Sign in to use this feature.

Years

Between: -

Subjects

remove_circle_outline
remove_circle_outline
remove_circle_outline
remove_circle_outline
remove_circle_outline
remove_circle_outline
remove_circle_outline
remove_circle_outline
remove_circle_outline

Journals

Article Types

Countries / Regions

remove_circle_outline
remove_circle_outline
remove_circle_outline
remove_circle_outline

Search Results (239)

Search Parameters:
Keywords = cheese texture

Order results
Result details
Results per page
Select all
Export citation of selected articles as:
16 pages, 1943 KB  
Article
Evaluation of the Sensory and Textural Properties of Cheese-Containing Frankfurters Available on the Polish Market
by Kacper Kozłowski, Michał Piątek, Mirosława Krzywdzińska-Bartkowiak and Agnieszka Bilska
Foods 2026, 15(2), 226; https://doi.org/10.3390/foods15020226 - 8 Jan 2026
Viewed by 226
Abstract
The increasing trend in the consumption of milk and dairy products, as well as meat and meat-derived products, may be one of the factors contributing to the growing popularity of cheese-added frankfurters, which combine these two product categories. The aim of this study [...] Read more.
The increasing trend in the consumption of milk and dairy products, as well as meat and meat-derived products, may be one of the factors contributing to the growing popularity of cheese-added frankfurters, which combine these two product categories. The aim of this study was to compare the textural, colour, and sensory properties of commercially available cheese-containing frankfurters using instrumental measurements and descriptive sensory analysis. The study focused on ready-to-eat products with naturally varying formulations to identify measurable differences in quality attributes and explore potential associations between composition and product characteristics. Instrumental methods were applied, including texture profile analysis (TPA), the Warner–Bratzler shear force test (WBSF), and CIE L*a*b* colour measurement, along with quantitative descriptive analysis. The results confirmed significant differences between the samples in terms of texture and flavour. Notably, Sample B showed the highest shear force (2.91 N), while Sample C exhibited the lowest (1.82 N). Samples A and D, both containing 12% processed cheddar cheese, had the highest b* values (30.1 and 22.4, respectively), which corresponded to their more intense yellow colour and higher scores for cheese flavour. The addition of cheese had a beneficial effect on product acceptability; however, the final outcome depended on the form and amount of cheese, as well as other ingredients. These findings suggest that cheese may serve as a valuable additive to homogenised meat products, enhancing sensory appeal without compromising technological quality. Future studies will compare different cheese types and concentrations and include consumer testing on a larger sample. Full article
Show Figures

Figure 1

13 pages, 2349 KB  
Article
Impact of Gel Brine on Proteolytic, Microbiological, Textural Properties of Raw Milk Cheese
by Gamze Güneş and Çağım Akbulut Çakır
Dairy 2026, 7(1), 4; https://doi.org/10.3390/dairy7010004 - 29 Dec 2025
Viewed by 251
Abstract
Using raw milk in cheesemaking poses several risks and often requires higher salt levels. Gel brine is a promising brining method to reduce salt and to prevent excessive softening, yet it was not employed to raw milk cheese before. In this study, the [...] Read more.
Using raw milk in cheesemaking poses several risks and often requires higher salt levels. Gel brine is a promising brining method to reduce salt and to prevent excessive softening, yet it was not employed to raw milk cheese before. In this study, the impact of ripening in gel brine—prepared by adding selected thickeners (gelatin and carrageenan) to a 12% salt brine—on the composition, proteolysis, texture, and microbiological properties of raw milk cheese was examined over 120 days. The aim was to assess the potential of gel brine to shorten the ripening time of raw milk cheese at a relatively low salt concentration while maintaining acceptable quality parameters. Response surface methodology was used to determine the optimum ripening time and thickener concentrations required to achieve target microbial counts, proteolysis, and moisture levels. The addition of stabilizers did not significantly influence the overall composition of the cheese, except for salt in dry matter. Stabilizers also limited the increase in trichloroacetic acid-soluble nitrogen (TCA-SN) during storage and led to a marked reduction in Escherichia coli counts. Texture profile analysis results were significantly affected (p < 0.05). The optimum conditions were estimated as 0.9% carrageenan, 0.8% gelatin, and 35 days of ripening. Full article
(This article belongs to the Section Milk Processing)
Show Figures

