Sign in to use this feature.

Years

Between: -

Subjects

remove_circle_outline
remove_circle_outline
remove_circle_outline
remove_circle_outline

Journals

Article Types

Countries / Regions

Search Results (15)

Search Parameters:
Keywords = citrullinated epitopes

Order results
Result details
Results per page
Select all
Export citation of selected articles as:
17 pages, 21153 KB  
Article
The Role of Vimentin Peptide Citrullination in the Structure and Dynamics of HLA-DRB1 Rheumatoid Arthritis Risk-Associated Alleles
by Cinthia C. Alves, Jaila Lewis, Dinler A. Antunes and Eduardo A. Donadi
Int. J. Mol. Sci. 2025, 26(1), 34; https://doi.org/10.3390/ijms26010034 - 24 Dec 2024
Cited by 2 | Viewed by 3551
Abstract
Citrullination, a post-translational modification (PTM), plays a critical role in rheumatoid arthritis (RA) by triggering immune responses to citrullinated self-antigens. Some HLA-DRB1 genes encode molecules with the shared epitope (QKRAA/QRRAA) sequence in the peptide-binding groove which preferentially presents citrulline-modified peptides, like vimentin, that [...] Read more.
Citrullination, a post-translational modification (PTM), plays a critical role in rheumatoid arthritis (RA) by triggering immune responses to citrullinated self-antigens. Some HLA-DRB1 genes encode molecules with the shared epitope (QKRAA/QRRAA) sequence in the peptide-binding groove which preferentially presents citrulline-modified peptides, like vimentin, that intensifies the immune response in RA. In this study, we used computational approaches to evaluate intermolecular interactions between vimentin peptide-ligands (with/without PTM) and HLA-DRB1 alleles associated with a significantly increased risk for RA development. Crystal structures for HLA-DRB1*04:01, *04:04, and *04:05 bound to citrullinated peptides (PDB ID: 4MCY, 4MD5, 6BIR) were retrieved from the Protein Data Bank and non-citrullinated 3D structures were generated by mutating citrulline to arginine. The pHLA complexes were submitted to four rounds (50 ns each) of molecular dynamic simulations (MD) with Gromacs v.2022. Our results show that citrulline strengthens the interaction between vimentin and the HLA-DRB1 molecules, therefore impacting both the peptide affinity to the HLAs and pHLA stability; it also induces more intermolecular hydrogen bond formation during MD in the pHLA. Citrulline prevents repulsion between amino acid 71β and the P4-residue of native vimentin. Thus, vimentin citrullination seems to affect pHLA binding and dynamics, which may influence RA-related immune responses. Full article
Show Figures

Graphical abstract

18 pages, 1712 KB  
Review
Implications of Post-Translational Modifications in Autoimmunity with Emphasis on Citrullination, Homocitrullination and Acetylation for the Pathogenesis, Diagnosis and Prognosis of Rheumatoid Arthritis
by Isabel Haro, Raimon Sanmartí and María J. Gómara
Int. J. Mol. Sci. 2022, 23(24), 15803; https://doi.org/10.3390/ijms232415803 - 13 Dec 2022
Cited by 28 | Viewed by 5025
Abstract
Post-translational modifications (PTMs) influence cellular processes and consequently, their dysregulation is related to the etiologies of numerous diseases. It is widely known that a variety of autoimmune responses in human diseases depend on PTMs of self-proteins. In this review we summarize the latest [...] Read more.
Post-translational modifications (PTMs) influence cellular processes and consequently, their dysregulation is related to the etiologies of numerous diseases. It is widely known that a variety of autoimmune responses in human diseases depend on PTMs of self-proteins. In this review we summarize the latest findings about the role of PTMs in the generation of autoimmunity and, specifically, we address the most relevant PTMs in rheumatic diseases that occur in synovial tissue. Citrullination, homocitrullination (carbamylation) and acetylation are responsible for the generation of Anti-Modified Protein/Peptide Antibodies (AMPAs family), autoantibodies which have been implicated in the etiopathogenesis, diagnosis and prognosis of rheumatoid arthritis (RA). Synthetic peptides provide complete control over the exact epitopes presented as well as the specific positions in their sequence where post-translationally modified amino acids are located and are key to advancing the detection of serological RA biomarkers that could be useful to stratify RA patients in order to pursue a personalized rheumatology. In this review we specifically address the latest findings regarding synthetic peptides post-translationally modified for the specific detection of autoantibodies in RA patients. Full article
(This article belongs to the Special Issue Protein Post-translational Modification in Human Diseases)
Show Figures

