From Vine to Sparkle: An Analytical and Sensory Evaluation of Sparkling Wines from Some Romanian Native Grapes
Abstract
1. Introduction
2. Materials and Methods
2.1. Wine Samples
2.2. Physico-Chemical Parameters
2.3. Chromatic Parameters
2.4. Volatile Substances
2.5. Sensory Analysis
2.6. Statistical Analysis
3. Results and Discussion
3.1. Physicochemical Parameters
3.2. Color Chracterisation
3.3. Volatile Compounds
3.3.1. Esters
3.3.2. Alcohols
3.3.3. Aldehydes
3.3.4. Acids
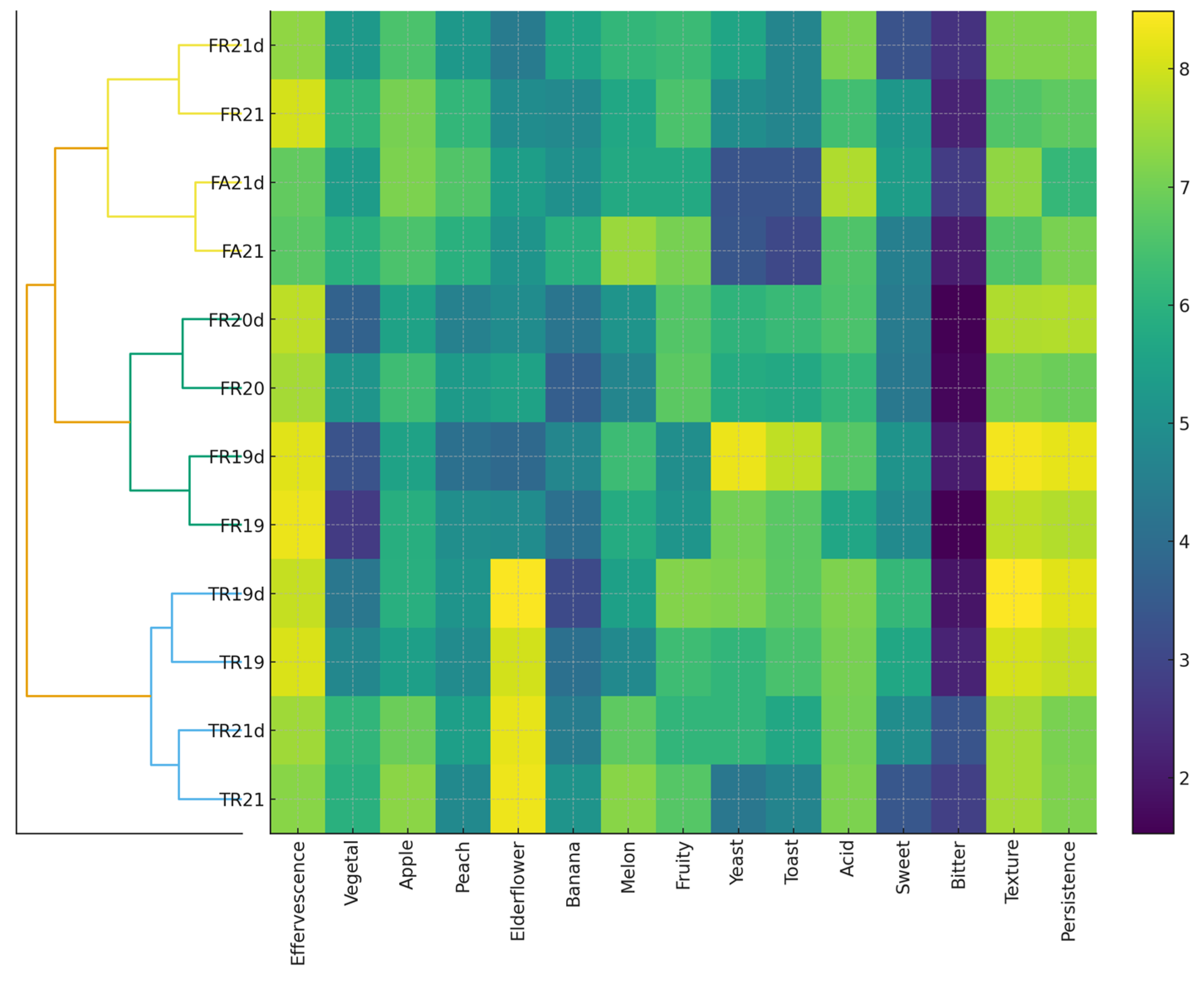
3.4. Sensorial Analysis
4. Conclusions
Supplementary Materials
Author Contributions
Funding
Institutional Review Board Statement
Informed Consent Statement
Data Availability Statement
Conflicts of Interest
Abbreviations
| FA | Fetească albă |
| FR | Fetească regală |
| TR | Tămâioasă românească |
| AF | Alcoholic fermentation |
| OIV | International Organization of Vine and Wine |
| SO2 | Sulfur dioxide |
| CO2 | Carbon dioxide |
| MTHFA | 5-methyl-tetrahydrofurfuryl alcohol |
| MCFA | Medium-chain fatty acid |
References
- Luchian, C.E.; Grosaru, D.; Scutarașu, E.C.; Colibaba, L.C.; Scutarașu, A.; Cotea, V.V. Advancing Sparkling Wine in the 21st Century: From Traditional Methods to Modern Innovations and Market Trends. Fermentation 2025, 11, 174. [Google Scholar] [CrossRef]
- Tudela, R.; Gallardo-Chacon, J.J.; Rius, N.; Lopez-Tamames, E.; Buxaderas, S. Ultrastructural changes of sparkling wine lees during long-term aging in real enological conditions. FEMS Yeast Res. 2012, 12, 466–476. [Google Scholar] [CrossRef] [PubMed]
- Jové, P.; Mateu-Figueras, G.; Bustillos, J.; Martín-Fernández, J.A. Analysis of Aromatic Fraction of Sparkling Wine Manufactured by Second Fermentation and Aging in Bottles Using Different Types of Closures. Processes 2024, 12, 2165. [Google Scholar] [CrossRef]
- Buxaderas, S.; López-Tamames, E. Chapter 1—Sparkling Wines: Features and Trends from Tradition. In Advances in Food and Nutrition Research; Henry, J., Ed.; Academic Press: Cambridge, MA, USA, 2012; Volume 66, pp. 1–45. [Google Scholar]
- Mihaela Dana Pop, A. The Influence of Physical-Chemical Parameters on the Sensory Evaluation of Sparkling Wines. Ann. ‘Valahia’ Univ. Târgovişte Agric. 2024, 16, 36–39. [Google Scholar]
- Martínez-Rodríguez, A.J.; Carrascosa, A.V.; Martín-Álvarez, P.J.; Moreno-Arribas, V.; Polo, M.C. Influence of the yeast strain on the changes of the amino acids, peptides and proteins during sparkling wine production by the traditional method. J. Ind. Microbiol. Biotechnol. 2002, 29, 314–322. [Google Scholar] [CrossRef]
- Tofalo, R.; Perpetuini, G.; Rossetti, A.P.; Gaggiotti, S.; Piva, A.; Olivastri, L.; Cichelli, A.; Compagnone, D.; Arfelli, G. Impact of Saccharomyces cerevisiae and non-Saccharomyces yeasts to improve traditional sparkling wines production. Food Microbiol. 2022, 108, 104097. [Google Scholar] [CrossRef]
- Martínez-García, R.; García-Martínez, T.; Puig-Pujol, A.; Mauricio, J.C.; Moreno, J. Changes in sparkling wine aroma during the second fermentation under CO2 pressure in sealed bottle. Food Chem. 2017, 237, 1030–1040. [Google Scholar] [CrossRef]
