Sign in to use this feature.

Years

Between: -

Subjects

remove_circle_outline
remove_circle_outline
remove_circle_outline
remove_circle_outline
remove_circle_outline
remove_circle_outline
remove_circle_outline
remove_circle_outline
remove_circle_outline

Journals

Article Types

Countries / Regions

Search Results (130)

Search Parameters:
Keywords = changing pumping head

Order results
Result details
Results per page
Select all
Export citation of selected articles as:
14 pages, 3304 KB  
Article
Influence of Blade Tip Clearance on External Characteristics and Internal Flow Pattern of Axial Flow Pumps
by Ling Bai, Jie Zhang, Lei Jiang, Hong Xu and Ling Zhou
Water 2026, 18(3), 437; https://doi.org/10.3390/w18030437 - 6 Feb 2026
Viewed by 403
Abstract
Axial flow pumps, widely utilized in critical fields such as agricultural irrigation, urban water diversion and flood control, play an indispensable role in large-scale water transport and drainage projects due to their high-flow and low-head characteristics. This study systematically investigates the influence of [...] Read more.
Axial flow pumps, widely utilized in critical fields such as agricultural irrigation, urban water diversion and flood control, play an indispensable role in large-scale water transport and drainage projects due to their high-flow and low-head characteristics. This study systematically investigates the influence of tip clearance on the external characteristics and internal flow field of a large-scale axial flow pump (model 1800GZX-125). By combining numerical simulations with experimental validation, a comparative analysis was conducted under four tip clearance sizes (3 mm, 12 mm, 17.5 mm, 24 mm) and various flow conditions. The results indicate that increasing the tip clearance generally reduces the pump head and peak efficiency. It also alters the blade pressure distribution, expands the low-pressure region, and intensifies tip leakage flow. While vorticity overall increases, it weakens locally under certain conditions due to changes in leakage flow patterns. Entropy generation analysis further reveals that larger clearances lead to significantly increased energy losses, thereby degrading external performance. These findings provide a theoretical basis for improving the performance and operational stability of axial flow pumps. Full article
(This article belongs to the Special Issue Hydrodynamics in Pumping and Hydropower Systems, 2nd Edition)
Show Figures

Figure 1

13 pages, 1263 KB  
Article
Structural Optimization and Numerical Simulation Research of Anti-Air Lock Variable-Diameter Oil Pump
by Xiangyang Zhang, Shuangshuang Ren, Fei Shen, Zhanbao Fu, Deli Jia, Qinghai Yang and Ruojun Wang
Energies 2026, 19(2), 341; https://doi.org/10.3390/en19020341 - 10 Jan 2026
Viewed by 234
Abstract
Under the condition of gas–liquid two-phase flow, traditional sucker rod pumps are prone to gas locking due to the high compressibility of gas, and their volumetric efficiency is usually less than 30%, which seriously restricts the exploitation benefits of oil wells. To solve [...] Read more.
Under the condition of gas–liquid two-phase flow, traditional sucker rod pumps are prone to gas locking due to the high compressibility of gas, and their volumetric efficiency is usually less than 30%, which seriously restricts the exploitation benefits of oil wells. To solve this difficult problem, this study proposes a variable-diameter tube pump structure that adopts an optimized cone angle of the pump cylinder. The results of computational fluid dynamics simulations using dynamic mesh modeling indicate that the stepped change in the pump barrel diameter can enhance the gas–liquid separation effect caused by vortices, while the flow-guiding grooves on the valve seat can reduce the response delay. Comparative calculations and analyses show that compared with the traditional design, its head increases to 13.89 m, and the hydraulic power rises to 1431.01 W, respectively, representing an increase of 17%. This is attributed to the reduction in the gas retention time during piston reciprocation and the stability of the flow field. This structural innovation effectively alleviates the gas lock problem and provides a feasible approach for improving energy efficiency in oil wells prone to vaporization, which is of great significance in oilfield development operations. Full article
(This article belongs to the Section H1: Petroleum Engineering)
Show Figures

