Sign in to use this feature.

Years

Between: -

Subjects

remove_circle_outline
remove_circle_outline
remove_circle_outline
remove_circle_outline
remove_circle_outline
remove_circle_outline
remove_circle_outline
remove_circle_outline
remove_circle_outline

Journals

remove_circle_outline
remove_circle_outline
remove_circle_outline
remove_circle_outline
remove_circle_outline
remove_circle_outline
remove_circle_outline
remove_circle_outline
remove_circle_outline
remove_circle_outline
remove_circle_outline
remove_circle_outline
remove_circle_outline
remove_circle_outline
remove_circle_outline
remove_circle_outline
remove_circle_outline
remove_circle_outline
remove_circle_outline

Article Types

Countries / Regions

remove_circle_outline
remove_circle_outline
remove_circle_outline
remove_circle_outline
remove_circle_outline
remove_circle_outline

Search Results (3,034)

Search Parameters:
Keywords = cleaving

Order results
Result details
Results per page
Select all
Export citation of selected articles as:
14 pages, 1087 KB  
Article
Serum α-Glucosidase Activity as a New Parameter of Negative Energy Balance in Dairy Cows
by Babett Bartling, Thomas Tröbner, Lena Grone and Marion Schmicke
Vet. Sci. 2026, 13(2), 122; https://doi.org/10.3390/vetsci13020122 - 27 Jan 2026
Abstract
Enzymes of the α-glucosidase group cleave α-D-glucose from the non-reducing end of short oligosaccharides. They contribute to carbohydrate digestion as maltase-glucoamylase in the intestinal brush border and as neutral α-glucosidase in other tissues. Neutral α-glucosidase is also active in blood, but little is [...] Read more.
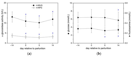
Enzymes of the α-glucosidase group cleave α-D-glucose from the non-reducing end of short oligosaccharides. They contribute to carbohydrate digestion as maltase-glucoamylase in the intestinal brush border and as neutral α-glucosidase in other tissues. Neutral α-glucosidase is also active in blood, but little is known about its relevance as an indicator of the body’s metabolic state. Therefore, we proved whether the α-glucosidase activity level in blood does reflect the state of negative energy balance (NEB). As NEB commonly occurs in dairy cows around calving, our study included blood (serum, plasma) samples of 73 Holstein Friesian cows collected ±14 d to parturition. After the establishment and characterization of a fast and low-cost activity assay, these blood samples were analyzed for α-glucosidase compared to known NEB biomarkers. This analysis revealed the lowest α-glucosidase activity 5 d post partum (−25% compared to 14 d ante partum) by using two different α-glucosidase substrates. The reduced activity recovered 14 d post partum; however, the degree of recovery depended inversely on the number of parities. In this regard, α-glucosidase activity changed peripartum in line with known biomarkers (e.g., NEFA, IGF-1, glucose). In conclusion, the α-glucosidase activity is a new and easily detectable blood parameter of NEB in dairy cows. Full article
(This article belongs to the Section Nutritional and Metabolic Diseases in Veterinary Medicine)
Show Figures

Figure 1

22 pages, 11112 KB  
Article
Potato Virus Y NIb Multifunctional Protein Suppresses Antiviral Defense by Interacting with Several Protein Components of the RNA Silencing Pathway
by Prakash M. Niraula, Saniyaa Howell, Chase A. Stratton, Michael T. Moore, Matthew B. Dopler, Muhammad I. Abeer, Michael A. Gitcho and Vincent N. Fondong
Int. J. Mol. Sci. 2026, 27(3), 1208; https://doi.org/10.3390/ijms27031208 - 25 Jan 2026
Viewed by 59
Abstract
Potyvirus genomes are expressed as a single large open reading frame, which is translated into a polyprotein that is post-translationally cleaved by three virus-encoded proteases into 10 functional proteins. Several of these potyviral proteins, including nuclear inclusion protein b (NIb), are multifunctional. Here, [...] Read more.
Potyvirus genomes are expressed as a single large open reading frame, which is translated into a polyprotein that is post-translationally cleaved by three virus-encoded proteases into 10 functional proteins. Several of these potyviral proteins, including nuclear inclusion protein b (NIb), are multifunctional. Here, using the classic GFP silencing in Nicotiana benthamiana gfp-transgenic plants, we show that potato virus Y (PVY) NIb, in addition to its canonical role as the viral RNA-dependent RNA polymerase (RdRP), functions as a suppressor of RNA silencing. Mutational analyses reveal a previously unreported NIb nuclear localization signal (NLS) consisting of a triple-lysine motif. NIb suppression of RNA silencing activity was lost when the NLS was mutated, suggesting that nuclear localization is required for NIb suppression of RNA silencing activity. Analysis of sequenced GFP siRNAs revealed three reproducible hotspot regions at ≈175 nt, ≈320–330 nt, and a broader 3′-proximal region spanning ≈560–700 nt that contains multiple local maxima. These data show differences in the positional distribution of siRNAs between samples expressing NIb and those expressing NIbDel3×2, the NIb null mutant that does not suppress RNA silencing. However, the positional distribution of GFP-derived small RNAs across the transgene differed modestly between NIb and NIbDel3×2, while both treatments showed the same three reproducible hotspot regions. Furthermore, NIb was found to interact with four key RNA silencing pathway proteins—AGO4, HSP70, HSP90, and SGS3. Except for HSP90, each of these proteins showed degradation products that were absent in NIb mutants that did not suppress RNA silencing. These findings support a role for NIb in countering host defense during virus infection. Full article
Show Figures

