Sign in to use this feature.

Years

Between: -

Subjects

remove_circle_outline
remove_circle_outline
remove_circle_outline
remove_circle_outline
remove_circle_outline
remove_circle_outline
remove_circle_outline
remove_circle_outline
remove_circle_outline

Journals

remove_circle_outline
remove_circle_outline
remove_circle_outline
remove_circle_outline
remove_circle_outline
remove_circle_outline
remove_circle_outline
remove_circle_outline
remove_circle_outline
remove_circle_outline

Article Types

Countries / Regions

remove_circle_outline
remove_circle_outline
remove_circle_outline
remove_circle_outline
remove_circle_outline

Search Results (278)

Search Parameters:
Keywords = chromatic properties

Order results
Result details
Results per page
Select all
Export citation of selected articles as:
22 pages, 6219 KB  
Article
Luminescence Features of Eu2O3-Doped Antimony Borate Glasses with High Quantum Efficiency
by Hadjer Youcef, Mohamed Toufik Soltani and Dominique de Ligny
Ceramics 2026, 9(2), 12; https://doi.org/10.3390/ceramics9020012 - 23 Jan 2026
Viewed by 197
Abstract
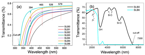
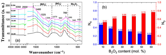
Boro-antimonite glasses doped with Eu3+ and having the general composition (90-x) Sb2O3–xB2O3–10Li2O-0.5Eu2O3 (x = 0 to 60 in 10 mol. % increment) were prepared using the melt quenching method. [...] Read more.
Boro-antimonite glasses doped with Eu3+ and having the general composition (90-x) Sb2O3–xB2O3–10Li2O-0.5Eu2O3 (x = 0 to 60 in 10 mol. % increment) were prepared using the melt quenching method. The influence of B2O3/Sb2O3 substitution on the spectroscopy and photoluminescence of Eu3+ ions was analyzed by studying the measured and calculated properties of these glasses. The relative value of a given property was shown to increase or decrease by up to 26% with the addition of up to 60 mol. % B2O3, while the number of Eu3+ ions per unit volume increased by approximately 32%. Strong emissions were obtained in association with the transitions of Eu3+ (5D07Fj, j = 1–4). A weak, broad emission centered at 450 nm was also detected. This emission is clearly linked to the glass composition. It originates from a potential presence of Eu2+ ions. This enhances 5D0 level emission via charge transfer. The radiative and experimental lifetimes of the 5D0 level increase linearly with B2O3 content. This results in high quantum efficiency (η) ranging from 74 to nearly 84%. Tunable chromaticity, as defined by the CIE 1931 standard, was achieved, resulting in a warm orange-red color with high brightness. These new glasses have a variety of potential laser-related applications. Full article
(This article belongs to the Special Issue Preparation and Application of Transparent Ceramics)
Show Figures

Figure 1

22 pages, 1962 KB  
Article
From Vine to Sparkle: An Analytical and Sensory Evaluation of Sparkling Wines from Some Romanian Native Grapes
by Dragoș-Florin Popa-Grosaru, Bettina-Cristina Buican, Camelia Elena Luchian, Lucia Cintia Colibaba, Elena Cristina Scutarașu, Marius Niculaua, Constantin Bogdan Nechita, George Ștefan Coman, Elena Cornelia Focea, Tiberiu Andrieș, Diana Ionela Popescu (Stegarus) and Valeriu V. Cotea
Foods 2026, 15(2), 353; https://doi.org/10.3390/foods15020353 - 18 Jan 2026
Viewed by 299
Abstract
The increasing global demand for sparkling wines has encouraged the exploration of alternative grape varieties and emerging production regions. This study evaluated the potential of three indigenous Romanian grape varieties (Fetească regală, Tămâioasă românească, and Fetească albă) for sparkling wine production using the [...] Read more.
The increasing global demand for sparkling wines has encouraged the exploration of alternative grape varieties and emerging production regions. This study evaluated the potential of three indigenous Romanian grape varieties (Fetească regală, Tămâioasă românească, and Fetească albă) for sparkling wine production using the méthode champenoise, with grapes sourced from the ullu Mare region. The wines were characterized at two aging intervals (9 and 36 months on lees), with analyses performed on both disgorged and undisgorged samples to assess changes in physicochemical parameters, color attributes, volatile composition, and sensory properties. All varieties exhibited relatively high acidity (6.12–6.53 g/L), particularly Fetească regală (6.37–6.53 g/L), supporting their suitability for sparkling wine production. Extended lees aging enhanced the development of complex tertiary and quaternary aromas while preserving intrinsic floral and fruity attributes. Volatile analysis revealed aging-related increases in higher alcohols and medium-chain fatty acids, with 1-pentanol reaching 106.8 mg L−1 and octanoic acid increasing from approximately 4.2 to 7.9 mg L−1 after 36 months. Principal component analysis explained over 70% of the total variance, discriminating wines according to grape variety and maturation time. This study aimed to provide a detailed characterization of these sparkling wines, integrating physicochemical, chromatic, volatile, and sensorial analyses to evaluate their quality and enological potential. Full article
(This article belongs to the Special Issue Wine and Alcohol Products: Volatile Compounds and Sensory Properties)
Show Figures