- Nunez, Y.P.; Carrascosa, A.V.; González, R.; Polo, M.C.; Martínez-Rodríguez, A.J. Effect of accelerated autolysis of yeast on the composition and foaming properties of sparkling wines elaborated by a champenoise method. J. Agric. Food Chem. 2005, 53, 7232–7237. [Google Scholar] [CrossRef]
- Coldea, T.E.; Mudura, E.; Fărcaș, A.; Marc, L. Valorisation of hybrid grape variety into processing of red sparkling wine. J. Agroaliment. Process. Technol. 2016, 22, 6–9. [Google Scholar]
- Focea, M.; Luchian, C.-E.; Zamfir, C.-I.; Niculaua, M.; Moroșanu, A.-M.; Nistor, A.-M.; Andrieș, M.-T.; Lăcureanu, F.-G.; Cotea, V.V. Organoleptic Chracteristics of Experimental Sparkling Wines. 2017. Available online: https://repository.iuls.ro/st/web/viewer.html?file=https://repository.iuls.ro/xmlui/bitstream/handle/20.500.12811/991/LSH_v.60_nr.2_Organoleptic%20chracteristics%20of....pdf?sequence=1&isAllowed=y (accessed on 12 September 2025).
- Cotan, Ș.-D.; Popîrdă, A.; Luchian, C.-E.; Colibaba, L.-C.; Zamfir, C.-I.; Cotea, V.V.; Nistor, A.-M. Study of Some Sparkling Wines Obtained from Local Varieties of White Grapes in the Cotnari Vineyard. 2020. Available online: https://repository.iuls.ro/st/web/viewer.html?file=https://repository.iuls.ro/xmlui/bitstream/handle/20.500.12811/4531/HOR-TI_v.63_nr.2_Study%20of%20some%20sparkling%20wines%20obtained%20from%20local%20varieties%20of%20white%20grapes%20...pdf?sequence=1&isAllowed=y (accessed on 12 September 2025).
- Donici, A.; Oslobanu, A.; Fitiu, A.; Babes, A.C.; Bunea, C.I. Qualitative assessment of the white wine varieties grown in Dealu Bujorului vineyard, Romania. Not. Bot. Horti Agrobot. Cluj-Napoca 2016, 44, 593–602. [Google Scholar] [CrossRef]
- Bedreag, I.C.; Cioroiu, I.-B.; Niculaua, M.; Nechita, C.-B.; Cotea, V.V. Volatile Compounds as Markers of Terroir and Winemaking Practices in Fetească Albă Wines of Romania. Beverages 2025, 11, 67. [Google Scholar] [CrossRef]
- Irimia, L.M.; Patriche, C.V.; Quénol, H. Analysis of viticultural potential and delineation of homogeneous viticultural zones in a temperate climate region of Romania. OENO One 2014, 48, 145–167. [Google Scholar] [CrossRef]
- Chircu, C.; Muste, S.; Birou, A.-M.; Man, S. Comparative data regarding the grapes maturation evolution at Feteasca Regala, Chardonnay and Pinot Noir varieties during 2008–2010, in the Jidvei vineyard. Bull. Univ. Agric. Sci. Veter-Med. Cluj-Napoca Agric. 2011, 68, 2. [Google Scholar] [CrossRef] [PubMed]
- Zaldea, G.; Damian, D.; Pârcălabu, L.; Iliescu, M.; Enache, V.; Tănase, A.; Bosoi, I.; Ghiur, A. The Evolution of Climatic Conditions Between 1989 and 2021 in Representative Vine areas of Romania. 2022. Available online: https://repository.iuls.ro/st/web/viewer.html?file=https://repository.iuls.ro/xmlui/bitstream/handle/20.500.12811/4710/HOR-TI_v.65_nr.2_The%20evolution%20of%20climatic%20conditions%20between%201989%20and%202021.pdf?sequence=1&isAllowed=y (accessed on 19 September 2025).
