Sign in to use this feature.

Years

Between: -

Subjects

remove_circle_outline
remove_circle_outline
remove_circle_outline
remove_circle_outline
remove_circle_outline
remove_circle_outline

Journals

Article Types

Countries / Regions

Search Results (14)

Search Parameters:
Keywords = cinnamate anions

Order results
Result details
Results per page
Select all
Export citation of selected articles as:
16 pages, 1313 KB  
Article
Mycorrhizas Promote Total Flavonoid Levels in Trifoliate Orange by Accelerating the Flavonoid Biosynthetic Pathway to Reduce Oxidative Damage Under Drought
by Lei Liu and Hong-Na Mu
Horticulturae 2025, 11(8), 910; https://doi.org/10.3390/horticulturae11080910 - 4 Aug 2025
Cited by 1 | Viewed by 886
Abstract
Flavonoids serve as crucial plant antioxidants in drought tolerance, yet their antioxidant regulatory mechanisms within mycorrhizal plants remain unclear. In this study, using a two-factor design, trifoliate orange (Poncirus trifoliata (L.) Raf.) seedlings in the four-to-five-leaf stage were either inoculated with Funneliformis [...] Read more.
Flavonoids serve as crucial plant antioxidants in drought tolerance, yet their antioxidant regulatory mechanisms within mycorrhizal plants remain unclear. In this study, using a two-factor design, trifoliate orange (Poncirus trifoliata (L.) Raf.) seedlings in the four-to-five-leaf stage were either inoculated with Funneliformis mosseae or not, and subjected to well-watered (70–75% of field maximum water-holding capacity) or drought stress (50–55% field maximum water-holding capacity) conditions for 10 weeks. Plant growth performance, photosynthetic physiology, leaf flavonoid content and their antioxidant capacity, reactive oxygen species levels, and activities and gene expression of key flavonoid biosynthesis enzymes were analyzed. Although drought stress significantly reduced root colonization and soil hyphal length, inoculation with F. mosseae consistently enhanced the biomass of leaves, stems, and roots, as well as root surface area and diameter, irrespective of soil moisture. Despite drought suppressing photosynthesis in mycorrhizal plants, F. mosseae substantially improved photosynthetic capacity (measured via gas exchange) and optimized photochemical efficiency (assessed by chlorophyll fluorescence) while reducing non-photochemical quenching (heat dissipation). Inoculation with F. mosseae elevated the total flavonoid content in leaves by 46.67% (well-watered) and 14.04% (drought), accompanied by significantly enhanced activities of key synthases such as phenylalanine ammonia-lyase (PAL), chalcone synthase (CHS), chalcone isomerase (CHI), 4-coumarate:coA ligase (4CL), and cinnamate 4-hydroxylase (C4H), with increases ranging from 16.90 to 117.42% under drought. Quantitative real-time PCR revealed that both mycorrhization and drought upregulated the expression of PtPAL1, PtCHI, and Pt4CL genes, with soil moisture critically modulating mycorrhizal regulatory effects. In vitro assays showed that flavonoid extracts scavenged radicals at rates of 30.07–41.60% in hydroxyl radical (•OH), 71.89–78.06% in superoxide radical anion (O2•−), and 49.97–74.75% in 2,2-diphenyl-1-picrylhydrazyl (DPPH). Mycorrhizal symbiosis enhanced the antioxidant capacity of flavonoids, resulting in higher scavenging rates of •OH (19.07%), O2•− (5.00%), and DPPH (31.81%) under drought. Inoculated plants displayed reduced hydrogen peroxide (19.77%), O2•− (23.90%), and malondialdehyde (17.36%) levels. This study concludes that mycorrhizae promote the level of total flavonoids in trifoliate orange by accelerating the flavonoid biosynthesis pathway, hence reducing oxidative damage under drought. Full article
Show Figures