Figure 1

16 pages, 2725 KB  
Article
Comparative Analysis of Freeze–Thaw Effects on the Parallel-to-Grain Compressive Properties of Bamboo and Chinese Fir
by Kang Zhao and Yang Wei
Buildings 2026, 16(2), 291; https://doi.org/10.3390/buildings16020291 - 9 Jan 2026
Viewed by 226
Abstract
To evaluate the application potential of bamboo in cold regions, this study systematically compared the differences in the effects of freeze–thaw cycles on the longitudinal compressive properties of moso bamboo (Phyllostachys edulis) and Chinese fir (Cunninghamia lanceolata). By subjecting [...] Read more.
To evaluate the application potential of bamboo in cold regions, this study systematically compared the differences in the effects of freeze–thaw cycles on the longitudinal compressive properties of moso bamboo (Phyllostachys edulis) and Chinese fir (Cunninghamia lanceolata). By subjecting the materials to 0, 5, and 10 standard freeze–thaw cycles, the evolution patterns were analyzed from three aspects: mechanical properties, failure modes, and apparent color. The results show that bamboo exhibits significantly superior freeze–thaw resistance: after 10 cycles, bamboo retained 95.4% of its compressive strength (decreasing from 50.2 MPa to 47.9 MPa), whereas the strength of Chinese fir decreased by 14.2% (from 46.7 MPa to 40.0 MPa). The elastic modulus of bamboo remained stable, while that of Chinese fir decreased by 30.86%. Load–displacement curves revealed that bamboo displayed a ductile plateau after failure, whereas Chinese fir exhibited a linear drop-off. Analysis of failure modes further highlighted the intrinsic differences between the materials: bamboo primarily underwent progressive buckling of fiber bundles, forming typical accordion-like folds; Chinese fir mainly showed brittle failures such as end crushing and longitudinal splitting. Color characterization indicated that the lightness index L of the bamboo outer skin (bamboo green) decreased by 26.1%, while the chromaticity indices a (red) and b* (yellow) increased significantly, showing the most notable changes; the color of Chinese fir and the bamboo inner skin (bamboo yellow) remained relatively stable. This study demonstrates that natural bamboo outperforms Chinese fir in terms of frost resistance, toughness, and strength retention in the short term. The findings provide important experimental evidence and design references for promoting the application of bamboo in engineering projects in cold regions. Full article
Show Figures

