Sign in to use this feature.

Years

Between: -

Subjects

remove_circle_outline
remove_circle_outline
remove_circle_outline
remove_circle_outline
remove_circle_outline
remove_circle_outline
remove_circle_outline
remove_circle_outline
remove_circle_outline

Journals

Article Types

Countries / Regions

remove_circle_outline
remove_circle_outline
remove_circle_outline

Search Results (751)

Search Parameters:
Keywords = circulating tumor cells (CTC)

Order results
Result details
Results per page
Select all
Export citation of selected articles as:
34 pages, 5602 KB  
Review
Liquid Biopsy in Early Screening of Cancers: Emerging Technologies and New Prospects
by Hanyu Zhu, Zhenyu Li, Kunxin Xie, Sajjaad Hassan Kassim, Cheng Cao, Keyu Huang, Zipeng Lu, Chenshan Ma, Ying Li, Kuirong Jiang and Lingdi Yin
Biomedicines 2026, 14(1), 158; https://doi.org/10.3390/biomedicines14010158 - 12 Jan 2026
Viewed by 338
Abstract
Liquid biopsy is moving beyond mutation-centric assays to multimodal frameworks that integrate cell-free DNA (cfDNA) signals with additional analytes such as circulating tumor cells (CTCs) and extracellular vesicles (EVs). In this review, we summarize emerging technologies across analytes for early cancer detection, emphasizing [...] Read more.
Liquid biopsy is moving beyond mutation-centric assays to multimodal frameworks that integrate cell-free DNA (cfDNA) signals with additional analytes such as circulating tumor cells (CTCs) and extracellular vesicles (EVs). In this review, we summarize emerging technologies across analytes for early cancer detection, emphasizing sequencing and error-suppression strategies and the growing evidence for multi-cancer early detection (MCED), tissue-of-origin (TOO) inference, diagnostic triage, and longitudinal surveillance. At low tumor fractions, fragmentomic and methylation features preserve tissue and chromatin context; when combined with radiomics using deep learning, they support blood-first, high-specificity risk stratification, increase positive predictive value (PPV), reduce unnecessary procedures, and enhance early prediction of treatment response and relapse. Building on these findings, we propose a pathway-aware workflow: initial blood-based risk scoring, followed by organ-directed imaging, and targeted secondary testing when indicated. We further recommend that model reports include not only discrimination metrics but also calibration, decision-curve analysis, PPV/negative predictive value (NPV) at fixed specificity, and TOO accuracy, alongside multi-site external validation and blinded dataset splits to improve generalizability. Overall, liquid biopsy is transitioning from signal discovery to deployable multimodal decision systems; standardized pre-analytical and analytical workflows, robust error suppression, and prospective real-world evaluations will be pivotal for clinical implementation. Full article
(This article belongs to the Special Issue Emerging Technologies in Liquid Biopsy of Cancers)
Show Figures

Figure 1

24 pages, 1130 KB  
Review
From Hero to Hijacker: Autophagy’s Double Life in Immune Patrols and Cancer Escape
by Flavie Garampon and Aurore Claude-Taupin
Cells 2026, 15(2), 102; https://doi.org/10.3390/cells15020102 - 6 Jan 2026
Viewed by 476
Abstract
Cells are constantly exposed to mechanical forces that shape their behavior, survival, and fate. The autophagy machinery emerges as a central adaptive pathway in these processes, acting not only as a metabolic and quality control mechanism but also as a key regulator of [...] Read more.
Cells are constantly exposed to mechanical forces that shape their behavior, survival, and fate. The autophagy machinery emerges as a central adaptive pathway in these processes, acting not only as a metabolic and quality control mechanism but also as a key regulator of membrane dynamics and mechanotransduction. Here, we review how mechanical stress influences autophagy initiation, autophagosome maturation, and lysosomal function across different cell types. We discuss parallels between leukocyte diapedesis and circulating tumor cell (CTC) extravasation, two processes that involve profound mechanical challenges and rely on autophagy-related pathways to maintain cell integrity and enable transendothelial migration. Special attention is given to the dual role of autophagy-related proteins (ATGs) in these contexts, ranging from cytoplasmic degradation dependent on lysosomal fusion to secretory functions. Understanding how mechanical forces modulate autophagy and ATG-dependent pathways may reveal novel insights into immune regulation, tumor dissemination, and potential therapeutic targets aimed at controlling inflammation and metastasis. Full article
(This article belongs to the Special Issue Autophagy in Cancer Regulation)
Show Figures