Figure 1

14 pages, 1196 KB  
Article
Effects of Methyl Jasmonate on Flavonoid Accumulation and Physiological Metabolism in Finger Millet (Eleusine coracana L.) Sprouts
by Zhangqin Ye, Jing Zhang, Xin Tian, Zhengfei Yang, Jiangyu Zhu and Yongqi Yin
Plants 2025, 14(14), 2201; https://doi.org/10.3390/plants14142201 - 16 Jul 2025
Viewed by 953
Abstract
Finger millet (Eleusine coracana L.) is a nutrient-dense cereal with high flavonoid content, yet the mechanisms regulating its secondary metabolite biosynthesis remain underexplored. Various exogenous stimuli can readily activate the enzymatic pathways and gene expression associated with flavonoid biosynthesis in plants, which [...] Read more.
Finger millet (Eleusine coracana L.) is a nutrient-dense cereal with high flavonoid content, yet the mechanisms regulating its secondary metabolite biosynthesis remain underexplored. Various exogenous stimuli can readily activate the enzymatic pathways and gene expression associated with flavonoid biosynthesis in plants, which are regulated by developmental cues. Research has established that methyl jasmonate (MeJA) application enhances secondary metabolite production in plant systems. This investigation examined MeJA’s influence on flavonoid accumulation and physiological responses in finger millet sprouts to elucidate the molecular mechanisms underlying MeJA-mediated flavonoid accumulation. The findings revealed that MeJA treatment significantly suppressed sprout elongation while enhancing the biosynthesis of total flavonoids and phenolic compounds. MeJA treatment triggered oxidative stress responses, with hydrogen peroxide and superoxide anion concentrations increasing 1.84-fold and 1.70-fold compared to control levels at 4 days post-germination. Furthermore, the antioxidant defense mechanisms in finger millet were upregulated following treatment, resulting in significant enhancement of catalase and peroxidase enzymatic activities and corresponding transcript abundance. MeJA application augmented the activities of key phenylpropanoid pathway enzymes—phenylalanine ammonia-lyase (PAL) and cinnamate 4-hydroxylase (C4H)—and upregulated their respective gene expression. At 4 days post-germination, EcPAL and EcC4H transcript levels were elevated 3.67-fold and 2.61-fold, respectively, compared to untreated controls. MeJA treatment significantly induced the expression of downstream structural genes and transcriptional regulators. This study provides a deeper understanding of the mechanism of flavonoid accumulation in foxtail millet induced by MeJA, and lays a foundation for exogenous conditions to promote flavonoid biosynthesis in plants. Full article
(This article belongs to the Section Plant Physiology and Metabolism)
Show Figures

Figure 1

16 pages, 4212 KB  
Article
Enhancing Photostability of Prochloraz via Designing Natural Acid-Derived Prochloraz-Based Ionic Liquids
by Zhiqiang Gao, Fengmao Liu, Qingrong Peng and Wenzhuo Wang
Molecules 2025, 30(7), 1641; https://doi.org/10.3390/molecules30071641 - 7 Apr 2025
Cited by 2 | Viewed by 979
Abstract
Converting pesticides into ionic liquids by designing counterions can modulate their physicochemical properties, thus improving their efficacy and environmental safety. In this study, eight prochloraz-based ionic liquids (PILs) were synthesized using natural organic acids, and their physicochemical properties, toxicity, antifungal activity, and efficacy [...] Read more.
Converting pesticides into ionic liquids by designing counterions can modulate their physicochemical properties, thus improving their efficacy and environmental safety. In this study, eight prochloraz-based ionic liquids (PILs) were synthesized using natural organic acids, and their physicochemical properties, toxicity, antifungal activity, and efficacy in postharvest mango preservation were evaluated. The results showed that the physicochemical properties of propiconazole, including water solubility, logKow, surface activity, and light stability, could be adjusted by selecting counterions with varying structures. These properties were correlated with toxicity to zebrafish embryos and antifungal activity against Colletotrichum gloeosporioides. Notably, except for the benzoate PIL, the photostability of the other seven PILs was enhanced under UV irradiation, with the cinnamate PIL exhibiting a half-life 2.28 times longer than prochloraz. Spectral analysis indicated that the anions influenced photostability by shielding or interacting with the cations. Furthermore, the three selected PILs improved pesticide deposition on the mango surface during preservation, and the salicylate PIL enhanced pesticide penetration into the fruit, potentially contributing to its therapeutic activity. In conclusion, the ionic liquid strategy offers an effective method to modify pesticide properties, improve photostability, reduce losses, and optimize pesticide formulation. Full article
(This article belongs to the Special Issue 10th Anniversary of Green Chemistry Section)
Show Figures