Figure 1

17 pages, 1954 KB  
Article
Variation in the Number of Genes in the Secretomes of Isolates of Ilyonectria robusta and Ilyonectria mors-panacis Pathogenic to American Ginseng (Panax quinquefolius)
by Paul H. Goodwin, Moez Valliani and Tom Hsiang
Horticulturae 2026, 12(2), 135; https://doi.org/10.3390/horticulturae12020135 - 25 Jan 2026
Viewed by 89
Abstract
For 12 isolates of Ilyonectria mors-panacis and 4 isolates of Ilyonectria robusta, the number of genes in the secretome showed a negative correlation with growth rates in culture, especially for small secreted non-cysteine-rich and cysteine-rich proteins, and several proteases and lipases, while it [...] Read more.
For 12 isolates of Ilyonectria mors-panacis and 4 isolates of Ilyonectria robusta, the number of genes in the secretome showed a negative correlation with growth rates in culture, especially for small secreted non-cysteine-rich and cysteine-rich proteins, and several proteases and lipases, while it was positively correlated with genes for six CAZyme classes/modules and other proteases and lipases. However, this significant correlation with growth rate was influenced by the I. robusta isolates mostly having faster growth rates than the I. mors-panacis isolates on PDA, indicating a species-level difference. The only significant relationship of gene number to virulence was a positive correlation with genes for secreted glycoside hydrolases in families 18 and 78, and this was related to differences between isolates, even if only I. mors-panacis isolates were examined, indicating a difference within species. Glycoside hydrolase family 18 includes chitinase-like proteins, endo-β-N-acetylglucosaminidases, lectins, and xylanase inhibitors, which could help suppress triggered immunity by the host and regulate fungal xylanase activity. Glycoside hydrolase family 78 contain α-L-rhamnosidases that can cleave flavonoid glycosides, saponins, and ginsenosides, which could degrade antimicrobial compounds produced as a host response during infection. These results indicate that the number of certain classes of secreted enzymes could be a factor in both growth rate in culture and virulence. Full article
Show Figures

