Variation in the Number of Genes in the Secretomes of Isolates of Ilyonectria robusta and Ilyonectria mors-panacis Pathogenic to American Ginseng (Panax quinquefolius)
Abstract
1. Introduction
2. Materials and Methods
2.1. Source of Isolates
2.2. Isolate Growth Rate and Virulence
2.3. Genome Sequencing, Assembly, and Gene Prediction
2.4. Secretome Analysis
3. Results
3.1. Identification and Genome Characteristics of the Ilyonectria Isolates
3.2. Growth Rate and Relationship to Gene Number
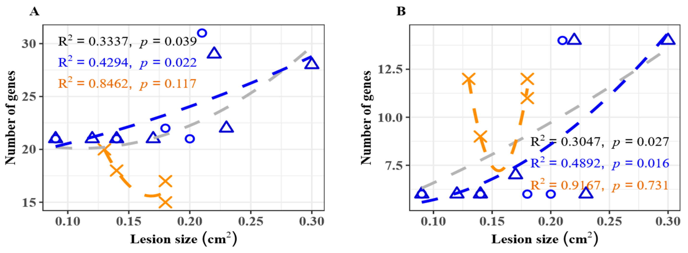
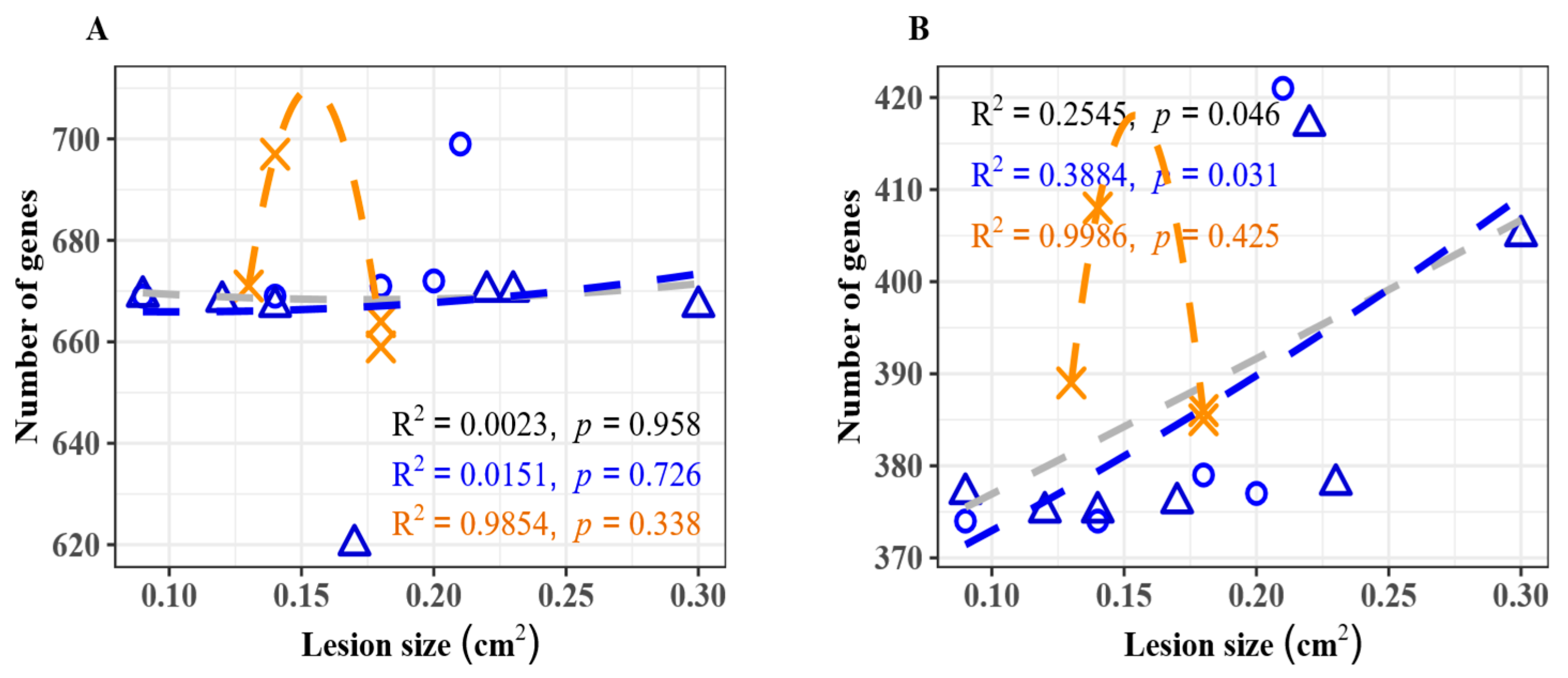
3.3. Virulence and Relationship to Gene Number
4. Discussion
Supplementary Materials
Author Contributions
Funding
Data Availability Statement
Acknowledgments
Conflicts of Interest
Abbreviations
| ANOVA | Analysis of variance |
| CAZyme | Carbohydrate active enzyme |
| CBM | Carbohydrate-binding module |
| dpi | Days post-inoculation |
| dsH2O | Distilled sterile water |
| GC | Guanine-cytosine |
| GH | Glycoside hydrolase |
| Mbp | Mega base pairs |
| PDA | Potato dextrose agar |
| SSCP | Small secreted cysteine-rich protein |
| SSNP | Small secreted non-cysteine-rich protein |
| SSP | Small secreted protein |
References
- Seifert, K.A.; Axelrood, P.E. Cylindrocarpon destructans var. destructans. Can. J. Plant Pathol. 1998, 20, 115–117. [Google Scholar] [CrossRef]
- Cabral, A.; Groenewald, J.Z.; Rego, C.; Oliveira, H.; Crous, P.W. Cylindrocarpon root rot: Multi-gene analysis reveals novel species within the Ilyonectria radicicola species complex. Mycol. Prog. 2012, 11, 655–688. [Google Scholar] [CrossRef]
- Bischoff Nunes, I.; Goodwin, P.H. Interaction of ginseng with Ilyonectria root rot pathogens. Plants 2022, 11, 2152. [Google Scholar] [CrossRef]
- Matuo, T.; Miyazawa, Y. Scientific name of Cylindrocarpon sp. causing root rot of ginseng. Ann. Phytopathol. Soc. Jpn. 1984, 50, 649–652. [Google Scholar] [CrossRef]
- Behdarvandi, B.; Hsiang, T.; Valliani, M.; Goodwin, P.H. Differences in saprophytic growth, virulence, genomes, and secretomes of Ilyonectria robusta and I. mors-panacis isolates from roots of American ginseng (Panax quinquefolius). Horticulturae 2023, 9, 713. [Google Scholar] [CrossRef]
- Rafiqi, M.; Ellis, J.G.; Ludowici, V.A.; Hardham, A.R.; Dodds, P.N. Challenges and progress towards understanding the role of effectors in plant–fungal interactions. Curr. Opin. Plant Biol. 2012, 15, 477–482. [Google Scholar] [CrossRef]
- Walsh, J.P.; McMullin, D.R.; Yeung, K.K.C.; Sumarah, M.W. Resorcylic acid lactones from the ginseng pathogen Ilyonectria mors-panacis. Phytochem. Lett. 2022, 48, 94–99. [Google Scholar] [CrossRef]