Figure 1

13 pages, 12442 KB  
Article
Polyvinyl Alcohol Coatings Containing Lamellar Solids with Antimicrobial Activity
by Maria Bastianini, Michele Sisani, Raúl Escudero García, Irene Di Guida, Carla Russo, Donatella Pietrella and Riccardo Narducci
Physchem 2024, 4(3), 272-284; https://doi.org/10.3390/physchem4030019 - 1 Aug 2024
Cited by 1 | Viewed by 2399
Abstract
The design of an antimicrobial coating material has become important in the prevention of infections caused by the transmission of pathogens coming from human contact with contaminated surfaces. With that aim, layered single hydroxides (LSHs) and layered double hydroxides (LDHs) containing Zn and [...] Read more.
The design of an antimicrobial coating material has become important in the prevention of infections caused by the transmission of pathogens coming from human contact with contaminated surfaces. With that aim, layered single hydroxides (LSHs) and layered double hydroxides (LDHs) containing Zn and Cu intercalated with antimicrobial molecules were synthesized and characterized. Cinnamate and salicylate anions were chosen because of their well-known antimicrobial activity. Several coatings based on polyvinyl alcohol (PVA) and LDHs or LSHs with increasing amounts of filler were prepared and filmed on a polyethylene terephthalate (PET) substrate. The coatings were characterized, and their antimicrobial activity was evaluated against several pathogens that are critical in nosocomial infections, showing a synergistic effect between metal ions and active molecules and the ability to inhibit their growth. Full article
(This article belongs to the Section Surface Science)
Show Figures

Graphical abstract

17 pages, 6715 KB  
Article
A [3+3] Aldol-SNAr-Dehydration Approach to 2-Naphthol and 7-Hydroxyquinoline Derivatives
by Kwabena Fobi, Ebenezer Ametsetor and Richard A. Bunce
Molecules 2024, 29(14), 3406; https://doi.org/10.3390/molecules29143406 - 20 Jul 2024
Viewed by 1804
Abstract
A one-pot [3+3] aldol-SNAr-dehydration annulation sequence was utilized to fuse hindered phenols onto aromatic substrates. The transformation joins doubly activated 1,3-disubstituted acetone derivatives (dinucleophiles) with C5-activated 2-fluorobenzaldehyde SNAr acceptors (dielectrophiles) in the presence of K2CO3 in [...] Read more.
A one-pot [3+3] aldol-SNAr-dehydration annulation sequence was utilized to fuse hindered phenols onto aromatic substrates. The transformation joins doubly activated 1,3-disubstituted acetone derivatives (dinucleophiles) with C5-activated 2-fluorobenzaldehyde SNAr acceptors (dielectrophiles) in the presence of K2CO3 in DMF at 65–70 °C to form polysubstituted 2-naphthols and 7-hydroxyquinolines. The reaction is regioselective in adding the most stable anionic center to the aldehyde followed by SNAr closure of the less stabilized anion to the electron-deficient aromatic ring. Twenty-seven examples are reported, and a probable mechanism is presented. In two cases where SNAr activation on the acceptor ring was lower (a C5 trifluoromethyl group on the aromatic ring or a 2-fluoropyridine), diethyl 1,3-acetonedicarboxylate initiated an interesting Grob-type fragmentation to give cinnamate esters as the products. Full article
Show Figures