Figure 1

14 pages, 927 KB  
Article
Kinetic Study of Color, Texture and Exergy Analysis of Halloumi Cheese During Deep-Fat Frying Process
by Yağmur Erim Köse
Processes 2026, 14(1), 39; https://doi.org/10.3390/pr14010039 - 22 Dec 2025
Viewed by 316
Abstract
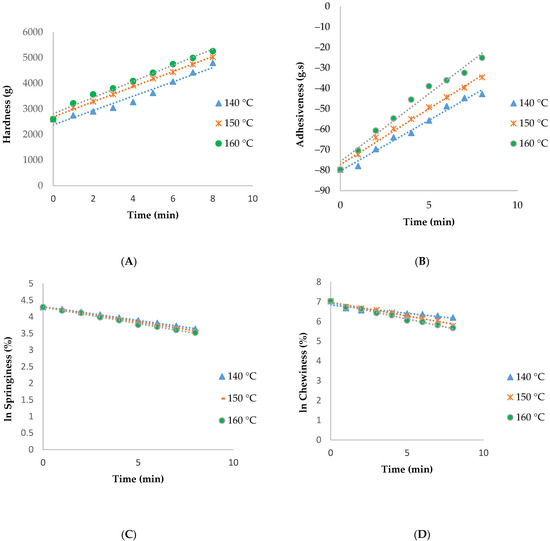
Halloumi cheese is commonly consumed in fried form, yet the effects of frying conditions on its quality and energy performance have not been fully clarified. This study aimed to investigate the color and texture changes of halloumi cheese during deep-fat frying at 140, [...] Read more.
Halloumi cheese is commonly consumed in fried form, yet the effects of frying conditions on its quality and energy performance have not been fully clarified. This study aimed to investigate the color and texture changes of halloumi cheese during deep-fat frying at 140, 150 and 160 °C for 0, 2, 4, 6 and 8 min. It also evaluated the exergy efficiency of the process to clarify how frying temperature and time influence energy use. Based on regression analysis, the reaction kinetics of L*, a*, and b* followed first-order behavior, while changes in ΔE were best described by a zero-order model. The texture parameters chewiness and springiness decreased in accordance with first-order kinetics, whereas the observed increases in hardness and adhesiveness followed a zero-order reaction model. Activation energies for both color and texture changes, calculated using the Arrhenius equation, ranged from 12.976 to 50.857 kJ/mol. Exergy efficiency varied between 31.08% and 46.83%, with the highest value obtained at 150 °C for 8 min. The combined kinetic and exergy approach provides practical information for selecting frying conditions that ensure consistent quality while improving energy use in fried dairy products. Full article
(This article belongs to the Topic Advanced Heat and Mass Transfer Technologies, 2nd Edition)
Show Figures

Figure 1

24 pages, 3665 KB  
Article
Study of Different Enrichment Methods with Blackcurrant Wine and Their Effects on Hard Cheese Properties
by Renáta Szabó, Erika Veres, Csilla Albert, Éva Laslo, László Gyenge and Rozália Veronika Salamon
Dairy 2025, 6(6), 71; https://doi.org/10.3390/dairy6060071 - 12 Dec 2025
Viewed by 431
Abstract
Cheese consumption is steadily increasing worldwide, with a growing interest in cheese enriched with bioactive substances, including antioxidants. This study investigated the impact of adding blackcurrant wine to the curd (IC), enriching the curd with blackcurrant wine by soaking and ripening in salted [...] Read more.
Cheese consumption is steadily increasing worldwide, with a growing interest in cheese enriched with bioactive substances, including antioxidants. This study investigated the impact of adding blackcurrant wine to the curd (IC), enriching the curd with blackcurrant wine by soaking and ripening in salted blackcurrant wine (IOC), and cheese soaked and ripened in blackcurrant wine with 5% (w/w) NaCl (OC). The curd and added wine weight ratio (1.5:1, 3:1) effects were also studied. Physicochemical (dry matter, polyphenol content, antioxidant activity, radical-scavenging activity, anthocyanin content like delphinidin-3-rutoside and cyanidin-3-rutoside, ethanol content), microbiological, and sensory properties of the cheeses were evaluated. The results indicated that a week of soaking is sufficient to achieve the maximum antioxidant capacity and polyphenol content of the cheese. From a technological and sensory point of view, a 1.5:1 ratio of blackcurrant wine to curd was better. The maximum transfer rate of delphinidin-3-rutoside from wine was the most pronounced in IOC samples (20.44%). Blackcurrant wine inhibited the growth of lactic acid bacteria, and a longer soaking time can hinder the ripening process of cheese. During tasting, among the treated cheese, IC samples received the highest average acceptance scores for appearance, texture, creaminess, flavor, saltiness, bitterness, freshness and overall impressions. Full article
Show Figures