Figure 1

30 pages, 482 KB  
Article
Chromatic Asymmetry in Visual Attention: Dissociable Effects of Background Color on Capture and Processing During Reading—An Eye-Tracking Study
by Ana Teixeira, Pedro Martins, Sónia Brito-Costa and Maryam Abbasi
Symmetry 2026, 18(1), 76; https://doi.org/10.3390/sym18010076 - 2 Jan 2026
Viewed by 269
Abstract
Visual attention mechanisms are modulated by chromatic properties of the environment, with significant implications for human–computer interaction, interface design, and cognitive ergonomics. Despite extensive research on color perception, a critical gap remains in understanding how background colors differentially affect initial attentional capture versus [...] Read more.
Visual attention mechanisms are modulated by chromatic properties of the environment, with significant implications for human–computer interaction, interface design, and cognitive ergonomics. Despite extensive research on color perception, a critical gap remains in understanding how background colors differentially affect initial attentional capture versus sustained processing efficiency during text reading. This study investigates how seven different background colors (yellow, orange, red, green, blue, purple, and black) influence visual attention and cognitive load during standardized reading tasks with white text, revealing a fundamental asymmetry in chromatic processing stages. Using high-frequency eye-tracking at 120 Hz with 30 participants in a within-subjects design, we measured time-to-first fixation, total viewing duration, fixation count, and revisitation frequency across chromatic conditions. Non-parametric statistical analyses (Friedman test for omnibus comparisons, Wilcoxon signed-rank test for pairwise comparisons) revealed a systematic dissociation between preattentive capture and sustained processing. Yellow backgrounds enabled the fastest initial attentional capture (0.65 s), while black backgrounds produced the slowest detection (1.75 s). However, this pattern reversed during sustained processing: black backgrounds enabled the shortest total viewing time (0.88 s) through efficient information sampling (median 5.0 fixations), while yellow required the longest viewing duration (1.75 s) with fewer fixations (median 3.0). Statistical comparisons confirmed significant differences across conditions (Friedman test: χ2(6)=138.4154.2, all p<0.001; pairwise comparisons with Bonferroni correction: α=0.0024). We note that luminance and chromatic contrast were not independently controlled, as colors inherently vary in both dimensions in realistic interface design. Consequently, the observed effects reflect the combined influence of hue, saturation, and luminance contrast as they naturally co-occur. These findings reveal a descriptive pattern consistent with functionally distinct mechanisms, where chromatic salience appears to facilitate preattentive capture while luminance contrast appears to determine sustained processing efficiency, with optimal colors for one stage being suboptimal for the other under the present experimental conditions. This observed chromatic asymmetry suggests potential implications for interface design: warm colors like yellow may optimize rapid attention capture for alerts and warnings, while high-contrast combinations like white-on-black may optimize sustained reading efficiency, though these preliminary patterns require validation across diverse contexts. Green and purple backgrounds offer balanced performance across both processing stages, representing near-symmetric solutions suitable for mixed-task interfaces. Given the controlled laboratory setting, university student sample, and 15 s exposure duration, design recommendations should be considered preliminary and validated in diverse real-world contexts. Full article
Show Figures

Figure 1

22 pages, 3085 KB  
Article
Hexavalent Chromium Oropharyngeal Aspiration Induced Behavior Effects and Essential Metal Dyshomeostasis in Young Hartley Guinea Pigs
by Samuel T. Vielee, Idoia Meaza, William J. Buchanan, Spencer H. Roof, Haiyan Lu, Sandra S. Diven, Luping Guo, Jack Easley, J. Calvin Kouokam, Jamie Lynn Wise, Aggie R. Brownell, John Pierce Wise and John P. Wise
Appl. Sci. 2026, 16(1), 59; https://doi.org/10.3390/app16010059 - 20 Dec 2025
Viewed by 385
Abstract
Hexavalent chromium [Cr(VI)] is the toxic form of chromium often used in industry for its hardness, bright colors, and anticorrosive properties. Cr(VI) is a known human lung carcinogen, making its inhalation an occupational hazard. Growing evidence emphasizes the neurotoxic potential of Cr(VI), though [...] Read more.
Hexavalent chromium [Cr(VI)] is the toxic form of chromium often used in industry for its hardness, bright colors, and anticorrosive properties. Cr(VI) is a known human lung carcinogen, making its inhalation an occupational hazard. Growing evidence emphasizes the neurotoxic potential of Cr(VI), though it is not linked to brain cancers. Few studies consider neurotoxicity in chromate workers, reporting impaired olfactory discrimination and an increased risk of death from mental health disorders. A major factor limiting translation of most rodent Cr(VI) studies to human populations has to do with vitamin C, which can reduce the toxic Cr(VI) to non-toxic Cr(III). Rats and mice synthesize vitamin C and are likely more resistant to Cr(VI) than humans. Here, we considered Cr(VI) neurotoxicity in guinea pigs (Cavia porcellus), which do not endogenously synthesize vitamin C. We exposed Hartley guinea pigs (both sexes) to occupationally relevant concentrations of Cr(VI) via oropharyngeal aspiration weekly for 90 days. We observed behavioral effects in the open field assay, elevated plus maze, Y-maze, and novel object recognition test during weeks 9–12 of exposure. After euthanasia, we assessed Cr accumulation and essential metal dyshomeostasis in the hippocampus. We observed significantly increased hippocampal Cr accumulation in females, while males exhibited essential metal dyshomeostasis. Full article
(This article belongs to the Special Issue Exposure Pathways and Health Implications of Environmental Chemicals)
Show Figures