Graphical abstract

21 pages, 1595 KB  
Article
Evaluation of the Cellsway Microfluidic CTC Enrichment and Identification Platform for CTC Detection in Metastatic NSCLC
by Ebru Özgür, Ayça Çırçır, Begüm Şen Doğan, Şebnem Şahin, Gizem Karayalçın, Mehmet Alper Demir, Başak Erkek, Enes Demirtaş, Özge Zorlu, Furkan Ceylan, Haluk Külah, Nuri Karadurmuş, Mehmet Ali Nahit Şendur and Saadettin Kılıçkap
Biosensors 2026, 16(1), 34; https://doi.org/10.3390/bios16010034 - 2 Jan 2026
Viewed by 433
Abstract
Lung cancer is the leading cause of cancer-related mortality worldwide, with non-small-cell lung cancer (NSCLC) accounting for the majority of cases. Standard tissue biopsies are invasive and unsuitable for repeated monitoring. Liquid biopsy technologies, particularly circulating tumor cell (CTC) analysis, offer a minimally [...] Read more.
Lung cancer is the leading cause of cancer-related mortality worldwide, with non-small-cell lung cancer (NSCLC) accounting for the majority of cases. Standard tissue biopsies are invasive and unsuitable for repeated monitoring. Liquid biopsy technologies, particularly circulating tumor cell (CTC) analysis, offer a minimally invasive alternative for real-time disease tracking. To address the need for efficient and reproducible CTC isolation, we developed the Cellsway microfluidic CTC enrichment and identification platform, which employs inertial hydrodynamics in a spiral-shaped microfluidic channel comprising hydrofoil-shaped pillars to enable high-throughput, label-free enrichment of CTCs while preserving cell integrity, followed by an optimized CTC identification assay. Analytical performance assessed through spiking experiments using NSCLC cell lines demonstrated recovery rates of 91.9% for H1975 cells and 78.3% for A549 cells. Clinical validation was performed on blood samples from 51 stage IV NSCLC patients. A 7.5 mL volume of peripheral blood was processed with the SwayBox platform, and enriched CTCs were identified through an optimized multiplex immunofluorescence protocol. CTCs were detected in 47% of NSCLC patients, with counts ranging from 0 to 72 cells per 7.5 mL of blood. At a cutoff of 1 CTC per 7.5 mL, the assay achieved a specificity of 95%. Patient-derived CTCs exhibited smaller mean diameters compared to cultured NSCLC cell lines, yet were effectively enriched through hydro-dynamic tuning. These findings demonstrate that the Cellsway platform enables efficient and re-producible CTC isolation with high specificity, supporting its potential utility for clinical monitoring and precision oncology in NSCLC. Full article
(This article belongs to the Section Nano- and Micro-Technologies in Biosensors)
Show Figures

Graphical abstract

29 pages, 6420 KB  
Review
Circulating Tumor Cells for the Monitoring of Lung Cancer Therapies
by Maja Chrzempiec and Urszula Oleksiewicz
Int. J. Mol. Sci. 2026, 27(1), 384; https://doi.org/10.3390/ijms27010384 - 30 Dec 2025
Viewed by 380
Abstract
Lung cancer, as one of the most prevalent and lethal malignancies, requires immediate and effective therapeutic solutions. Therefore, additional innovative methods are continually sought to achieve optimal treatment outcomes. Various markers are used to select the most effective therapies, assess clinical responses, and [...] Read more.
Lung cancer, as one of the most prevalent and lethal malignancies, requires immediate and effective therapeutic solutions. Therefore, additional innovative methods are continually sought to achieve optimal treatment outcomes. Various markers are used to select the most effective therapies, assess clinical responses, and facilitate follow-up care for the patients. Circulating tumor cells (CTCs) remain a valuable biomarker in clinical management of cancer patients due to the range of information they provide and their high prognostic and predictive potential in monitoring anticancer therapy. CTCs constitute a heterogeneous population of cancer cells that undergo an epithelial-to-mesenchymal transition (EMT), are shed from the tumor mass, and migrate through the peripheral blood, ultimately causing metastases. In this literature review, we focus on the biological, biochemical, and biophysical properties of CTCs, specifically from the perspective of the design of CTC enumeration technologies. Furthermore, we combine the available data on the application of CTC count in monitoring various treatment modalities in lung cancer, including radiotherapy, chemotherapy, tyrosine kinase inhibitors, and immunotherapy. Although many published reports indicate that an increased number of CTCs in blood samples of lung cancer patients correlates with worse treatment outcomes, several limitations hinder the widespread usage of CTCs in the clinical setting. Full article
(This article belongs to the Special Issue Novel Molecular Pathways in Oncology, 3rd Edition)
Show Figures