Figure 1

22 pages, 845 KB  
Article
Mechanism of the AC-Light-Shift-Induced Phase Shift and a DC Compensation Strategy in Bell–Bloom Magnetometers
by Rui Zhang
Sensors 2025, 25(22), 6871; https://doi.org/10.3390/s25226871 - 10 Nov 2025
Viewed by 747
Abstract
The Bell–Bloom magnetometer is promising for mobile applications, but its accuracy is limited by heading errors. A recently identified source of such error is a phase shift in the magnetic resonance, which arises from the superposition of two signals, i.e., the primary resonance [...] Read more.
The Bell–Bloom magnetometer is promising for mobile applications, but its accuracy is limited by heading errors. A recently identified source of such error is a phase shift in the magnetic resonance, which arises from the superposition of two signals, i.e., the primary resonance from synchronous pumping and a secondary resonance, 90° out-of-phase, driven by the AC light shift of the pump laser. Through Bloch equation modeling and experiment, we uncover a counter-intuitive mechanism: although initiated by the AC light shift, the phase shift’s magnitude is determined solely by the pump light’s average power (DC component) and is independent of its AC modulation. This occurs because the amplitude ratio of the two resonances depends exclusively on the DC-power-induced atomic polarization. Based on this insight, we propose a novel DC compensation scheme by adding a continuous counter-polarized beam to cancel the net DC pumping. Theoretically, this simultaneously suppresses both the AC-light-shift-induced phase shift and the DC-light-shift-induced frequency shift. The scheme’s advantage is its simplified approach to polarization control, avoiding the need for high-speed polarization modulation or major hardware changes as the beams share the same optical path. This makes it highly suitable for demanding mobile applications like aerial magnetic surveying and wearable bio-magnetic sensing in unshielded environments. Full article
(This article belongs to the Special Issue Advanced Magnetic Field-Sensing Technologies: Design and Application)
Show Figures

Figure 1

29 pages, 12786 KB  
Article
Groundwater Overexploitation and Land Subsidence in the Messara Basin, Crete: Integrating Land Use, Hydrolithology and Basin-Scale Potentiometry with InSAR
by Ioannis Michalakis, Constantinos Loupasakis and Eleni Tsolaki
Land 2025, 14(11), 2124; https://doi.org/10.3390/land14112124 - 24 Oct 2025
Cited by 1 | Viewed by 6504
Abstract
The Messara Basin, a critical agricultural region in Crete, Greece, faces escalating geohazards, particularly land subsidence driven by intensive groundwater abstraction. Historical radar interferometry (1992–2009) indicated subsidence up to 20 mm·yr−1, while recent European Ground Motion Service data (2016–2021) show mean [...] Read more.
The Messara Basin, a critical agricultural region in Crete, Greece, faces escalating geohazards, particularly land subsidence driven by intensive groundwater abstraction. Historical radar interferometry (1992–2009) indicated subsidence up to 20 mm·yr−1, while recent European Ground Motion Service data (2016–2021) show mean vertical velocities reaching −31.2 mm·yr−1. This study provides the first integrated hydrogeological assessment for the Basin, based on systematic field surveys, borehole inventories, and four coordinated campaigns (2021–2023) that established a basin-wide monitoring network of 767 stations. The dataset supports delineation of recharge zones, identification of potentiometric depressions, and mapping of aquifer-stress areas. Results show strong seasonality and extensive cones of depression, with local heads declining to ~−50 m below sea level. Land-use change (1990–2018 CORINE data; 2000–2020 agricultural censuses) combined with updated geological mapping highlights the vulnerability of post-Alpine formations, especially Quaternary and Plio–Pleistocene deposits, to deformation. The combined evidence links pumping-induced head decline with spatially coherent subsidence, delineates hotspots of aquifer stress, and identifies zones of elevated compaction risk. These findings provide a decision-ready baseline to support sustainable groundwater management, including enhanced monitoring, targeted demand controls, and managed aquifer-recharge trials. Full article
Show Figures