Figure 1

12 pages, 2222 KB  
Article
Specificity of Anti-Citrullinated Protein Antibodies to Citrullinated α-Enolase Peptides as a Function of Epitope Structure and Composition
by Ilaria Fanelli, Paolo Rovero, Paul Robert Hansen, Jette Frederiksen, Gunnar Houen and Nicole Hartwig Trier
Antibodies 2021, 10(3), 27; https://doi.org/10.3390/antib10030027 - 21 Jul 2021
Cited by 7 | Viewed by 5047
Abstract
Rheumatoid arthritis (RA) is an autoimmune disease affecting approximately 1–2% of the world population. In addition to the first discovered serologic markers for RA, the rheumatoid factors (RFs), anti-citrullinated protein antibodies (ACPAs) are even more specific for the disease compared to RFs and [...] Read more.
Rheumatoid arthritis (RA) is an autoimmune disease affecting approximately 1–2% of the world population. In addition to the first discovered serologic markers for RA, the rheumatoid factors (RFs), anti-citrullinated protein antibodies (ACPAs) are even more specific for the disease compared to RFs and are found in 70–80% of RA patient sera. RA etiopathogenesis still needs to be elucidated, as different factors are proposed to be involved, such as Epstein–Barr virus infection. Hence, understanding the interaction between ACPAs and their citrullinated peptide targets is relevant for a better knowledge of RA pathophysiology and for diagnostic purposes. In this study, a cohort of RA sera, healthy control sera and multiple sclerosis sera were screened for reactivity to a variety of citrullinated peptides originating from α-enolase, pro-filaggrin, proteoglycan and Epstein–Barr nuclear antigen-2 by enzyme-linked immunosorbent assay. ACPA reactivity to citrullinated α-enolase peptides was found to depend on peptide length and peptide conformation, favouring cyclic (disulfide bond) conformations for long peptides and linear peptides for truncated ones. Additional investigations about the optimal peptide conformation for ACPA detection, employing pro-filaggrin and EBNA-2 peptides, confirmed these findings, indicating a positive effect of cyclization of longer peptides of approximately 20 amino acids. Moreover, screening of the citrullinated peptides confirmed that ACPAs can be divided into two groups based on their reactivity. Approximately 90% of RA sera recognize several peptide targets, being defined as cross-reactive or overlapping reactivities, and whose reactivity to the citrullinated peptide is considered primarily to be backbone-dependent. In contrast, approximately 10% recognize a single target and are defined as nonoverlapping, primarily depending on the specific amino acid side-chains in the epitope for a stable interaction. Collectively, this study contributed to characterize epitope composition and structure for optimal ACPA reactivity and to obtain further knowledge about the cross-reactive nature of ACPAs. Full article
(This article belongs to the Special Issue Design, Production and Characterization of Peptide Antibodies)
Show Figures