Figure 1

18 pages, 1214 KB  
Article
Influence of Sodium Chloride on the Behaviour of Pseudomonas fluorescens in Ripened Sheep Cheese
by Simone Lopes, Manuela Vida, Cláudia Correia, Jaime Fernandes, Sandra Gomes, Ana Fernando, Rafael Tabla and Nuno Alvarenga
Microorganisms 2025, 13(12), 2693; https://doi.org/10.3390/microorganisms13122693 - 26 Nov 2025
Cited by 1 | Viewed by 690
Abstract
Ewe’s milk cheese produced from raw milk holds cultural and economic importance in Southern European countries; however, it poses microbiological challenges. Among spoilage microorganisms, Pseudomonas fluorescens is particularly concerning due to thermostable enzymes that impair the texture, aroma, and stability of cheese, even [...] Read more.
Ewe’s milk cheese produced from raw milk holds cultural and economic importance in Southern European countries; however, it poses microbiological challenges. Among spoilage microorganisms, Pseudomonas fluorescens is particularly concerning due to thermostable enzymes that impair the texture, aroma, and stability of cheese, even under refrigeration and salinity. This study evaluated the influence of sodium chloride concentration on Pseudomonas fluorescens given the pivotal role of salt in ensuring cheese stability and safety. Cheeses inoculated with Pseudomonas fluorescens were produced under an experimental design that combined three ripening temperatures with four salt concentrations. Physicochemical composition and microbiological stability were assessed at the end of ripening (20 days). Results showed that the ripening temperature emerged as the most determinant factor, influencing microbial viability and increasing solid retention, proteolysis, and dehydration, leading to harder cheeses. Low temperatures without salt favoured surface colour defects, whereas, although high salt levels contributed to partial control of Pseudomonas spp., they also delayed ripening, resulting in cheeses with a pale, uncharacteristic appearance. Conversely, moderate salinity (2%) combined with higher ripening temperatures promoted uniform maturation, resulting in a stable texture and appearance free of defects. These findings highlight the need to balance salt and ripening conditions to optimise quality and safety in traditional raw ewe’s milk cheeses. Full article
Show Figures

Figure 1

37 pages, 748 KB  
Review
Clarifying the Dual Role of Staphylococcus spp. in Cheese Production
by Alessandra Casagrande Ribeiro, Déborah Tavares Alves, Gabriela Zampieri Campos, Talita Gomes da Costa, Bernadette Dora Gombossy de Melo Franco, Felipe Alves de Almeida and Uelinton Manoel Pinto
Foods 2025, 14(22), 3823; https://doi.org/10.3390/foods14223823 - 7 Nov 2025
Viewed by 1278
Abstract
Staphylococcus spp. present a dual role in cheese production as some species are pathogenic, while others bring beneficial characteristics. Coagulase-positive staphylococci (CoPS), particularly Staphylococcus aureus, are of concern due to their ability to produce enterotoxins linked to foodborne outbreaks. These toxins, encoded [...] Read more.
Staphylococcus spp. present a dual role in cheese production as some species are pathogenic, while others bring beneficial characteristics. Coagulase-positive staphylococci (CoPS), particularly Staphylococcus aureus, are of concern due to their ability to produce enterotoxins linked to foodborne outbreaks. These toxins, encoded by staphylococcal enterotoxin (SE) genes, cause gastroenteritis, especially vomiting. Many members of the genus harbor a plethora of virulence genes and are able to form biofilms. The prevalence of antibiotic-resistant strains, including methicillin-resistant S. aureus (MRSA), complicates control. In contrast, some members of the coagulase-negative staphylococci (CoNS) group, such as Staphylococcus carnosus, Staphylococcus condimenti, Staphylococcus equorum, Staphylococcus piscifermentans, Staphylococcus succinus, and Staphylococcus xylosus, contribute to ripening, influencing flavor and texture. Some are even considered safe and studied for their ability to inhibit pathogens. Expression of enterotoxin genes in Staphylococcus, particularly S. aureus, is influenced by environmental factors and can be regulated by different mechanisms including quorum sensing. Understanding gene expression in conditions found during cheese production and ripening can help in formulating effective interventions. Risks posed by enterotoxin-producing Staphylococcus in cheese are evident, with numerous outbreaks reported worldwide. Moreover, several species present risks to both animal and human health. Effective control measures include adherence to microbiological criteria in foods, animal health monitoring, good manufacturing practices (GMP), temperature control, proper ripening conditions and hygiene. This review compiles and discusses existing knowledge on CoPS and CoNS in cheeses, providing a framework for evaluating their risks and benefits and guiding future studies in cheese microbiology. Full article
(This article belongs to the Special Issue Microbiota and Cheese Quality)
Show Figures