Figure 1

16 pages, 1620 KB  
Article
Analysis of Marginal Expansion in Existing Pressurised Water Installations: Analytical Formulation and Practical Application
by Alfonso Arrieta-Pastrana, Oscar E. Coronado-Hernández and Manuel Saba
Sci 2025, 7(4), 140; https://doi.org/10.3390/sci7040140 - 2 Oct 2025
Viewed by 719
Abstract
Water supply networks in both developed and developing major cities worldwide were constructed many years ago. Currently, these systems face numerous challenges, including population growth, climate change, emerging technologies, and the policies implemented by local governments. Such factors can impact the design life [...] Read more.
Water supply networks in both developed and developing major cities worldwide were constructed many years ago. Currently, these systems face numerous challenges, including population growth, climate change, emerging technologies, and the policies implemented by local governments. Such factors can impact the design life of water infrastructure, leading to service pressure deficiencies. Consequently, water infrastructure must be reinforced to ensure an adequate and reliable service. This research presents the development of an analytical formulation for hydraulic installations with a pumping station, enabling the calculation of requirements for a new parallel pipeline within an existing water system without altering the current pipe resistance class. To implement the proposed solution, it is essential to maintain the initial pump head by adjusting the impeller size. A construction cost assessment is also undertaken to identify the most cost-effective reinforcement strategy, acknowledging that pipe costs vary significantly with diameter and material, and are proportional to the square of the diameter. The proposed methodology is applied to a 30 km pipeline with a 10% increase in demand, showing that a new parallel pipe of the same diameter as the existing hydraulic installation must be installed to minimise construction costs. A multi-parametric analysis was conducted employing machine learning presets with 309 dataset points. Full article
Show Figures

Figure 1

32 pages, 10952 KB  
Article
Study on the Gas–Liquid Two-Flow Characteristics Inside a Three-Stage Centrifugal Pump
by Xiang Zhang and Weidong Cao
Energies 2025, 18(17), 4772; https://doi.org/10.3390/en18174772 - 8 Sep 2025
Cited by 1 | Viewed by 1157
Abstract
This paper takes a small three-stage centrifugal pump as the research object. Based on the RNG k-ε turbulence model and the TFM two-phase flow model, the numerical simulation of the internal gas–liquid two-phase flow was carried out, and the influence of the inlet [...] Read more.
This paper takes a small three-stage centrifugal pump as the research object. Based on the RNG k-ε turbulence model and the TFM two-phase flow model, the numerical simulation of the internal gas–liquid two-phase flow was carried out, and the influence of the inlet gas content rate of the small multistage centrifugal pump on its internal flow was analyzed. The research results show that the head and efficiency of the multistage centrifugal pump will decrease with the increase in the inlet gas content rate. As the gas content increases from 0% to 5%, the head of the multistage centrifugal pump decreases by 3% and its efficiency drops by 5%. The trend of the continuous increase in the pressure on the blade surface does not change with the increase in the inlet gas content rate. The bubble area on the surface of the first-stage impeller blade increases with the increase in the gas content rate. When the inlet gas content rate condition reaches 5%, the bubbles cover the middle section of the blade suction surface. The flow vortex structure is mainly composed of blade separation vortices and mouth ring clearance leakage vortices. The vortices inside the impeller are concentrated in the blade outlet and rim area, while the vortices inside the guide vanes are located in the flow channel area of the anti-guide vanes. With the increase in the gas content rate, the amplitude of pressure pulsation in the flow channel inside the pump decreases. Full article
Show Figures

