Sign in to use this feature.

Years

Between: -

Subjects

remove_circle_outline
remove_circle_outline
remove_circle_outline
remove_circle_outline
remove_circle_outline
remove_circle_outline
remove_circle_outline
remove_circle_outline
remove_circle_outline

Journals

remove_circle_outline
remove_circle_outline
remove_circle_outline
remove_circle_outline
remove_circle_outline
remove_circle_outline
remove_circle_outline
remove_circle_outline
remove_circle_outline
remove_circle_outline
remove_circle_outline
remove_circle_outline
remove_circle_outline
remove_circle_outline
remove_circle_outline
remove_circle_outline
remove_circle_outline
remove_circle_outline
remove_circle_outline
remove_circle_outline

Article Types

Countries / Regions

remove_circle_outline
remove_circle_outline
remove_circle_outline
remove_circle_outline
remove_circle_outline
remove_circle_outline
remove_circle_outline
remove_circle_outline

Search Results (6,298)

Search Parameters:
Keywords = climate model simulations

Order results
Result details
Results per page
Select all
Export citation of selected articles as:
25 pages, 2895 KB  
Article
Evaluation of a Hybrid Physical–LSTM Model for Air-to-Air Heat Pump Control: Insights from Multi-Day Closed-Loop Simulations in Mediterranean Climate
by Ivica Glavan, Ivan Gospić and Igor Poljak
Modelling 2026, 7(3), 81; https://doi.org/10.3390/modelling7030081 - 24 Apr 2026
Abstract
Air-to-air heat pumps are a key technology for improving energy efficiency and reducing carbon emissions in residential buildings, yet their optimal control remains challenging under real-world conditions. This study evaluates the performance of a hybrid physical–LSTM model for controlling an air-to-air heat pump [...] Read more.
Air-to-air heat pumps are a key technology for improving energy efficiency and reducing carbon emissions in residential buildings, yet their optimal control remains challenging under real-world conditions. This study evaluates the performance of a hybrid physical–LSTM model for controlling an air-to-air heat pump in a residential building in Zadar, Croatia. The hybrid framework integrates a first-order energy balance model of the building envelope with LSTM-based temperature correction using adaptive weighting. The physical model was calibrated and validated against 52,128 real IoT measurements collected during the 2024/2025 heating season, achieving high accuracy (RMSE ≈ 0.076 °C). Rolling one-day and continuous multi-day closed-loop simulations (up to 15 days) show that the hybrid model yields slightly lower RMSE in long-term runs compared to the pure physical model. However, this apparent statistical improvement is accompanied by systematic underestimation of indoor temperature and significantly higher simulated energy consumption. The results indicate that the observed effect originates from an implicit virtual heat flux introduced by the LSTM correction, which affects thermodynamic consistency in closed-loop operation. The findings highlight that short-term error metrics such as RMSE alone are insufficient for evaluating hybrid models intended for model predictive control (MPC). The main contribution of this study is the explicit demonstration and quantification of an implicit virtual heat flux generated by the LSTM correction in closed-loop multi-day operation, which leads to misleading statistical improvements while causing significant thermodynamic inconsistency and energy overconsumption. In 15-day continuous simulations the hybrid model (ω = 0.05–0.10) caused an indoor temperature underestimation of 1.25–1.31 °C and increased simulated electricity consumption by more than 300% (316 kWh vs. 72 kWh) compared to the physical model. These results have direct implications for the development of reliable digital twins and model predictive control strategies in residential HVAC systems. Full article
23 pages, 1914 KB  
Article
The Hidden Costs of Recurring Drought: Climate Change and Economic Losses in the Barcelona Metropolitan Area
by Sergio Baraibar Molina, Helena Torres Alvaro and Jaume Freire-González
Sustainability 2026, 18(9), 4266; https://doi.org/10.3390/su18094266 (registering DOI) - 24 Apr 2026
Abstract
Mediterranean water systems face intensifying drought pressure under climate change, yet the long-term macroeconomic consequences of recurrent water restrictions remain largely unquantified at the metropolitan scale. This study estimates the cumulative economic costs of drought-induced water restrictions in the Barcelona Metropolitan Area (AMB) [...] Read more.