Graphical abstract

25 pages, 6022 KB  
Article
Effects of Spice Mixtures and Konjac Glucomannan–Whey Protein Isolate Based Edible Films on the Microbiological Stability and Textural Properties of Cheese
by Aslı Çelikel Güngör, Mutlu Buket Akın and Emir Ayşe Özer
Foods 2025, 14(22), 3819; https://doi.org/10.3390/foods14223819 - 7 Nov 2025
Viewed by 935
Abstract
Some of the main factors affecting the product quality and shelf life of cheese include weight loss during storage, microbial spoilage, and structural changes in processing technology. Edible films are coating materials produced with the aim of improving quality properties and extending shelf [...] Read more.
Some of the main factors affecting the product quality and shelf life of cheese include weight loss during storage, microbial spoilage, and structural changes in processing technology. Edible films are coating materials produced with the aim of improving quality properties and extending shelf life, and various studies have been conducted on their properties. However, research examining the effects of coatings enriched with spice-derived natural antimicrobial compounds is scarce in relation to cheese quality. In this study, edible films and spice mixtures were applied to cheese during storage, and their effects on weight loss, textural properties, and microbiological stability were investigated. Response surface methodology was used to determine the edible films and spice mixtures used in the coatings. The amounts of whey protein isolate and konjac glucomannan in the composition of edible films were found to affect water vapor permeability, elongation coefficient, and tensile strength properties; in the spice mixtures, thyme, rosemary, and red pepper were found to have antifungal effects. Based on the data obtained, it was determined that applying an edible film coating to the cheese surface reduced weight loss and improved textural properties, while applying a spice mixture coating increased microbial stability. This study demonstrates that the use of edible films supported by natural protective components could be a practically applicable, innovative, and sustainable approach to improving the properties of cheese and extending its shelf life. Full article
Show Figures

Graphical abstract

18 pages, 998 KB  
Article
Production of Bio-Improved Butter with Lactic Acid Bacteria Isolated from Traditional Cheese Matrix and Eye Fluid
by Gokce Keser and Tulay Ozcan
Fermentation 2025, 11(11), 620; https://doi.org/10.3390/fermentation11110620 - 31 Oct 2025
Viewed by 1187
Abstract
This study aimed to investigate the effects of Levilactobacillus brevis, Lacticaseibacillus paracasei, and Lacticaseibacillus rhamnosus strains isolated from Mihalic cheese, also known as “weeping cheese”, on fermentation kinetics, microbial viability, and textural and aromatic properties of the butter matrix. The effects [...] Read more.
This study aimed to investigate the effects of Levilactobacillus brevis, Lacticaseibacillus paracasei, and Lacticaseibacillus rhamnosus strains isolated from Mihalic cheese, also known as “weeping cheese”, on fermentation kinetics, microbial viability, and textural and aromatic properties of the butter matrix. The effects of the isolates were determined on acidification kinetics (Vmax, Tvmax, pHvmax), viability proportion index (VPI), textural parameters (firmness, work of shear, stickiness, work of adhesion), and volatile aroma compounds (GC-MS) formation. This study found that the BLR sample containing Lacticaseibacillus rhamnosus maintained its limited viability under acidic stress conditions despite its high fermentation rate and low pHvmax values. The BLP sample containing Lacticaseibacillus paracasei exhibited high viability due to its low acidification rate and limited pH change. Determining the chemical classes to which the aroma compounds in the BLP sample belonged revealed a composition rich in fatty acids. The BLB sample containing Levilactobacillus brevis produced a high ΔpH value and an aroma profile rich in aldehyde compounds. Examination of the macro-structural properties of the butter samples revealed that the sample containing Lacticaseibacillus rhamnosus, similar to the control sample (BMC), was more compact and rigid during storage. In contrast, samples containing Lacticaseibacillus paracasei and Levilactobacillus brevis had a softer/spreadable texture. These findings demonstrate the potential of lactic acid bacteria isolates from the traditional Mihalic cheese microbiota as biological catalysts for the development/improvement of texture, aroma, and sensory quality in high-fat dairy products and for the industrial production of products modified to meet consumer preferences. Full article
Show Figures