Figure 1

14 pages, 1872 KB  
Article
Dual Targeting of IDH2 and the Ubiquitin-Proteasome System Reveals a Functional Vulnerability in Breast Cancer Models
by Nariman Gharari, Elisabetta Mereu, Beatrice Luciano, Bahareh Heidari, Sylvie Mader and Roberto Piva
Cancers 2026, 18(3), 368; https://doi.org/10.3390/cancers18030368 - 24 Jan 2026
Viewed by 74
Abstract
Background/Objectives: Breast cancer cells rely on both mitochondrial metabolism and proteostatic mechanisms for cell fitness. The mitochondrial enzyme IDH2 supports redox balance and biosynthesis, while the ubiquitin-proteasome system (UPS) preserves protein quality. This study aimed to determine whether inhibiting IDH2 enhances sensitivity to [...] Read more.
Background/Objectives: Breast cancer cells rely on both mitochondrial metabolism and proteostatic mechanisms for cell fitness. The mitochondrial enzyme IDH2 supports redox balance and biosynthesis, while the ubiquitin-proteasome system (UPS) preserves protein quality. This study aimed to determine whether inhibiting IDH2 enhances sensitivity to proteasome-targeting agents across breast cancer subtypes. Methods: A panel of human and murine breast cancer cell lines was treated with the IDH2 inhibitor AGI-6780, alone or in combination with the proteasome inhibitor carfilzomib (CFZ) or the E1 ubiquitin-activating enzyme inhibitor TAK-243. Synergy was evaluated using Bliss scoring. Apoptosis, clonogenicity, and pathway modulation were assessed through Western blotting, colony-formation assays, and reverse-phase protein array (RPPA) profiling. Results: We observed that co-targeting IDH2 and the UPS produced strong synergistic cytotoxicity in multiple breast cancer models, including in triple-negative MDA-MB-231 and 4T1 cells (Bliss > 25). Combination treatments led to pronounced apoptosis, evidenced by cleaved PARP-1 and Caspase-3 cleavage, and a marked loss of clonogenic potential. RPPA analysis revealed significant alterations in key survival and stress-response pathways, including NF-κB, PI3K-p85, Src, and p38-MAPK. Conclusions: Inhibition of IDH2 markedly enhances the cytotoxic effects of proteasome-targeting by disrupting metabolic–proteostatic balance and promoting apoptotic cell death. These findings identify a growth-inhibitory effect that may be leveraged to improve functional dependency in breast cancer, particularly in triple-negative breast cancer, which currently lacks efficient drug treatments. Full article
(This article belongs to the Section Molecular Cancer Biology)
18 pages, 1430 KB  
Article
Extracellular Lipopolysaccharide Triggers the Release of Unconjugated Interferon-Stimulated Gene 15 (ISG15) Protein from Macrophages via Type-I Interferon/Caspase-4/Gasdermin-D Pathway
by Sudiksha Pandit, Lindsay Grace Miller, Indira Mohanty and Santanu Bose
Pathogens 2026, 15(1), 122; https://doi.org/10.3390/pathogens15010122 - 22 Jan 2026
Viewed by 57
Abstract
Interferon-stimulated gene 15 (ISG15) is an interferon-induced ubiquitin-like protein that plays an important role in antiviral defense and inflammatory responses, primarily through the process of ISGylation, whereby ISG15 is covalently conjugated to target proteins. Beyond its intracellular functions, a portion of free unconjugated [...] Read more.
Interferon-stimulated gene 15 (ISG15) is an interferon-induced ubiquitin-like protein that plays an important role in antiviral defense and inflammatory responses, primarily through the process of ISGylation, whereby ISG15 is covalently conjugated to target proteins. Beyond its intracellular functions, a portion of free unconjugated ISG15 is also released into the extracellular environment during infections and diseases such as cancer. Extracellular ISG15 is known to regulate immune cell activity and cytokine production. Despite its immune-modulatory role, how ISG15 is released from cells has remained unclear. In this study, we have identified a non-lytic mechanism by which human macrophages release ISG15. Using lipopolysaccharide (LPS) as a stimulus, we show that extracellular LPS triggers unconjugated ISG15 release by utilizing plasma membrane-localized Gasdermin D (GSDMD) pores. Mechanistically, LPS via the autocrine/paracrine action of type-I interferon (IFN) activates caspase-4 (Casp4) to cleave the N-terminal domain of GSDMD for the formation of cell surface GSDMD pores that permit the extracellular release of unconjugated ISG15 in the absence of lytic cell death. Together, our studies have identified the IFN-Casp4-GSDMD axis as a previously unrecognized non-classical pathway for unconjugated ISG15 release from cells. Full article
(This article belongs to the Special Issue Pathogen–Host Interactions: Death, Defense, and Disease)
Show Figures

Figure 1

23 pages, 3422 KB  
Article
Therapeutic Exosomes Carrying VEGFA siRNA Inhibit Pathological Corneal Angiogenesis via PI3K–Akt–Caspase-3 Signaling
by Woojune Hur, Basanta Bhujel, Seorin Lee, Seheon Oh, Ho Seok Chung, Hun Lee and Jae Yong Kim
Biomedicines 2026, 14(1), 246; https://doi.org/10.3390/biomedicines14010246 - 21 Jan 2026
Viewed by 168
Abstract
Background/Objectives: Neovascularization, defined as the sprouting of new blood vessels from pre-existing vasculature, is a critical pathological feature in ocular diseases such as pathological myopia and represents a leading cause of corneal vision loss. Vascular endothelial growth factor A (VEGFA) plays a pivotal [...] Read more.
Background/Objectives: Neovascularization, defined as the sprouting of new blood vessels from pre-existing vasculature, is a critical pathological feature in ocular diseases such as pathological myopia and represents a leading cause of corneal vision loss. Vascular endothelial growth factor A (VEGFA) plays a pivotal role in endothelial cell proliferation, migration, survival by anti-apoptotic signaling, and vascular permeability. Dysregulation of VEGFA is closely linked to pathological neovascularization. Exosomes, nanosized phospholipid bilayer vesicles ranging from 30 to 150 nm, have emerged as promising gene delivery vehicles due to their intrinsic low immunogenicity, superior cellular uptake, and enhanced in vivo stability. This study aimed to investigate whether highly purified mesenchymal stem cell (MSC)-derived exosomes loaded with VEGFA siRNA labeled with FAM can effectively suppress pathological corneal neovascularization (CNV) via targeeted cellular transduction and VEGFA inhibition. Furthermore, we examined whether the therapeutic effect involves the modulation of the PI3K–Akt–Caspase-3 signaling axis. Methods: Exosomes purified by chromatography were characterized by electronmicroscopy, standard marker immunoblotting, and nanoparticle tracking analysis. In vitro, we assessed exosome uptake and cytoplasmic release, suppression of VEGFA mRNA/protein, cell viability, and apoptosis. In a mouse CNV model, we evaluated tissue reach and stromal retention after repeated intrastromal injections; anterior segment angiogenic indices; CD31/VEGFA immunofluorescence/immunoblotting; phosphorylated PI3K and Akt; cleaved caspase-3; histology (H&E); and systemic safety (liver, kidney, and spleen). Results: Exosomes were of high quality and showed peak efficacy at 48 h, with decreased VEGFA mRNA/protein, reduced viability, and increased apoptosis in vitro. In vivo, efficient delivery and stromal retention were observed, with accelerated inhibition of neovascularization after Day 14 and maximal effect on Days 17–19. Treatment reduced CD31 and VEGFA, decreased p-PI3K and p-Akt, and increased cleaved caspase-3. Histologically, concurrent reductions in neovascularization, inflammatory cell infiltration, and inflammatory epithelial thickening were observed, alongside a favorable systemic safety profile. Conclusions:VEGFA siRNA-loaded exosomes effectively reduce pathological CNV via a causal sequence of intracellular uptake, cytoplasmic release, targeted inhibition, and phenotypic suppression. Supported by consistent PI3K–Akt inhibition and caspase-3–mediated apoptosis induction, these exosomes represent a promising local gene therapy that can complement existing antibody-based treatments. Full article
(This article belongs to the Special Issue Stem Cell Therapy: Traps and Tricks)
Show Figures