Mediterranean water systems face intensifying drought pressure under climate change, yet the long-term macroeconomic consequences of recurrent water restrictions remain largely unquantified at the metropolitan scale. This study estimates the cumulative economic costs of drought-induced water restrictions in the Barcelona Metropolitan Area (AMB) over 2016–2099 using a supply-driven Input–Output (Ghosh) model driven by six hydro-climatic projections. Drought conditions persist in more than half of all simulated months across all climate projections, generating substantial cumulative undiscounted losses of €52–61 billion through repeated restriction episodes rather than isolated extreme events. The present value of total GDP losses ranges between €8.4 and €41.4 billion depending on the discount rate applied (1%, 3% and 5%). Losses concentrate in service sectors due to strong intersectoral propagation effects, despite agriculture exhibiting the highest direct water dependence. The framework provides a transferable approach for assessing long-term climate-driven drought costs in metropolitan urban or regional economies. Full article
18 pages, 1840 KB  
Article
Spatiotemporal Assessment and Prediction of Land Use and Land Cover Change in Urban Green Spaces Using Landsat Remote Sensing and CA–Markov Modeling
by Ali Reza Sadeghi, Ehsan Javanmardi and Farzaneh Javidi
Sustainability 2026, 18(9), 4259; https://doi.org/10.3390/su18094259 (registering DOI) - 24 Apr 2026
Abstract
Urban green spaces are increasingly threatened by rapid urban expansion, making their continuous monitoring and prediction essential for sustainable urban management. This study investigates the spatiotemporal dynamics of urban garden landscapes in Shiraz, Iran, by integrating multi-temporal Landsat imagery, GIS analysis, and CA–Markov [...] Read more.
Urban green spaces are increasingly threatened by rapid urban expansion, making their continuous monitoring and prediction essential for sustainable urban management. This study investigates the spatiotemporal dynamics of urban garden landscapes in Shiraz, Iran, by integrating multi-temporal Landsat imagery, GIS analysis, and CA–Markov modeling. Landsat data from 2003, 2013, and 2023 were processed to derive the Normalized Difference Vegetation Index (NDVI), which was classified into four vegetation-density categories to quantify land-cover transitions. A CA–Markov framework implemented in IDRISI TerrSet (Version 20.0) was then employed to simulate spatial dynamics and predict vegetation changes for 2033. Results reveal a significant expansion of non-vegetated areas from 711.93 ha in 2003 to 976.66 ha in 2023, accompanied by a decline in dense vegetation from 403.68 ha to 382.64 ha. Model projections indicate a further reduction in dense vegetation to 239.35 ha by 2033, suggesting ongoing fragmentation of urban green infrastructure driven by development pressures. By combining time-series remote sensing, GIS-based spatial analysis, and predictive modeling, this study provides an integrative framework for detecting, interpreting, and forecasting urban land-cover change. The findings offer evidence-based insights to support sustainable urban planning, green infrastructure protection, and climate-resilient city management in rapidly growing urban environments. Full article
20 pages, 1753 KB  
Article
Improving Lagrangian Simulations of Tropical Cyclogenesis While Maintaining Realistic Madden–Julian Oscillations
by Patrick Haertel and David Torres
Climate 2026, 14(5), 91; https://doi.org/10.3390/cli14050091 - 24 Apr 2026
Abstract
Tropical cyclones (TCs) and the Madden–Julian Oscillation (MJO) are two of the most impactful weather systems in the tropics. For example, it is not uncommon for a strong TC to kill hundreds of people and cause tens of billions of dollars in damage. [...] Read more.
Tropical cyclones (TCs) and the Madden–Julian Oscillation (MJO) are two of the most impactful weather systems in the tropics. For example, it is not uncommon for a strong TC to kill hundreds of people and cause tens of billions of dollars in damage. The MJO modulates not only TCs but also monsoons around the world, which contribute essential rainfall for agriculture that supports billions of people, but which also can cause deadly floods. Because of the close coupling between the MJO and TCs, as well as the several week predictability of the MJO, models that can accurately simulate both kinds of weather systems have the potential to be useful for both mid-range weather forecasting and studies of impacts of climate change. This paper describes the further development of one such model, the Lagrangian Atmospheric Model (LAM), which simulates atmospheric motions by predicting motions of individual air parcels, and which has been shown to accurately simulate the MJO in previous studies. In this study, a new parameterization of cloud albedo is included in the LAM, and the model is tuned to improve simulations of TC distributions while still maintaining a robust and realistic MJO. Objective metrics of the model basic state, MJO quality, and TC distributions are used to optimize parameter selections for the cloud albedo parameterization and convective mixing. After tuning the LAM using dozens of 3-year simulations, we conduct two longer simulations forced with observed sea surface temperatures to verify that the new version of LAM has a substantially improved representation of TCs while still maintaining a realistic MJO. Full article