Figure 1

19 pages, 2719 KB  
Article
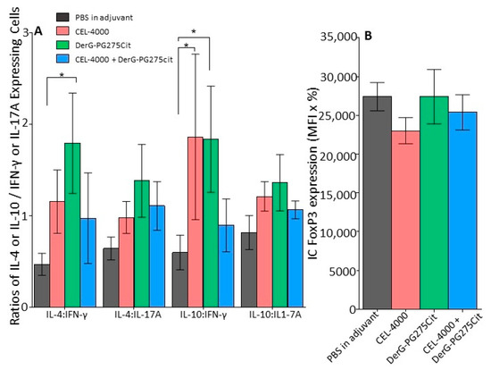
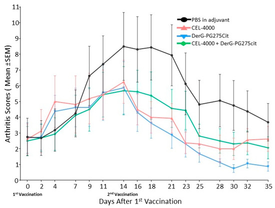
Vaccination by Two DerG LEAPS Conjugates Incorporating Distinct Proteoglycan (PG, Aggrecan) Epitopes Provides Therapy by Different Immune Mechanisms in a Mouse Model of Rheumatoid Arthritis
by Daniel H. Zimmerman, Katalin Mikecz, Adrienn Markovics, Roy E. Carambula, Jason C. Ciemielewski, Daniel M. Toth, Tibor T. Glant and Ken S. Rosenthal
Vaccines 2021, 9(5), 448; https://doi.org/10.3390/vaccines9050448 - 2 May 2021
Cited by 12 | Viewed by 4106
Abstract
Rheumatoid arthritis (RA) can be initiated and driven by immune responses to multiple antigenic epitopes including those in cartilage proteoglycan (PG, aggrecan) and type II collagen. RA is driven by T helper 1 (Th1) or Th17 pro-inflammatory T cell responses. LEAPS (Ligand Epitope [...] Read more.
Rheumatoid arthritis (RA) can be initiated and driven by immune responses to multiple antigenic epitopes including those in cartilage proteoglycan (PG, aggrecan) and type II collagen. RA is driven by T helper 1 (Th1) or Th17 pro-inflammatory T cell responses. LEAPS (Ligand Epitope Antigen Presentation System) DerG peptide conjugate vaccines were prepared using epitopes from PG that elicit immune responses in RA patients: epitope PG70 (DerG-PG70, also designated CEL-4000) and the citrullinated form of another epitope (PG275Cit). The LEAPS peptides were administered alone or together in Seppic ISA51vg adjuvant to mice with PG G1 domain-induced arthritis (GIA), a mouse model of RA. Each of these LEAPS peptides and the combination modulated the inflammatory response and stopped the progression of arthritis in the GIA mouse model. Despite having a therapeutic effect, the DerG-PG275Cit vaccine did not elicit significant antibody responses, whereas DerG-PG70 (alone or with DerG-PG275Cit) induced both therapy and antibodies. Spleen T cells from GIA mice, vaccinated with the DerG LEAPS peptides, preferentially produced anti-inflammatory (IL-4 and IL-10) rather than pro-inflammatory (IFN-γ or IL-17) cytokines in culture. Similarly, cytokines secreted by CD4+ cells of unvaccinated GIA mice, differentiated in vitro to Th2 cells and treated with either or both DerG vaccine peptides, exhibited an anti-inflammatory (IL-4, IL-10) profile. These results suggest that the two peptides elicit different therapeutic immune responses by the immunomodulation of disease-promoting pro-inflammatory responses and that the combination of the two LEAPS conjugates may provide broader epitope coverage and, in some cases, greater efficacy than either conjugate alone. Full article
(This article belongs to the Section Vaccination Against Cancer and Chronic Diseases)
Show Figures

Figure 1

17 pages, 13098 KB  
Article
Complementary Effects of Carbamylated and Citrullinated LL37 in Autoimmunity and Inflammation in Systemic Lupus Erythematosus
by Roberto Lande, Immacolata Pietraforte, Anna Mennella, Raffaella Palazzo, Francesca Romana Spinelli, Konstantinos Giannakakis, Francesca Spadaro, Mario Falchi, Valeria Riccieri, Katia Stefanantoni, Curdin Conrad, Cristiano Alessandri, Fabrizio Conti and Loredana Frasca
Int. J. Mol. Sci. 2021, 22(4), 1650; https://doi.org/10.3390/ijms22041650 - 6 Feb 2021
Cited by 18 | Viewed by 4827
Abstract
LL37 acts as T-cell/B-cell autoantigen in Systemic lupus erythematosus (SLE) and psoriatic disease. Moreover, when bound to “self” nucleic acids, LL37 acts as “danger signal,” leading to type I interferon (IFN-I)/pro-inflammatory factors production. T-cell epitopes derived from citrullinated-LL37 act as better antigens than [...] Read more.
LL37 acts as T-cell/B-cell autoantigen in Systemic lupus erythematosus (SLE) and psoriatic disease. Moreover, when bound to “self” nucleic acids, LL37 acts as “danger signal,” leading to type I interferon (IFN-I)/pro-inflammatory factors production. T-cell epitopes derived from citrullinated-LL37 act as better antigens than unmodified LL37 epitopes in SLE, at least in selected HLA-backgrounds, included the SLE-associated HLA-DRB1*1501/HLA-DRB5*0101 backgrounds. Remarkably, while “fully-citrullinated” LL37 acts as better T-cell-stimulator, it loses DNA-binding ability and the associated “adjuvant-like” properties. Since LL37 undergoes a further irreversible post-translational modification, carbamylation and antibodies to carbamylated self-proteins other than LL37 are present in SLE, here we addressed the involvement of carbamylated-LL37 in autoimmunity and inflammation in SLE. We detected carbamylated-LL37 in SLE-affected tissues. Most importantly, carbamylated-LL37-specific antibodies and CD4 T-cells circulate in SLE and both correlate with disease activity. In contrast to “fully citrullinated-LL37,” “fully carbamylated-LL37” maintains both innate and adaptive immune-cells’ stimulatory abilities: in complex with DNA, carbamylated-LL37 stimulates plasmacytoid dendritic cell IFN-α production and B-cell maturation into plasma cells. Thus, we report a further example of how different post-translational modifications of a self-antigen exert complementary effects that sustain autoimmunity and inflammation, respectively. These data also show that T/B-cell responses to carbamylated-LL37 represent novel SLE disease biomarkers. Full article
(This article belongs to the Special Issue Antimicrobial Peptides and Antimicrobial Chemokines)
Show Figures