- Vizitiu, D.E.; Buciumeanu, E.-C.; Dincă, L.; Radomir, A.-M. Contributions to a durable Viticulture in Dealu Mare Vineyard with the Analytic Hierarchy Process. In Scientific Studies & Research. Series Biology/Studii si Cercetari Stiintifice. Seria Biologie. 2022, Volume 31. Available online: https://www.researchgate.net/profile/Radomir-Ana-Maria/publication/368830856_CONTRIBUTIONS_TO_A_DURABLE_VITICULTURE_IN_DEALU_MARE_VINEYARD_WITH_THE_ANALYTIC_HIERARCHY_PROCESS/links/63fc5b59b1704f343f868d6e/CONTRIBUTIONS-TO-A-DURABLE-VITICULTURE-IN-DEALU-MARE-VINEYARD-WITH-THE-ANALYTIC-HIERARCHY-PROCESS.pdf (accessed on 19 September 2025).
- OIV. Compendium of International Methods of Wine and Must Analysis; OIV: Dijon, France, 2025; Volume 1, p. 1743. Available online: https://www.oiv.int/sites/default/files/publication/2025-03/Compendium%20of%20MA%20Wine%20Complet%202025.pdf (accessed on 19 September 2025).
- Dumitriu, G.-D.; Teodosiu, C.; Gabur, I.; Cotea, V.V.; Peinado, R.A.; López de Lerma, N. Alternative Winemaking Techniques to Improve the Content of Phenolic and Aromatic Compounds in Wines. Agriculture 2021, 11, 233. [Google Scholar] [CrossRef]
- Odăgeriu, G.C.S.; Cotea, V.V.; Bârliga, N.; Ciubucă, A. Caracteristicile Cromatice C. I. E. Lab-76 Ale Vinurilor Roşii din Podgoria Bujoru. “Lucrări ştiinţifice”; Horticultura: Iasi, Romania, 2000; Volume I. [Google Scholar]
- Sauciuc, J.; Odǎgeriu, G.; Tudose, I.; Negurǎ, C. Caracteristicile cromatice, C.I.E. Lab 76, alevinurilor din podgoria Copou Iaşi; Cercetări Agronomice în Moldova: Iaşi, Romania, 1997; Volume 3 (109). [Google Scholar]
- OIV. Review Document on Sensory Analysis of Wine. Available online: https://www.oiv.int/public/medias/3307/review-on-sensory-analysis-of-wine.pdf (accessed on 12 October 2025).
- Just-Borràs, A.; Moroz, E.; Giménez, P.; Gombau, J.; Ribé, E.; Collado, A.; Cabanillas, P.; Marangon, M.; Fort, F.; Canals, J.M.; et al. Comparison of ancestral and traditional methods for elaborating sparkling wines. Curr. Res. Food Sci. 2024, 8, 100768. [Google Scholar] [CrossRef]
- Raymond Eder, M.L.; Rosa, A.L. Non-Conventional Grape Varieties and Yeast Starters for First and Second Fermentation in Sparkling Wine Production Using the Traditional Method. Fermentation 2021, 7, 321. [Google Scholar] [CrossRef]
- Cisilotto, B.; Scariot, F.J.; Schwarz, L.V.; Mattos Rocha, R.K.; Longaray Delamare, A.P.; Echeverrigaray, S. Are the characteristics of sparkling wines obtained by the Traditional or Charmat methods quite different from each other? OENO One 2023, 57, 321–331. [Google Scholar] [CrossRef]
- Pîrcălabu, L.; Barbu, S.P.; Marian; Ion Tudor, G.; Bucur, A. Evaluation of the Technological Potential of Wine Grape Varieties in the Context of Climate Change in the Dealu Mare Vineyard. 2025. Available online: https://horticulturejournal.usamv.ro/pdf/2025/issue_1/Art41.pdf (accessed on 10 October 2025).
- OIV. International Code of Oenological Practices. Available online: https://www.oiv.int/sites/default/files/publication/2025-04/CPO%202025%20EN.pdf (accessed on 14 October 2025).