Graphical abstract

15 pages, 3475 KB  
Article
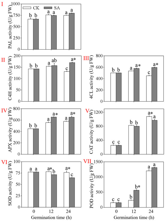
Enrichment of Flavonoids in Short-Germinated Black Soybeans (Glycine max L.) Induced by Slight Acid Treatment
by Caimei Huang, Xiaolan Quan, Yongqi Yin, Xiangli Ding, Zhengfei Yang, Jiangyu Zhu and Weiming Fang
Foods 2024, 13(6), 868; https://doi.org/10.3390/foods13060868 - 13 Mar 2024
Cited by 8 | Viewed by 2438
Abstract
Exogenous abiotic stimulant treatments are a straightforward and effective method for enhancing secondary metabolites in plants. In this study, the response surface optimization method was used to optimize the conditions for enriching flavonoids in short-germinated black soybeans under a slight acid treatment, and [...] Read more.
Exogenous abiotic stimulant treatments are a straightforward and effective method for enhancing secondary metabolites in plants. In this study, the response surface optimization method was used to optimize the conditions for enriching flavonoids in short-germinated black soybeans under a slight acid treatment, and the mechanism of flavonoid accumulation during black soybean germination was explored. The results show that the use of a 126.2 mM citric acid–sodium citrate buffer (pH 5.10) as a slight acid treatment resulted in the highest flavonoid content when the black soybeans were germinated for 24 h. Under these conditions, the isoflavonoid (glycitin, daidzein, and genistein) increased significantly, and the flavonoid content reached 2.32 mg/g FW. The microacidified germination treatment significantly increased the activities and relative gene expression levels of key enzymes involved in flavonoid metabolism (4-coumarate-CoA ligase and cinnamic acid 4-hydroxylase, etc.). However, the slight acid treatment inhibited the growth of the black soybeans and caused damage to their cells. This was evidenced by significantly higher levels of malondialdehyde, superoxide anion, and hydrogen peroxide compared to the control group. Furthermore, the antioxidant system in the short-germinated soybeans was activated by the slight acid treatment, leading to a significant increase in the activities and relative gene expression levels of catalase and peroxidase. The results above show that a slight acid treatment was beneficial in inducing the accumulation of flavonoids during the growth of black soybean sprouts. This lays a technical foundation for producing black soybean products that are rich in flavonoids. Full article
(This article belongs to the Section Plant Foods)
Show Figures

Figure 1

14 pages, 3460 KB  
Article
Cinnamate-Intercalated Layered Yttrium Hydroxide: UV Light-Responsive Switchable Material
by Maria A. Teplonogova, Alexey D. Yapryntsev, Alexander E. Baranchikov and Vladimir K. Ivanov
Micromachines 2023, 14(9), 1791; https://doi.org/10.3390/mi14091791 - 19 Sep 2023
Cited by 5 | Viewed by 2372
Abstract
In recent years, there has been an increasing interest in stimuli-responsive host–guest materials due to the high potential for their application in switchable devices. Light is the most convenient stimulus for operating these materials; a light-responsive guest affects the host structure and the [...] Read more.
In recent years, there has been an increasing interest in stimuli-responsive host–guest materials due to the high potential for their application in switchable devices. Light is the most convenient stimulus for operating these materials; a light-responsive guest affects the host structure and the functional characteristics of the entire material. UV-transparent layered rare earth hydroxides intercalated with UV-switchable anions are promising candidates as stimuli-responsive host–guest materials. The interlayer distance in the layered rare earth hydroxides depends on the size of the intercalated anions, which could be changed in situ, e.g., via anion isomerisation. Nevertheless, for layered rare earth hydroxides, the possibility of such changes has not been reported yet. A good candidate anion that is capable of intercalating into the interlayer space is the cinnamate anion, which undergoes UV-assisted irreversible trans–cis isomerisation. In this work, both trans- and cis-cinnamate anions were intercalated in layered yttrium hydroxide (LYH). Upon UV-irradiation, the interlayer distance of trans-cinnamate-intercalated layered yttrium hydroxide suspended in isopropanol changed from 21.9 to 20.6 Å. For the first time, the results obtained demonstrate the possibility of using layered rare earth hydroxides as stimuli-responsive materials. Full article
Show Figures