Figure 1

18 pages, 6260 KB  
Article
Operational Mechanisms and Energy Analysis of Variable-Speed Pumping Stations
by Yan Li, Jilong Lin, Yonggang Lu, Zhiwang Liu, Litao Qu, Fanxiao Jiao, Zhengwei Wang and Qingchang Meng
Water 2025, 17(17), 2620; https://doi.org/10.3390/w17172620 - 4 Sep 2025
Viewed by 1643
Abstract
The spatiotemporal uneven distribution of water resources conflicts sharply with human demands, with pumping stations facing efficiency decline due to aging infrastructure and complex hydraulic interactions. This study employs numerical simulation to investigate operational mechanisms in a parallel pump system at the Yanhuanding [...] Read more.
The spatiotemporal uneven distribution of water resources conflicts sharply with human demands, with pumping stations facing efficiency decline due to aging infrastructure and complex hydraulic interactions. This study employs numerical simulation to investigate operational mechanisms in a parallel pump system at the Yanhuanding Yanghuang Cascade Pumping Station. Using ANSYS Fluent 2024 R1 and the SST k-ω turbulence model, we demonstrate that variable-speed control expands the adjustable flow range to 1.17–1.26 m3/s while maintaining system efficiency at 83–84% under head differences of 77.8–79.8 m. Critically, energy losses (δH) at the 90° outlet pipe junction escalate from 3.8% to 18.2% of total energy with increasing flow, while Q-criterion vortex analysis reveals a 63% vortex area reduction at lower speeds. Furthermore, a dual-mode energy dissipation mechanism was identified: at 0.90n0 speed, turbulent kinetic energy surges by 115% with minimal dissipation change, indicating large-scale vortex dominance, whereas at 0.80n0, turbulent dissipation rate increases drastically by 39%, signifying a shift to small-scale viscous dissipation. The novelty of this work lies in the first systematic quantification of junction energy losses and the revelation of turbulent energy transformation mechanisms in parallel pump systems. These findings provide a physics-based foundation for optimizing energy efficiency in high-lift cascade pumping stations. Full article
(This article belongs to the Section Hydraulics and Hydrodynamics)
Show Figures

Figure 1

17 pages, 4939 KB  
Article
Distinct Effects of PFOS and OBS on Neurotoxicity via PMK-1 Mediated Pathway in Caenorhabditis elegans
by Jiahong Jiang, Qi Liu, Boxiang Zhang, Lei Zhao and Dan Xu
Toxics 2025, 13(8), 662; https://doi.org/10.3390/toxics13080662 - 6 Aug 2025
Cited by 2 | Viewed by 1507
Abstract
Sodium p-perfluorous nonenoxybenzenesulfonate (OBS) has been proposed as a substitute for perfluorooctanesulfonic acid (PFOS), yet it has garnered increasing attention due to its environmental persistence and potential toxicity. Despite these concerns, the neurotoxic mechanisms of OBS remain unclear. This study investigates and compares [...] Read more.
Sodium p-perfluorous nonenoxybenzenesulfonate (OBS) has been proposed as a substitute for perfluorooctanesulfonic acid (PFOS), yet it has garnered increasing attention due to its environmental persistence and potential toxicity. Despite these concerns, the neurotoxic mechanisms of OBS remain unclear. This study investigates and compares the neurotoxic effects and mechanisms of OBS and PFOS in Caenorhabditis elegans. L4-stage worms were exposed to OBS (0.1–100 μM) or PFOS (100 μM) for 24 h. Neurobehavioral analysis showed that OBS exposure induced concentration-dependent neurobehavioral deficits, with 100 μM OBS significantly reducing pharyngeal pumping rate (29.8%), head swing frequency (23.4%), and body bending frequency (46.6%), surpassing the effects of PFOS. Both compounds decreased the fluorescence intensity of dopaminergic, glutamatergic, and γ-aminobutyric acid neurons and downregulated neurotransmitter-associated genes. They also increased ROS generation and inhibited antioxidant gene expression. Molecular docking revealed that OBS had a stronger binding affinity to p38 MAPK key protein (PMK-1) than PFOS. OBS and PFOS upregulated pmk-1 and skn-1, modulating oxidative stress and neuronal function. pmk-1 mutation differentially affected OBS-induced neurobehavioral changes and gene expression alterations. Our findings indicate that OBS exhibits stronger neurotoxicity than PFOS in Caenorhabditis elegans, mediated through the PMK-1 pathway. These results highlight the need for further investigation into the safety of OBS as a PFOS alternative. Full article
(This article belongs to the Special Issue Molecular Mechanisms of PFAS-Induced Toxicity and Carcinogenicity)
Show Figures