Figure 1

15 pages, 2139 KB  
Article
Antibodies Isolated from Rheumatoid Arthritis Patients against Lysine-Containing Proteus mirabilis O3 (S1959) Lipopolysaccharide May React with Collagen Type I
by Katarzyna Durlik-Popińska, Paulina Żarnowiec, Łukasz Lechowicz, Józef Gawęda and Wiesław Kaca
Int. J. Mol. Sci. 2020, 21(24), 9635; https://doi.org/10.3390/ijms21249635 - 17 Dec 2020
Cited by 8 | Viewed by 3713
Abstract
Most rheumatic diseases, including rheumatoid arthritis (RA), are characterized by immune disorders that affect antibody activity. In the present study, using Dot blot and ELISA assay, we showed that patients with rheumatic disease produced significantly more antibodies against lipopolysaccharide (LPS) P. mirabilis O3 [...] Read more.
Most rheumatic diseases, including rheumatoid arthritis (RA), are characterized by immune disorders that affect antibody activity. In the present study, using Dot blot and ELISA assay, we showed that patients with rheumatic disease produced significantly more antibodies against lipopolysaccharide (LPS) P. mirabilis O3 compared to healthy donors (p < 0.05), and affinity purified antibodies against LPS O3 may cross-react with collagen type I. It was demonstrated that purified of antibodies isolated from RA patients sera, reacted stronger with the collagen than healthy donors (p = 0.015), and cross-reaction was correlated with level of anti-citrullinated peptide antibodies (r = 0.7, p = 0.003). Moreover, using six different lipopolysaccharides were demonstrated the significant correlations in sera reactivity among lysine-containing lipopolysaccharides observed in patients’ sera (p < 0.05). Using Attenuated Total Reflection Fourier Transform Infrared Spectroscopy (ATR-FTIR) it was shown that unique wavenumbers of sera spectra correlate with reactivity with lipopolysaccharides allowing distinguish patients from healthy blood donors. Antibodies adsorption by synthetic antigens shows that in patients’ group anti-LPS O3 antibodies can be adsorbed by both amides of galacturonic acid and lysine or threonine, which suggests less specificity of antibodies binding with non-carbohydrate LPS component. The observed correlations suggest that non-carbohydrate components of LPS may be an important epitope for less specific anti-LPS antibodies, which might lead to cross-reactions and affect disease development. Full article
(This article belongs to the Special Issue Molecular Mechanisms of Rheumatoid Arthritis)
Show Figures