Figure 1

23 pages, 3324 KB  
Article
Residual Utilization of Crab Solid Parts for Powder Production and Application as a Structural Component in the Polymeric Matrix of Biodegradable Films
by Fábio G. Teles, Railene H. C. R. Araújo, Aline D. B. Arriel, Valdilene M. C. Soares, Adriano S. Silva, Kalinny A. Alves, Maria A. S. Morais, Patrícia L. D. Morais, Nayara S. Rocha, Antonio G. B. Lima and João M. P. Q. Delgado
Polymers 2025, 17(24), 3334; https://doi.org/10.3390/polym17243334 - 17 Dec 2025
Viewed by 442
Abstract
Natural fillers have been widely explored to enhance the mechanical and barrier properties of biodegradable films. In this study, a mineral-rich powder obtained from the solid components of Ucides cordatus crab shells was processed (washing, drying, milling, and sieving at 75 µm) and [...] Read more.
Natural fillers have been widely explored to enhance the mechanical and barrier properties of biodegradable films. In this study, a mineral-rich powder obtained from the solid components of Ucides cordatus crab shells was processed (washing, drying, milling, and sieving at 75 µm) and extensively characterized using SEM, FTIR XRD, EDX, mineral analysis, hygroscopicity, density, and particle size distribution. The powder exhibited heterogeneous morphology and contained 22.52 g·kg−1 of calcium carbonate, along with other trace minerals; its crystalline profile indicated the presence of both calcite and aragonite. Low hygroscopicity (1.76%) and a true density of 2.11 g/cm3 were also observed. When incorporated into pectin-based films at 1–5%, the filler promoted a reduction in film thickness, indicating enhanced structural compaction. Solubility increased linearly with filler content, whereas water vapor permeability (WVP) decreased at 1% and 2% but rose again at 4% and 5%, correlating positively with solubility (r = 0.895). Films containing 4% and 5% exhibited higher tensile strength and elastic modulus, confirming increased rigidity. At elevated concentrations, the films also became less luminous and more chromatic. Overall, the findings demonstrate that crab-shell mineral powder is a viable and sustainable reinforcement capable of tailoring the structural, mechanical, and barrier performance of biodegradable films. Full article
Show Figures

Graphical abstract

22 pages, 17368 KB  
Article
Linking Grape Cell Wall Composition and Phenolic Release to Wine Quality: Effects of Methyl Jasmonate-Loaded Chitosan Nanoparticles in Monastrell
by Rocío Gil-Muñoz, Juan Daniel Moreno-Olivares, María José Giménez-Bañón, José Julián Pérez-Cuadrado, María Quílez-Simón, Eva Pilar Pérez-Álvarez, Teresa Garde-Cerdán, Luis Javier Pérez-Prieto and Antonio Abel Lozano-Pérez
Plants 2025, 14(24), 3817; https://doi.org/10.3390/plants14243817 - 15 Dec 2025
Viewed by 377
Abstract
This study explored the effects of three elicitor treatments—methyl jasmonate (MeJ), chitosan nanoparticles (ChNPs), and their combination (MeJ-ChNPs)—on cell wall characteristics in Monastrell grapes during the 2024 vintage. The central aim was to determine whether incorporating MeJ into chitosan nanoparticles could reduce its [...] Read more.
This study explored the effects of three elicitor treatments—methyl jasmonate (MeJ), chitosan nanoparticles (ChNPs), and their combination (MeJ-ChNPs)—on cell wall characteristics in Monastrell grapes during the 2024 vintage. The central aim was to determine whether incorporating MeJ into chitosan nanoparticles could reduce its volatility, enhance its stability, and ultimately strengthen its elicitation effect when applied in vineyards. By applying these formulations, particularly the MeJ-ChNPs complex, the research sought to understand how grape maturation, cell wall morphology, and phenolic composition could be altered, and how these changes might translate into differences in wine quality. The implementation of these MeJ formulations, and particularly MeJ-ChNPs, resulted in delayed grape maturation and pronounced changes in cell wall morphology, including increased thickness and altered phenolic composition. Grapes treated with MeJ-ChNPs showed enhanced anthocyanin biosynthesis and distinct colour properties compared to untreated controls. The findings revealed that MeJ-ChNPs delayed grape ripening and induced notable modifications in cell wall structure, including increased thickness and shifts in phenolic composition. These structural changes influenced the extractability of phenolic compounds and shaped the chromatic attributes of the resulting wines. Multivariate analyses, including principal component and correlation analyses, highlighted clear differences amongst treatment groups, emphasising the effectiveness of nanoparticle-based elicitors in changing grape skin morphology and composition and improving wine quality. Full article
Show Figures