- Rahman, M.; Punja, Z.K. Factors influencing development of root rot on ginseng caused by Cylindrocarpon destructans. Phytopathology 2005, 95, 1381–1390. [Google Scholar] [CrossRef]
- Cheng, L.; Wang, P.; Yang, S.; Yang, Y.; Zhang, Q.; Zhang, W.; Xiao, H.; Gao, H.; Zhang, Q. Identification of genes with a correlation between copy number and expression in gastric cancer. BMC Med. Genom. 2012, 5, 14. [Google Scholar] [CrossRef] [PubMed]
- Steenwyk, J.L.; Rokas, A. Copy number variation in fungi and its implications for wine yeast genetic diversity and adaptation. Front. Microbiol. 2018, 9, 288. [Google Scholar] [CrossRef] [PubMed]
- Steenwyk, J.; Rokas, A. Extensive copy number variation in fermentation-related genes among Saccharomyces cerevisiae wine strains. G3 2017, 7, 1475–1485. [Google Scholar] [CrossRef]
- Turcotte, B.; Liang, X.B.; Robert, F.; Soontorngun, N. Transcriptional regulation of nonfermentable carbon utilization in budding yeast. FEMS Yeast Res. 2010, 10, 2–13. [Google Scholar] [CrossRef] [PubMed]
- Zhao, S.; Gibbons, J.G. A population genomic characterization of copy number variation in the opportunistic fungal pathogen Aspergillus fumigatus. PLoS ONE 2018, 13, e0201611. [Google Scholar] [CrossRef] [PubMed]
- Stalder, L.; Oggenfuss, U.; Mohd-Assaad, N.; Croll, D. The population genetics of adaptation through copy number variation in a fungal plant pathogen. Mol. Ecol. 2023, 32, 2443–2460. [Google Scholar] [CrossRef]
- Tralamazza, S.M.; Gluck-Thaler, E.; Feurtey, A.; Croll, D. Copy number variation introduced by a massive mobile element facilitates global thermal adaptation in a fungal wheat pathogen. Nat. Commun. 2024, 15, 5728. [Google Scholar] [CrossRef]
- Liu, Z.; Zhang, Z.; Faris, J.D.; Oliver, R.P.; Syme, R.; McDonald, M.C.; McDonald, B.A.; Solomon, P.S.; Lu, S.; Shelver, W.L.; et al. The cysteine rich necrotrophic effector SnTox1 produced by Stagonospora nodorum triggers susceptibility of wheat lines harboring Snn1. PLoS Pathog. 2012, 8, e1002467. [Google Scholar] [CrossRef]
- Pereira, J.L.; Noronha, E.F.; Miller, R.N.G.; Franco, O.L. Novel insights in the use of hydrolytic enzymes secreted by fungi with biotechonological potential. Lett. Appl. Microbiol. 2007, 44, 573–581. [Google Scholar] [CrossRef]
- Olivieri, F.; Zanetti, M.E.; Oliva, R.C.; Covarrubias, A.A.; Claudia, A. Casalongue characterization of an extracellular serine protease of Fusarium eumartii and its action on pathogenesis related proteins. Eur. J. Plant Pathol. 2002, 108, 63–72. [Google Scholar] [CrossRef]
- Kikot, G.E.; Hours, P.A.; Alconada, T.M. Contribution of cell wall degrading enzymes to pathogenesis of Fusarium graminearum: A review. J. Basic Microbiol. 2009, 49, 231–241. [Google Scholar] [CrossRef]