Figure 1

22 pages, 8953 KB  
Article
Genome-Wide Analysis of Tomato SlCCD Genes and the Role of SlCCD11 in Enhancing Salt Tolerance
by Caiting An, Zesheng Liu, Mengkun Liu, Qianbin Li, Qi Wang, Min Cao, Xinmeng Geng and Chunlei Wang
Plants 2026, 15(2), 300; https://doi.org/10.3390/plants15020300 - 19 Jan 2026
Viewed by 244
Abstract
Tomato (Solanum lycopersicum L.) is an important horticultural crop. Carotenoid cyclase dioxygenase (CCD) is an enzyme responsible for cleaving carotenoids, which is involved in regulating plant growth and response to abiotic stresses. However, the role of SlCCDs in tomato stress resistance remains [...] Read more.
Tomato (Solanum lycopersicum L.) is an important horticultural crop. Carotenoid cyclase dioxygenase (CCD) is an enzyme responsible for cleaving carotenoids, which is involved in regulating plant growth and response to abiotic stresses. However, the role of SlCCDs in tomato stress resistance remains unclear. This study used the tomato variety ‘Micro-Tom’ as the material to investigate the function of SlCCDs in stress responses. Through whole-genome analysis, a total of 12 SlCCDs members (SlCCD1SlCCD12) were identified. Systematic evolutionary analysis classified them into four branches, and members within the same branch maintained a conserved structure. The promoter analysis revealed that SlCCDs contain multiple hormones and stress response elements. The qRT-PCR analysis revealed that SlCCD11 was the most highly expressed gene in the leaves. In addition, multiple SlCCDs showed significant responses to abscisic acid (ABA), methyl jasmonate (MeJA), light, and sodium chloride (NaCl) treatments. Among them, the expression of SlCCD11 significantly increased under salt stress. By silencing SlCCD11 using virus-induced gene silencing (VIGS) technology, it was found that the chlorophyll content, antioxidant enzyme activity, and ABA-related gene expression in the TRV:SlCCD11 plants under salt stress were all lower than the control samples, while the carotenoid content and ROS accumulation were higher. This indicates that SlCCD11 is a positive regulatory factor for salt stress. In conclusion, this study systematically analyzed the SlCCD gene family and revealed the positive role of SlCCD11 in tomato response to salt stress, providing a candidate gene for genetic improvement of crop stress resistance. Full article
(This article belongs to the Special Issue Molecular Regulatory Mechanisms of Crop Salt Tolerance)
Show Figures

Figure 1

14 pages, 2683 KB  
Article
Coxsackievirus B3 Cleaves INTS10 Through 3C Protease to Facilitate Its Replication
by Luna Yuan, Liling Lin, Chunyan Bi, Xiaoyu Niu, Yang Chen, Yanru Fei, Guangtian Wang, Hui Wang, Yan Wang, Wenran Zhao, Zhaohua Zhong and Lexun Lin
Int. J. Mol. Sci. 2026, 27(2), 996; https://doi.org/10.3390/ijms27020996 - 19 Jan 2026
Viewed by 102
Abstract
Coxsackieviruses possess two proteases that are engaged in cleaving viral polyprotein and hijacking host cell processes such as RNA biosynthesis. Integrator subunit 10 (INTS10), a subunit of the integrator complex, facilitates the processing of small nuclear RNAs (U1 and U2 snRNAs) to [...] Read more.
Coxsackieviruses possess two proteases that are engaged in cleaving viral polyprotein and hijacking host cell processes such as RNA biosynthesis. Integrator subunit 10 (INTS10), a subunit of the integrator complex, facilitates the processing of small nuclear RNAs (U1 and U2 snRNAs) to regulate cellular transcription. We found that INST10 can be cleaved by Coxsackievirus B (CVB). Hence, we hypothesized that INST10 may play a role in CVB infection. In this study, INTS10 is identified as the substrate of CVB3 protease 3C (3Cpro). The cleavage occurs at the residue Q221 and yields a fragment. Depletion of INTS10 enhanced CVB3 replication and blocked snRNA processing. Overexpression of U1 snRNA inhibited CVB3 infection, whereas its knockdown conversely enhanced it. Similarly, knockdown of U2 snRNA was found to promote CVB3 replication. Taken together, the 3Cpro-mediated cleavage of INTS10 disrupts U snRNA processing, which in turn counteracts the inhibitory effect of snRNA U1 and U2 on virus replication and subverts host defenses. Full article
(This article belongs to the Section Molecular Biology)
Show Figures