Figure 1

25 pages, 4285 KB  
Review
Basic Optics Underlying Current Intraocular Lenses
by Yengwoo Son, Seung Pil Bang and Choul Yong Park
J. Clin. Med. 2025, 14(23), 8608; https://doi.org/10.3390/jcm14238608 - 4 Dec 2025
Viewed by 909
Abstract
As surgeries using multifocal intraocular lenses (IOLs) to correct both cataracts and presbyopia have become common, it has become essential for clinicians to understand their basic optical characteristics to select the optimal lens for their patients. However, there are relatively few review articles [...] Read more.
As surgeries using multifocal intraocular lenses (IOLs) to correct both cataracts and presbyopia have become common, it has become essential for clinicians to understand their basic optical characteristics to select the optimal lens for their patients. However, there are relatively few review articles on optics that are directly useful to clinicians who perform surgery on patients. In this paper, we systematically review fundamental concepts, from the basic properties of light, geometric optics, and Gaussian approximation to lens performance metrics like the point spread function and modulation transfer function (MTF), and the clinical implications of spherical and chromatic aberrations. Based on these principles, the mechanisms of major multifocal technologies are explained. We also explore the refractive extended depth of focus lenses, which expand the range of focus by precisely controlling higher-order spherical aberrations. In contrast, diffractive lenses use diffractive kinoforms to split light into multiple foci, and they may also leverage higher diffraction orders to correct chromatic aberration. However, this multifocality involves an optical compromise, often resulting in a reduced overall MTF compared to monofocal IOLs and photic phenomena such as glare and halo. In conclusion, while multifocal IOLs are groundbreaking technology that significantly enhances quality of life by reducing spectacle dependence, this comes at the cost of sacrificing optimal image quality. Therefore, a thorough understanding of these optical principles by ophthalmologists is crucial for selecting the optimal lens according to each patient’s ocular condition and for managing postoperative outcomes. Full article
Show Figures

Figure 1

16 pages, 5218 KB  
Article
Proposal for Zeolite Waste from Fluid Catalytic Cracking as a Pozzolanic Addition for Earth Mortars: Initial Characterisation
by María Barros Magdalena, Lidia García-Soriano, Alicia Hueto-Escobar, Camilla Mileto and Fernando Vegas
Coatings 2025, 15(12), 1408; https://doi.org/10.3390/coatings15121408 - 2 Dec 2025
Cited by 1 | Viewed by 423
Abstract
This article presents the programme for the characterisation of earth mortars stabilised with experimental pozzolanic material from fluid catalytic cracking (FCC). This study aims to establish the optimal ratio for adding pozzolan to stabilise earth mortars. Ash may be used in conservation processes, [...] Read more.
This article presents the programme for the characterisation of earth mortars stabilised with experimental pozzolanic material from fluid catalytic cracking (FCC). This study aims to establish the optimal ratio for adding pozzolan to stabilise earth mortars. Ash may be used in conservation processes, as it presents suitable pozzolanic properties. Based on the starting premise that its application does not cause chromatic variations in the final mortar and displays resistance to damage from chlorides and extreme temperatures, it can be considered ideal for this purpose. The process of transformation into ash is linked to the production of naphthas and refined petroleum products, where the mineral is a catalyst for the reaction. With use, the mineral tends to shrink, losing the necessary properties for this process. Over the last decade, this process, which is widely used in the petrochemical industry, has generated a volume of waste of up to 3000 tons per day. The amount of waste generated is of interest for its reuse, and a rise is observed in preliminary studies, which confirm that this material is pozzolanic and non-toxic. This offers the possibility of studying this addition to stabilise materials and constructions manufactured with earth. Full article
Show Figures