- Schneider, C.A.; Rasband, W.S.; Eliceiri, K.W. NIH Image to ImageJ: 25 years of image analysis. Nat. Methods 2012, 9, 671–675. [Google Scholar] [CrossRef]
- Edwards, K.; Johnstone, C.; Thompson, C. A simple and rapid method for the preparation of plant genomic DNA for PCR analysis. Nucleic Acids Res. 1991, 19, 1349. [Google Scholar] [CrossRef] [PubMed]
- Vrabl, P.; Schinagl, C.W.; Artmann, D.J.; Heiss, B.; Burgstaller, W. Fungal growth in batch culture–what we could benefit if we start looking closer. Front. Microbiol. 2019, 10, 2391. [Google Scholar] [CrossRef] [PubMed]
- Zheng, W.; Lehmann, A.; Ryo, M.; Vályi, K.K.; Rillig, M.C. Growth rate trades off with enzymatic investment in soil filamentous fungi. Sci. Rep. 2020, 10, 11013. [Google Scholar] [CrossRef]
- Saloheimo, M.; Paloheimo, M.; Hakola, S.; Pere, J.; Swanson, B.; Nyyssönen, E.; Bhatia, A.; Ward, M.; Penttilä, M. Swollenin, a Trichoderma reesei protein with sequence similarity to the plant expansins, exhibits disruption activity on cellulosic materials. Eur. J. Biochem. 2002, 269, 4202–4211. [Google Scholar] [CrossRef]
- Feldman, D.; Kowbel, D.J.; Glass, N.L.; Yarden, O.; Hadar, Y. A role for small secreted proteins (SSPs) in a saprophytic fungal lifestyle: Ligninolytic enzyme regulation in Pleurotus ostreatus. Sci. Rep. 2017, 7, 14553. [Google Scholar] [CrossRef]
- Sutherland, J.R.; Sturrock, R.N.; Shrimpton, G.M. Diseases and Insects in British Columbia Forest Seedling Nurseries; FRDA Report 065; Forestry Canada: Victoria, BC, Canada, 1989. [Google Scholar]
- Ramasamy, U.R. Water Holding Capacity and Enzymatic Modification of Pressed Potato Fibres. Ph.D. Thesis, Wageningen University, Wageningen, The Netherlands, 2014. [Google Scholar]
- Sabotič, J.; Kos, J. Microbial and fungal protease inhibitors–current and potential applications. Appl. Microbiol. Biotechnol. 2012, 93, 1351–1375. [Google Scholar] [CrossRef]
- Li, J.; Gu, F.; Wu, R.; Yang, J.; Zhang, K.Q. Phylogenomic evolutionary surveys of subtilase superfamily genes in fungi. Sci. Rep. 2017, 7, 45456. [Google Scholar] [CrossRef]
- Bruckmann, M.; Blasco, R.; Timmis, K.N.; Pieper, D.H. Detoxification of protoanemonin by dienelactone hydrolase. J. Bacteriol. 1998, 180, 400–402. [Google Scholar] [CrossRef]
- Gerdemann, C.; Eicken, C.; Krebs, B. The crystal structure of catechol oxidase: New insight into the function of type-3 copper proteins. Acc. Chem. Res. 2002, 35, 183–191. [Google Scholar] [CrossRef] [PubMed]
- Link, K.P.; Walker, J.C. The isolation of catechol from pigmented onion scales and its significance in relation to disease resistance in onions. J. Biol. Chem. 1933, 100, 379–383. [Google Scholar] [CrossRef]