22 pages, 4765 KB  
Article
Land Use Simulation and Identification of Core Carbon Sink Areas in the Beijing–Tianjin–Hebei Region
by Ningyue Zhang, Yongqiang Cao, Jinke Wang, Xueer Guo and Yiwen Xia
Land 2026, 15(5), 720; https://doi.org/10.3390/land15050720 - 24 Apr 2026
Abstract
In the context of global climate change, the “dual carbon” goals, and land space planning, this study integrates the Patch-generating Land Use Simulation (PLUS) model, the Carnegie-Ames-Stanford Approach (CASA) model, and a soil respiration model (Heterotrophic Respiration, Rh) to simulate land [...] Read more.
In the context of global climate change, the “dual carbon” goals, and land space planning, this study integrates the Patch-generating Land Use Simulation (PLUS) model, the Carnegie-Ames-Stanford Approach (CASA) model, and a soil respiration model (Heterotrophic Respiration, Rh) to simulate land use change and estimate Net Ecosystem Productivity (NEP) from 2002 to 2023. It projects the carbon sink pattern for 2030 using Hot Spot Analysis. The results show the following: (1) From 2020 to 2030, land use in the Beijing–Tianjin–Hebei region will be characterized by decreases in cropland and grassland and increases in impervious and forest, with cropland-to-impervious conversion dominating. (2) The spatial pattern of NEP exhibits a clear “high in mountainous areas and low in plains” distribution, where forest, grassland, and cropland function as carbon sinks, with forest having the strongest sequestration capacity. The carbon sink core areas cover approximately 59,479 km2 and account for about 27.40% of the total area. (3) By 2030, the total carbon sink in the Beijing–Tianjin–Hebei region is projected to range from 31.81 to 32.39 Tg C under different scenarios, with forest contributing nearly 70%. The carbon sink core areas account for approximately 19.12–19.16 Tg C, representing about 60% of the total carbon sink. Full article
20 pages, 2533 KB  
Article
Viability of Residential Battery Storage as an Instrument to Manage Solar Energy Supply Variability: A Techno-Economic Assessment
by Wojciech Naworyta and Robert Uberman
Energies 2026, 19(9), 2060; https://doi.org/10.3390/en19092060 - 24 Apr 2026
Abstract
The rapid growth of residential photovoltaic (PV) installations has increased interest in electrical storage units (ESUs) as a means of enhancing self-consumption and reducing surplus electricity fed into the grid. However, in temperate climates characterized by strong seasonal variability in solar generation, the [...] Read more.
The rapid growth of residential photovoltaic (PV) installations has increased interest in electrical storage units (ESUs) as a means of enhancing self-consumption and reducing surplus electricity fed into the grid. However, in temperate climates characterized by strong seasonal variability in solar generation, the economic viability of residential battery storage remains uncertain. This study examines whether ESUs provide measurable financial benefits under such climatic conditions, particularly after the transition from net-metering to net-billing schemes. The analysis combines empirical household electricity consumption data with simulation-based modeling of PV–battery operation. Periods of surplus energy production during high solar generation were taken into account, as well as periods of increased energy demand in the winter season and technical limitations related to energy storage, including the difference between actual and nominal capacity of energy storage systems. The results indicate that although battery storage increases self-consumption and reduces grid injection during peak generation periods, its economic performance is limited by the seasonal mismatch between electricity production and demand. Consequently, under net-billing conditions, residential ESUs do not automatically ensure economic profitability in temperate climates. Full article
(This article belongs to the Section D: Energy Storage and Application)
Show Figures