- Charnock, H.; Pickering, G.; Kemp, B. The impact of dosage sugar-type and aging on Maillard reaction-associated products in traditional method sparkling wines. OENO One 2023, 57, 303–322. [Google Scholar] [CrossRef]
- Cotea, V.V.; Focea, M.C.; Luchian, C.E.; Colibaba, L.C.; Scutarasu, E.C.; Marius, N.; Zamfir, C.I.; Popirda, A. Influence of Different Commercial Yeasts on Volatile Fraction of Sparkling Wines. Foods 2021, 10, 247. [Google Scholar] [CrossRef]
- Aliev, T.; Korolev, I.; Yasnov, M.; Nosonovsky, M.; Skorb, E.V. Rose or white, glass or plastic: Computer vision and machine learning study of cavitation bubbles in sparkling wines. RSC Adv. 2025, 15, 5151–5158. [Google Scholar] [CrossRef]
- Liger-Belair, G. The physics and chemistry behind the bubbling properties of champagne and sparkling wines: A state-of-the-art review. J. Agric. Food Chem. 2005, 53, 2788–2802. [Google Scholar] [CrossRef] [PubMed]
- Miliordos, D.E.; Kontoudakis, N.; Kouki, A.; Kanapitsas, A.; Lola, D.; Goulioti, E.; Kotseridis, Y. Influence of vintage and grape maturity on volatile composition and foaming properties of sparkling wine from Savvatiano (Vitis vinifera L.) variety. OENO One 2025, 59, 8217. [Google Scholar] [CrossRef]
- Just-Borràs, A.; Alday-Hernández, M.; García-Roldán, A.; Bustamante, M.; Gombau, J.; Cabanillas, P.; Rozès, N.; Canals, J.M.; Zamora, F. Assessment of Physicochemical and Sensory Characteristics of Commercial Sparkling Wines Obtained Through Ancestral and Traditional Methods. Beverages 2024, 10, 103. [Google Scholar] [CrossRef]
- Scutarasu, E.C.; Luchian, C.E.; Vlase, L.; Colibaba, L.C.; Gheldiu, A.M.; Cotea, V.V. Evolution of phenolic profile of white wines treated with enzymes. Food Chem. 2021, 340, 127910. [Google Scholar] [CrossRef]
- Buican, B.-C.; Colibaba, L.C.; Luchian, C.E.; Kallithraka, S.; Cotea, V.V. “Orange” Wine—The Resurgence of an Ancient Winemaking Technique: A Review. Agriculture 2023, 13, 1750. [Google Scholar] [CrossRef]
- Hensel, M.; Di Nonno, S.; Mayer, Y.; Scheiermann, M.; Fahrer, J.; Durner, D.; Ulber, R. Specification and Simplification of Analytical Methods to Determine Wine Color. Processes 2022, 10, 2707. [Google Scholar] [CrossRef]
- Gil-Muñoz, R.; Gómez-Plaza, E.; Martínez, A.; López-Roca, J.M. Evolution of the CIELAB and other spectrophotometric parameters during wine fermentation. Influence of some pre and postfermentative factors. Food Res. Int. 1997, 30, 699–705. [Google Scholar] [CrossRef]
- He, Y.; Wang, X.; Li, P.; Lv, Y.; Nan, H.; Wen, L.; Wang, Z. Research progress of wine aroma components: A critical review. Food Chem. 2023, 402, 134491. [Google Scholar] [CrossRef]
- Ribéreau-Gayon, P.; Dubourdieu, D.; Donèche, B.; Lonvaud, A. Handbook of Enology, Volume 1: The Microbiology of Wine and Vinifications; John Wiley & Sons: Hoboken, NJ, USA, 2006; Volume 1. [Google Scholar]
- Swiegers, J.H.; Bartowsky, E.J.; Henschke, P.A.; Pretorius, I.S. Yeast and bacterial modulation of wine aroma and flavour. Aust. J. Grape Wine Res. 2005, 11, 139–173. [Google Scholar] [CrossRef]
- Pinheiro, S.S.; Campos, F.; Cabrita, M.J.; Silva, M.G.D. Exploring the Aroma Profile of Traditional Sparkling Wines: A Review on Yeast Selection in Second Fermentation, Aging, Closures, and Analytical Strategies. Molecules 2025, 30, 2825. [Google Scholar] [CrossRef]
- Riu-Aumatell, M.; Bosch-Fusté, J.; López-Tamames, E.; Buxaderas, S. Development of volatile compounds of cava (Spanish sparkling wine) during long ageing time in contact with lees. Food Chem. 2006, 95, 237–242. [Google Scholar] [CrossRef]