Figure 1

16 pages, 4468 KB  
Article
Melatonin Treatment Maintains the Quality of Fresh-Cut Gastrodia elata under Low-Temperature Conditions by Regulating Reactive Oxygen Species Metabolism and Phenylpropanoid Pathway
by Boyu Dong, Fangfang Da, Yulong Chen and Xiaochun Ding
Int. J. Mol. Sci. 2023, 24(18), 14284; https://doi.org/10.3390/ijms241814284 - 19 Sep 2023
Cited by 13 | Viewed by 2418
Abstract
The application of melatonin (MT) has been shown to improve the quality during the storage of fruits and vegetables. The primary objective of this study is to investigate the effects of MT on the quality of fresh-cut Gastrodia elata during low-temperature (4 °C) [...] Read more.
The application of melatonin (MT) has been shown to improve the quality during the storage of fruits and vegetables. The primary objective of this study is to investigate the effects of MT on the quality of fresh-cut Gastrodia elata during low-temperature (4 °C) storage. The results indicated that MT treatment not only suppressed the respiratory rate and malondialdehyde content but also slowed down the decline in total acidity and total soluble solids, effectively inhibiting microbial growth and enhancing the product safety of fresh-cut G. elata. The treatment with MT reduced the superoxide anions and hydrogen peroxide production, as well as inhibiting the activity and expression of peroxidase and polyphenol oxidase. Additionally, it led to increased activity and the expression of antioxidant-related enzymes, including superoxide dismutase, catalase, ascorbate peroxidase, glutathione reductase, monodehydroascorbate reductase, and dehydroascorbate reductase, while also resulting in elevated levels of ascorbic acid and glutathione. Furthermore, the treatment with MT induced an increase in the total phenolic and flavonoid content of fresh-cut G. elata and enhanced the activity and expression of key enzymes involved in the phenylpropanoid pathway (phenylalanine ammonia-lyase, cinnamate-4-hydroxylase, 4-coumarate: CoA ligase). In summary, MT enhances the antioxidant capacity by activating both the ROS metabolism and phenylpropanoid pathway, thus maintaining the quality of fresh-cut G. elata. Full article
(This article belongs to the Special Issue Postharvest Biology and Molecular Research of Fruits)
Show Figures

Figure 1

14 pages, 4338 KB  
Article
Lignification in Zinnia (Zinnia elegans Jacq.) Stem Sections of Different Age: Biochemical and Molecular Genetic Traits
by Anastasia S. Tugbaeva, Alexander A. Ermoshin, Hada Wuriyanghan and Irina S. Kiseleva
Horticulturae 2023, 9(3), 410; https://doi.org/10.3390/horticulturae9030410 - 22 Mar 2023
Cited by 3 | Viewed by 3223
Abstract
Lignification of the stem in zinnia provides its mechanical properties due to xylem formation, which depends on the stage of plant development and is responsible for the transport of water and minerals. The study was aimed at the lignin deposition, anatomical traits, biochemical [...] Read more.
Lignification of the stem in zinnia provides its mechanical properties due to xylem formation, which depends on the stage of plant development and is responsible for the transport of water and minerals. The study was aimed at the lignin deposition, anatomical traits, biochemical markers of lignification, as well as the genetic regulation of this process in zinnia stem cross sections of different age during their radial growth. The anatomical traits were assessed on cross sections. The content of lignin (Cysteine-assisted sulfuric method (CASA) and the thioglycolic acid (TGA) methods), the spectrum of phenolics (by thin layer chromatography (TLC)), the total activity and the variety of class III peroxidases were determined. The expression level of genes regulating phenylpropanoids and lignin biosynthesis were assessed. We suggest that time-specific and organ-specific lignification is determined by the metabolism of phenolic compounds and depends on the expression of genes of the phenylpropanoid pathway. It was shown that in the hypocotyl, during xylem ring formation, lignification was associated with increased expression of phenylalanine ammonia-lyase (PAL) and cinnamyl alcohol dehydrogenase (CAD) genes responsible for the early stages of the phenylpropanoid pathway, and with the rise of class III peroxidases activity, including cationic isoforms. This caused increased content and diversity of phenolics in mature hypocotyl. In epicotyl, which is younger than the hypocotyl, the proportion of ferulic acid among phenolics increased, which could be considered as a marker of lignification in it. The high expression level of CAD and the activity of peroxidases, including anionic isoforms, led to accumulation of lignin. Thus, the hypocotyl and epicotyl, being characterized by different ages, differed in spectrum of phenolics, isoforms of class III peroxidases, expression of the PAL, cinnamate 4-hydroxylase (C4H), peroxidases III class (PRX), and laccase (LAC) genes, and lignin content. Full article
Show Figures