Figure 1

13 pages, 1433 KB  
Article
Presynaptic Terminal Proteins and Nicotinic Receptors Are Depleted from Mouse Parasympathetic Ganglionic Junctions Paralysed with Botulinum Neurotoxin Type A
by Ahmed Al-Sabi and Gary W. Lawrence
Toxins 2026, 18(1), 43; https://doi.org/10.3390/toxins18010043 - 14 Jan 2026
Viewed by 203
Abstract
Plasticity is fundamental to the development, strengthening, and maintenance of healthy synaptic connections and recovery from injury in both the central and peripheral nervous systems. Yet, the processes involved are poorly understood. Herein, using a combination of patch-clamp electrophysiology and immuno-fluorescence confocal microscopy [...] Read more.
Plasticity is fundamental to the development, strengthening, and maintenance of healthy synaptic connections and recovery from injury in both the central and peripheral nervous systems. Yet, the processes involved are poorly understood. Herein, using a combination of patch-clamp electrophysiology and immuno-fluorescence confocal microscopy in adult mice, it is shown that blockade of synaptic transmission at submandibular ganglion junctions exposed to botulinum neurotoxin type A was accompanied by a rapid and striking decline in the abundance of synaptic vesicle markers—SV2, vesicle-associated membrane protein 2, and vesicular acetylcholine transporter—plus SNAP-25 (cleaved and intact) and postsynaptic α7 nicotinic acetylcholine receptors. Such alterations by the neurotoxin of parasympathetic synapses contrast starkly with the stability of postsynaptic proteins at nearby skeletal neuromuscular junctions. Both neurotransmission and the expression of SV2 and α7 nicotinic acetylcholine receptors remained depressed for 4 weeks, with full recovery of synaptic function delayed for more than 8 weeks. These novel findings may explain the relatively slow recovery of autonomic function after botulism or following therapeutic injections to alleviate hypersecretory disorders. Full article
Show Figures

Figure 1

26 pages, 6754 KB  
Article
Akhirin Functions as an Innate Immune Barrier to Preserve Neurogenic Niche Homeostasis During Mouse Brain Development
by Mikiko Kudo, Tenta Ohkubo, Taichi Sugawara, Takashi Irie, Jun Hatakeyama, Shigehiko Tamura, Kenji Shimamura, Tomohiko Wakayama, Naoki Matsuo, Kinichi Nakashima, Takahiro Masuda and Kunimasa Ohta
Cells 2026, 15(2), 151; https://doi.org/10.3390/cells15020151 - 14 Jan 2026
Viewed by 259
Abstract
Neurogenesis is tightly regulated by complex interactions among neural stem and progenitor cells (NSCs/NPCs), blood vessels, microglia, and extracellular matrix components within the neurogenic niche. In the embryonic brain, NSCs reside along the ventricular surface, where cerebrospinal fluid (CSF) directly regulates their proliferation. [...] Read more.
Neurogenesis is tightly regulated by complex interactions among neural stem and progenitor cells (NSCs/NPCs), blood vessels, microglia, and extracellular matrix components within the neurogenic niche. In the embryonic brain, NSCs reside along the ventricular surface, where cerebrospinal fluid (CSF) directly regulates their proliferation. Here, we identify Akhirin (AKH) as a critical regulator that preserves the integrity of the NSC niche during mouse brain development. At embryonic day 14.5, AKH is secreted and enriched at the apical surface of choroid plexus epithelial cells and the ventricular lining. Loss of AKH leads to increases the inflammatory cytokine expression in the CSF and disrupts NSC niche homeostasis. Furthermore, AKH is cleaved upon inflammatory stimulation, and its LCCL domain directly binds bacteria, thereby preventing their spread. These findings reveal that AKH functions as a protective barrier molecule within the developing neurogenic niche, providing immune protection and preserving NSC niche homeostasis during periods when the innate immune defenses are still immature. Full article
(This article belongs to the Section Stem Cells)
Show Figures