- Martinez-Garcia, R.; Mauricio, J.C.; Garcia-Martinez, T.; Peinado, R.A.; Moreno, J. Towards a better understanding of the evolution of odour-active compounds and the aroma perception of sparkling wines during ageing. Food Chem. 2021, 357, 129784. [Google Scholar] [CrossRef]
- Kemp, B.; Alexandre, H.; Robillard, B.; Marchal, R. Effect of production phase on bottle-fermented sparkling wine quality. J. Agric. Food Chem. 2015, 63, 19–38. [Google Scholar] [CrossRef] [PubMed]
- Ubeda, C.; Kania-Zelada, I.; Del Barrio-Galan, R.; Medel-Maraboli, M.; Gil, M.; Pena-Neira, A. Study of the changes in volatile compounds, aroma and sensory attributes during the production process of sparkling wine by traditional method. Food Res. Int. 2019, 119, 554–563. [Google Scholar] [CrossRef] [PubMed]
- Liu, S.; Ma, D.; Li, Z.; Sun, H.; Mao, J.; Shi, Y.; Han, X.; Zhou, Z.; Mao, J. Assimilable nitrogen reduces the higher alcohols content of huangjiu. Food Control 2021, 121, 107660. [Google Scholar] [CrossRef]
- Carrau, F.M.; Medina, K.; Farina, L.; Boido, E.; Henschke, P.A.; Dellacassa, E. Production of fermentation aroma compounds by Saccharomyces cerevisiae wine yeasts: Effects of yeast assimilable nitrogen on two model strains. FEMS Yeast Res. 2008, 8, 1196–1207. [Google Scholar] [CrossRef]
- Sawyer, S.; Longo, R.; Solomon, M.; Nicolotti, L.; Westmore, H.; Merry, A.; Gnoinski, G.; Ylia, A.; Dambergs, R.; Kerslake, F. Autolysis and the duration of ageing on lees independently influence the aroma composition of traditional method sparkling wine. Aust. J. Grape Wine Res. 2021, 28, 146–159. [Google Scholar] [CrossRef]
- Christofi, S.; Papanikolaou, S.; Dimopoulou, M.; Terpou, A.; Cioroiu, I.B.; Cotea, V.; Kallithraka, S. Effect of Yeast Assimilable Nitrogen Content on Fermentation Kinetics, Wine Chemical Composition and Sensory Character in the Production of Assyrtiko Wines. Appl. Sci. 2022, 12, 1405. [Google Scholar] [CrossRef]
- Li, J.; Yuan, M.; Meng, N.; Li, H.; Sun, J.; Sun, B. Influence of nitrogen status on fermentation performances of non--Saccharomyces yeasts: A review. Food Sci. Hum. Wellness 2024, 13, 556–567. [Google Scholar] [CrossRef]
- Bueno, M.; Marrufo-Curtido, A.; Carrascon, V.; Fernandez-Zurbano, P.; Escudero, A.; Ferreira, V. Formation and Accumulation of Acetaldehyde and Strecker Aldehydes during Red Wine Oxidation. Front. Chem. 2018, 6, 20. [Google Scholar] [CrossRef]
- Cejudo-Bastante, M.J.; Hermosín-Gutiérrez, I.; Pérez-Coello, M.S. Micro-oxygenation and oak chip treatments of red wines: Effects on colour-related phenolics, volatile composition and sensory characteristics. Part I: Petit Verdot wines. Food Chem. 2011, 124, 727–737. [Google Scholar] [CrossRef]
- Marrufo-Curtido, A.; de-la-Fuente-Blanco, A.; Saenz-Navajas, M.P.; Ferreira, V.; Bueno, M.; Escudero, A. Sensory Relevance of Strecker Aldehydes in Wines. Preliminary Studies of Its Removal with Different Type of Resins. Foods 2021, 10, 1711. [Google Scholar] [CrossRef]
- Boschfuste, J.; Riuaumatell, M.; Guadayol, J.; Caixach, J.; Lopeztamames, E.; Buxaderas, S. Volatile profiles of sparkling wines obtained by three extraction methods and gas chromatography–mass spectrometry (GC–MS) analysis. Food Chem. 2007, 105, 428–435. [Google Scholar] [CrossRef]
- Csutoras, C.; Bakos-Barczi, N.; Burkus, B. Medium chain fatty acids and fatty acid esters as potential markers of alcoholic fermentation of white wines. Acta Aliment. 2022, 51, 33–42. [Google Scholar] [CrossRef]





| Code | Grape Variety | Year | Particularity | Maturation |
|---|---|---|---|---|
| FR19d | Fetească regală | 2019 | Undisgorged | 36 months |
| FR19 | Fetească regală | 2019 | Disgorged | 36 months |
| FR21d | Fetească regală | 2021 | Undisgorged | 9 months |
| FR21 | Fetească regală | 2021 | Disgorged | 9 months |