Figure 1

29 pages, 1984 KB  
Article
A Smart Agro-Modelling Framework for Maize Growth and Yield Assessment in a Mediterranean Climate
by Sofia Silva, Cassio Miguel Ferrazza, João Rolim, Maria do Rosário Cameira and Paula Paredes
Water 2026, 18(9), 1015; https://doi.org/10.3390/w18091015 - 24 Apr 2026
Abstract
Accurate estimation of crop development, water use and yield is essential for improving irrigation management in Mediterranean agricultural systems under increasing climate variability. However, many crop models require extensive input data and technical expertise, limiting their operational use by farmers and technicians. This [...] Read more.
Accurate estimation of crop development, water use and yield is essential for improving irrigation management in Mediterranean agricultural systems under increasing climate variability. However, many crop models require extensive input data and technical expertise, limiting their operational use by farmers and technicians. This study proposes an integrated agro-modelling framework that combines thermal time modelling, satellite-derived vegetation indices and simplified yield estimation approaches to assess maize phenology, crop water use and productivity under real farming conditions. A key component of the framework is the use of the Sentinel-2 Normalized Difference Vegetation Index (NDVI) time series to dynamically identify crop growth stages and derive actual basal crop coefficients (Kcb act), enabling the estimation of actual crop transpiration (Tc act). These NDVI-based estimates of actual Kcb and Tc were evaluated against simulations from the previously calibrated soil water balance model SIMDualKc. The results showed that the temporal profiles of the NDVI successfully captured the progression of the maize growth stages, although some discrepancies were observed during early stages of development due to the effects of the soil background and the satellite revisit intervals. An empirical relationship between the NDVI and Kcb was developed using multi-year observations and model simulations, improving crop transpiration estimation under field conditions. The NDVI-based approach adequately reproduced daily transpiration dynamics with good agreement with SIMDualKc simulations, yielding RMSE values of 0.11–0.69 mm d−1 and errors generally below 21% of the mean transpiration rate. Seasonal transpiration estimates showed stronger agreement once canopy cover reached its maximum. The integrated AEZ–Stewart modelling framework incorporating NDVI-based transpiration estimations provided accurate yield predictions, with RMSE values of 1.7–2.3 t ha−1 (representing less than 14% of the observed yields). Overall, the proposed framework demonstrates strong potential as a practical and scalable decision-support tool for irrigation management and yield assessment in Mediterranean maize systems. Its novelty lies in the operational integration of NDVI-derived crop development and transpiration estimates within a simplified yield modelling structure, offering a transferable approach applicable to other regions and cropping systems where satellite data are available. Full article
(This article belongs to the Special Issue Use of Remote Sensing Technologies for Water Resources Management)
15 pages, 2629 KB  
Article
Three-Dimensional Transient Thermal Analysis of BIPV Roof Systems with Passive Cooling Fins Under Real Climatic Conditions
by Juan Pablo De-Dios-Jiménez, Germán Pérez-Hernández, Rafael Torres-Ricárdez, Reymundo Ramírez-Betancour, Jesús López-Gómez, Jessica De-Dios-Suárez and Brayan Leonardo Pérez-Escobar
Energies 2026, 19(9), 2056; https://doi.org/10.3390/en19092056 - 24 Apr 2026
Abstract
This paper describes the thermal and energy performance of three roof configurations: a conventional concrete slab, a BIPV system, and a BIPV system equipped with passive aluminum fins. Three-dimensional transient finite element simulations were carried out under field-measured 24 h meteorological boundary conditions [...] Read more.
This paper describes the thermal and energy performance of three roof configurations: a conventional concrete slab, a BIPV system, and a BIPV system equipped with passive aluminum fins. Three-dimensional transient finite element simulations were carried out under field-measured 24 h meteorological boundary conditions characteristic of hot climates. The objective of this study is to quantify the impact of PV integration and passive cooling strategies on heat transfer behavior and building energy performance. The BIPV roof achieved a 38.4% lower residual temperature than the concrete slab at 19:00, indicating superior heat dissipation. The addition of passive fins reduced module temperature by up to 10–12 °C and decreased peak roof temperature by up to 12%. This temperature reduction decreased electrical losses from 13.2% to 10.4%, resulting in a 21% relative reduction in temperature-induced losses. The predicted temperature ranges (≈60–75 °C under peak conditions) are consistent with values reported in experimental and numerical studies of BIPV systems in hot climates, supporting the physical realism of the model. Convective heat transfer was represented using effective coefficients, providing a computationally efficient engineering approximation of air-side heat exchange. Despite construction cost increases of up to 38%, PV integration achieved competitive payback periods of approximately 8.5–9 months under hot climate conditions. This economic assessment is based on a simple payback approach using an incremental cost formulation, where the photovoltaic system replaces the conventional concrete roof, reducing the effective investment. This study introduces a reproducible 3D transient FEM methodology for evaluating BIPV roofs under field-measured climatic boundary conditions. The framework explicitly couples geometry-resolved passive cooling, full-day thermal evolution, and temperature-dependent electrical losses, providing a physically consistent basis for assessing BIPV design alternatives in hot climates. Full article
(This article belongs to the Special Issue Energy Efficiency and Renewable Integration in Sustainable Buildings)
Show Figures

