–shaped nanoparticles. XPS confirmed the presence of oxygen vacancies during phase formation, TEM showed spinel grains smaller than 20 nm, and Raman spectroscopy exhibited characteristic peak shifts influenced by both anodization and Ni addition. These results demonstrate that Ni not only accelerates the formation of spinel Co3O4 but also plays a decisive role in tailoring morphology, highlighting the efficiency and novelty of this approach. Full article
(This article belongs to the Special Issue Feature Papers in Inorganic Solid-State Chemistry 2025)
Show Figures

Figure 1

16 pages, 4730 KB  
Article
Carbon and Silica Supports Enhance the Durability and Catalytic Performance of Cobalt Oxides Derived from Cobalt Benzene-1,3,5-Tricarboxylate Complex
by Hassan H. Hammud, Waleed A. Aljamhi, Kawther AlAbdullah, Muhammad Humayun and Ihab Shawish
Catalysts 2025, 15(9), 881; https://doi.org/10.3390/catal15090881 - 13 Sep 2025
Viewed by 753
Abstract
Addressing the urgent need for robust and sustainable catalysts to detoxify nitroaromatic pollutants, this study introduces a novel approach for synthesizing cobalt oxide nanocomposites via pyrolysis of cobalt benzene-1,3,5-tricarboxylate. By integrating porous carbon (PC) and nano silica (NS) supports with Co3O [...] Read more.
Addressing the urgent need for robust and sustainable catalysts to detoxify nitroaromatic pollutants, this study introduces a novel approach for synthesizing cobalt oxide nanocomposites via pyrolysis of cobalt benzene-1,3,5-tricarboxylate. By integrating porous carbon (PC) and nano silica (NS) supports with Co3O4 to form (Co3O4/PC) and (Co3O4/NS), we achieved precise morphological control, as evidenced by SEM and TEM analysis. SEM revealed 80–500 nm Co3O4 microspheres, 300 nm Co3O4/PC microfibers, and 2–5 µm Co3O4/NS spheres composed of 100 nm nanospheres. TEM further confirmed the presence of ~15 nm nanoparticles. Additionally, FTIR spectra exhibited characteristic Co–O bands at 550 and 650 cm−1, while UV–Vis absorption bands appeared in the range of 450–550 nm, confirming the formation of cobalt oxide structures. Catalytic assays toward p-nitrophenol reduction revealed exceptional kinetics (k = 0.459, 0.405, and 0.384 min−1) and high turnover numbers (TON = 5.1, 6.7, and 6.3 mg 4-NP reduced per mg of catalyst), outperforming most of the recently reported systems. Notably, both supported catalysts retained over 95% activity after two regeneration cycles. These findings not only fill a gap in the development of efficient, regenerable cobalt-based catalysts, but also pave the way for practical applications in environmental remediation. Full article
(This article belongs to the Special Issue Environmental Catalysis and Nanomaterials for Water Pollution Control)
Show Figures

Figure 1

11 pages, 1053 KB  
Article
Antibacterial Potential of Nanocrystalline Zinc–Cobalt Ferrite
by Riya Panja, Tapas Kumar Bhattacharyya, Aditya Paul, Saibal Ray, Ahmed Abd El Wahed, Arianna Ceruti and Siddhartha Narayan Joardar
Nanomaterials 2025, 15(17), 1318; https://doi.org/10.3390/nano15171318 - 28 Aug 2025
Cited by 1 | Viewed by 1048
Abstract
Purpose: The synthesis of nanoscale particles with antibacterial properties has garnered significant attention in pharmaceutical research, driven by the escalating threat of antibiotic-resistant bacteria. This study investigates the antibacterial efficacy of Zn–Co ferrite nanoparticles against virulent, antibiotic-resistant, and biofilm-forming strains of Escherichia coli. [...] Read more.
Purpose: The synthesis of nanoscale particles with antibacterial properties has garnered significant attention in pharmaceutical research, driven by the escalating threat of antibiotic-resistant bacteria. This study investigates the antibacterial efficacy of Zn–Co ferrite nanoparticles against virulent, antibiotic-resistant, and biofilm-forming strains of Escherichia coli. Methods: Three nanoparticle variants—S1 (Zn0.7Co0.3Fe2O4), S2 (Zn0.5Co0.5Fe2O4), and S3 (Zn0.3Co0.7Fe2O4)—were synthesized using the solution combustion method by systematically varying the Zn:Co molar ratio. The Scanning Electron Micrograph, X-ray diffraction analysis, Complementary Fourier-transform infrared, Minimum Inhibitory Concentration, and Minimum Bactericidal Concentration were performed. Results: The SEM spectroscopy study revealed distinct morphological differences as a function of the cobalt substitution level within the spinel ferrite matrix. At the highest level of cobalt substitution (Zn0.3Co0.7Fe2O4), the microstructure displayed significant irregularities, with enhanced agglomeration and a notably broader particle size distribution. X-ray diffraction analysis confirmed the formation of crystalline structures, with an average crystallite size of 12.65 nm. Complementary Fourier-transform infrared spectroscopy revealed characteristic absorption bands in the 400–600 cm−1 range, indicative of the cubic spinel structure of the ferrite nanoparticles. The higher-frequency band was associated with metal–oxide stretching in the tetrahedral sites, while the lower-frequency band corresponded to stretching in the octahedral sites. The Minimum Inhibitory Concentration and Minimum Bactericidal Concentration assays revealed that Zn–Co ferrite nanoparticles possess potent antibacterial activity against virulent, antibiotic-resistant, and biofilm-forming strains of E. coli. Conclusion: Increasing the molar ratio of Zn to Co enhances the antibacterial activity of the nanoparticles. These findings suggest that Zn–Co ferrite nanoparticles could serve as a promising alternative to conventional antibacterial agents for combating multidrug-resistant pathogenic bacteria in the future. Full article
Show Figures