Graphical abstract

22 pages, 18090 KB  
Article
Hydrogeological Assessment and Steady-State Groundwater Flow Modeling for Groundwater Management in the Golina River Sub-Basin, Northern Ethiopia, Using MODFLOW 6
by Hindeya Gebru, Tesfamichael Gebreyohannes, Ermias Hagos and Nicola Perilli
Water 2025, 17(7), 949; https://doi.org/10.3390/w17070949 - 25 Mar 2025
Cited by 4 | Viewed by 2099
Abstract
Unsustainable groundwater extraction for domestic and agricultural purposes, particularly crop irrigation, is leading to dramatic reductions in the quantity and quality of groundwater in many developing countries, including Ethiopia. Assessing and predicting groundwater responses to hydraulic stress caused by overexploitation related to anthropogenic [...] Read more.
Unsustainable groundwater extraction for domestic and agricultural purposes, particularly crop irrigation, is leading to dramatic reductions in the quantity and quality of groundwater in many developing countries, including Ethiopia. Assessing and predicting groundwater responses to hydraulic stress caused by overexploitation related to anthropogenic activities and climate change are crucial for informing water management decisions. The aim of this study is to develop a three-dimensional steady-state groundwater flow model for the Golina River Sub-Basin to understand the relationship between groundwater recharge and groundwater pumping and their impacts under steady-state conditions from the perspective of groundwater management. The model was created using MODFLOW 6 and discretized into 345 rows and 444 columns with a grid resolution of 100 m by 100 m. The subsurface was modeled as two layers: a clastic alluvial layer overlying a weathered and fractured bedrock. The surface-water divide of the Golina River Sub-Basin was treated as a no-flow boundary. The initial values of horizontal hydraulic conductivity ranged from 0.001 m/day for rhyolite to 27.26 m/day for alluvial deposits. The aquifer recharge rates from the WetSpass model ranged from 1.08 × 10−3 to 2.25 × 10−4 m/day, and the discharge rates from the springs, hand-dug wells, and boreholes were 2.79 × 104 m3/day, known flux boundaries. Sensitivity analysis revealed that the model is very sensitive to hydraulic conductivity, moderately sensitive to aquifer recharge, and less sensitive to groundwater pumping. Calibration was performed to match observed and simulated hydraulic heads of selected wells and achieved a correlation coefficient of 0.998. The calibrated hydraulic conductivity ranged from 1.2 × 10−4 m/day for rhyolite to 20 m/day for gravel-dominated alluvial deposits. The groundwater flow direction is toward the southeast, and the water balance indicates a negligible difference between the total recharge (207,775.8297 m3/day, which is the water entering the aquifer system) and the total pumped volume (207,775.9373 m3/day, which is the water leaving the aquifer system). The scenario analysis showed that an increase in the pumping rate of 25%, 50%, and 75% would result in a decrease in the hydraulic head by 4.64 m, 10.18 m, and 17.38 m, respectively. A decrease in recharge of 25%, 50%, and 75% would instead result in hydraulic-head declines of 6 m, 15.29 m, and 46.97 m, respectively. Consequently, the findings of this study suggest that decision-makers should prioritize enhancing integrated groundwater management strategies to improve recharge rates within the aquifer system of the study area. Full article
(This article belongs to the Special Issue Groundwater Flow and Transport Modeling in Aquifer Systems)
Show Figures