- Decker, M.; Arand, M.; Cronin, A. Mammalian epoxide hydrolases in xenobiotic metabolism and signalling. Arch. Toxicol. 2009, 83, 297–318. [Google Scholar] [CrossRef]
- Funkhouser, J.D.; Aronson, N.N. Chitinase family GH18: Evolutionary insights from the genomic history of a diverse protein family. BMC Evol. Biol. 2007, 7, 96. [Google Scholar] [CrossRef] [PubMed]
- Kimura, Y.; Tokuda, T.; Ohno, A.; Tanaka, H.; Ishiguro, Y. Enzymatic properties of endo-β-N-acetylglucosaminidases from developing tomato fruits and soybean seeds: Substrate specificity of plant origin endoglycosidase. Biochim. Biophys. Acta 1998, 138, 27–36. [Google Scholar] [CrossRef]
- Martínez-Cruz, J.; Romero, D.; Hierrezuelo, J.; Thon, M.; de Vicente, A.; Pérez-García, A. Effectors with chitinase activity (EWCAs), a family of conserved, secreted fungal chitinases that suppress chitin-triggered immunity. Plant Cell 2021, 33, 1319–1340. [Google Scholar] [CrossRef]
- Varrot, A.; Basheer, S.M.; Imberty, A. Fungal lectins: Structure, function and potential applications. Curr. Opin. Struct. Biol. 2013, 23, 678–685. [Google Scholar] [CrossRef] [PubMed]
- Koharudin, L.M.; Viscomi, A.R.; Montanini, B.; Kershaw, M.J.; Talbot, N.J.; Ottonello, S.; Gronenborn, A.M. Structure-function analysis of a CVNH-LysM lectin expressed during plant infection by the rice blast fungus Magnaporthe oryzae. Structure 2011, 19, 662–674. [Google Scholar] [CrossRef]
- De Jonge, R.; van Esse, H.P.; Kombrink, A.; Shinya, T.; Desaki, Y.; Bours, R.; Van Der Krol, S.; Shibuya, N.; Joosten, M.H.; Thomma, B.P. Conserved fungal LysM effector Ecp6 prevents chitin-triggered immunity in plants. Science 2010, 329, 953–955. [Google Scholar] [CrossRef] [PubMed]
- Gusakov, A.V. Proteinaceous inhibitors of microbial xylanases. Biochemistry 2010, 75, 1185–1199. [Google Scholar] [CrossRef]
- Yu, C.; Li, T.; Shi, X.; Saleem, M.; Li, B.; Liang, W.; Wang, C. Deletion of endo-β-1,4-xylanase VmXyl1 impacts the virulence of Valsa mali in apple tree. Front. Plant Sci. 2018, 9, 663. [Google Scholar] [CrossRef]
- Oliveira, V.M.; Carraroa, E.; Aulerb, M.E.; Khalil, N.M. Quercetin and rutin as potential agents antifungal against Cryptococcus spp. Brazil J. Biol. 2016, 76, 1029–1034. [Google Scholar] [CrossRef]
- Hughes, H.B.; Morrissey, J.P.; Osbourn, A.E. Characterisation of the saponin hydrolysing enzyme avenacoside-α-l-rhamnosidase from the fungal pathogen of cereals, Stagonospora avenae. Eur. J. Plant Pathol. 2004, 110, 421–427. [Google Scholar] [CrossRef]
- Park, C.S.; Yoo, M.H.; Noh, K.H.; Oh, D.K. Biotransformation of ginsenosides by hydrolyzing the sugar moieties of ginsenosides using microbial glycosidases. Appl. Microbiol. Biotechnol. 2010, 87, 9–19. [Google Scholar] [CrossRef]