| TR19d | Tămâioasă românească | 2019 | Undisgorged | 36 months |
| TR19 | Tămâioasă românească | 2019 | Disgorged | 36 months |
| TR21d | Tămâioasă românească | 2021 | Undisgorged | 9 months |
| TR21 | Tămâioasă românească | 2021 | Disgorged | 9 months |
| FA19d | Fetească albă | 2019 | Undisgorged | 36 months |
| FA19 | Fetească albă | 2019 | Disgorged | 36 months |
| FA21d | Fetească albă | 2021 | Undisgorged | 9 months |
| FA21 | Fetească albă | 2021 | Disgorged | 9 months |
| Sample | Alcohol (v/v) | Total Acidity (g L−1 Tartaric Acid) | Volatine Acidity (g L−1 Acetic Acid) | Free Sulfur (mg L−1) | Total Sulfur (mg L−1) | Residual Sugars (g L−1 ) | Pressure (Bar) |
|---|---|---|---|---|---|---|---|
| FR19d | 13.33 ± 0.04 b | 6.37 ± 0.05 b | 0.375 ± 0.008 c | 2.3 ± 0.02 b | 86 ± 3 a | 3.27 ± 0.07 d | 7.1 ± 0.1 c |
| FR19 | 13.39 ± 0.04 b | 6.34 ± 0.05 b | 0.394 ± 0.018 b | 19 ± 1 a | 103 ± 4 b | 3.01 ± 0.06 c | 6.2 ± 0.1 a |
| FR21d | 13.13 ± 0.03 a | 6.48 ± 0.05 c | 0.375 ± 0.008 c | 2.1 ± 0.03 b | 78 ± 3 d | 2.15 ± 0.05 e | 7.4 ± 0.1 b |
| FR21 | 13.06 ± 0.03 a | 6.53 ± 0.03 c | 0.394 ± 0.007 b | 22 ± 1.23 a | 112 ± 4.25 c | 1.95 ± 0.04 b | 6.8 ± 0.1 c |
| TR19d | 13.31 ± 0.04 b | 6.12 ± 0.02 a | 0.395 ± 0.008 b | 5.5 ± 0.12 d | 89 ± 3 a | 2.67 ± 0.06 a | 6.7 ± 0.1 d |
| TR19 | 13.53 ± 0.05 c | 6.25 ± 0.01 a | 0.414 ± 0.013 a | 23 ± 0.89 c | 100 ± 4 b | 2.36 ± 0.05 f | 6.3 ± 0.1 a |
| TR21d | 13.42 ± 0.04 c | 6.24 ± 0.4 a | 0.365 ± 0.007 c | 3.5 ± 0.56 b | 85 ± 3 a | 3.67 ± 0.08 g | 7.4 ± 0.1 b |
| TR21 | 13.38 ± 0.04 b | 6.29 ± 0.03 a | 0.384 ± 0.006 b | 25 ± 1.85 c | 117 ± 5 c | 3.43 ± 0.08 d | 6.8 ± 0.1 e |
| FA19d | 13.32 ± 0.04 b | 6.18 ± 0.02 a | 0.405 ± 0.008 a | 6.3 ± 0.70 b | 81 ± 2.50 a | 1.85 ± 0.04 b | 7.4 ± 0.1 b |
| FA19 | 13.13 ± 0.03 a | 6.21 ± 0.01 a | 0.424 ± 0.004 a | 21 ± 1.3 a | 93 ± 4 a | 2.65 ± 0.06 a | 6.3 ± 0.1 a |
| FA21d | 13.29 ± 0.04 b | 6.28 ± 0.03 a | 0.405 ± 0.004 a | 7.3 ± 0.67 b | 91 ± 3 a | 2.85 ± 0.06 c | 7.4 ± 0.1 b |
| FA21 | 13.13 ± 0.03 a | 6.31 ± 0.01 b | 0.424 ± 0.009 d | 21 ± 1.25 a | 105 ± 4 a | 2.67 ± 0.06 a | 6.3 ± 0.2 d |
| Sample | Clarity (L*) | Chroma | Croma (C*) | Tonality (H) | Luminosity | Tint | |
|---|---|---|---|---|---|---|---|
| Green 0<a*>0 Red | Blue 0<b*>0 Yellow | ||||||
| FR19d | 98.0 ± 0.2 a | −1.04 ± 0.03 b | 7.11 ± 0.08 b | 7.18 ± 0.08 b | −81.71 ± 0.25 b | 0.14 ± 0.01 b | 3.87 ± 0.07 a |
| FR19 | 98.0 ± 0.2 a | −1.05 ± 0.03 b | 7.14 ± 0.08 b | 7.22 ± 0.07 b | −81.65 ± 0.30 b | 0.14 ± 0.01 b | 3.93 ± 0.07 a |
| FR 21d | 98.7 ± 0.2 c | −0.98 ± 0.02 b | 7.27 ± 0.08 c | 7.33 ± 0.08 c | −82.30 ± 0.13 c | 0.12 ± 0.01 b | 5.21 ± 0.09 c |
| FR21 | 98.8 ± 0.3 c | −0.96 ± 0.01 b | 7.20 ± 0.07 b | 7.26 ± 0.08 b | −82.41 ± 0.20 c | 0.12 ± 0.01 a | 5.23 ± 0.09 c |
| TR19d | 99.1 ± 0.2 d | −0.87 ± 0.01 c | 5.35 ± 0.04 a | 5.42 ± 0.07 a | −80.81 ± 0.30 a | 0.09 ± 0.01 a | 5.65 ± 10 d |
| TR19 | 98.3 ± 0.1 b | −0.82 ± 0.03 c | 6.96 ± 0.05 b | 7.01 ± 0.08 b | −83.24 ± 0.01 d | 0.13 ± 0.01 a | 4.10 ± 0.08 b |
| TR21d | 99.1 ± 0.2 d | −0.53 ± 0.02 d | 4.27 ± 0.0.6 a | 4.30 ± 0.04 a | −82.89 ± 0.04 c | 0.08 ± 0.01 c | 4.81 ± 0.09 c |
| TR21 | 98.2 ± 0.2 b | −1.11 ± 0.03 a | 8.04 ± 0.07 d | 8.12 ± 0.09 d | −82.12 ± 0.03 b | 0.15 ± 0.01 a | 4.73 ± 0.09 c |
| FA19d | 98.3 ± 0.2 b | −0.97 ± 0.02 b | 5.9 ± 0.03 a | 5.98 ± 0.07 a | −80.69 ± 0.03 a | 0.12 ± 0.01 a | 3.93 ± 0.06 a |
| FA19 | 98.7 ± 0.2 c | −0.86 ± 0.02 c | 6.97 ± 0.04 b | 7.02 ± 08 b | −82.98 ± 0.02 c | 0.12 ± 0.01 a | 4.83 ± 0.08 c |
| FA21d | 98.9 ± 0.2 c | −0.71 ± 0.02 c | 5.45 ± 0.03 a | 5.50 ± 0.06 a | −82.59 ± 0.03 c | 0.09 ± 0.01 a | 4.85 ± 0.09 c |