Figure 1

23 pages, 3631 KB  
Article
Optimization and Reliability Analysis of the Combined Application of Multiple Air Tanks Under Extreme Accident Conditions Based on the Multi-Objective Whale Optimization Algorithm
by Ran Li, Yanqiang Gao, Yihong Guan, Mou Lv and Hang Li
Sustainability 2025, 17(5), 2172; https://doi.org/10.3390/su17052172 - 3 Mar 2025
Cited by 1 | Viewed by 1268
Abstract
The operational condition of fire water supply aims to ensure the continuous and reliable supply of high-pressure water in emergency situations. Assuming a fire breaks out in a mountain village located far from the city center, due to the significantly higher flow rate [...] Read more.
The operational condition of fire water supply aims to ensure the continuous and reliable supply of high-pressure water in emergency situations. Assuming a fire breaks out in a mountain village located far from the city center, due to the significantly higher flow rate and velocity of the water supply pipeline compared to normal operating conditions, any malfunction or shutdown of the pump caused by improper operation could result in catastrophic damage to the pipeline system. In response to the call for sustainable development, addressing this urgent academic challenge means finding a way to safely and economically maintain a continuous water supply to the target water demand point, even under extreme accident conditions. In this paper, drawing on engineering examples, we considered air tanks with varying process parameters installed at multiple locations within a water conveyance system to prevent water hammer and ensure water supply safety. To ensure that air tanks are of high quality and cost-effective after procurement and use, a multi-objective optimization design model comprising fitting, optimization, and evaluation plates was constructed, aimed at selecting certain process parameters. In the multi-objective optimization design model, Latin hypercube sampling improved by simulated annealing (LHS-SA), stepwise regression analysis (SRA), the Multi-Objective Whale Optimization Algorithm (MOWOA), and the Multi-Criteria Decision Analysis (MCDA) method with various weight biases are used to ensure the rationality of the optimization process. By comparing the optimization results obtained using these different MCDA methods, it is evident that the results output after AHP-EWM evaluation tend to be economic indicators, whereas the results output after FN-MABAC evaluation tend to be safety indicators. In addition, according to the sensitivity analysis of weight distribution, it can be inferred that the changes in maximum transient pressure head caused by water hammer have the most significant impact on final decision-making. Full article
Show Figures

Figure 1

24 pages, 14494 KB  
Article
Comprehensive Analysis of Transient Flow Pattern and Radial Force Characteristics Within Centrifugal Pumps Under Variable Frequency Speed Regulation
by Linwei Tan, Jianxun Niu, Weidong Shi, Miaomiao Zhao, Song Gao, Yang Yang, Zilei Zuo, Tao Wang and Hui Li
Water 2025, 17(1), 56; https://doi.org/10.3390/w17010056 - 28 Dec 2024
Viewed by 1637
Abstract
This study investigates the transient behavior of a single-blade centrifugal pump under variable frequency speed regulation, with the objective of enhancing both pump efficiency and operational stability under variable frequency conditions. By integrating numerical simulations, external characteristic tests, and Particle Image Velocimetry (PIV) [...] Read more.
This study investigates the transient behavior of a single-blade centrifugal pump under variable frequency speed regulation, with the objective of enhancing both pump efficiency and operational stability under variable frequency conditions. By integrating numerical simulations, external characteristic tests, and Particle Image Velocimetry (PIV) flow field experiments, the research provides a comprehensive analysis of the dynamic performance of the pump. The accuracy of the numerical simulations is first validated through a comparison between CFD results and experimental data, both at rated and variable speeds. This study then explores the transient external performance, internal flow patterns, and radial force characteristics of the pump under various speed-change schemes. In the process of acceleration, the variation trend of the centrifugal pump head and speed is basically the same, and Scheme 3 shows better stability; Scheme 2 minimizes the fluctuation of shaft power; with the increase in speed, the pressure and flow field in the pump will appear to be unstable. In the deceleration process, the Scheme 3 head fluctuates less, the change in shaft power is the most stable, and the more uniform pressure distribution and stable flow field can be maintained. The radial force increases with the increase in speed, but the degree of radial force fluctuation is different among different schemes. These findings offer valuable insights into the dynamic performance of centrifugal pumps under variable speed conditions and provide a foundation for optimizing both pump design and operational strategies. Full article
(This article belongs to the Special Issue Design and Optimization of Fluid Machinery, 2nd Edition)
Show Figures