Graphical abstract

14 pages, 527 KB  
Review
Circulating Tumor Cells in Glioblastoma
by Robert H. Eibl and Markus Schneemann
Cancers 2026, 18(1), 10; https://doi.org/10.3390/cancers18010010 - 19 Dec 2025
Viewed by 458
Abstract
Glioblastoma multiforme (GBM) remains a devastating brain tumor with poor prognosis, traditionally viewed as non-metastatic. The recent detection of circulating tumor cells (CTCs) in glioblastoma challenges this long-held view and opens new opportunities for liquid biopsy in neuro-oncology. This review summarizes current understanding [...] Read more.
Glioblastoma multiforme (GBM) remains a devastating brain tumor with poor prognosis, traditionally viewed as non-metastatic. The recent detection of circulating tumor cells (CTCs) in glioblastoma challenges this long-held view and opens new opportunities for liquid biopsy in neuro-oncology. This review summarizes current understanding of glioblastoma CTCs, emphasizing their unique properties, detection technologies, and differences compared to CTCs in extracranial cancers. Key challenges include their rarity, the absence of epithelial markers, and the presence of the blood–brain barrier. Despite the need for specialized enrichment approaches, CTC analysis in glioblastoma can offer helpful information regarding tumor heterogeneity, treatment response, and minimal residual disease. We discuss emerging clinical studies leveraging CTCs for early relapse detection and therapy monitoring. Integrating CTC phenotyping with molecular and functional characterization may enhance future personalized treatment strategies in glioblastoma. Refined CTC methodologies combined with other liquid biopsy modalities may transform glioblastoma management, improving patient outcomes through less invasive, dynamic tumor surveillance. Full article
Show Figures

Figure 1

29 pages, 16121 KB  
Article
Functionalized Carbon Dots from Bio-Based Precursors as Promising Fluorescent Probes for Cancer Cell Imaging
by Łukasz Janus, Julia Radwan-Pragłowska, Aleksandra Kołodziej-Nowak and Aleksandra Sierakowska-Byczek
Int. J. Mol. Sci. 2025, 26(24), 12185; https://doi.org/10.3390/ijms262412185 - 18 Dec 2025
Viewed by 344
Abstract
This study reports the microwave-assisted synthesis and surface modification of carbon quantum dots (CQDs) from natural precursors and their evaluation as fluorescent probes for cancer cell visualization. CQDs were obtained using amino-glucose as the carbon source and betaine, marine collagen, or dopamine as [...] Read more.
This study reports the microwave-assisted synthesis and surface modification of carbon quantum dots (CQDs) from natural precursors and their evaluation as fluorescent probes for cancer cell visualization. CQDs were obtained using amino-glucose as the carbon source and betaine, marine collagen, or dopamine as surface modifiers. Further functionalization with 7-amino-4-(trifluoromethyl)coumarin enhanced their fluorescence properties. Spectroscopic analyses confirmed successful surface modification, with coumarin-modified CQDs displaying a strong emission peak at ~500 nm and approximately 1.5-fold higher fluorescence intensity compared to unmodified CQDs. Cytotoxicity testing on MG-63 osteosarcoma cells showed cell viabilities above 80% for selected samples, fulfilling ISO 10993-5 criteria for non-toxicity. In vitro bioimaging of astrocytoma 1321N1 cells demonstrated bright and uniform intracellular staining, confirming effective cellular uptake. Compared with the literature reports of green-synthesized CQDs, our results indicate comparable or superior fluorescence performance and similar levels of biocompatibility. These findings highlight the potential of surface-engineered CQDs as biocompatible nanoprobes for cancer diagnostics and represent an initial step toward their application in the detection of circulating tumor cells (CTCs). Full article
(This article belongs to the Special Issue Omics-Driven Unveiling of the Structure and Function of Nanoparticles)
Show Figures