Figure 1

20 pages, 7571 KB  
Article
Discontinued BACE1 Inhibitors in Phase II/III Clinical Trials and AM-6494 (Preclinical) Towards Alzheimer’s Disease Therapy: Repurposing Through Network Pharmacology and Molecular Docking Approach
by Samuel Chima Ugbaja, Hezekiel Matambo Kumalo and Nceba Gqaleni
Pharmaceuticals 2026, 19(1), 138; https://doi.org/10.3390/ph19010138 - 13 Jan 2026
Viewed by 303
Abstract
Background: β-site amyloid precursor protein cleaving enzyme 1 (BACE1) inhibitors demonstrated amyloid-lowering efficacy but failed in phase II/III clinical trials due to adverse effects and limited disease-modifying outcomes. This study employed an integrated network pharmacology and molecular docking approach to quantitatively elucidate [...] Read more.
Background: β-site amyloid precursor protein cleaving enzyme 1 (BACE1) inhibitors demonstrated amyloid-lowering efficacy but failed in phase II/III clinical trials due to adverse effects and limited disease-modifying outcomes. This study employed an integrated network pharmacology and molecular docking approach to quantitatively elucidate the multitarget mechanisms of 4 (phase II/III) discontinued BACE1 inhibitors (Verubecestat, Lanabecestat, Elenbecestat, and Umibecestat) and the preclinical compound AM-6494 in Alzheimer’s disease (AD). Methods: Drug-associated targets were intersected with AD-related genes to construct a protein–protein interaction (PPI) network, followed by topological analysis to identify hub proteins. Gene Ontology (GO) and KEGG pathway enrichment analyses were performed using statistically significant thresholds (p < 0.05, FDR-adjusted). Molecular docking was conducted using AutoDock Vina to quantify binding affinities and interaction modes between the selected compounds and the identified hub proteins. Results: Network analysis identified 10 hub proteins (CASP3, STAT3, BCL2, AKT1, MTOR, BCL2L1, HSP90AA1, HSP90AB1, TNF, and MDM2). GO enrichment highlighted key biological processes, including the negative regulation of autophagy, regulation of apoptotic signalling, protein folding, and inflammatory responses. KEGG pathway analysis revealed significant enrichment in the PI3K–AKT–MTOR signalling, apoptosis, and TNF signalling pathways. Molecular docking demonstrated strong multitarget binding, with binding affinities ranging from approximately −6.6 to −11.4 kcal/mol across the hub proteins. Umibecestat exhibited the strongest binding toward AKT1 (−11.4 kcal/mol), HSP90AB1 (−9.5 kcal/mol), STAT3 (−8.9 kcal/mol), HSP90AA1 (−8.5 kcal/mol), and MTOR (−8.3 kcal/mol), while Lanabecestat showed high affinity for AKT1 (−10.6 kcal/mol), HSP90AA1 (−9.9 kcal/mol), BCL2L1 (−9.2 kcal/mol), and CASP3 (−8.5 kcal/mol), respectively. These interactions were stabilized by conserved hydrogen bonding, hydrophobic contacts, and π–alkyl interactions within key regulatory domains of the target proteins, supporting their multitarget engagement beyond BACE1 inhibition. Conclusions: This study demonstrates that clinically failed BACE1 inhibitors engage multiple non-structural regulatory proteins that are central to AD pathogenesis, particularly those governing autophagy, apoptosis, proteostasis, and neuroinflammation. The identified ligand–hub protein complexes provide a mechanistic rationale for repurposing and optimization strategies targeting network-level dysregulation in Alzheimer’s disease, warranting further in silico refinement and experimental validation. Full article
(This article belongs to the Special Issue NeuroImmunoEndocrinology)
Show Figures