Figure 1

16 pages, 329 KB  
Article
Effect of Enzymatic Lactose Hydrolysis on the Quality and Texture of Full-Fat Curd Cheese Produced Without Whey Separation
by Małgorzata Ziarno, Dorota Zaręba, Iwona Ścibisz and Mariola Kozłowska
Microorganisms 2025, 13(11), 2471; https://doi.org/10.3390/microorganisms13112471 - 29 Oct 2025
Viewed by 964
Abstract
Lactic acid bacteria (LAB) play a crucial role in acid-curd cheese production by driving milk protein coagulation and forming metabolites that determine texture, safety, and flavor. This study investigated the effect of enzymatic lactose hydrolysis using β-D-galactosidase (Maxilact LX5000) on the quality of [...] Read more.
Lactic acid bacteria (LAB) play a crucial role in acid-curd cheese production by driving milk protein coagulation and forming metabolites that determine texture, safety, and flavor. This study investigated the effect of enzymatic lactose hydrolysis using β-D-galactosidase (Maxilact LX5000) on the quality of full-fat curd cheeses (16.5% and 20.8% dry matter) produced without whey separation. Cheeses were manufactured with or without prior lactose hydrolysis, inoculated with a mesophilic Flora Danica starter culture, and stored for 28 days at 4 °C. Chemical composition, sugar profile (HPLC), pH, LAB viability, textural properties (hardness, adhesiveness, and water-holding capacity), and sensory attributes were determined. Lactose hydrolysis completely eliminated lactose and increased glucose and galactose concentrations, without significant changes in protein, fat, or pH level. In our data, lactose was undetectable in hydrolyzed samples across storage, glucose/galactose exhibited only minor fluctuations, and LAB counts and pH remained stable, indicating a largely stable sugar profile and limited microbial activity under refrigeration. Hydrolyzed samples showed improved texture, especially higher hardness and moisture retention in low-dry-matter variants, while sensory characteristics were comparable to the control and free from excessive sweetness. These results demonstrate that enzymatic lactose hydrolysis is an effective tool for producing lactose-free curd cheese without compromising quality. This process can be recommended for sustainable whey-free cheese manufacture aimed at lactose-intolerant consumers. Full article
21 pages, 328 KB  
Article
Sunflower (Helianthus annuus) Seed Supplementation in Corn Silage-Based Diets for Dairy Ewes Modifies Milk and Cheese Fatty Acid Profile and Sensory Properties of Cheese
by Manuel Gonzalez-Ronquillo, Beatriz Schettino Bermudez, Jose J. Perez Gonzalez, Alondra Cristel Narvaez Lopez, Lizbeth E. Robles Jimenez and Navid Ghavipanje
Foods 2025, 14(19), 3443; https://doi.org/10.3390/foods14193443 - 8 Oct 2025
Viewed by 739
Abstract
Consumers increasingly demand dairy products with improved nutritional quality, particularly regarding their fatty acid (FA) composition, due to recognized implications for human health. This study aimed to evaluate the modification in the composition, FA profile, and sensory profile of cheeses elaborated with ewe [...] Read more.
Consumers increasingly demand dairy products with improved nutritional quality, particularly regarding their fatty acid (FA) composition, due to recognized implications for human health. This study aimed to evaluate the modification in the composition, FA profile, and sensory profile of cheeses elaborated with ewe milk, through the diet inclusion of crushed sunflower (Helianthus annuus) seeds and sunflower seed silage in corn silage-based diets. The study was conducted with six East-Friesian ewes in a double 3 × 3 Latin square design, including three 21-day periods. Three diets were based on ad