Figure 1

16 pages, 3190 KB  
Article
Establishment of a Flow Cytometry Protocol for Binarily Detecting Circulating Tumor Cells with EGFR Mutation
by Cheng-Yu Chang, Chia-Chun Tu, Shian-Ren Lin, Chih-Hao Fang, Po-Wei Tseng, Wan-En Liao, Li-Yun Huang, Shiu-Lan Wang, Wan-Yu Lai, Yee Chao, Yen-Ling Chiu and Jan-Mou Lee
Diseases 2025, 13(12), 406; https://doi.org/10.3390/diseases13120406 - 17 Dec 2025
Viewed by 427
Abstract
Background: Patients with EGFR-mutated non-small cell lung cancer (NSCLC) respond well to EGFR tyrosine kinase inhibitors (TKIs), but current EGFR mutation profiling relies on invasive tumor biopsies. Developing less invasive approaches, particularly proteomic evaluation of circulating tumor cells (CTCs) for EGFR mutation profiling, [...] Read more.
Background: Patients with EGFR-mutated non-small cell lung cancer (NSCLC) respond well to EGFR tyrosine kinase inhibitors (TKIs), but current EGFR mutation profiling relies on invasive tumor biopsies. Developing less invasive approaches, particularly proteomic evaluation of circulating tumor cells (CTCs) for EGFR mutation profiling, remains crucial. Methods: A flow cytometry method for detecting EGFRL858R-bearing CTCs was established by spiking NCI-H1975 cells into blood from cancer-naive donors. The method was then applied to blood samples from 21 NSCLC patients and 10 cancer-naive donors. Results: The gating strategy was defined by CD45CK-7/8+CK-14/15/16/19EpCAM+vimentin+EGFRL858R, with a cut-off value of 5 cells/mL. The method yielded positive results in all seven patients with the EGFRL858R mutation and negative results in all ten cancer-naive donors. Compared to the PCR-based reference method, the approach showed 100% positive and 71% negative agreement. Crucially, our in-house method detected EGFRL858R-bearing CTCs in three patients initially identified as EGFR wild-type and one patient with a different EGFR mutation. The remaining samples were concordant with PCR. Notably, two patients with these discordant results received EGFR-TKIs and experienced partial responses. Conclusions: This study introduces a feasible, less invasive proteomic approach for binarily detecting EGFR mutations in CTCs, offering a novel means for patient identification. Full article
Show Figures