Figure 1

22 pages, 4045 KB  
Article
Features of Synthesis, Crystal Structure, Thermal and Electrical Properties, XPS/NEXAFS Study of Pyrochlore-Type Bi2Cr0.5Co0.5Nb2O9+Δ
by Nadezhda A. Zhuk, Nikolay A. Sekushin, Maria G. Krzhizhanovskaya, Vladislav V. Kharton, Danil V. Sivkov and Sergey V. Nekipelov
Chemistry 2025, 7(6), 185; https://doi.org/10.3390/chemistry7060185 - 24 Nov 2025
Viewed by 584
Abstract
The phase-pure cubic pyrochlore of the Bi2Cr0.5Co0.5Nb2O9+Δ composition can be successfully synthesized by a modified sol–gel method (Pecini method-PM) and a traditional solid-phase method (SPM). A feature of the solid-phase synthesis method is the [...] Read more.
The phase-pure cubic pyrochlore of the Bi2Cr0.5Co0.5Nb2O9+Δ composition can be successfully synthesized by a modified sol–gel method (Pecini method-PM) and a traditional solid-phase method (SPM). A feature of the solid-phase synthesis method is the formation of bismuth(VI) chromates as intermediate synthesis products, which is confirmed by X-ray spectroscopy data (NEXAFS). During the sol–gel synthesis method, bismuth chromates are not formed due to the formation of the Bi28O32(SO4)10 salt, which is thermally stable up to 880 °C, preventing the interaction of bismuth(III) and chromium(III) oxides. The temperature of the final pyrochlore calcination during sol–gel synthesis is reduced by 100 °C (950 °C) compared to the solid-phase method. The crystal structure of pyrochlore (sp. gr. Fd-3m, PM, a = 10.49360(5) Å, Z = 4) was refined by the Rietveld method based on X-ray powder diffraction (XRD) data. NEXAFS Cr2p and Co2p spectra of ceramics synthesized at 1050 °C correspond to the charge states of Cr(III), Co(II) and Co(III) ions. The thermal expansion coefficient of the cell was calculated from high-temperature X-ray diffraction measurements in the range of 20–1200 °C. The thermal expansion coefficient (TEC) monotonically increases from 3.92 × 10−6 °C−1 (20 °C) to 9.89 × 10−6 °C−1 (1020 °C). Above 1110 °C, TEC decreases due to thermal dissociation of Bi2Cr0.5Co0.5Nb2O9+Δ with the formation of CoNb2O6, Bi2O3. The mixed pyrochlore (PM) exhibits a moderately high permittivity of ∼97, and low dielectric losses of ∼2 × 10−3 at 1 MHz and ∼30 °C. The activation energy of conductivity of the high-temperature region is 0.89 eV. The electrical properties of pyrochlore were synthesized by the ceramic (SPM) and Pechini methods (PM) were analyzed. The electrical properties of the samples up to 400 °C were modeled using equivalent electrical circuits Full article
Show Figures

Figure 1

38 pages, 9944 KB  
Article
Evaluation of Plant-Based Milks in Vegan Muffins: Functional, Structural, Rheological and Nutritional Characterization
by Kübra Topaloğlu Günan and Perihan Yolci Ömeroğlu
Foods 2025, 14(23), 3989; https://doi.org/10.3390/foods14233989 - 21 Nov 2025
Cited by 1 | Viewed by 1210
Abstract
As the demand for dairy-free bakery products increases, identifying plant-based milk alternatives that sustain product quality is essential. This study investigated the effects of eight milk types—soy, hazelnut, walnut, quinoa, flaxseed, coconut, oat, and almond—on the functional, nutritional, and sensory properties of muffins. [...] Read more.
As the demand for dairy-free bakery products increases, identifying plant-based milk alternatives that sustain product quality is essential. This study investigated the effects of eight milk types—soy, hazelnut, walnut, quinoa, flaxseed, coconut, oat, and almond—on the functional, nutritional, and sensory properties of muffins. A control prepared with cow’s milk served as reference. Rheological results showed that quinoa- and flaxseed-based batters exhibited stronger viscoelastic behavior, whereas oat and coconut milks reduced consistency. Physical parameters such as baking loss, volume index, and symmetry revealed no significant structural differences (p > 0.05), confirming that milk substitution did not affect baking performance. Color analysis indicated distinct chromatic variations, particularly in almond and coconut muffins with higher color difference (ΔE) and hue values. Phenolic and antioxidant assays demonstrated enhanced total phenolic content and Cupric ion reducing antioxidant capacity (CUPRAC) activity in quinoa and coconut variants. CUPRAC activity reached 0.89 micromoles Trolox equivalents per gram (µmol TE/g) in almond and 0.63 µmol TE/g in control muffins, whereas oat and hazelnut muffins exhibited the lowest activities, with 0.37 and 0.44 µmol TE/g, respectively. Amino acid profiling showed elevated glutamic acid and arginine in walnut, nearly doubling the control. Sensory scores (≥5) indicated high acceptability, confirming that selected plant-based milks can replace cow’s milk while enhancing functional and bioactive quality. Full article
(This article belongs to the Special Issue Plant-Based Diet: Health Effects and Nutritional Perspectives)
Show Figures