Figure 1

11 pages, 1208 KB  
Article
HLA-DRB1*07:01 and *08:02 Alleles Confer a Protective Effect Against ACPA-Positive Rheumatoid Arthritis in a Latin American Admixed Population
by Patricia Castro-Santos, Jordi Olloquequi, Ricardo A. Verdugo, Miguel A. Gutiérrez, Carmen Pinochet, Luis A. Quiñones and Roberto Díaz-Peña
Biology 2020, 9(12), 467; https://doi.org/10.3390/biology9120467 - 14 Dec 2020
Cited by 11 | Viewed by 4059
Abstract
HLA-DRB1 shared epitope (SE) alleles are important genetic contributors for the risk of developing anti-citrullinated protein antibodies (ACPA)-positive rheumatoid arthritis (RA), particularly in Caucasians. We aimed to analyze the contribution of HLA-DRB1 alleles and single nucleotide polymorphisms (SNPs) within the major histocompatibility complex [...] Read more.
HLA-DRB1 shared epitope (SE) alleles are important genetic contributors for the risk of developing anti-citrullinated protein antibodies (ACPA)-positive rheumatoid arthritis (RA), particularly in Caucasians. We aimed to analyze the contribution of HLA-DRB1 alleles and single nucleotide polymorphisms (SNPs) within the major histocompatibility complex (MHC) region to the susceptibility to develop ACPA-positive RA in a Latin American (LA) population with admixed ancestry. A total of 289 ACPA-positive RA patients and 510 controls were enrolled in this study. The presence of HLA-DRB1*04:01, *09:01 and *10:01 was increased in ACPA-positive RA patients compared with healthy controls (p < 0.0001, p < 0.001 and p < 0.01, respectively), whereas DRB1*07:01 and *08:02 was associated with a decreased risk of ACPA-positive RA (p < 0.001 and p < 0.01, respectively). These results showed a strong correlation with estimates from studies in Asians but not in Caucasian populations. The present study describes the protective effects of the HLA-DRB1*07:01 and *08:02 alleles in ACPA-positive RA patients in a LA population for the first time. Identifying relationships between HLA-DRB1 alleles and RA is important for identifying disease associations in different ethnic groups in order to reach a better understanding of RA worldwide. Full article
(This article belongs to the Section Immunology)
Show Figures

Figure 1

11 pages, 598 KB  
Article
Exposure to Aggregatibacter actinomycetemcomitans before Symptom Onset and the Risk of Evolving to Rheumatoid Arthritis
by Eduardo Gomez-Bañuelos, Linda Johansson, Maximilian F. Konig, Anders Lundquist, Merlin Paz, Kåre Buhlin, Anders Johansson, Solbritt Rantapää-Dahlqvist and Felipe Andrade
J. Clin. Med. 2020, 9(6), 1906; https://doi.org/10.3390/jcm9061906 - 18 Jun 2020
Cited by 18 | Viewed by 3384
Abstract
Periodontal disease has been implicated in the pathogenesis of rheumatoid arthritis (RA), an autoimmune disease characterized by immune-mediated synovial damage, and antibodies to citrullinated antigens. Here, we investigate the association between exposure to the periodontal pathogen Aggregatibacter actinomycetemcomitans (Aa) and the [...] Read more.
Periodontal disease has been implicated in the pathogenesis of rheumatoid arthritis (RA), an autoimmune disease characterized by immune-mediated synovial damage, and antibodies to citrullinated antigens. Here, we investigate the association between exposure to the periodontal pathogen Aggregatibacter actinomycetemcomitans (Aa) and the development of RA. IgM, IgG and IgA antibodies to Aa leukotoxin A (LtxA) were detected by ELISA in plasma from a cohort of Swedish adults at different stages of RA development, from before onset of symptoms to established disease. Patients with early and established RA had increased levels of anti-LtxA IgM compared with matched non-RA controls and periodontally healthy individuals. Logistic regression revealed that anti-LtxA IgM levels were associated with RA during early disease (OR 1.012, 95%CI 1.007, 1.017), which was maintained after adjustment for smoking, anti-CCP antibodies, rheumatoid factor, HLA-DRB1 shared epitope alleles and sex. We found no association between anti-LtxA IgG/IgA antibodies and RA at any stage of disease development. The data support a temporal association between anti-LtxA IgM antibodies and the development of RA, suggesting that a subset of RA patients may have been exposed to Aa around the time of transition from being asymptomatic to become a patient with RA. Full article
(This article belongs to the Special Issue Rheumatoid Arthritis: Pathogenesis, Diagnosis and Therapies)
Show Figures