Figure 1

19 pages, 7946 KB  
Article
Synergistic Disinfection of Photocatalytic Nanomaterials Exposed to UVC, Electricity and Magnetic Fields Against Candida albicans
by María Cristina Grijalva-Castillo, Renee Joselin Saénz-Hernández, Adrián Alberto Cobos-Márquez, Francisco Alonso Herrera-Ojeda, Fernando Efraín Díaz-Chávez, Irving Ricardo Acosta-Galindo, César Leyva-Porras, Alva Rocío Castillo-González, María Alejandra Favila-Pérez, Celia María Quiñonez-Flores, Javier Camarillo Cisneros and Carlos Arzate-Quintana
Coatings 2025, 15(8), 968; https://doi.org/10.3390/coatings15080968 - 19 Aug 2025
Cited by 1 | Viewed by 1227
Abstract
Nosocomial infections caused by Candida albicans pose serious challenges to healthcare systems due to their persistence on medical surfaces and resistance to conventional disinfectants. This study evaluates antifungal properties of SnO2 doped with silver and cuprite nanoparticles and WO3 thin films, [...] Read more.
Nosocomial infections caused by Candida albicans pose serious challenges to healthcare systems due to their persistence on medical surfaces and resistance to conventional disinfectants. This study evaluates antifungal properties of SnO2 doped with silver and cuprite nanoparticles and WO3 thin films, as well as cobalt (CoFe2O4) and cobalt–nickel (Co0.5Ni0.5Fe2O4) ferrite nanoparticles, activated by ultraviolet C (UVC) radiation, direct electric current (up to 100 V), and magnetic fields. SnO2 films were synthesized by Spray Pyrolysis and WO3 by Sputtering deposition, Ferrites nanoparticles by sol–gel, while metallic nanoparticles were synthetized via chemical reduction. Characterization consisted mainly of SEM, TEM, and XRD, and their antimicrobial activity was tested against C. albicans. WO3 films achieved 86.2% fungal inhibition after 5 min of UVC exposure. SnO2 films doped with nanoparticles reached 100% inhibition when combined with UVC and 100 V. Ferrite nanoparticles alone showed moderate activity (21.9%–40.4%) but exhibited strong surface adhesion to fungal cells, indicating potential for magnetically guided antifungal therapies. These results demonstrate the feasibility of using multifunctional nanomaterials for rapid, non-chemical disinfection. The materials are low-cost, scalable, and adaptable to hospital settings, making them promising candidates for reducing healthcare-associated fungal infections through advanced surface sterilization technologies. Full article
Show Figures

Figure 1

19 pages, 3316 KB  
Article
Cobalt Ferrite Nanoparticles: Highly Efficient Catalysts for the Biginelli Reaction
by Waleed M. Alamier, Emad M. El-Telbani, Imam Saheb Syed and Ayyob M. Bakry
Ceramics 2025, 8(3), 102; https://doi.org/10.3390/ceramics8030102 - 6 Aug 2025
Cited by 1 | Viewed by 1417
Abstract
This study introduces an efficient and sustainable catalytic system utilizing cobalt ferrite nanoparticles (CoFe2O4-NPs) for the synthesis of valuable 6-amino-2-oxo-4-phenyl (or 4-chlorophenyl)-1,2,3,4-tetrahydropyrimidine-5-carbonitrile derivatives. Recognizing the limitations of traditional methods for the Biginelli reaction, we thoroughly characterized CoFe2O [...] Read more.
This study introduces an efficient and sustainable catalytic system utilizing cobalt ferrite nanoparticles (CoFe2O4-NPs) for the synthesis of valuable 6-amino-2-oxo-4-phenyl (or 4-chlorophenyl)-1,2,3,4-tetrahydropyrimidine-5-carbonitrile derivatives. Recognizing the limitations of traditional methods for the Biginelli reaction, we thoroughly characterized CoFe2O4-NPs, alongside individual iron oxide nanoparticles (Fe2O3-NPs) and cobalt oxide nanoparticles (CoO-NPs), using FTIR, XRD, TEM, SEM, XPS, TGA, and BET analysis. These characterizations revealed the unique structural, morphological, and physicochemical properties of CoFe2O4-NPs, including an optimized porous structure and significant bimetallic synergy between Fe and Co ions. Catalytic studies demonstrated that CoFe2O4-NPs significantly outperformed individual Fe2O3-NPs and CoO-NPs under mild conditions. While the latter only catalyzed the Knoevenagel condensation, CoFe2O4-NPs uniquely facilitated the complete Biginelli reaction. This superior performance is attributed to the synergistic electronic environment within CoFe2O4-NPs, which enhances reactant activation, intermediate stabilization, and proton transfer during the multi-step reaction. This work highlights the potential of CoFe2O4-NPs as highly efficient and selective nanocatalysts for synthesizing biologically relevant 1,2,3,4-tetrahydropyrimidines, offering a greener synthetic route in organic chemistry. Full article
Show Figures