Figure 1

23 pages, 1602 KB  
Article
Evaluation of Water Vapor Feedback Using a Two-Layer Atmospheric Box Model
by Kazuma Morimoto, Hiroshi Kobayashi and Hiroyuki Shima
Mod. Math. Phys. 2026, 2(2), 4; https://doi.org/10.3390/mmphys2020004 - 23 Apr 2026
Abstract
Massive-scale, ultra-high-resolution numerical simulations for climate change prediction provide data of exceptional accuracy and reliability. However, this comes at the cost of enormous computational resources, and the underlying processes often remain a “black box”. In contrast to these sophisticated methods, we theoretically analyzed [...] Read more.
Massive-scale, ultra-high-resolution numerical simulations for climate change prediction provide data of exceptional accuracy and reliability. However, this comes at the cost of enormous computational resources, and the underlying processes often remain a “black box”. In contrast to these sophisticated methods, we theoretically analyzed the water vapor feedback effect using a highly simplified model that focuses exclusively on the most critical physical factors governing climate change. Specifically, we formulated a two-layer box model by dividing the entire atmosphere into layers of equal optical thickness. Using this model, we quantitatively verified the extent to which the water vapor feedback effect—a key driver of global warming—can be theoretically reproduced. Full article
Show Figures

Figure 1

42 pages, 2880 KB  
Review
Multiscale Modeling of Sediment Transport During Extreme Hydrological Events: Advances, Challenges, and Future Directions
by Jun Xu and Fei Wang
Water 2026, 18(9), 1004; https://doi.org/10.3390/w18091004 - 23 Apr 2026
Abstract
Extreme hydrological events fundamentally alter sediment transport dynamics across grain, reach, and watershed scales, rendering classical equilibrium-based transport formulations inadequate. This review synthesizes recent advances in multiscale sediment transport modeling under highly unsteady and high-magnitude forcing conditions. At the grain scale, particle-resolved simulations [...] Read more.
Extreme hydrological events fundamentally alter sediment transport dynamics across grain, reach, and watershed scales, rendering classical equilibrium-based transport formulations inadequate. This review synthesizes recent advances in multiscale sediment transport modeling under highly unsteady and high-magnitude forcing conditions. At the grain scale, particle-resolved simulations demonstrate that sediment entrainment is governed by turbulence intermittency and transient force exceedance rather than mean bed shear stress thresholds, particularly when the hydrograph rise timescale (Th) becomes comparable to particle response times (Tp). At the reach scale, non-equilibrium transport emerges when the unsteadiness ratio Th/TaO(1), where Ta is the sediment adaptation timescale representing the time required for sediment flux to adjust toward transport capacity. Under these conditions, pronounced hysteresis between discharge and sediment flux is observed, requiring relaxation-based transport formulations instead of instantaneous equilibrium laws. At the watershed scale, the sediment delivery ratio (SDR), defined as the ratio of sediment yield at the basin outlet to total hillslope erosion, becomes highly time-dependent. Extreme precipitation events can activate hillslope-channel connectivity, increasing SDR by orders of magnitude relative to baseline conditions. A unified dimensionless scaling framework is presented based on mobility intensity (θ/θc, where θ is the Shields parameter and θc is its critical value for incipient motion), unsteadiness ratio (Th/Ta), and morphodynamic coupling (Tf/Tm, where Tf is the hydraulic advection timescale and Tm is the morphodynamic adjustment timescale). This framework enables classification of sediment transport regimes ranging from quasi-equilibrium to cascade-dominated states. The synthesis demonstrates that predictive uncertainty increases nonlinearly across scales due to timescale compression, threshold activation, and feedback between flow hydraulics and evolving morphology. Recent developments in hybrid physics-AI approaches show promise in improving predictive capability by enabling dynamic transport closures, surrogate modeling of computationally expensive microscale processes, and data assimilation for real-time forecasting. However, these approaches remain limited by extrapolation uncertainty and the need to enforce physical constraints. Overall, this review concludes that regime-aware multiscale coupling, combined with uncertainty quantification and adaptive modeling strategies, is essential for robust sediment hazard prediction and climate-resilient infrastructure design under intensifying hydrological extremes. Full article
(This article belongs to the Special Issue Advances in Extreme Hydrological Events Modeling)
Show Figures