Figure 1

24 pages, 642 KB  
Review
The Impact of Cigarette Smoking on Risk of Rheumatoid Arthritis: A Narrative Review
by Yuki Ishikawa and Chikashi Terao
Cells 2020, 9(2), 475; https://doi.org/10.3390/cells9020475 - 19 Feb 2020
Cited by 111 | Viewed by 17241
Abstract
Rheumatoid arthritis (RA) is an autoimmune disease characterized by chronic inflammation and subsequent proliferation of synovial tissues, which eventually leads to cartilage and bone destruction without effective treatments. Anti-citrullinated cyclic peptide/protein antibody (ACPA) and rheumatoid factor (RF) are two main characteristic autoantibodies found [...] Read more.
Rheumatoid arthritis (RA) is an autoimmune disease characterized by chronic inflammation and subsequent proliferation of synovial tissues, which eventually leads to cartilage and bone destruction without effective treatments. Anti-citrullinated cyclic peptide/protein antibody (ACPA) and rheumatoid factor (RF) are two main characteristic autoantibodies found in RA patients and are associated with unfavorable disease outcomes. Although etiologies and causes of the disease have not been fully clarified yet, it is likely that interactive contributions of genetic and environmental factors play a main role in RA pathology. Previous works have demonstrated several genetic and environmental factors as risks of RA development and/or autoantibody productions. Among these, cigarette smoking and HLA-DRB1 are the well-established environmental and genetic risks, respectively. In this narrative review, we provide a recent update on genetic contributions to RA and the environmental risks of RA with a special focus on cigarette smoking and its impacts on RA pathology. We also describe gene–environmental interaction in RA pathogenesis with an emphasis on cigarette smoking and HLA-DRB1. Full article
(This article belongs to the Special Issue The Molecular and Cellular Basis for Rheumatoid Arthritis)
Show Figures

Figure 1

20 pages, 3761 KB  
Article
Post-Translational Deimination of Immunological and Metabolic Protein Markers in Plasma and Extracellular Vesicles of Naked Mole-Rat (Heterocephalus glaber)
by Matthew E. Pamenter, Pinar Uysal-Onganer, Kenny W. Huynh, Igor Kraev and Sigrun Lange
Int. J. Mol. Sci. 2019, 20(21), 5378; https://doi.org/10.3390/ijms20215378 - 29 Oct 2019
Cited by 29 | Viewed by 5745
Abstract
Naked mole-rats are long-lived animals that show unusual resistance to hypoxia, cancer and ageing. Protein deimination is an irreversible post-translational modification caused by the peptidylarginine deiminase (PAD) family of enzymes, which convert arginine into citrulline in target proteins. Protein deimination can cause structural [...] Read more.
Naked mole-rats are long-lived animals that show unusual resistance to hypoxia, cancer and ageing. Protein deimination is an irreversible post-translational modification caused by the peptidylarginine deiminase (PAD) family of enzymes, which convert arginine into citrulline in target proteins. Protein deimination can cause structural and functional protein changes, facilitating protein moonlighting, but also leading to neo-epitope generation and effects on gene regulation. Furthermore, PADs have been found to regulate cellular release of extracellular vesicles (EVs), which are lipid-vesicles released from cells as part of cellular communication. EVs carry protein and genetic cargo and are indicative biomarkers that can be isolated from most body fluids. This study was aimed at profiling deiminated proteins in plasma and EVs of naked mole-rat. Key immune and metabolic proteins were identified to be post-translationally deiminated, with 65 proteins specific for plasma, while 42 proteins were identified to be deiminated in EVs only. Using protein-protein interaction network analysis, deiminated plasma proteins were found to belong to KEEG (Kyoto Encyclopedia of Genes and Genomes) pathways of immunity, infection, cholesterol and drug metabolism, while deiminated proteins in EVs were also linked to KEEG pathways of HIF-1 signalling and glycolysis. The mole-rat EV profiles showed a poly-dispersed population of 50–300 nm, similar to observations of human plasma. Furthermore, the EVs were assessed for three key microRNAs involved in cancer, inflammation and hypoxia. The identification of post-translational deimination of critical immunological and metabolic markers contributes to the current understanding of protein moonlighting functions, via post-translational changes, in the longevity and cancer resistance of naked mole-rats. Full article
Show Figures