- Yu, H.; Gong, J.; Zhang, C.; Jin, F. Purification and characterization of ginsenoside-α-L-rhamnosidase. Chem. Pharm. Bull. 2002, 50, 175–178. [Google Scholar] [CrossRef] [PubMed]
- Gosavi, G.; Yan, F.; Ren, B.; Kuang, Y.; Yan, D.; Zhou, X.; Zhou, H. Applications of CRISPR technology in studying plant-pathogen interactions: Overview and perspective. Phytopathol. Res. 2020, 2, 21. [Google Scholar] [CrossRef]








| Species/Type | Isolate | Location | Genome Size (Mbp) | GC Content | Predicted Genes | Genes/Mbp | Assembler | Assembly k-mer |
|---|---|---|---|---|---|---|---|---|
| I. robusta | IR.NR1BC16-1 a | Summerland, BC | 58.3 | 50.05% | 17,256 | 296.0 | SOAPdenovo | 81 |
| I. robusta | IR.ND1BC16-2 a | Summerland, BC | 63.9 | 50.27% | 19,070 | 298.4 | SOAPdenovo | 85 |
| I. robusta | IR.NR2BC16-4 a | Summerland, BC | 58.6 | 50.04% | 17,391 | 296.8 | ABySS | 93 |
| I. robusta | IR.DAOM139398 b | Georgian Bay, ON | 56.1 | 50.08% | 16,697 | 297.6 | SOAPdenovo | 85 |
| I. mors-panacis type 1 | IMP.ND3P14-1A c | St. Williams, ON | 65.3 | 48.93% | 18,248 | 279.4 | SOAPdenovo | 85 |
| I. mors-panacis type 2 | IMP.ND3P14-3 c | Lynedoch, ON | 65.0 | 48.97% | 18,288 | 281.4 | ABySS | 11 |
| I. mors-panacis type 1 | IMP.ND3A16-1 c | Delhi, ON | 64.9 | 48.94% | 18,149 | 279.6 | SOAPdenovo | 85 |
| I. mors-panacis type 2 | IMP.ND4Z15 c | Simcoe, ON | 65.1 | 48.99% | 18,440 | 283.3 | ABySS | 67 |
| I. mors-panacis type 1 | IMP.ND3A16-2 c | Delhi, ON | 65.0 | 48.93% | 18,160 | 279.4 | SOAPdenovo | 81 |
| I. mors-panacis type 1 | IMP.ND3P14-1 c | Lynedoch, ON | 65.3 | 48.93% | 18,251 | 279.5 | SOAPdenovo | 85 |
| I. mors-panacis type 2 | IMP.K112 d | Kamloops, BC | 65.0 | 48.97% | 18,263 | 281.0 | ABySS | 11 |
| I. mors-panacis type 1 | IMP.RD3U14-8 c | Scotland, ON | 64.9 | 48.95% | 18173 | 280.0 | SOAPdenovo | 81 |
| I. mors-panacis type 2 | IMP.RR3A14-1 c | Delhi, ON | 64.9 | 49.02% | 18,409 | 283.7 | ABySS | 71 |
| I. mors-panacis type 2 | IMP.RD3U14-5 c | Scotland, ON | 65.2 | 48.99% | 18,451 | 283.0 | ABySS | 75 |
| I. mors-panacis type 1 | IMP.DAOM226727 e | Delhi, ON | 64.8 | 48.98% | 18,153 | 280.1 | SOAPdenovo | 85 |
| I. mors-panacis type 1 | IMP.DAOM226729 e | Delhi, ON | 65.0 | 48.94% | 18,150 | 279.2 | SOAPdenovo | 85 |
| Isolate | Total Non-Secreted Proteins | Total Secreted Proteins | Secreted SSNPs | Secreted SSCPs | Secreted CAZymes | Secreted Proteases | Secreted Lipases | Other Secreted Proteins |
|---|---|---|---|---|---|---|---|---|
| IR.NR1BC16-1 | 8716 | 8541 | 1264 | 674 | 663 | 573 | 412 | 3809 |
| IR.NR1BC16-2 | 9440 | 9631 | 1324 | 702 | 697 | 628 | 428 | 4453 |
| IR.NR2BC16-4 | 8838 | 8554 | 1263 | 666 | 671 | 576 | 421 | 3778 |