Figure 1

31 pages, 38002 KB  
Article
Reclaiming the Ground: An Integrated Design Studio Pedagogy for Flood-Resilient Urban Waterfronts
by Pedro Veloso
Buildings 2026, 16(9), 1650; https://doi.org/10.3390/buildings16091650 - 22 Apr 2026
Abstract
This article presents an integrated design studio pedagogy for flood-resilient urban waterfronts that employs groundscape strategies, treating the ground as an active design medium to generate hybrid structures integrating landscape, architecture, and infrastructure. Implemented at the Fay Jones School of Architecture and Design [...] Read more.
This article presents an integrated design studio pedagogy for flood-resilient urban waterfronts that employs groundscape strategies, treating the ground as an active design medium to generate hybrid structures integrating landscape, architecture, and infrastructure. Implemented at the Fay Jones School of Architecture and Design (Fall 2024), the studio challenged students to transform North Little Rock’s flood-vulnerable riverfront by replacing conventional levee infrastructure with ground-based public architectural interventions. The study adopts a pedagogical case-study approach, examining a studio cohort in which all projects were developed under shared site conditions, design constraints, and instructional frameworks. Five assignments progressed from collaborative precedent analysis to individual technical development, integrating computational modeling, performance simulations, and expert consultations across structural, envelope, MEP, and site engineering. Student work is analyzed through comparative sectional diagrams and selected in-depth project studies to evaluate how groundscape functioned as a shared solution type for multiscalar integration. The results show that groundscape operates productively when tested against specific site constraints rather than deployed as a generalized esthetic. In response to flood elevations, degraded ecology, and limited public access, students developed distinct ground-based operations—such as embedding, lifting, and integrating flood walls as spatial thresholds—demonstrating architecture’s capacity to mediate between civic space, environmental performance, and flood protection. By situating groundscape within a problem-oriented pedagogy, the study consolidates modernist, postmodern, and contemporary groundscape discourse and demonstrates how architectural education can engage productively with climate-adaptation challenges. Full article
(This article belongs to the Special Issue Emerging Trends in Architecture, Urbanization, and Design)
Show Figures