Graphical abstract

22 pages, 7431 KB  
Article
Inhibition of Breast Cancer Bone Metastasis by LRP5-Overexpressing Osteocytes via the LIMA1/MYO5B Signaling Axis
by Yaning Chen, Zicheng Wang, Yu Sun, Xinshi Li, Yuji Wang and Shengzhi Liu
Int. J. Mol. Sci. 2026, 27(2), 777; https://doi.org/10.3390/ijms27020777 - 13 Jan 2026
Viewed by 141
Abstract
Bone metastasis in breast cancer remains a major therapeutic challenge because current osteoclast-targeted therapies do not fully disrupt the tumor–bone vicious cycle. Osteocytes, the most abundant bone cells, are increasingly recognized as key regulators of bone–tumor crosstalk. Previous work has shown that osteocyte-specific [...] Read more.
Bone metastasis in breast cancer remains a major therapeutic challenge because current osteoclast-targeted therapies do not fully disrupt the tumor–bone vicious cycle. Osteocytes, the most abundant bone cells, are increasingly recognized as key regulators of bone–tumor crosstalk. Previous work has shown that osteocyte-specific overexpression of the Wnt co-receptor LRP5 inhibits breast cancer-induced osteolysis and generates conditioned medium (CM) with tumor-suppressive activity. Proteomic analysis identified LIM domain and actin-binding protein 1 (LIMA1) as a central mediator that interacts with Myosin Vb (MYO5B), suggesting the role of the LIMA1/MYO5B regulatory axis. This study demonstrates that CM derived from LRP5-overexpressing osteocytes suppresses EO771 breast cancer cell proliferation, migration, and invasion, and downregulates tumor-promoting proteins, including MMP9, Snail, IL-6, and TGF-β1, while upregulating the apoptosis-related protein cleaved caspase-3. These effects were largely reversed by knockdown of LIMA1 or MYO5B. In syngeneic mouse models of mammary tumors and bone metastasis, systemic administration of LRP5-overexpressing osteocyte-derived CM reduced tumor burden and osteolytic bone destruction, whereas genetic knockdown of LIMA1 in osteocytes or MYO5B in tumor cells abrogated these protective effects. Collectively, these findings indicate that LRP5 activation in osteocytes engages the LIMA1/MYO5B signaling axis that inhibits breast cancer progression and osteolysis, disrupts tumor–stromal interactions, and restores bone–tumor homeostasis, thereby providing a potential therapeutic strategy to break the vicious cycle of bone metastasis in breast cancer. Full article
(This article belongs to the Section Molecular Oncology)
Show Figures

Graphical abstract

21 pages, 3994 KB  
Article
Elucidating the Mechanism of the Liqi Yangyin Formula in Treating Depression–Constipation Comorbidity: An Integrative Approach Using Network Pharmacology and Experimental Validation
by Lianjie Xu, Shun Seng Ong, Xiaoyue Deng, Yunzhi Qian, Zhao Tang, Ming Li and Tianshu Xu
Pharmaceuticals 2026, 19(1), 106; https://doi.org/10.3390/ph19010106 - 7 Jan 2026
Viewed by 402
Abstract
Background: The traditional formula Liqi Yangyin (LQYY) has shown clinical and preclinical efficacy for depression with constipation, yet its molecular mechanisms remain incompletely defined. This study aimed to elucidate its mechanisms using an integrative approach. Methods: Constituents of LQYY were profiled [...] Read more.
Background: The traditional formula Liqi Yangyin (LQYY) has shown clinical and preclinical efficacy for depression with constipation, yet its molecular mechanisms remain incompletely defined. This study aimed to elucidate its mechanisms using an integrative approach. Methods: Constituents of LQYY were profiled by UPLC-MS/MS and integrated with network pharmacology and molecular docking to identify brain-accessible components and putative targets. A chronic unpredictable mild stress (CUMS) model was used for experimental validation. Outcomes included behavioral tests (sucrose preference test, open field test, and forced swimming test), gastrointestinal indices, including fecal water content, time of first black stool, and intestinal propulsion rate, histopathology of the prefrontal cortex (PFC) and colon, TUNEL staining, NeuN immunofluorescence, Western blotting, and qRT-PCR. Results: LQYY attenuated CUMS-induced weight loss and depressive-like behaviors and improved intestinal transit metrics. It reduced neuronal apoptosis in the PFC and ameliorated colonic injury. Mechanistically, docking and enrichment analyses highlighted hub targets (STAT3, AKT1, ESR1, IL-6, TNF, TP53) and the JAK/STAT pathway. In vivo, LQYY decreased IL-6, TNF-α, ESR1, TP53, and STAT3, and increased AKT1 in the PFC and colon; it also reduced the TUNEL-positive rate and restored NeuN labeling, upregulated Bcl-2, and downregulated p-JAK2/JAK2 and p-STAT3/STAT3 ratios, and the expression of Bax and cleaved-caspase-3 in the PFC, consistent with the suppression of pro-inflammatory and apoptotic signaling. Conclusions: LQYY exerts antidepressant and pro-motility effects in CUMS mice by modulating JAK2/STAT3-centered networks and inhibiting neuronal apoptosis, thus supporting a multi-component, multi-target strategy for treating depression with constipation, and providing a defined molecular hypothesis for future investigation. Full article
Show Figures