Figure 1

20 pages, 10232 KB  
Article
Study on the Cavitation Performance in the Impeller Region of a Mixed-Flow Pump Under Different Flow Rates
by Xu Yang, Jianzhong Zhu, Yi Zhang, Buqing Chen, Yiping Tang, Rui Jiang, Kan Kan, Changliang Ye and Yuan Zheng
Water 2024, 16(22), 3195; https://doi.org/10.3390/w16223195 - 7 Nov 2024
Cited by 2 | Viewed by 2790
Abstract
Mixed-flow pumps, optimized for marine engineering, provide a balance of high efficiency and adaptability, accommodating varied flow and head demands across challenging oceanic settings and are essential for reliable operations in tidal energy and subsea applications. The primary purpose of this paper is [...] Read more.
Mixed-flow pumps, optimized for marine engineering, provide a balance of high efficiency and adaptability, accommodating varied flow and head demands across challenging oceanic settings and are essential for reliable operations in tidal energy and subsea applications. The primary purpose of this paper is to perform a numerical analysis of the cavitation flow characteristics of the mixed-flow pump under differing operational circumstances. The cavitation simulation was implemented to explore the cavitation bubbles evolution and the pressure pulsation characteristics in the impeller region under diverse flow rates, utilizing the Shear Stress Transport (SST) turbulence model and the Zwart-Gerber-Belamri cavitation model as a foundation. The findings indicate that cavitation bubbles initially distribute at the leading edge of blade suction surfaces at the cavitation growth stage. The bubbles spread gradually with the decline of the available net positive suction head (NPSHa). At the same time, many bubbles appear in the area below the blade and extend to the rim of the suction side of blades. As the flow rate decreases, the critical net positive suction head (NPSHc) gradually declines. The dominant pressure pulsation frequency at the impeller inlet is the blade passing frequency, and the vibration at the impeller shroud inlet is more intense than that at the hub. The dominant frequency at the impeller outlet is mainly the blade passing frequency. With the development of cavitation, it changes to impeller rotation frequency at low flow rates, while the dominant frequency remains unchanged at high flow rates. Full article
Show Figures

Figure 1

23 pages, 13765 KB  
Article
Numerical Investigation of Symmetrical and Asymmetrical Characteristics of a Preloading Spiral Case and Concrete during Load Rejection
by Zhenwei Zhang, Yutong Luo, Guisheng Yang, Shaozheng Zhang and Zhengwei Wang
Symmetry 2024, 16(10), 1277; https://doi.org/10.3390/sym16101277 - 27 Sep 2024
Cited by 2 | Viewed by 1464
Abstract
During the transient process of load rejection, the hydraulic pressure applied to the pump-turbine and plant concrete changes dramatically and induces high dynamic stress on the spiral case. The preloading spiral case has been widely used in large-scale pumped-storage power stations due to [...] Read more.
During the transient process of load rejection, the hydraulic pressure applied to the pump-turbine and plant concrete changes dramatically and induces high dynamic stress on the spiral case. The preloading spiral case has been widely used in large-scale pumped-storage power stations due to its excellent load-bearing capacity. However, studies on the impact of preloading pressure on the structural response during load rejection are still few in number. In this paper, 3D flow domain and structural models of a prototype pump-turbine are designed to analyze the hydraulic characteristics and flow-induced dynamic behavior of the preloading steel spiral case under different preloading pressures during load rejection. The results show that the asymmetric design of the logarithmic spiral lines ensures an axially symmetric potential flow within the spiral case domain with uniform pressure distribution. Higher preloading pressure provides larger preloading clearance, leading to greater flow-induced deformation and stress, with their maximum values located at the mandoor and the inner edge, respectively. The combined effect of the asymmetrical shape, internal hydraulic pressure and unbalanced hydraulic force leads to an asymmetrical preloading clearance distribution, resulting in an asymmetrical distribution along the axial direction but a symmetrical characteristic near the waistline of the structural response. Stress variations at sections and between sections share similar characteristics during load rejection. It follows the same trend as the hydraulic pressure under lower preloading pressures, while there is a delayed peak of stress due to the delayed contact phenomenon when the preloading pressure reaches the maximum static head. The conclusions provide scientific guidance for optimizing the preloading pressure selection and structural design for the stable operation of units. Full article
Show Figures