libitum corn silage as follows: control (CTRL, without supplementation), sunflower seeds (SFS, supplemented with 86 g/kg crushed sunflower seeds), and sunflower seed silage (SFSS, supplemented with 137 g/kg sunflower seed silage). The composition and FA profile of milk and cheese, and the sensory properties of cheese, together with the sensory profile, were evaluated. Dietary feeding with SFS and SFSS did not affect milk production and milk fat percentage but increased protein percentage. SFS and/or SFSS increased C18:0, C18:1 trans-9, and C18:1 cis-9 compared to CTRL in milk and cheese. Cheeses from SFS ewes showed improved taste and total acceptability, while odor, color, and texture of cheese remained unaffected. Therefore, SFS and SFSS appeared as a viable strategy to increase the contribution of FA with beneficial effects for health in milk and cheeses. Full article
16 pages, 2319 KB  
Article
Evaluation of the Impact of Whey Edible Coatings with Bioprotective Cultures and Thyme Essential Oil Applied to Cheese
by Carlos Dias Pereira, Klaudia Hodowaniec, Karolina Kucz, Katarzyna Szkolnicka, David Gomes and Arona Pires
Dairy 2025, 6(5), 56; https://doi.org/10.3390/dairy6050056 - 26 Sep 2025
Viewed by 1284
Abstract
This research work evaluated the application of whey-based edible coatings to cheeses. Coatings were prepared with a bioprotective culture (BC) containing Lacticaseibacillus paracasei and Lacticaseibacillus rhamnosus alone, or in conjunction with thyme essential oil (TEO). The samples containing the BC or the BC [...] Read more.
This research work evaluated the application of whey-based edible coatings to cheeses. Coatings were prepared with a bioprotective culture (BC) containing Lacticaseibacillus paracasei and Lacticaseibacillus rhamnosus alone, or in conjunction with thyme essential oil (TEO). The samples containing the BC or the BC plus TEO were compared with cheeses without coating, with cheeses with whey-based coatings without BC or TEO, and with cheeses treated with natamycin. The cheeses were evaluated regarding their physicochemical, microbiological, and sensory properties. All cheeses produced were classified as full-fat (≥45–60% fat in dry matter—FDM) and semihard (>54–<63% moisture in the defatted cheese—MDC), with an exception made for the control cheese, which presented lower levels of MDC, graded as hard (>49–<56% MDC). Most of the parameters evaluated presented significant differences between samples and as a result of ripening time. Regarding color parameters, it was observed that, after ripening, the external color of the samples with the whey coating presented higher lightness values (L*), higher a* values, and lower b* values. These differences clearly resulted from the white color imparted by the coating. Significant differences were also observed with respect to the texture parameters of the cheeses. The samples containing the BC or the BC plus TEO presented higher values for hardness and chewiness. In what concerns the microbiological evaluation, in all cases, lactic acid bacteria counts increased from log 7.5–8 CFU/g on the first day to ca. log 10 CFU/g at the end of the ripening period. Yeast and mold counts were significantly lower in samples containing the BC or the BC plus TEO, with values of ca. log 3 CFU/g and log 2.5 CFU/g, respectively. These values are like those obtained in samples with natamycin, with 1–2 log cycles below those of cheeses without treatment. However, the use of BC and BC plus TEO had a negative impact on the sensory properties of cheeses. Future work should evaluate the synergistic effect of different BCs and EOs. Full article
(This article belongs to the Section Milk Processing)
Show Figures