Figure 1

10 pages, 790 KB  
Article
Specificity of Anti-Citrullinated Protein Antibodies in Rheumatoid Arthritis
by Nicole H. Trier, Bettina E. Holm, Paul R. Hansen, Ole Slot, Henning Locht and Gunnar Houen
Antibodies 2019, 8(2), 37; https://doi.org/10.3390/antib8020037 - 7 Jun 2019
Cited by 13 | Viewed by 7509
Abstract
Rheumatoid arthritis (RA) is an autoimmune disease of unknown etiology. The majority of individuals with RA are positive for the disease-specific anti-citrullinated protein antibodies (ACPAs). These antibodies are primarily of cross-reactive nature, hence, the true autoantigen to ACPA remains unidentified. In this study, [...] Read more.
Rheumatoid arthritis (RA) is an autoimmune disease of unknown etiology. The majority of individuals with RA are positive for the disease-specific anti-citrullinated protein antibodies (ACPAs). These antibodies are primarily of cross-reactive nature, hence, the true autoantigen to ACPA remains unidentified. In this study, we analyzed the reactivity of RA sera to several post-translationally modified epitopes, in order to further characterize the specific nature of ACPAs by immunoassays. Substituting citrulline with other amino acids, e.g., D-citrulline, homo-citrulline and methyl-arginine illustrated that ACPAs are utmost specific for citrullinated targets. Collectively, these findings support that ACPAs and citrullinated targets are specific for RA, making citrulline-containing peptide targets the most effective assays for detection of ACPAs. Full article
(This article belongs to the Special Issue Antibody-Based Diagnostics)
Show Figures

Figure 1

20 pages, 1846 KB  
Review
Targeting IgG in Arthritis: Disease Pathways and Therapeutic Avenues
by Kutty Selva Nandakumar
Int. J. Mol. Sci. 2018, 19(3), 677; https://doi.org/10.3390/ijms19030677 - 28 Feb 2018
Cited by 14 | Viewed by 6206
Abstract
Rheumatoid arthritis (RA) is a polygenic and multifactorial syndrome. Many complex immunological and genetic interactions are involved in the final outcome of the clinical disease. Autoantibodies (rheumatoid factors, anti-citrullinated peptide/protein antibodies) are present in RA patients’ sera for a long time before the [...] Read more.
Rheumatoid arthritis (RA) is a polygenic and multifactorial syndrome. Many complex immunological and genetic interactions are involved in the final outcome of the clinical disease. Autoantibodies (rheumatoid factors, anti-citrullinated peptide/protein antibodies) are present in RA patients’ sera for a long time before the onset of clinical disease. Prior to arthritis onset, in the autoantibody response, epitope spreading, avidity maturation, and changes towards a pro-inflammatory Fc glycosylation phenotype occurs. Genetic association of epitope specific autoantibody responses and the induction of inflammation dependent and independent changes in the cartilage by pathogenic autoantibodies emphasize the crucial contribution of antibody-initiated inflammation in RA development. Targeting IgG by glyco-engineering, bacterial enzymes to specifically cleave IgG/alter N-linked Fc-glycans at Asn 297 or blocking the downstream effector pathways offers new avenues to develop novel therapeutics for arthritis treatment. Full article
(This article belongs to the Special Issue Research of Pathogenesis and Novel Therapeutics in Arthritis)
Show Figures

Graphical abstract

15 pages, 4391 KB  
Article
Affinity Purification and Comparative Biosensor Analysis of Citrulline-Peptide-Specific Antibodies in Rheumatoid Arthritis
by Eszter Szarka, Petra Aradi, Krisztina Huber, Judit Pozsgay, Lili Végh, Anna Magyar, Gergő Gyulai, György Nagy, Bernadette Rojkovich, Éva Kiss, Ferenc Hudecz and Gabriella Sármay
Int. J. Mol. Sci. 2018, 19(1), 326; https://doi.org/10.3390/ijms19010326 - 22 Jan 2018
Cited by 16 | Viewed by 7367
Abstract
Background: In rheumatoid arthritis (RA), anti-citrullinated protein/peptide antibodies (ACPAs) are responsible for disease onset and progression, however, our knowledge is limited on ligand binding affinities of autoantibodies with different citrulline-peptide specificity. Methods: Citrulline-peptide-specific ACPA IgGs were affinity purified and tested by ELISA. Binding [...] Read more.
Background: In rheumatoid arthritis (RA), anti-citrullinated protein/peptide antibodies (ACPAs) are responsible for disease onset and progression, however, our knowledge is limited on ligand binding affinities of autoantibodies with different citrulline-peptide specificity. Methods: Citrulline-peptide-specific ACPA IgGs were affinity purified and tested by ELISA. Binding affinities of ACPA IgGs and serum antibodies were compared by surface plasmon resonance (SPR) analysis. Bifunctional nanoparticles harboring a multi-epitope citrulline-peptide and a complement-activating peptide were used to induce selective depletion of ACPA-producing B cells. Results: KD values of affinity-purified ACPA IgGs varied between 10−6 and 10−8 M and inversely correlated with disease activity. Based on their cross-reaction with citrulline-peptides, we designed a novel multi-epitope peptide, containing Cit-Gly and Ala-Cit motifs in two–two copies, separated with a short, neutral spacer. This peptide detected antibodies in RA sera with 66% sensitivity and 98% specificity in ELISA and was recognized by 90% of RA sera, while none of the healthy samples in SPR. When coupled to nanoparticles, the multi-epitope peptide specifically targeted and depleted ACPA-producing B cells ex vivo. Conclusions: The unique multi-epitope peptide designed based on ACPA cross-reactivity might be suitable to develop better diagnostics and novel therapies for RA. Full article
(This article belongs to the Special Issue Musculoskeletal Diseases Therapy)
Show Figures