Figure 1

27 pages, 1563 KB  
Article
A Safety-Constrained Multi-Objective Optimization Framework for Autonomous Mining Systems: Statistical Validation in Surface and Underground Environments
by Rajesh Patil and Magnus Löfstrand
Technologies 2026, 14(5), 248; https://doi.org/10.3390/technologies14050248 - 22 Apr 2026
Abstract
The incorporation of artificial intelligence, multi-sensor perception, and cyber-physical control into mining operations offers tremendous opportunities for increasing productivity, safety, and sustainability. However, present frameworks focus on discrete subsystems rather than providing a unified, safety-constrained optimization method that has been verified in both [...] Read more.
The incorporation of artificial intelligence, multi-sensor perception, and cyber-physical control into mining operations offers tremendous opportunities for increasing productivity, safety, and sustainability. However, present frameworks focus on discrete subsystems rather than providing a unified, safety-constrained optimization method that has been verified in both surface and underground environments. This paper describes a scalable, hierarchical autonomous mining architecture that incorporates sensor fusion, edge intelligence, fleet coordination, and digital twin-based decision support. It is designed to operate in GNSS-denied conditions and extreme climatic constraints common to Nordic mining environments. A mathematical modeling approach formalizes vehicle dynamics, drilling mechanics, and multi-agent fleet coordination inside a safety-constrained multi-objective optimization formulation. The framework is validated using Monte Carlo simulation with uncertainty measurement, sensitivity analysis, and statistical hypothesis testing. The preliminary results show improvements over a typical baseline, with productivity increasing by approximately 24.3% ± 3.2%, energy consumption decreasing by 12.8% ± 2.5%, and safety risk decreasing by 48.6% ± 4.1%. A sensitivity study identifies localization accuracy, communication delay, and optimization weighting as the primary system performance drivers. The suggested framework serves as a reproducible and transferable reference model for next-generation intelligent mining systems, having direct applications to both industrial deployment and future research in autonomous resource extraction. Full article
(This article belongs to the Section Information and Communication Technologies)
37 pages, 34047 KB  
Article
Bridging Measurement and Modeling: An Approach to Urban Thermal Comfort Spatialization and Risk Assessment in Strasbourg, France
by Chaimaa Delasse, Vincent Lecomte, Pierre Kastendeuch, Georges Najjar, Hélène Macher, Rafika Hajji and Tania Landes
Remote Sens. 2026, 18(9), 1271; https://doi.org/10.3390/rs18091271 - 22 Apr 2026
Abstract
Urban planners increasingly require high-resolution thermal comfort maps to prioritize heat adaptation, yet validating the necessary microclimate models against standard field instruments remains methodologically fraught. This study establishes an integrated measurement–modeling framework applied to a study area in Strasbourg, France. First, we evaluate [...] Read more.
Urban planners increasingly require high-resolution thermal comfort maps to prioritize heat adaptation, yet validating the necessary microclimate models against standard field instruments remains methodologically fraught. This study establishes an integrated measurement–modeling framework applied to a study area in Strasbourg, France. First, we evaluate the radiative physics of the LASER/F model against net radiometer measurements at a specific sub-canopy location and against incoming shortwave radiation pyranometer records across three instrumentation sites. Results demonstrate high accuracy for longwave fluxes (R2>0.95) but reveal that simplified tree geometry leads to condition-dependent shortwave discrepancies. Second, we quantify the systematic divergence between Mean Radiant Temperature derived from black globe measurements and six-directional simulations across seven sites. We analyze how these inevitable discrepancies, stemming mainly from geometric mismatch, propagate into the Universal Thermal Climate Index (UTCI), resulting in (71.5–75.5%) diurnal exact categorical agreement. Finally, spatial application of the model uncovers a “masked risk”: while temporal averaging suggests that 100% of the district remains safe (mean UTCI <32C), duration-based analysis reveals that 72.8% of surfaces actually experience critical heat stress for over a quarter of the period. To address these hidden exposure risks, we propose a “Combined Risk Score” (CRS) that integrates thermal intensity and critical exposure duration on an absolute, dataset-independent scale, with a sensitivity analysis demonstrating that spatial risk prioritization is invariant to the intensity–duration weighting choice at the operational threshold. Full article
(This article belongs to the Special Issue Applications of Remote Sensing in Landscapes and Human Settlements)
27 pages, 2093 KB  
Article
Flood Susceptibility Mapping and Runoff Modeling in the Upper Baishuijiang River Basin, China
by Hao Wang, Quanfu Niu, Jiaojiao Lei and Weiming Cheng