Figure 1

18 pages, 10630 KB  
Article
Influence of Volute Casing Design Methods and Changes in Geometric Parameters on Pump Operation
by Anna Chernobrova, Oleksandr Moloshnyi and Piotr Szulc
Energies 2024, 17(18), 4590; https://doi.org/10.3390/en17184590 - 13 Sep 2024
Cited by 2 | Viewed by 3592
Abstract
This article presents results from research whose purpose is to determine the impact of two main factors on the operational efficiency of a double-entry centrifugal pump. The first factor is the design methods, and the second is changes in the geometric parameters for [...] Read more.
This article presents results from research whose purpose is to determine the impact of two main factors on the operational efficiency of a double-entry centrifugal pump. The first factor is the design methods, and the second is changes in the geometric parameters for the volute casing. The results of the numerical simulation were experimentally validated on a test stand. Within this study, volute casings were designed according to the constant velocity method and method of conservation of angular momentum of the flow. The geometric parameters were selected according to the recommendation of A. Stepanoff and A. Lomakin. Next, the following geometric parameters were changed: inlet diameter, inlet width, cross-sectional area, shape of the volute casing’s cross-section (trapezoidal vs. round) and the opening angle of the volute casing’s walls. A comparison of the two methods showed that the biggest difference between them is the influence on the shape of the pump characteristic curve. Altering the geometric parameters in trapezoidal or round volute casing cross-sections had minimal impact on the pump head and efficiency. Full article
(This article belongs to the Section I: Energy Fundamentals and Conversion)
Show Figures

Figure 1

29 pages, 9586 KB  
Article
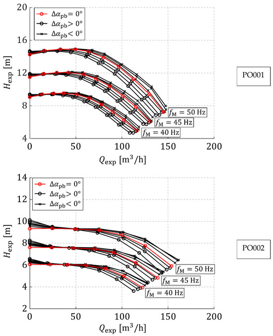
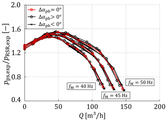
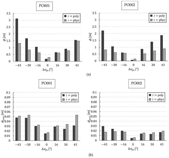
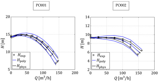
Determining the Head Characteristics of Radial Centrifugal Pumps under the Impact of Prewhirl
by Nils Reeh, Gerd Manthei and Peter J. Klar
Appl. Sci. 2024, 14(16), 7224; https://doi.org/10.3390/app14167224 - 16 Aug 2024
Cited by 1 | Viewed by 2114
Abstract
The flow rate is a significant factor in the operation of centrifugal pumps. The characteristic curve of the pump head is frequently employed in the calculation of the flow rate. Nevertheless, this may be subject to alteration because of prewhirl on the suction [...] Read more.
The flow rate is a significant factor in the operation of centrifugal pumps. The characteristic curve of the pump head is frequently employed in the calculation of the flow rate. Nevertheless, this may be subject to alteration because of prewhirl on the suction side of the pump. Calculating the changes in the head’s characteristic curve reveals a change in hydraulic losses. The impact of prewhirl on hydraulic losses is investigated by experimental and numerical analysis of two radial centrifugal pumps. It is demonstrated that the primary changes occur in the pump impeller losses. Relative velocity is a significant factor in this context. Alterations in the pumps’ configurations result in a range of secondary flows and shock losses at the leading edge of the blades. A physical model, derived on the basis of the relative velocity, is used to predict the characteristic curves of radial centrifugal pumps with prewhirl with a high degree of accuracy. The results demonstrate a notable enhancement in comparison to modelling techniques that do not incorporate the fluctuating hydraulic losses. Full article
Show Figures

Figure 1

Back to TopTop