Graphical abstract

38 pages, 12996 KB  
Article
Street and Urban Muralism in Public Art: Conservation Between Evolution and Research in the Methods of the Istituto Centrale per Il Restauro
by Paola Mezzadri, Sara De Angelis, Rebecca Picca Orlandi, Michela Renna and Giancarlo Sidoti
Heritage 2025, 8(11), 483; https://doi.org/10.3390/heritage8110483 - 17 Nov 2025
Viewed by 1266
Abstract
This paper presents an overview of a research line developed at the Istituto Centrale per il Restauro within the CHANGES (Cultural Heritage Active Innovation for Next-Gen Sustainable Society) project, funded under the Italian National Recovery and Resilience Plan. The research was developed in [...] Read more.
This paper presents an overview of a research line developed at the Istituto Centrale per il Restauro within the CHANGES (Cultural Heritage Active Innovation for Next-Gen Sustainable Society) project, funded under the Italian National Recovery and Resilience Plan. The research was developed in different phases: a first one dedicated to the study of the deep background and the state of the art in the ICR background: history, methodologies and research in the field; a second phase was dedicated to the selection of a specific urban art mural, as a key study with conservation problems connected to some of the principal preservation treatments related to the outdoor context; the mural was also identified as a beloved icon in the public space with a profound socio-cultural meaning for the community. Nido di Vespe, created in 2014 by the artist Lucamaleonte is part of a broader artistic project called M.U.Ro-Museum of Urban Art of Rome, an open-air public art museum located in the Quadraro district in Rome, designed by the artist Diavù. A third phase focused on the research in ICR laboratories, specifically addressing: cleaning, reintegration, and protection strategies adapted to dynamic outdoor environments. A multi-step cleaning system based on polyvinyl alcohol-borax semi-interpenetrated hydrogels loaded with nanostructured fluids was developed to selectively remove spray-paint vandalism while preserving the chemically similar original pictorial layers. The reintegration phase investigated acrylic and urea-aldehyde resins as binders to produce compatible, reversible, and UV-traceable retouching and infilling materials. For surface protection, multilayer coating systems incorporating nanoparticles with antimicrobial, photocatalytic, and UV-stabilizing properties were formulated to enhance durability and chromatic stability. Laboratory tests on mock-ups simulating typical street and urban art materials and morphologies showed satisfactory results, while diagnostic investigations on Nido di Vespe provided the reference data to calibrate the experiments with real mural conditions. Cleaning tests demonstrated promising removal efficiency, influenced by the chemical composition, thickness of the overpainted layers, and surface roughness. The reintegration system met the expected performance requirements, as the tested binders provided good results and allowed the development of compatible, reversible, and distinguishable solutions. Protective coatings showed good results in terms of chromatic stability and surface integrity; however, the long-term behavior of both reintegration, cleaning, and protection systems requires further evaluation. The results achieved so far support the development of sustainable and flexible conservation strategies for the conservation of contemporary street and urban murals and will guide the future application of the selected materials and methodologies in pilot conservation interventions on the mural chosen as a meaningful case study within the broader research. Full article
(This article belongs to the Special Issue History, Conservation and Restoration of Cultural Heritage)
Show Figures

Figure 1

12 pages, 3047 KB  
Article
Study on Combination Mechanism of Pretreatment Layer in Pre-Coated Metal Sheets
by Changwen Liu, Jinwen Ye, Li Liao and Xueqiang Dong
Metals 2025, 15(11), 1245; https://doi.org/10.3390/met15111245 - 13 Nov 2025
Viewed by 400
Abstract
Pre-coated metal sheets (PCM), as a popular product in modern coating industries, offer significant advantages such as simple processing, lightweight properties, and excellent manufacturability. The pretreatment layer within its coating system has a significant impact on overall corrosion resistance. In this study, through [...] Read more.
Pre-coated metal sheets (PCM), as a popular product in modern coating industries, offer significant advantages such as simple processing, lightweight properties, and excellent manufacturability. The pretreatment layer within its coating system has a significant impact on overall corrosion resistance. In this study, through a comparative analysis of two chromate-free pretreatment systems, we conducted a thorough investigation into the combination of the pretreatment layer and examined the impact on the corrosion performance of pre-coated metal sheets. It was found that the phytic acid-based pretreatment layer enhances the adhesion between the primer and the substrate by forming strong chemical bonds with the primer layer, which effectively inhibits the lateral diffusion of corrosive media to the metal surface. Consequently, pre-coated metal sheets with the phytic acid-based pretreatment exhibit superior anti-foaming performance compared to the system using the silane-based pretreatment layer. This provides a new insight into the design and development of Cr-free pretreatment systems with better corrosion resistance performance. Full article
Show Figures