Figure 1

23 pages, 1444 KB  
Review
Streptococcus thermophilus: Metabolic Properties, Functional Features, and Useful Applications
by Alyaa Zaidan Ghailan and Alaa Kareem Niamah
Appl. Microbiol. 2025, 5(4), 101; https://doi.org/10.3390/applmicrobiol5040101 - 23 Sep 2025
Cited by 3 | Viewed by 6166
Abstract
Streptococcus thermophilus is a Gram-positive, homofermentative lactic acid bacterium classified within the Firmicutes phylum, recognized for its probiotic properties and significant role in promoting human health. This review consolidates existing understanding of its metabolic pathways, functional metabolites, and diverse applications, highlighting evidence-based insights [...] Read more.
Streptococcus thermophilus is a Gram-positive, homofermentative lactic acid bacterium classified within the Firmicutes phylum, recognized for its probiotic properties and significant role in promoting human health. This review consolidates existing understanding of its metabolic pathways, functional metabolites, and diverse applications, highlighting evidence-based insights to enhance scientific integrity. S. thermophilus predominantly ferments lactose through the Embden-Meyerhof-Parnas pathway, resulting in L(+)-lactic acid as the primary end-product, along with secondary metabolites including acetic acid, formic acid, and pyruvate derivatives. Exopolysaccharides (EPS) are composed of repeating units of glucose, galactose, rhamnose, and N-acetylgalactosamine. They display strain-specific molecular weights ranging from 10 to 2000 kDa and contribute to the viscosity of fermented products, while also providing antioxidant and immunomodulatory benefits. Aromatic compounds such as acetaldehyde and phenylacetic acid are products of amino acid catabolism and carbohydrate metabolism, playing a significant role in the sensory characteristics observed in dairy fermentations. Bacteriocins, such as thermophilins (e.g., Thermophilin 13, 110), exhibit extensive antimicrobial efficacy against pathogens including Listeria monocytogenes and Bacillus cereus. Their activity is modulated by quorum-sensing mechanisms that involve the blp gene cluster, and they possess significant stability under heat and pH variations, making them suitable for biopreservation applications. In food applications, S. thermophilus functions as a Generally Recognized as Safe (GRAS) starter culture in the production of yogurt and cheese, working in conjunction with Lactobacillus delbrueckii subsp. bulgaricus to enhance acidification and improve texture. Specific strains have been identified to mitigate lactose intolerance, antibiotic-related diarrhea, and inflammatory bowel diseases through the modulation of gut microbiota, the production of short-chain fatty acids, and the inhibition of Helicobacter pylori. The genome, characterized by a G + C content of approximately 37 mol%, facilitates advancements in Clustered Regularly Interspaced Short Palindromic Repeats (CRISPR)-Cas technology and heterologous protein expression, with applications extending to non-dairy fermentations and the development of postbiotics. This review emphasizes the adaptability of S. thermophilus, showcasing the variability among strains and the necessity for thorough preclinical and clinical validation to fully utilize its potential in health, sustainable agriculture, and innovation. It also addresses challenges such as susceptibility to bacteriophages and limitations in proteolytic activity. Full article
Show Figures

Figure 1

40 pages, 4383 KB  
Article
Chitosan-Based Edible Films as Innovative Preservation Tools for Fermented and Dairy Products
by Fadime Seyrekoğlu and Esra Efdal
Fermentation 2025, 11(9), 542; https://doi.org/10.3390/fermentation11090542 - 18 Sep 2025
Viewed by 1653
Abstract
Extending the shelf life and ensuring microbial stability of processed foods are key objectives in the food industry. In this study, edible films containing chitosan, chitosan + thyme (Thymus vulgaris) oil, and chitosan + rosemary (Rosmarinus officinalis) oil were [...] Read more.
Extending the shelf life and ensuring microbial stability of processed foods are key objectives in the food industry. In this study, edible films containing chitosan, chitosan + thyme (Thymus vulgaris) oil, and chitosan + rosemary (Rosmarinus officinalis) oil were applied to traditional and industrial Cecil cheese using the dipping method, with control groups for each production type. Samples were stored at 4 ± 1 °C for 45 days, and physical (color, water activity, and texture), chemical (pH, acidity, and dry matter), microbiological (total aerobic mesophilic bacteria, yeast-mold, coliforms, and lactic acid bacteria), and sensory analyses were performed on days 1, 15, 30, and 45. Results indicated that chitosan-based films effectively limited microbial growth, with the chitosan + rosemary oil combination being particularly effective in reducing microbial load and maintaining textural stability. Traditional cheeses achieved higher overall acceptability, while purchase intent was greater for industrial products. Coated samples exhibited slower pH decline and more stable dry matter content; industrial cheeses retained moisture more effectively. Texture profile analysis showed more stable chewiness and springiness values in coated samples. In conclusion, natural edible films represent an effective approach for extending shelf life and preserving quality, particularly in traditional cheeses with fibrous structures and shorter shelf lives. Full article
(This article belongs to the Section Fermentation for Food and Beverages)
Show Figures