Figure 1

16 pages, 1592 KB  
Article
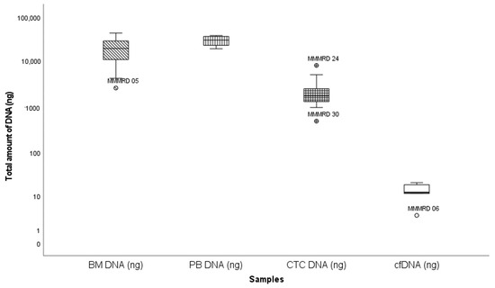
Comparative Analysis of Bone Marrow, cfDNA and CTCs for NGS-Based Multiple Myeloma Detection: A Pilot Study Indicating the Potential of CTCs
by Wouter De Brouwer, Robbe Heestermans, Jona Van der Straeten, Kiara Falise, Ann De Becker, Isabelle Vande Broek, Rik Schots, Marleen Bakkus and Ivan Van Riet
Cancers 2025, 17(24), 4008; https://doi.org/10.3390/cancers17244008 - 16 Dec 2025
Viewed by 359
Abstract
Background/Objectives: Minimal residual disease (MRD) persists in most multiple myeloma (MM) patients, causing relapse despite deep remissions. Repeatability of MRD detection in MM bone marrow (BM) samples is limited, underscoring the need for blood-based monitoring approaches that can allow more thorough disease [...] Read more.
Background/Objectives: Minimal residual disease (MRD) persists in most multiple myeloma (MM) patients, causing relapse despite deep remissions. Repeatability of MRD detection in MM bone marrow (BM) samples is limited, underscoring the need for blood-based monitoring approaches that can allow more thorough disease surveillance. Methods: This study compares tumor detection rates in BM-derived DNA with different blood-derived DNA sources, using next-generation sequencing of the immunoglobulin locus (NGS-IG). CD138-targeted immunomagnetic enrichment of circulating tumor cells (CTCs) followed by vacuum evaporation to concentrate DNA was used to optimize the tumor detection rate. Results: Tumor DNA was detected in 76%, 88% and 100% of cell-free DNA, peripheral blood-derived mononuclear cells, DNA and enriched CTC-DNA samples of patients with active myeloma, respectively. These data indicate that enriched CTC samples were the most informative for evaluation of disease detection with NGS-IG in patients with active myeloma. MRD detection was performed in paired BM and enriched CTC-DNA samples from 37 patients in remission. MRD positivity was found in the BM of 24 patients, with half of them (12/24) also showing the presence of MRD when enriched CTC-DNA was used. Interestingly, time to progression (TTP) of enriched CTC MRD-negative/BM MRD-positive patients was comparable to that of double MRD-negative (BM and CTC) patients. Moreover, double positive patients showed a trend to earlier relapses. Conclusions: Our data suggest that NGS-IG analysis with enriched CTC-DNA may offer improved predictive abilities for relapse in multiple myeloma compared to the currently used BM-DNA-based tumor detection method. Full article
(This article belongs to the Section Cancer Causes, Screening and Diagnosis)
Show Figures

Graphical abstract

13 pages, 1713 KB  
Case Report
Stage IIIa Lung Cancer Treatment by the Combined Tomotherapy and Infusion of Autologous Peripheral-Blood-Mononuclear-Derived Lymphocytes: A Case Report of Aged Patient
by Aigul Brimova, Anastasia Ganina, Larissa Kozina, Daulet Berikbol, Manarbek Askarov and Yerzhan Shayakhmetov
Transplantology 2025, 6(4), 37; https://doi.org/10.3390/transplantology6040037 - 5 Dec 2025
Viewed by 399
Abstract
Background: Lung cancer is one of the leading cancers worldwide in mortality and incidence. Treating advanced stages of lung cancer is a great problem because of high metastatic potential and low adherence to common monotherapies such as radiation or chemotherapy. In addition, monotherapy [...] Read more.
Background: Lung cancer is one of the leading cancers worldwide in mortality and incidence. Treating advanced stages of lung cancer is a great problem because of high metastatic potential and low adherence to common monotherapies such as radiation or chemotherapy. In addition, monotherapy in aged patients is not always sufficiently effective. Case Report: This study presents a clinical case of a 71-year-old man with an advanced stage of lung cancer. Computed tomography (CT) of the chest revealed central tumor of the left lung and moderate mediastinal lymphadenopathy. We found circulating tumor cells (CTC) in the peripheral blood of the patient at the level of approximately 19 cells per 1 mL above the referent detection limit. The patient was treated with combined tomotherapy (eight fractions, one fraction per day except weekends) and immune cell therapy using autologous activated lymphocytes (twice during the period, on tomotherapy day #1 and day #6). The lymphocytes were obtained from peripheral blood, purified, pre-activated in culture with a specific combination of cytokines, and infused back into the patient seven days post-culture. Two months post-therapy, the tumor was reduced by 42.5% in linear dimensions according to RECIST and by 78% of volume compared to the initial values, as confirmed by CT examination. Additionally, the level of CTC in the peripheral blood dropped to the referent detection limit. Conclusions: The combination of tomotherapy and immunotherapy with activated autologous lymphocytes may result in the positive dynamics of the malignant condition in selected patients, even in aged ones. Full article
(This article belongs to the Section Transplant Immunology and Immunosuppressive Drugs)
Show Figures