Graphical abstract

21 pages, 1408 KB  
Review
Epitope Specificity of Anti-Citrullinated Protein Antibodies
by Nicole H. Trier and Gunnar Houen
Antibodies 2017, 6(1), 5; https://doi.org/10.3390/antib6010005 - 8 Mar 2017
Cited by 21 | Viewed by 11431
Abstract
Anti-citrullinated protein antibodies are primarily associated with a progressive course in the autoimmune disease rheumatoid arthritis, a disease with a chronic and inflammatory nature. These antibodies do not appear to have any strict dependency for reactivity except from the presence of the non-genetically [...] Read more.
Anti-citrullinated protein antibodies are primarily associated with a progressive course in the autoimmune disease rheumatoid arthritis, a disease with a chronic and inflammatory nature. These antibodies do not appear to have any strict dependency for reactivity except from the presence of the non-genetically encoded amino acid citrulline, which is the result of a posttranslational modification, catalyzed by calcium-dependent peptidylarginine deiminase enzymes. Nevertheless, several amino acids surrounding the citrulline residue notably influence antibody reactivity, especially with a central-Cit-Gly-motif being essential for antibody reactivity. Most importantly, these antibodies have been proposed to be divided into two groups, based on their ability to recognize multiple citrullinated peptides. Thus, an “overlapping” antibody group, which appears to recognize several citrullinated peptides, and a “non-overlapping” antibody group, which only recognizes a limited number of citrullinated peptides, have been proposed. Based on these findings, we suggest that antibodies recognizing several citrullinated targets, also referred to as cross-reactive antibodies, primarily are backbone-dependent, whereas less cross-reactive antibodies primarily depend on the side chains of the amino acids comprising the epitopes for stable antibody-antigen interactions, which reduces the degree of cross-reactivity significantly. Clarifying the reactivity pattern of anti-citrullinated protein antibodies may contribute to determining their true nature of origin. Full article
(This article belongs to the Special Issue Auto-Antibody and Autoimmune Disease)
Show Figures

Figure 1

19 pages, 285 KB  
Article
Oligonucleotide-Peptide Conjugates: Solid-Phase Synthesis under Acidic Conditions and Use in ELISA Assays
by Anna Aviñó, Maria José Gómara, Morteza Malakoutikhah, Isabel Haro and Ramon Eritja
Molecules 2012, 17(12), 13825-13843; https://doi.org/10.3390/molecules171213825 - 22 Nov 2012
Cited by 12 | Viewed by 9812
Abstract
Here we used solid-phase methods to prepare oligonucleotides carrying fibrin/ filaggrin citrullinated peptides. Post-synthetic conjugation protocols were successfully applied for the synthesis of oligonucleotides carrying small peptides. A stepwise protocol using acid treatment for the final deprotection allowed the preparation of polypyrimidine oligonucleotides [...] Read more.
Here we used solid-phase methods to prepare oligonucleotides carrying fibrin/ filaggrin citrullinated peptides. Post-synthetic conjugation protocols were successfully applied for the synthesis of oligonucleotides carrying small peptides. A stepwise protocol using acid treatment for the final deprotection allowed the preparation of polypyrimidine oligonucleotides carrying longer and arginine-rich peptides. An ELISA-based test using the oligonucleotide-citrullinated peptide conjugates was developed for the detection of anti-citrullinated protein/peptide antibodies in human serum from rheumatoid arthritis patients. Full article
(This article belongs to the Special Issue Nucleic Acid Analogs)
Show Figures

Figure 1

Back to TopTop