Figure 1

22 pages, 3844 KB  
Article
Potential Anti-Cholinesterase Activity of Bioactive Compounds Extracted from Cassia grandis L.f. and Cassia timoriensis DC.
by Maram B. Alhawarri, Roza Dianita, Mira Syahfriena Amir Rawa, Toshihiko Nogawa and Habibah A. Wahab
Plants 2023, 12(2), 344; https://doi.org/10.3390/plants12020344 - 11 Jan 2023
Cited by 24 | Viewed by 3750
Abstract
Acetylcholinesterase (AChE) inhibitors remain the primary therapeutic drug that can alleviate Alzheimer’s disease’s (AD) symptoms. Several Cassia species have been shown to exert significant anti-AChE activity, which can be an alternative remedy for AD. Cassia timoriensis and Cassia grandis are potential plants with [...] Read more.
Acetylcholinesterase (AChE) inhibitors remain the primary therapeutic drug that can alleviate Alzheimer’s disease’s (AD) symptoms. Several Cassia species have been shown to exert significant anti-AChE activity, which can be an alternative remedy for AD. Cassia timoriensis and Cassia grandis are potential plants with anti-AChE activity, but their phytochemical investigation is yet to be further conducted. The aims of this study were to identify the phytoconstituents of C. timoriensis and C. grandis and evaluate their inhibitory activity against AChE and butyrylcholinesterase (BChE). Two compounds were isolated for the first time from C. timoriensis: arachidyl arachidate (1) and luteolin (2). Five compounds were identified from C. grandis: β-sitosterol (3), stigmasterol (4), cinnamic acid (5), 4-hydroxycinnamic acid (6), and hydroxymethylfurfural (7). Compound 2 showed significant inhibition towards AChE (IC50: 20.47 ± 1.10 µM) and BChE (IC50: 46.15 ± 2.20 µM), followed by 5 (IC50: 40.5 ± 1.28 and 373.1 ± 16.4 µM) and 6 (IC50: 43.4 ± 0.61 and 409.17 ± 14.80 µM) against AChE and BChE, respectively. The other compounds exhibited poor to slightly moderate AChE inhibitory activity. Molecular docking revealed that 2 showed good binding affinity towards TcAChE (PDB ID: 1W6R) and HsBChE (PDB ID: 4BDS). It formed a hydrogen bond with TYR121 at the peripheral anionic site (PAS, 2.04 Å), along with hydrophobic interactions with the anionic site and PAS (TRP84 and TYR121, respectively). Additionally, 2 formed three H-bonds with the binding site residues: one bond with catalytic triad, HIS438 at distance 2.05 Å, and the other two H-bonds with GLY115 and GLU197 at distances of 2.74 Å and 2.19 Å, respectively. The evidence of molecular interactions of 2 may justify the relevance of C. timoriensis as a cholinesterase inhibitor, having more promising activity than C. grandis. Full article
Show Figures

Figure 1

14 pages, 2475 KB  
Article
Highly Luminescent Crystalline Sponge: Sensing Properties and Direct X-ray Visualization of the Substrates
by Pavel A. Demakov, Alexey A. Ryadun and Danil N. Dybtsev
Molecules 2022, 27(22), 8055; https://doi.org/10.3390/molecules27228055 - 19 Nov 2022
Cited by 12 | Viewed by 2990
Abstract
A phenomenon of crystalline sponge is represented by guest-dependent structural fluidity of the host polymeric lattice in highly crystalline sorbents, such as metal-organic frameworks, driven by multiple weak intermolecular interactions. Such induced fitting in MOFs is a valuable property in selective adsorption, guest [...] Read more.
A phenomenon of crystalline sponge is represented by guest-dependent structural fluidity of the host polymeric lattice in highly crystalline sorbents, such as metal-organic frameworks, driven by multiple weak intermolecular interactions. Such induced fitting in MOFs is a valuable property in selective adsorption, guest determination by single-crystal XRD and in-situ structural analysis under external stimuli. In this work, a porous three-dimensional metal-organic framework [Eu2(DMF)4(ttdc)3]·4.45DMF (1DMF; DMF = N,N-dimethylformamide, ttdc2– = trans-thienothiophenedicarboxylate anion) was applied as a crystalline sponge bearing luminescent functionality to couple its sensing properties with direct structural determination of the adsorbed molecules. As a result, the paper discusses crystal structures and luminescent properties for the successfully obtained new adducts with the crystallographic formulae [Eu2(DMSO)4(ttdc)3]·2.5DMSO·2.2H2O (1DMSO; DMSO = dimethylsulfoxide), [Eu2(DMF)4(ttdc)3]·3phet (1phet; phet = phenylethanal) and [Eu2(DMF)3.5(cin)0.5(ttdc)3]·1.64cin (1cin; cin = trans-cinnamaldehyde). As a result of inclusion of DMSO into 1, a slight increase in the quantum yield and excited state phosphorescence lifetime was observed, while the adsorption of phet leads to a considerable (up to three times) decrease in the corresponding values. The incorporation of cinnamal results in a full quenching of QY, from 20% down to zero, and a more than order of magnitude diminishing of the excited state lifetime compared to the initial 1DMF. The effective sensing of cinnamal was explained from the structural point of view by its direct coordination to the Eu3+ emitter, as well as by multiple weak intermolecular interactions with ttdc antenna ligand, both capable of enhancing the non-radiative energy dissipation. Full article
Show Figures