| FA21 | 98.6 ± 0.2 c | −0.85 ± 0.02 c | 6.88 ± 0.05 b | 6.93 ± 0.06 b | −82.91 ± 0.03 c | 0.12 ± 0.01 a | 4.69 ± 0.09 b |
| Sample | Ethyl Formate | Ethyl Acetate | Ethyl Propionate | Ethyl Isobutyrate | Ethyl Butanoate | Ethyl Isovalerate | Isoamylacetate | Ethyl Hexanoate | Hexyl Acetate | Ethyl Caprylate | Ethyl Caprate | Butanedioic Acid, Diethyl Ester |
|---|---|---|---|---|---|---|---|---|---|---|---|---|
| FR19d | 13.97 ± 0.7 | 67.97 ± 14.07 * | 0.59 ± 0.05 | 0.6 ± 0.36 | 1.67 ± 1.18 | 0.36 ± 0.05 * | 3.19 ± 0.71 * | 52.82 ± 11.37 * | ND | 30.64 ± 7.03 * | 5.36 ± 1.25 * | 1.5 ± 0.13 |
| FR19 | 19.67 ± 2.85 * | 88.42 ± 6.8 * | 0.64 ± 0.22 | 0.94 ± 0.32 | 2.91 ± 1.67 | 0.44 ± 0.23 | 4.02 ± 0.52 * | 61.75 ± 1.89 | ND | 33.48 ± 0.45 * | 4.74 ± 0.49 * | 1.42 ± 0.09 |
| FR21d | 14.73 ± 4.11 | 72.01 ± 6.83 | 0.54 ± 0.08 | 0.61 ± 0.14 | 2.33 ± 1.59 | 0.39 ± 0.24 * | 12.15 ± 0.29 * | 70.53 ± 7.24 * | 0.39 ± 0.24 * | 69.76 ± 8.92 * | 14.08 ± 1.69 * | 1.19 ± 0.18 |
| FR21 | 11.07 ± 1.94 * | 59.98 ± 3.92 * | 0.58 ± 0.16 | 0.71 ± 0.22 | 1.55 ± 0.55 | 0.58 ± 0.17 | 15.46 ± 0.8 * | 59.22 ± 5.75 * | 0.68 ± 0.28 * | 49.1 ± 11.66 * | 7.18 ± 3.65 * | 0.92 ± 0.19 * |
| TR19d | 14.77 ± 1.2 | 86.38 ± 6.78 * | 0.44 ± 0.1 | 0.94 ± 0.29 | 3.06 ± 0.46 | 1.01 ± 0.08 * | 2.3 ± 0.33 * | 55.25 ± 3.93 * | ND | 34.39 ± 31.18 | 7.36 ± 2.94 * | 1.88 ± 0.17 * |
| TR19 | 22.71 ± 4.33 * | 67.48 ± 47.58 * | 0.65 ± 0.09 | 1.29 ± 0.16 * | 2.35 ± 1.22 | 0.97 ± 0.26 * | 5.37 ± 9.97 * | 49 ± 17.17 * | ND | 51.63 ± 21.66 | 5.77 ± 2.02 * | 1.44 ± 0.38 |
| TR21d | 14.64 ± 2.49 | 61.11 ± 10.3 * | 0.48 ± 0.18 | 0.62 ± 0.34 | 0.99 ± 0.07 | 0.67 ± 0.03 | 10.98 ± 0.46 * | 58.04 ± 12.27 * | 2.25 ± 0.48 * | 41.48 ± 8.38 * | 4.34 ± 0.49 * | 0.93 ± 0.13 * |
| TR21 | 14.01 ± 2.58 | 70.72 ± 1.73 | 0.45 ± 0.04 | 0.5 ± 0.06 * | 1.63 ± 0.81 | 0.63 ± 0.13 | 9.98 ± 0.37 * | 80.64 ± 2.32 * | 2.91 * | 93.03 ± 13.23 * | 6.41 ± 1.07 * | 1.04 ± 0.08 * |
| FA19d | 14.64 ± 2.49 | 61.11 ± 10.3 * | 0.48 ± 0.18 | 0.62 ± 0.34 | 0.99 ± 0.07 | 0.67 ± 0.03 | 10.98 ± 0.46 * | 58.04 ± 12.27 * | 2.25 ± 0.48 * | 41.48 ± 8.38 * | 4.34 ± 0.49 * | 0.93 ± 0.13 * |
| FA19 | 17.7 ± 0.06 | 87.33 ± 8.01 * | 0.62 ± 0.06 | 1.27 ± 0.12 * | 3.89 ± 1.59 | 0.61 ± 0.28 * | 13.89 ± 1.04 * | 57.89 ± 3.36 * | 0.34 ± 0.13 * | 35.31 ± 4.22 * | 7.16 ± 1.63 * | 1.44 ± 0.23 |
| FA21d | 16.26 ± 2.32 | 83.55 ± 7.09 * | 0.63 ± 0.15 | 1.2 ± 0.33 * | 2.38 ± 1.45 | 0.83 ± 0.15 * | 13.24 ± 2.37 * | 62.27 ± 5.42 | 0.44 ± 0.11 * | 58.71 ± 24.67 | 8.29 ± 1.76 * | 1.38 ± 0.1 |
| FA21 | 12.44 ± 1.12 | 71.23 ± 4.58 | 0.59 ± 0.2 | 0.66 ± 0.28 | 3.68 ± 0.35 | 0.8 ± 0.07 | 9.53 ± 0.58 * | 66.92 ± 4.3 * | 0.46 ± 0.11 * | 90.35 ± 7.64 * | 6.49 ± 0.56 * | 1.04 ± 0.15 |
| Sample | FR19d | FR19 | FR21d | FR21 | TR19d | TR19 | TR21d | TR21 | FA19d | FA19 | FA21d | FA21 |
|---|---|---|---|---|---|---|---|---|---|---|---|---|
| Higher alcohols | ||||||||||||
| Propanol | 1.59 ± 0.05 * | 2.26 ± 0 * | 2.44 ± 0.14 * | 2.68 ± 0.73 * | ND | ND | 2.29 ± 0.43 * | 2.02 ± 0 * | 2.66 ± 0 * | 2.19 ± 0.84 * | 2.29 ± 0.22 * | ND |
| Isobutil alcohol | 5.37 ± 5.99 * | 1.74 ± 0.64 * | 4.06 ± 0.39 * | ND | ND | 2.7 ± 0 * | 1.79 ± 0 * | 1.59 ± 0 * | 1.26 ± 0.13 | 1.41 ± 0.08 | 5.49 ± 3.44 | 6.52 ± 1.32 |
| MTHFA ** | 4.52 ± 0.87 | 6.9 ± 3.3 | 4.75 ± 0 | 5.71 ± 3.76 | 6.87 ± 2.01 | 6.83 ± 3.67 | 5.74 ± 2.84 | 5.35 ± 0.97 | 6.43 ± 5.32 | 6.3 ± 2.81 | 0.61 ± 0 * | ND |
| 3-hexanol | 0.09 ± 0 | 0.09 ± 0.02 | 0.12 ± 0.03 | 0.08 ± 0.01 | 0.11 ± 0.02 | ND | ND | 0.2 ± 0.12 | 0.13 ± 0.01 | 0.11 ± 0.05 | 0.21 ± 0.07 | 0.15 ± 0.08 |
| 1-pentanol | 73 ± 2.09 * | 78.87 ± 6.82 * | 106.81 ± 14.01 * | 91.92 ± 9.64 * | 77.9 ± 4.19 * | 62.67 ± 26.19 * | 95.87 ± 8.37 * | 101.25 ± 4.29 * | 91.89 ± 1.22 * | 91.81 ± 6.81 * | 99.28 ± 7.23 * | 87.51 ± 3.18 * |