Figure 1

29 pages, 10424 KB  
Article
Fuzzy Edge Chromatic Number of the Join of Fuzzy Graphs and Its Applications
by Jing Qu, Qian Wang and Angmo Deji
Axioms 2025, 14(11), 822; https://doi.org/10.3390/axioms14110822 - 6 Nov 2025
Viewed by 400
Abstract
Fuzzy edge coloring has proven to be a powerful tool for modeling and optimizing complex network systems, owing to its ability to effectively represent and manage the uncertainty in relational strengths and conflicts. It focuses on defining the fuzzy edge chromatic number, optimizing [...] Read more.
Fuzzy edge coloring has proven to be a powerful tool for modeling and optimizing complex network systems, owing to its ability to effectively represent and manage the uncertainty in relational strengths and conflicts. It focuses on defining the fuzzy edge chromatic number, optimizing its computation, and exploring practical applications. For join graphs derived from fuzzy graphs, we propose an efficient fuzzy edge coloring algorithm and analyze the associated properties. Building on this, fuzzy edge coloring offers effective strategies for software promotion and traffic signal optimization. This work addresses fundamental theoretical challenges related to algorithm design, complexity analysis, and structural properties in fuzzy graph edge coloring, while also demonstrating its practical utility in complex scenarios such as software promotion and traffic signal optimization. Full article
Show Figures

Figure 1

15 pages, 4087 KB  
Article
Influence of Laser Processing Parameters on Surface Roughness and Color Formation in the Marked Zone
by Lyubomir Lazov, Nikolay Angelov, Emil Yankov, Tsanko Karadzhov, Dimcho Pulov and Dimitar Dichev
Materials 2025, 18(21), 5037; https://doi.org/10.3390/ma18215037 - 5 Nov 2025
Viewed by 591
Abstract
This study investigates the influence of laser processing parameters on the surface roughness and color formation of AISI 304 stainless steel. Experiments were conducted to explore how raster step, scanning speed, frequency, linear energy density, and overlap coefficient affect the surface characteristics of [...] Read more.
This study investigates the influence of laser processing parameters on the surface roughness and color formation of AISI 304 stainless steel. Experiments were conducted to explore how raster step, scanning speed, frequency, linear energy density, and overlap coefficient affect the surface characteristics of laser-marked zones. It was found that increasing the raster step from 20 µm to 80 µm led to a consistent increase in surface roughness (from 1.23 µm to 1.47 µm at 20 kHz and 25 mm/s), accompanied by a shift in color from dark brown to lighter yellow hues. In contrast, increasing scanning speed (from 25 mm/s to 125 mm/s) caused a nonlinear reduction in roughness (e.g., from 1.23 µm to 0.76 µm at 20 kHz and Δx = 20 µm), resulting in a lighter surface color. Frequency was identified as a critical factor; increasing it from 20 kHz to 100 kHz resulted in a threefold decrease in roughness (from 1.23 µm to 0.25 µm at 20 µm raster step and 125 mm/s), which correlated with a shift to brighter yellow tones. Higher linear energy density values (1.60–8.00 J/cm) increased roughness and darkened the surface color, while higher overlap coefficients produced the opposite trend. The study highlights the relationship between surface nanostructuring and the formation of stable interference colors, providing quantitative parameters for achieving desired chromatic effects. These findings establish a basis for the industrial application of laser color marking, where both aesthetic differentiation and functional enhancements—such as corrosion resistance, hydrophobicity, and antibacterial properties—are essential. Future research will focus on quantitatively evaluating the functional properties, including corrosion resistance, hydrophobicity, and durability, of the colored surfaces produced under optimized parameters. This research aims to further develop laser marking as a foundational tool for both aesthetic and functional surface engineering. Full article
(This article belongs to the Section Thin Films and Interfaces)
Show Figures

Figure 1

Back to TopTop