Figure 1

12 pages, 2119 KB  
Article
Antioxidant Properties of Ester Derivatives of Cinnamic and Hydroxycinnamic Acids in Nigella sativa and Extra-Virgin Olive Oils-Based Emulsions
by Diego Romano Perinelli, Elisabetta Torregiani, Giulia Bonacucina, Marco Cespi, Giovanni Filippo Palmieri and Rosita Gabbianelli
Antioxidants 2022, 11(2), 194; https://doi.org/10.3390/antiox11020194 - 20 Jan 2022
Cited by 10 | Viewed by 3573
Abstract
New hydrophobic derivatives of cinnamic and hydroxycinnamic (ferulic and cumaric) acids obtained by chemical esterification of the carboxylic group with C10 linear alcohol were studied to evaluate their antioxidant capacity toward the superoxide anion and hydrogen peroxide in physiological buffer and in extra-virgin [...] Read more.
New hydrophobic derivatives of cinnamic and hydroxycinnamic (ferulic and cumaric) acids obtained by chemical esterification of the carboxylic group with C10 linear alcohol were studied to evaluate their antioxidant capacity toward the superoxide anion and hydrogen peroxide in physiological buffer and in extra-virgin olive oil (EVO) or Nigella sativa oils. Results showed that cumaric and ferulic acids have higher antioxidants activity against superoxide anion and hydrogen peroxide than the other compounds. Cumaric acid and its C10-ester derivative were selected to be incorporated into EVO or Nigella sativa oil-based emulsions. The prepared emulsions had a comparable particle size distribution (in the range of 3–4 µm) and physical stability at least up to three months. Nigella sativa oil-based emulsions loaded with cumaric acid or its C10-ester showed a higher capacity to scavenger superoxide anion and hydrogen peroxide than EVO oil-based emulsions. In conclusion, cumaric acid or its C10-ester could promote the antioxidant properties of Nigella sativa oil when formulated as emulsions. Full article
Show Figures

Figure 1

20 pages, 2449 KB  
Article
Anti-Allergic, Anti-Inflammatory, and Anti-Hyperglycemic Activity of Chasmanthe aethiopica Leaf Extract and Its Profiling Using LC/MS and GLC/MS
by Iriny M. Ayoub, Michal Korinek, Mohamed El-Shazly, Bernhard Wetterauer, Hesham A. El-Beshbishy, Tsong-Long Hwang, Bing-Hung Chen, Fang-Rong Chang, Michael Wink, Abdel Nasser B. Singab and Fadia S. Youssef
Plants 2021, 10(6), 1118; https://doi.org/10.3390/plants10061118 - 31 May 2021
Cited by 49 | Viewed by 6157
Abstract
This study aims to comprehensively explore the phytoconstituents as well as investigate the different biological activities of Chasmanthe aethiopica (Iridaceae) for the first time. Metabolic profiling of the leaf methanol extract of C. aethiopica (CAL) was carried out using HPLC-PDA-ESI-MS/MS. Twenty-nine compounds were [...] Read more.
This study aims to comprehensively explore the phytoconstituents as well as investigate the different biological activities of Chasmanthe aethiopica (Iridaceae) for the first time. Metabolic profiling of the leaf methanol extract of C. aethiopica (CAL) was carried out using HPLC-PDA-ESI-MS/MS. Twenty-nine compounds were annotated belonging to various phytochemical classes including organic acids, cinnamic acid derivatives, flavonoids, isoflavonoids, and fatty acids. Myricetin-3-O-rhamnoside was the major compound identified. GLC/MS analysis of the n-hexane fraction (CAL-A) resulted in the identification of 45 compounds with palmitic acid (16.08%) and methyl hexadecanoic acid ester (11.91%) representing the major constituents. CAL-A exhibited a potent anti-allergic activity as evidenced by its potent inhibition of β-hexosaminidase release triggered by A23187 and IgE by 72.7% and 48.7%, respectively. Results were comparable to that of dexamethasone (10 nM) in the A23187 degranulation assay showing 80.7% inhibition for β-hexosaminidase release. Both the n-hexane (CAL-A) and dichloromethane (CAL-B) fractions exhibited potent anti-inflammatory activity manifested by the significant inhibition of superoxide anion generation and prohibition of elastase release. CAL showed anti-hyperglycemic activity in vivo using streptozotocin-induced diabetic rat model by reducing fasting blood glucose levels (FBG) by 53.44% as compared with STZ-treated rats along with a substantial increase in serum insulin by 22.22%. Molecular modeling studies indicated that dicaffeoylquinic acid showed the highest fitting with free binding energies (∆G) of −47.24 and −60.50 Kcal/mol for human α-amylase and α-glucosidase, respectively confirming its anti-hyperglycemic activity. Thus, C. aethiopica leaf extract could serve as an effective antioxidant natural remedy combating inflammation, allergy, and hyperglycemia. Full article
(This article belongs to the Special Issue Biological Activities of Plant Extracts)
Show Figures