Figure 1

16 pages, 856 KB  
Article
Investigation of Halloumi Cheese Adulteration Due to the Addition of Milk Powder Using BET and FTIR Measurements
by Maria Tarapoulouzi, Małgorzata Ruggiero-Mikołajczyk, Ioannis Pashalidis and Charis R. Theocharis
Analytica 2025, 6(3), 34; https://doi.org/10.3390/analytica6030034 - 8 Sep 2025
Viewed by 1097
Abstract
Halloumi cheese, a traditional Cypriot dairy product with Protected Designation of Origin (PDO) status, is renowned for its unique texture and high melting point. PDO certification is crucial for Halloumi cheese as it ensures the product’s authenticity, protects its traditional production methods and [...] Read more.
Halloumi cheese, a traditional Cypriot dairy product with Protected Designation of Origin (PDO) status, is renowned for its unique texture and high melting point. PDO certification is crucial for Halloumi cheese as it ensures the product’s authenticity, protects its traditional production methods and geographical origin, and safeguards consumers and producers against fraud and mislabeling. However, concerns over adulteration, particularly through the addition of skim milk powder, pose challenges to its authenticity and quality control. This study is the first to analyze Halloumi cheese using Brunauer–Emmett–Teller (BET) analysis and Fourier Transform Infrared (FTIR) spectroscopy, providing a novel approach to assessing its composition and authenticity. Furthermore, it marks the first time Halloumi samples have been examined in the context of PDO certification. Alongside PDO-certified Halloumi, two additional sample sets were produced following PDO specifications for moisture, fat, and salt content, with the controlled incorporation of skim milk powder as an adulterant at concentrations of 1% and 5%. Principal component analysis (PCA) was employed to visualize and interpret the spectral data, revealing promising results. Chemometric analysis showed that the specific surface area from BET measurements and the FTIR spectral subregion between 1650 and 1100 cm−1 were key factors, and they were retained for model construction. These findings could play a crucial role in establishing official food fraud detection methodologies, particularly for the Cyprus and EU markets. While this study serves as an initial investigation, additional samples will be tested in future studies to validate these preliminary results and to assess the potential of applying these techniques in real-world food fraud detection scenarios. Full article
(This article belongs to the Special Issue Feature Papers in Analytica)
Show Figures

Figure 1

20 pages, 1008 KB  
Article
Chemical Characterization, Antioxidant Capacity, and Antimicrobial Activity of a New Fresh Cheese Added with Guabiroba Pulp
by Leandro José de Oliveira Mindelo, Ana Caroline Ferreira Carvalho, Amanda Alves Prestes, Karine Marafon, Dayanne Regina Mendes Andrade, Jefferson Santos de Gois, Marcel Afonso Provenzi, Marília Miotto, Carolina Krebs de Souza, Cristiane Vieira Helm, Tatiana Colombo Pimentel and Elane Schwinden Prudêncio
Processes 2025, 13(9), 2844; https://doi.org/10.3390/pr13092844 - 5 Sep 2025
Viewed by 893
Abstract
Fresh cheeses are dairy products that are highly valued by consumers, and they are frequently added with ingredients with functional properties. For the first time, this study aimed to characterize fresh cheeses added with guabiroba pulp (5, 10, 15%) by evaluating their physical–chemical [...] Read more.
Fresh cheeses are dairy products that are highly valued by consumers, and they are frequently added with ingredients with functional properties. For the first time, this study aimed to characterize fresh cheeses added with guabiroba pulp (5, 10, 15%) by evaluating their physical–chemical properties, concentration of bioactive compounds, and in vitro antioxidant and antimicrobial activities. Based on our previous studies, adding 10–15% guabiroba pulp to dairy products is enough to enhance their prebiotic activity, in addition to increasing the levels of bioactive compounds, antioxidant activity, and promoting an evident and natural orange color to the dairy product. Adding guabiroba pulp decreased the water activity, pH value, luminosity, and the products’ texture properties (firmness, elasticity, cohesiveness, and gumminess). At the same time, it increased the concentration of bioactive compounds (carotenoids, amino acids, phenolic compounds, and fatty acids), organic acids, sugars (sucrose and fructose), and antioxidant activity. Antimicrobial activity against Staphylococcus aureus and Escherichia coli was observed for fresh cheese samples with guabiroba pulp addition. In conclusion, fresh cheeses with guabiroba pulp presented an improved concentration of bioactive compounds and functional properties, demonstrating that they are innovative products for the dairy industry. Full article
(This article belongs to the Section Food Process Engineering)
Show Figures

Figure 1

Back to TopTop