Graphical abstract

18 pages, 6137 KB  
Article
Dissolving Silver Nanoparticles Modulate the Endothelial Monocyte-Activating Polypeptide II (EMAP II) by Partially Unfolding the Protein Leading to tRNA Binding Enhancement
by Lesia Kolomiiets, Paulina Szczerba, Wojciech Bal and Igor Zhukov
Int. J. Mol. Sci. 2026, 27(2), 605; https://doi.org/10.3390/ijms27020605 - 7 Jan 2026
Viewed by 180
Abstract
Metal nanoparticles (NP) are increasingly used in biomedical applications. Among them, silver NPs (AgNPs) are used as active components in antibacterial coatings for wound dressings, medical devices, implants, cosmetics, textiles, and food packaging. On the other hand, AgNPs can be toxic to humans, [...] Read more.
Metal nanoparticles (NP) are increasingly used in biomedical applications. Among them, silver NPs (AgNPs) are used as active components in antibacterial coatings for wound dressings, medical devices, implants, cosmetics, textiles, and food packaging. On the other hand, AgNPs can be toxic to humans, depending on the dose and route of exposure, as agents delivering silver to cells. The cysteine residues are the primary molecular targets in such exposures, due to the high affinity of Ag+ ions to thiol groups. The Endothelial monocyte-activating polypeptide II (EMAP II), a cleaved C-terminal peptide of the intracellular aminoacyl-tRNA synthetase multifunctional protein AIMP1, contains five cysteines exposed at its surface. This prompted the question of whether they can be targeted by Ag+ ions present at the AgNPs surface or released from AgNPs in the course of oxidative metabolism of the cell. We explored the interactions between recombinant EMAP II, tRNA, and AgNPs using UV-Vis and fluorescence spectroscopy, providing insight into the effects of AgNPs dissolution kinetics on interaction EMAP II with tRNA. In addition, the EMAP II fragments binding to intact AgNPs were established by heteronuclear 1H-15N HSQC spectra utilizing a paramagnetic probe. Structural analysis of the EMAP II reveal that the 3D structure of protein was destabilized (partially denatured) by the binding of Ag+ ions released from AgNPs at the most exposed cysteines. Surprisingly, this effect enhanced tRNA affinity to EMAP II, lowering its Kd. The course of the EMAP II/tRNA/AgNP reaction was also modulated by other factors, such as the presence of Mg2+ ions and TCEP, a thiol-group protector used to mimic the reducing conditions of the cell. Full article
(This article belongs to the Section Molecular Nanoscience)
Show Figures

Figure 1

20 pages, 6829 KB  
Article
Polyphyllin II Triggers Pyroptosis in Hepatocellular Carcinoma via Modulation of the ROS/NLRP3/Caspase-1/GSDMD Axis
by Huating Huang, Boran Ni, Qi Chen, Wenqi Wang, Zishuo Guo, Nan Wang, Rui Chen, Xingbin Yin, Changhai Qu, Jian Ni and Xiaoxv Dong
Antioxidants 2026, 15(1), 75; https://doi.org/10.3390/antiox15010075 - 6 Jan 2026
Viewed by 374
Abstract
Pyroptosis is a type of programmed cell death (PCD) with pro-inflammatory properties, which is characterized by the swelling with bubbles and the release of LDH and inflammatory cell cytokines. Polyphyllin II (PPII) is the main active ingredient of the Chinese herb Rhizoma Paridis [...] Read more.
Pyroptosis is a type of programmed cell death (PCD) with pro-inflammatory properties, which is characterized by the swelling with bubbles and the release of LDH and inflammatory cell cytokines. Polyphyllin II (PPII) is the main active ingredient of the Chinese herb Rhizoma Paridis and has been proven to exert high efficacy against a variety of malignant tumors. At present, the anti-tumor research on PPII mainly focuses on apoptosis that is an anti-inflammatory type of PCD, but other potential modes of death cell death and mechanisms of PPII remain to be discovered. Here, we first found that PPII could effectively inhibit the growth of hepatocellular carcinoma (HCC) cells via pyroptosis. After treatment with PPII, the morphology of swelling with bubbles and the formation of pores in the cell membrane in HCC cells were observed, and LDH and cell cytokines (IL-1β, IL-18, IL-6, TNF-α, IFN-β, and IFN-γ) were released. Furthermore, the flow cytometry results showed that PPII could activate oxidative stress by increasing Ca2+ influx, thereby promoting the production of ROS to exert anti-tumor effects. RNA sequencing revealed that pyroptosis is closely linked to several signaling pathways, including the MAPK, TNF, Rap1, mTOR, and FoxO pathways, as well as the PD-L1 expression and PD-1 checkpoint pathway. An in vivo study demonstrated that PPII treatment suppressed liver tumor growth in mice by pyroptosis in a dose-dependent manner, and it showed no obvious side effects within a certain range. The Western blot results of tumor tissues revealed that the pyroptosis effect of PPII on liver cancer was associated with the activation of the NLRP3/Caspase1/GSDMD pathway, which upregulates the expression of NLRP3, Cleaved-Caspase 1, GSDMD-N, IL-1β, and IL-18 proteins and downregulates the expression of pro-Caspase 1 and GSDMD proteins. In summary, our findings revealed the pyroptosis effect and mechanism of PPII in HCC cells in vitro and in vivo, suggesting that PPII may be used as a potential pyroptosis inducer for HCC treatment in the future. Full article
Show Figures

Figure 1

Back to TopTop