| 1-hexanol | 0.63 ± 0.07 * | 0.47 ± 0.07 * | 0.94 ± 0.27 * | 0.87 ± 0.18 * | 0.92 ± 0.02 * | 0.71 ± 0.24 * | 2.21 ± 0.38 * | 1.99 ± 0.12 * | 0.5 ± 0.21 * | 0.48 ± 0.14 * | 1.28 ± 0.15 * | 1.1 ± 0.08 * |
| Phenylethyl alcohol | 0.22 ± 0.02 * | 0.16 ± 0.03 * | 0.28 ± 0.02 * | 0.2 ± 0.01 * | 0.23 ± 0.01 * | 0.23 ± 0.05 * | 0.46 ± 0.09 * | 0.45 ± 0.02 * | 0.23 ± 0.06 * | 0.23 ± 0.01 * | 0.44 ± 0.07 * | 0.32 ± 0.08 * |
| Aldehydes | ||||||||||||
| Acetaldehyde | 82.22 ± 4.06 * | 88.05 ± 12.93 * | 89.29 ± 2.16 * | 83.11 ± 11.67 | 74.09 ± 15.05 * | 54.81 ± 9.82 * | 79.3 ± 8.2 * | 64.99 ± 24.18 * | 69.38 ± 10.12 * | 73.16 ± 6.11 * | 67.94 ± 7.65 * | 64.33 ± 4.81 * |
| Propanal | 0.15 ± 0.07 | 0.27 ± 0.2 | 0.4 ± 0.26 * | 0.42 ± 0.17 * | 0.27 ± 0.19 | 0.26 ± 0.11 | 0.26 ± 0.11 | 0.22 ± 0.2 | 0.42 ± 0.06 * | 0.23 ± 0.09 | 0.24 ± 0.14 | 0.21 ± 0.07 |
| 3-methylbutanal | 0.85 ± 1.04 * | 1.16 ± 1.72 | 2.5 ± 0.14 * | 2.23 ± 0.52 * | 2.65 ± 0.33 * | 2.13 ± 0.48 * | 2.36 ± 0.12 * | 0.92 ± 0 | 1.07 ± 0.86 | 0.93 ± 0.15 | 2.09 ± 1.18 * | 2.41 ± 0.18 * |
| Acids | ||||||||||||
| Hexanoic acid | 0.05 * | ND | ND | 0.08 ± 0.03 * | 0.09 ± 0.01 * | 0.11 ± 0 * | 0.1 ± 0 * | 0.11 ± 0.04 * | 0.29 ± 0.04 * | 0.27 ± 0 * | 0.2 ± 0.03 * | 0.13 ± 0.01 * |
| Octanoic Acid | 0.19 ± 0.02 * | 0.1 ± 0.04 * | 0.05 ± 0 * | 0.06 ± 0.05 * | 0.39 ± 0.08 * | 0.45 ± 0.03 * | 0.6 ± 0.07 * | 0.61 ± 0.18 * | 1.16 ± 0.44 * | 1.21 ± 0.14 * | 0.99 ± 0.18 * | 0.8 ± 0.15 * |
| Decanoic acid | ND | ND | ND | ND | ND | ND | 0.18 ± 0.01 | ND | 0.43 ± 0.05 | 0.61 ± 0.18 | 0.53 ± 0.36 | 0.34 ± 0.08 |
Disclaimer/Publisher’s Note: The statements, opinions and data contained in all publications are solely those of the individual author(s) and contributor(s) and not of MDPI and/or the editor(s). MDPI and/or the editor(s) disclaim responsibility for any injury to people or property resulting from any ideas, methods, instructions or products referred to in the content. |
© 2026 by the authors. Licensee MDPI, Basel, Switzerland. This article is an open access article distributed under the terms and conditions of the Creative Commons Attribution (CC BY) license.
Share and Cite
Popa-Grosaru, D.-F.; Buican, B.-C.; Luchian, C.E.; Colibaba, L.C.; Scutarașu, E.C.; Niculaua, M.; Nechita, C.B.; Coman, G.Ș.; Focea, E.C.; Andrieș, T.; et al. From Vine to Sparkle: An Analytical and Sensory Evaluation of Sparkling Wines from Some Romanian Native Grapes. Foods 2026, 15, 353. https://doi.org/10.3390/foods15020353
Popa-Grosaru D-F, Buican B-C, Luchian CE, Colibaba LC, Scutarașu EC, Niculaua M, Nechita CB, Coman GȘ, Focea EC, Andrieș T, et al. From Vine to Sparkle: An Analytical and Sensory Evaluation of Sparkling Wines from Some Romanian Native Grapes. Foods. 2026; 15(2):353. https://doi.org/10.3390/foods15020353
Chicago/Turabian StylePopa-Grosaru, Dragoș-Florin, Bettina-Cristina Buican, Camelia Elena Luchian, Lucia Cintia Colibaba, Elena Cristina Scutarașu, Marius Niculaua, Constantin Bogdan Nechita, George Ștefan Coman, Elena Cornelia Focea, Tiberiu Andrieș, and et al. 2026. "From Vine to Sparkle: An Analytical and Sensory Evaluation of Sparkling Wines from Some Romanian Native Grapes" Foods 15, no. 2: 353. https://doi.org/10.3390/foods15020353
APA StylePopa-Grosaru, D.-F., Buican, B.-C., Luchian, C. E., Colibaba, L. C., Scutarașu, E. C., Niculaua, M., Nechita, C. B., Coman, G. Ș., Focea, E. C., Andrieș, T., Popescu, D. I., & Cotea, V. V. (2026). From Vine to Sparkle: An Analytical and Sensory Evaluation of Sparkling Wines from Some Romanian Native Grapes. Foods, 15(2), 353. https://doi.org/10.3390/foods15020353