Figure 1

24 pages, 1717 KB  
Review
Minimal Residual Disease Detection: Bridging Molecular and Clinical Strategies for Recurrence Prevention in Gynecologic Cancers
by Andi Darma Putra, Naufal Syafiq Darmawan, Aldi Tamara Rahman and Lasmini Syariatin
Int. J. Mol. Sci. 2025, 26(23), 11708; https://doi.org/10.3390/ijms262311708 - 3 Dec 2025
Viewed by 1218
Abstract
Gynecologic cancers remain a major global health burden, particularly in low- and middle-income countries, with high incidence and mortality rates around 45–50%. The detection of minimal residual disease (MRD) is transforming the management of recurrence risk in gynecologic cancers through highly sensitive molecular [...] Read more.
Gynecologic cancers remain a major global health burden, particularly in low- and middle-income countries, with high incidence and mortality rates around 45–50%. The detection of minimal residual disease (MRD) is transforming the management of recurrence risk in gynecologic cancers through highly sensitive molecular technologies. MRD encompasses small populations of residual cancer cells or post-treatment molecular traces but remain undetectable by conventional methods. Its detection relies on circulating tumor DNA (ctDNA), circulating tumor cells (CTCs), and advanced next-generation sequencing (NGS), with ctDNA-based MRD assays having sensitivity levels between 85% and over 99%. Other technologies, such as liquid biopsies and digital PCR, are also in development. MRD status has demonstrated high predictors of recurrence and survival with positive MRD strongly associated with poor outcomes and negative MRD indicates sustained remission. However, MRD detection faces significant limitations, such as tumor heterogeneity, inconstant ctDNA levels, technical issues of false-negative results, and limited clinical accessibility. Therefore, this review presents current evidence regarding the molecular detection of MRD in gynecologic malignancies and assesses its prognostic and predictive relevance. Ultimately, MRD continuous integration into clinical practice offers a promising modality to enable early relapse detection, more precise therapeutic decision-making, and the improvement of personalized medicine access to gynecologic cancers worldwide. Full article
Show Figures

Figure 1

14 pages, 2332 KB  
Article
Virtual Staining-Enabled Colorectal Cancer Metastasis Detection in Liquid Cytology Based on Digital Holography
by Yusen Gao, Xi Xiao, Ran Peng, Hao Wang and Feng Pan
Sensors 2025, 25(23), 7272; https://doi.org/10.3390/s25237272 - 28 Nov 2025
Viewed by 535
Abstract
Colorectal cancer (CRC) remains a leading cause of cancer-related mortality, and detecting circulating tumor cells (CTCs) is crucial for early diagnosis and metastasis monitoring. Conventional staining-based cytology is costly, time-consuming, and often compromises sample integrity. In this study, we employed a combined digital [...] Read more.
Colorectal cancer (CRC) remains a leading cause of cancer-related mortality, and detecting circulating tumor cells (CTCs) is crucial for early diagnosis and metastasis monitoring. Conventional staining-based cytology is costly, time-consuming, and often compromises sample integrity. In this study, we employed a combined digital holography (DH) and fluorescence imaging approach to develop a virtual staining framework for transforming quantitative phase imaging (QPI) data into interpretable pseudo-stained images. To the best of our knowledge, this is the first application of such a framework to colorectal cancer CTC detection. In our experiments, green fluorescent protein (GFP)-labeled HCT116 cells—generated through lentiviral transfection—were mixed with peripheral blood mononuclear cells (PBMCs) to create training datasets. The trained network achieved 99% classification accuracy and demonstrated strong generalization to unseen donors. This DH–fluorescence-based virtual staining method preserves cell integrity while enabling rapid, label-free, and low-cost liquid cytology diagnostics, highlighting its potential for non-invasive cancer detection and monitoring. Full article
(This article belongs to the Section Biomedical Sensors)
Show Figures