Remote Sens. 2026, 18(9), 1270; https://doi.org/10.3390/rs18091270 - 22 Apr 2026
Abstract
Mountain flood susceptibility in complex mountainous basins is strongly influenced by terrain–climate interactions; however, the linkage between spatial susceptibility patterns and hydrological processes remains poorly understood. This study proposes a process-oriented framework that explicitly links flood susceptibility patterns with hydrological processes, moving beyond [...] Read more.
Mountain flood susceptibility in complex mountainous basins is strongly influenced by terrain–climate interactions; however, the linkage between spatial susceptibility patterns and hydrological processes remains poorly understood. This study proposes a process-oriented framework that explicitly links flood susceptibility patterns with hydrological processes, moving beyond conventional approaches that rely on independent model integration. The Baishuijiang River Basin, located in Wenxian County, southern Gansu Province, China, is selected as a representative mountainous watershed for this analysis. The specific conclusions are as follows: (1) Flood susceptibility was mapped using a Particle Swarm Optimization (PSO)-enhanced Maximum Entropy (MaxEnt) model based on multi-source environmental variables, including climatic, terrain, soil, land cover, and vegetation factors. The model achieved high predictive accuracy (Area Under the Receiver Operating Characteristic Curve (AUC) = 0.912), identifying precipitation of the driest month (bio14), elevation, and land use as dominant controlling factors. Medium-to-high-susceptibility areas account for approximately 22% of the basin and are mainly distributed along river valleys and flow convergence areas. These patterns are strongly associated with reduced infiltration capacity under dry antecedent conditions and enhanced flow concentration in steep terrain, and they exhibit clear nonlinear responses and threshold effects. (2) Hydrological simulations using Hydrologic Engineering Center–Hydrologic Modeling System (HEC-HMS) show good agreement with observed runoff (Nash–Sutcliffe Efficiency (NSE) = 0.74−0.85). Sensitivity analysis indicates that runoff dynamics are primarily controlled by the Curve Number (CN), recession constant, and ratio to peak, corresponding to infiltration capacity, recession processes, and peak discharge amplification. The spatial consistency between high-susceptibility areas and areas of strong runoff response demonstrates that susceptibility patterns can be physically explained through hydrological processes, providing a process-based interpretation rather than a purely statistical prediction. (3) Future projections indicate that medium–high-susceptibility areas remain generally stable but show a gradual expansion (+5.2% ± 0.8%) and increasing concentration along river corridors under climate change scenarios. This reflects intensified precipitation variability and enhanced runoff concentration processes, suggesting a climate-driven amplification of flood risk in hydrologically connected areas. Overall, this study goes beyond conventional susceptibility assessment by establishing a physically interpretable framework that provides a consistent linkage between environmental controls, susceptibility patterns, and hydrological responses. The proposed approach is transferable to similar mountainous basins with strong terrain–climate interactions, although uncertainties related to data limitations and single-basin application remain and require further investigation. Full article
(This article belongs to the Special Issue Remote Sensing for Planetary Geomorphology and Mapping)
9 pages, 2012 KB  
Proceeding Paper
Measurement-Based Investigation of Energy-Efficient and Comfortable Air Conditioning in Urban Air Mobility
by Christina Matheis, Victor Norrefeldt and Michael Visser
Eng. Proc. 2026, 133(1), 34; https://doi.org/10.3390/engproc2026133034 - 22 Apr 2026
Abstract
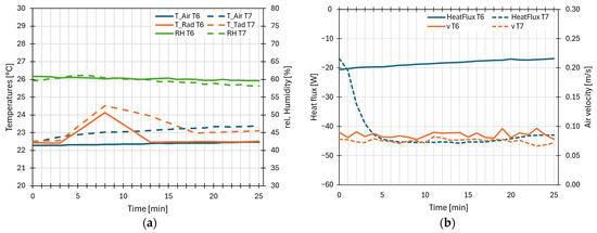
The idea of using air cabs urban mobility is increasingly becoming a reality. In this project, research is conducted on an energy-efficient air conditioning system for an air cab to efficiently combine range and comfort in the cabin. For this, both simulations using [...] Read more.
The idea of using air cabs urban mobility is increasingly becoming a reality. In this project, research is conducted on an energy-efficient air conditioning system for an air cab to efficiently combine range and comfort in the cabin. For this, both simulations using a zonal model are conducted, and a thermal air cab demonstrator platform is developed. Measurements in the air cab demonstrator are used to investigate passenger comfort under various climatic conditions, including warm and moderate environments. In addition, the study focuses on evaluating the energetic efficiency of various air conditioning systems such as air cooling and close-to-body climatization. The data analysis compares user comfort and energy efficiency across technologies based on established comfort standards. This allows recommendations for energy-efficient air conditioning to be identified. Full article
Show Figures

Figure 1

Back to TopTop