Figure 1

15 pages, 963 KB  
Article
Multi-Target Cinnamic Acids for Oxidative Stress and Inflammation: Design, Synthesis, Biological Evaluation and Modeling Studies
by Eleni Pontiki and Dimitra Hadjipavlou-Litina
Molecules 2019, 24(1), 12; https://doi.org/10.3390/molecules24010012 - 20 Dec 2018
Cited by 49 | Viewed by 5968
Abstract
Inflammation is a complex phenomenon that results as a healing response of organisms to different factors, exerting immune signaling, excessive free radical activity and tissue destruction. Lipoxygenases and their metabolites e.g., LTB4, are associated with allergy, cell differentiation and carcinogenesis. Lipoxygenase [...] Read more.
Inflammation is a complex phenomenon that results as a healing response of organisms to different factors, exerting immune signaling, excessive free radical activity and tissue destruction. Lipoxygenases and their metabolites e.g., LTB4, are associated with allergy, cell differentiation and carcinogenesis. Lipoxygenase 12/15 has been characterized as a mucosal-specific inhibitor of IgA and a contributor to the development of allergic sensitization and airway inflammation. Development of drugs that interfere with the formation or effects of these metabolites would be important for the treatment of various diseases like asthma, psoriasis, ulcerative colitis, rheumatoid arthritis, atherosclerosis, cancer and blood vessel disorders. In this study we extended our previous research synthesizing a series of multi-target cinnamic acids from the corresponding aldehydes with suitable 4-OH/Br substituted phenyl acetic acid by Knoevenagel condensation. The final products 1i, 3i, 3ii, 4i, 6i, 6ii, and 7i were obtained in high yields (52–98%) Their structures were verified spectrometrically, while their experimentally lipophilicity was determined as RM values. The novel derivatives were evaluated for their antioxidant activity using DPPH, hydroxyl radical, superoxide anion and ABTS+•, anti-lipid peroxidation and soybean lipoxygenase inhibition assays. The compounds presented medium interaction with DPPH (30–48% at 100 µM). In contrast all the synthesized derivatives strongly scavenge OH radicals (72–100% at 100 µM), ABTS+• (24–83% at 100 µM) and presented remarkable inhibition (87–100% at 100 µM) in linoleic acid peroxidation (AAPH). The topological polar surface of the compounds seems to govern the superoxide anion scavenging activity. Molecular docking studies were carried out on cinnamic acid derivative 3i and found to be in accordance with experimental biological results. All acids presented interesting lipoxygenase inhibition (IC50 = 7.4–100 µM) with compound 3i being the most potent LOX inhibitor with IC50 = 7.4 µM combining antioxidant activities. The antioxidant results support the LOX inhibitory activities. The recorded in vitro results highlight compound 3i as a lead compound for the design of new potent lipoxygenase inhibitors for the treatment of asthma, psoriasis, ulcerative colitis, rheumatoid arthritis, atherosclerosis, cancer and blood vessel disorders. Full article
(This article belongs to the Special Issue Anti-Inflammatory and Anti-Allergy Agents in Medicinal Chemistry-II)
Show Figures

Graphical abstract

Back to TopTop