Figure 1

24 pages, 1325 KB  
Review
Bridging Discovery and Treatment: Cancer Biomarker
by Hengrui Liu, Ilayda Karsidag, Rebecca Golin and Guangzhen Wu
Cancers 2025, 17(22), 3720; https://doi.org/10.3390/cancers17223720 - 20 Nov 2025
Viewed by 1888
Abstract
Biomarkers have transformed cancer care by linking molecular insights to personalized treatment strategies. This review first surveys the spectrum of detection modalities, including tissue genomics and histopathology; liquid biopsies such as circulating tumor DNA (ctDNA), circulating tumor cells (CTCs), and extracellular vesicles; imaging [...] Read more.
Biomarkers have transformed cancer care by linking molecular insights to personalized treatment strategies. This review first surveys the spectrum of detection modalities, including tissue genomics and histopathology; liquid biopsies such as circulating tumor DNA (ctDNA), circulating tumor cells (CTCs), and extracellular vesicles; imaging and radiomics; and multi-omic approaches spanning epigenomics, transcriptomics, proteomics, metabolomics, and microbiomics. We then critically appraise the translational challenges that hinder clinical implementation, assay standardization, data integration, analytical and clinical validation, regulatory pathways, and cost-effectiveness. Finally, we explore emerging solutions, including artificial intelligence (AI)-driven multi-modal phenotyping, adaptive trial designs, and point-of-care assays, and outline future directions for expanding access and equitable adoption. By emphasizing the central role of biomarkers in guiding targeted and immune-based therapies, we underscore their potential to overcome tumor heterogeneity, preempt resistance, and ultimately improve patient outcomes. Full article
(This article belongs to the Special Issue Diagnostic Biomarkers in Cancers Study)
Show Figures

Figure 1

19 pages, 7499 KB  
Article
Caught in the Act: Tumor-Immune Interactions in Circulation of Patients with Immune Marker Positive Circulating Tumor Cells
by Amin Naghdloo, Mohamed Kamal, Dean Tessone, Valerie Hennes, James Hicks and Peter Kuhn
Cancers 2025, 17(22), 3667; https://doi.org/10.3390/cancers17223667 - 15 Nov 2025
Viewed by 770
Abstract
Background/Objectives: Circulating tumor cells (CTCs) and large extracellular vesicles (LEVs) are key components of the liquid biopsy that provide minimally invasive access to tumor biology. A clinically relevant subset of CTCs coexpressing epithelial and immune markers (im.CTCs) has been described, yet the origin [...] Read more.
Background/Objectives: Circulating tumor cells (CTCs) and large extracellular vesicles (LEVs) are key components of the liquid biopsy that provide minimally invasive access to tumor biology. A clinically relevant subset of CTCs coexpressing epithelial and immune markers (im.CTCs) has been described, yet the origin of this phenotype remains unclear. In this study, we investigated the cellular and molecular context underlying the emergence of immune marker expression on CTCs and LEVs. Methods: Using high-resolution immunofluorescence microscopy of patient-derived blood samples, we identified direct physical interactions between white blood cells (WBCs) and both im.CTCs and im.LEVs, exclusively in patients harboring im.CTCs. Results: In several cases, WBCs partially encapsulated CTCs and LEVs, and quantitative analysis revealed localized enrichment of immune membrane markers at the contact interface, distinguishing these events from random proximity. Proteomic profiling further identified CD4+ T cells as the predominant interacting immune cell type and confirmed the presence of CD45, CD3, and CD4 on the interacting CTCs and LEVs, matching their WBC counterparts. Conclusion: These findings support membrane transfer as a potential mechanism for the acquisition of immune markers by CTCs and LEVs and provide in vivo evidence of contact-dependent tumor-immune interactions in circulation with implications for immune modulation and clinical interpretation of the im.CTC phenotype. Full article
(This article belongs to the Special Issue Recent Advances in Liquid Biopsy Biomarkers of Cancer)
Show Figures