Figure 1

11 pages, 1745 KB  
Article
Comprehensive Investigation of Structural and Photocatalytic Properties of Cobalt and Nickel Co-Doped Magnesium Oxide Nanoparticles
by Shafaq Arif, Amna Sarwar and M. S. Anwar
Condens. Matter 2025, 10(3), 41; https://doi.org/10.3390/condmat10030041 - 4 Aug 2025
Cited by 1 | Viewed by 1334
Abstract
Cobalt and Nickel (Co, Ni) co-doped magnesium oxide (MgO) nanoparticles (NPs) have been synthesized using the coprecipitation method. The structural, chemical, and optical properties of the as-synthesized NPs are systematically investigated using X-ray Diffraction (XRD), Fourier Transform Infrared Spectroscopy (FTIR), and UV-visible spectroscopy. [...] Read more.
Cobalt and Nickel (Co, Ni) co-doped magnesium oxide (MgO) nanoparticles (NPs) have been synthesized using the coprecipitation method. The structural, chemical, and optical properties of the as-synthesized NPs are systematically investigated using X-ray Diffraction (XRD), Fourier Transform Infrared Spectroscopy (FTIR), and UV-visible spectroscopy. It is found that the optical bandgap of co-doped MgO NPs reduces from 2.30 to 1.98 eV (14%) with increasing Ni dopant concentrations up to 7%. The Co0.05Ni0.07Mg0.88O NPs exhibit a high photocatalytic degradation efficiency of 93% for methylene blue dye (MB) under natural sunlight irradiation for 240 min. Our findings indicate that the Co0.05NixMg0.95−xO NPs have strong potential for use as photocatalysts in industrial wastewater treatment. Full article
Show Figures

Figure 1

22 pages, 4469 KB  
Article
Thermal and Exergetic Performance Analyses of a Heat Pipe Heat Exchanger Using CMC/Co3O4-Based Non-Newtonian Nanofluids
by Duygu Yilmaz Aydin
Appl. Sci. 2025, 15(14), 7831; https://doi.org/10.3390/app15147831 - 12 Jul 2025
Cited by 3 | Viewed by 1350
Abstract
This study presents an experimental evaluation of the thermal and exergetic performance of an air-to-air heat pipe heat exchanger using a cobalt oxide (Co3O4)-based non-Newtonian nanofluid, with the additional incorporation of carbon black (CB). Nanofluids were synthesized via a [...] Read more.
This study presents an experimental evaluation of the thermal and exergetic performance of an air-to-air heat pipe heat exchanger using a cobalt oxide (Co3O4)-based non-Newtonian nanofluid, with the additional incorporation of carbon black (CB). Nanofluids were synthesized via a two-step method and tested under turbulent flow conditions across varying Reynolds numbers. The results demonstrated that increasing the Co3O4 nanoparticle concentration and adding CB substantially improved both the thermal and exergetic performance compared to deionized water. Specifically, maximum thermal efficiency improvements of 62.7% and 75.4% were recorded for nanofluids containing 1% and 2% Co3O4, respectively. The addition of CB further enhanced the thermal efficiency, achieving a maximum improvement of 79.2%. Furthermore, the maximum reduction in thermal resistance reached 61.4% with CB incorporation, while the 2% Co3O4 nanofluid achieved a maximum decrease of 50.2%. The use of nanofluids led to a significant reduction in exergy loss, with exergy-saving efficiencies reaching up to 33.6%. These findings highlight the considerable potential of Co3O4- and CB-based hybrid nanofluids in advancing waste heat recovery technologies and enhancing the thermodynamic performance of air-to-air heat pipe heat exchanger systems. Full article
Show Figures

Figure 1

Back to TopTop