| IR.DAOM139398 | 8481 | 8217 | 1223 | 666 | 659 | 562 | 395 | 2314 |
| IMP.ND3P14-1A | 8973 | 9276 | 1371 | 697 | 670 | 595 | 409 | 4359 |
| IMP.ND3P14-3 | 9012 | 9277 | 1372 | 695 | 669 | 601 | 411 | 4339 |
| IMP.ND3A16-1 | 8933 | 9217 | 1371 | 699 | 667 | 597 | 408 | 4306 |
| IMP.ND4Z15 | 9060 | 9381 | 1381 | 714 | 672 | 605 | 408 | 4382 |
| IMP.ND3A16-2 | 8922 | 9239 | 1364 | 698 | 670 | 595 | 408 | 4229 |
| IMP.ND3P14-1 | 8977 | 9275 | 1377 | 700 | 671 | 599 | 409 | 4352 |
| IMP.RD3U14-8 | 8948 | 9226 | 1367 | 695 | 669 | 589 | 408 | 2536 |
| IMP.RR3A14-1 | 9969 | 8441 | 1372 | 702 | 619 | 550 | 375 | 2952 |
| IMP.RD3U14-5 | 8842 | 9610 | 1382 | 706 | 699 | 622 | 444 | 3355 |
| IMP.K112 | 9020 | 9244 | 1355 | 706 | 669 | 599 | 411 | 4306 |
| IMP.DAOM226727 | 8916 | 9238 | 1368 | 702 | 667 | 597 | 413 | 2551 |
| IMP.DAOM226729 | 8943 | 9208 | 1373 | 695 | 668 | 596 | 408 | 2515 |
Disclaimer/Publisher’s Note: The statements, opinions and data contained in all publications are solely those of the individual author(s) and contributor(s) and not of MDPI and/or the editor(s). MDPI and/or the editor(s) disclaim responsibility for any injury to people or property resulting from any ideas, methods, instructions or products referred to in the content. |
© 2026 by the authors. Licensee MDPI, Basel, Switzerland. This article is an open access article distributed under the terms and conditions of the Creative Commons Attribution (CC BY) license.
Share and Cite
Goodwin, P.H.; Valliani, M.; Hsiang, T. Variation in the Number of Genes in the Secretomes of Isolates of Ilyonectria robusta and Ilyonectria mors-panacis Pathogenic to American Ginseng (Panax quinquefolius). Horticulturae 2026, 12, 135. https://doi.org/10.3390/horticulturae12020135
Goodwin PH, Valliani M, Hsiang T. Variation in the Number of Genes in the Secretomes of Isolates of Ilyonectria robusta and Ilyonectria mors-panacis Pathogenic to American Ginseng (Panax quinquefolius). Horticulturae. 2026; 12(2):135. https://doi.org/10.3390/horticulturae12020135
Chicago/Turabian StyleGoodwin, Paul H., Moez Valliani, and Tom Hsiang. 2026. "Variation in the Number of Genes in the Secretomes of Isolates of Ilyonectria robusta and Ilyonectria mors-panacis Pathogenic to American Ginseng (Panax quinquefolius)" Horticulturae 12, no. 2: 135. https://doi.org/10.3390/horticulturae12020135
APA StyleGoodwin, P. H., Valliani, M., & Hsiang, T. (2026). Variation in the Number of Genes in the Secretomes of Isolates of Ilyonectria robusta and Ilyonectria mors-panacis Pathogenic to American Ginseng (Panax quinquefolius). Horticulturae, 12(2), 135. https://doi.org/10.3390/horticulturae12020135