Figure 1

14 pages, 3725 KB  
Article
Novel CTC Detection Method in Patients with Pancreatic Cancer Using High-Resolution Image Scanning
by Takahiro Manabe, Tomoyuki Okumura, Kenji Terabayashi, Takahisa Akashi, Teo Yi Rui, Yoshihisa Numata, Naoya Takeda, Akane Yamada, Nana Kimura, Mina Fukasawa, Tatsuhiro Araki, Kosuke Mori, Yusuke Kishi, Kisuke Tanaka, Tomohiro Minagawa, Takeshi Miwa, Toru Watanabe, Katsuhisa Hirano, Shinichi Sekine, Isaya Hashimoto, Kazuto Shibuya, Isaku Yoshioka, Koshi Matsui, Tohru Sasaki and Tsutomu Fujiiadd Show full author list remove Hide full author list
Cancers 2025, 17(22), 3640; https://doi.org/10.3390/cancers17223640 - 13 Nov 2025
Viewed by 658
Abstract
Background/Objectives: Appropriate biomarkers are necessary for early diagnosis and multidisciplinary treatment of pancreatic ductal adenocarcinoma (PDAC). In recent years, the clinical utility of circulating tumor cells (CTC) as biomarkers for various can-cers has been reported; however, their detection rate in PDAC remains low, [...] Read more.
Background/Objectives: Appropriate biomarkers are necessary for early diagnosis and multidisciplinary treatment of pancreatic ductal adenocarcinoma (PDAC). In recent years, the clinical utility of circulating tumor cells (CTC) as biomarkers for various can-cers has been reported; however, their detection rate in PDAC remains low, and clinical evidence is not yet established. CTC detection methods with high reliability and per-formance are essential for clarifying the importance of CTC in patients with PDAC. Methods: A total of 5 mL peripheral blood samples were collected from 38 patients newly diagnosed with PDAC and 17 healthy controls. Negatively enriched cells were immunofluorescently stained with EpCAM-phycoerythrin and cell surface vi-mentin-fluorescein isothiocyanate (CSV). Images were automatically captured using an all-in-one fluorescence microscope. Cellular regions were detected from these images, and the average luminance of the cellular regions was calculated. A total of 9086 and 1071 cell images were obtained from patients with PDAC and healthy controls, respec-tively. Results: In the EpCAM assay, a threshold that included 95% of healthy individuals was optimal for distinguishing patients with PDAC from healthy controls, with a sensi-tivity, specificity, and area under the curve of 0.74, 0.76, and 0.84, respectively. At this threshold, the CTC-positivity rate in patients with PDAC was 76.3%. Conversely, the CSV assay failed to demonstrate a valid threshold to distinguish patients with PDAC from healthy controls. No significant differences were found between CTC and clini-copathological features among patients with PDAC. Conclusions: The method using high-resolution image scanning has the potential to identify CTC with greater objectiv-ity by quantifying cell luminance values. Full article
(This article belongs to the Section Cancer Causes, Screening and Diagnosis)
Show Figures

Figure 1

24 pages, 6188 KB  
Article
A Bionic Sensing Platform for Cell Separation: Simulation of a Dielectrophoretic Microfluidic Device That Leverages Dielectric Fingerprints
by Reza Hadjiaghaie Vafaie, Elnaz Poorreza, Sobhan Sheykhivand and Sebelan Danishvar
Biomimetics 2025, 10(11), 753; https://doi.org/10.3390/biomimetics10110753 - 7 Nov 2025
Viewed by 662
Abstract
Cancers are diseases described by the irregular spread of cells that have developed invasive features, enabling them to invade adjacent tissues. The specific diagnosis and effective management of oncological treatments depend on the timely detection of circulating tumor cells (CTCs) in a patient’s [...] Read more.
Cancers are diseases described by the irregular spread of cells that have developed invasive features, enabling them to invade adjacent tissues. The specific diagnosis and effective management of oncological treatments depend on the timely detection of circulating tumor cells (CTCs) in a patient’s bloodstream. One of the most promising approaches to CTC separation from blood fractions involves the dielectrophoresis (DEP) technique. This research presents a new DEP-based bionic system designed for MDA-MB-231 breast cancer cell isolation from white blood cell (WBC) subtypes with a viable approach to cell viability. This work leverages the principle that every cell type possesses a unique dielectric fingerprint. This dielectrophoresis microfluidic device is designed to act as a scanner, reading these fingerprints to achieve a continuous, label-free separation of cancer cells from blood components with a high efficiency. In the proposed system that consists of three different stages, the first stage allows for separating B-lymphocytes and Monocytes from Granulocytes and MDA-MB-231 cells. The separation of B-lymphocytes from Monocytes occurs in the second step, while the last step concerns the separation of Granulocytes and MDA-MB-231 cells. In the analysis, x-y graphs of the electric potentials, velocity fields, pressure distributions, and cellular DEP forces applied to the cells, as well as the resulting particle paths, are provided. The model predicts that the system operates with a separation efficiency of nearly 92%. This work focuses on an investigation of the impact of electrode potentials, the velocity of cells, the number of electrodes, the width of the channel, and the output angles on enhancing the separation efficiency of particles. Full article
Show Figures

Figure 1

Back to TopTop