Sign in to use this feature.

Years

Between: -

Subjects

remove_circle_outline
remove_circle_outline
remove_circle_outline
remove_circle_outline
remove_circle_outline
remove_circle_outline
remove_circle_outline
remove_circle_outline
remove_circle_outline

Journals

remove_circle_outline
remove_circle_outline
remove_circle_outline
remove_circle_outline
remove_circle_outline
remove_circle_outline
remove_circle_outline
remove_circle_outline
remove_circle_outline
remove_circle_outline
remove_circle_outline

Article Types

Countries / Regions

remove_circle_outline
remove_circle_outline
remove_circle_outline
remove_circle_outline
remove_circle_outline

Search Results (511)

Search Parameters:
Keywords = certification cost

Order results
Result details
Results per page
Select all
Export citation of selected articles as:
38 pages, 3628 KB  
Article
Optimization Model of an Integrated Energy System Operation Considering the Utilization of Hydrogen Energy and the Coupling of Carbon-Green Certificates Trading
by Chenguang Li, Feng Liang, Dawei Liu, Yang Liu, Xiufeng Xie and Yao Tao
Sustainability 2026, 18(6), 3065; https://doi.org/10.3390/su18063065 (registering DOI) - 20 Mar 2026
Abstract
The energy system is transforming in clean, low-carbon, safe, and efficient directions. As a key carrier of energy consumption, the operation optimization of the integrated energy system (IES) in industrial parks has become an important lever for facilitating energy transformation. This paper focuses [...] Read more.
The energy system is transforming in clean, low-carbon, safe, and efficient directions. As a key carrier of energy consumption, the operation optimization of the integrated energy system (IES) in industrial parks has become an important lever for facilitating energy transformation. This paper focuses on the modeling of the operation optimization of the IES, pays attention to the impact of electricity–carbon–green certificate coordination, and studies the operation optimization of the IES considering hydrogen energy utilization. Firstly, the topological structure of IES is analyzed, and a model of the integrated energy system in industrial parks covering multiple energy links, such as electricity, heat, and gas, is constructed. Hydrogen energy conversion units such as electrolyzers, fuel cells, and methane reactors are introduced. Secondly, the impact of electricity, carbon, and green certificate markets on the operation of IES is analyzed, and a green certificate-carbon trading integration mechanism is designed, along with the establishment of a corresponding market trading model. Then, with the system’s energy purchase and sale costs, electricity curtailment costs, carbon market transaction costs, green certificate transaction revenues, and equipment operation and maintenance costs as the core, an IES daily optimization scheduling model is constructed to minimize the overall cost. Finally, the feasibility of the model constructed in this paper is verified through a case study in the industrial park in the north of Dezhou, Shandong Province, and the result shows that the cost of IES is 15,013.7 yuan under the optimal operation schedule. The utilization rate of new power energy reaches 89.6%, and the 2.135 green certificates are converted into the carbon market. Meanwhile, comparative analysis across multiple scenarios and sensitivity analysis of single factors are conducted to discuss the necessity and effectiveness of the factors considered in this paper, providing a decision-making basis and inspiration for managers to carry out IES operation scheduling. Full article
(This article belongs to the Special Issue Analysis of Energy Systems from the Perspective of Sustainability)
Show Figures

Figure 1

26 pages, 1390 KB  
Article
Carbon-Cap-Feasible Robust Capacity Planning of Wind–PV–Thermal–Storage Systems with Fixed Energy-to-Power Ratios
by Yuyang Yan, Husam I. Shaheen, Bo Yang, Gevork B. Gharehpetian, Yi Zuo and Ghamgeen I. Rashed
Energies 2026, 19(6), 1546; https://doi.org/10.3390/en19061546 (registering DOI) - 20 Mar 2026
Abstract
Planning capacity for wind–photovoltaic (PV)–thermal–storage systems with high renewable penetration requires models that address investment costs, operational feasibility, and strict carbon limits under uncertainty. This paper presents a two-stage robust optimization model for integrated wind–PV–thermal–storage capacity expansion that guarantees carbon compliance under worst-case [...] Read more.
Planning capacity for wind–photovoltaic (PV)–thermal–storage systems with high renewable penetration requires models that address investment costs, operational feasibility, and strict carbon limits under uncertainty. This paper presents a two-stage robust optimization model for integrated wind–PV–thermal–storage capacity expansion that guarantees carbon compliance under worst-case renewable realizations. Unlike conventional approaches that relax carbon constraints through price penalties, we enforce the annual carbon emission cap as a hard operational constraint, ensuring candidate portfolios remain feasible even under adverse renewable conditions. To reflect practical storage design, a fixed energy-to-power (E/P) ratio couples storage energy capacity with power converter ratings, preventing unrealistic storage expansions. Renewable uncertainty is captured through a Bertsimas–Sim budgeted polyhedral set defined over representative days, balancing robustness with computational tractability. A tailored decomposition framework integrates economic dispatch and carbon-compliance verification within an outer column-and-constraint generation (C&CG) loop, simultaneously certifying worst-case operating cost and minimum achievable emissions. By exploiting strong duality, we generate two families of valid inequalities iteratively: economic cuts from the Economic subproblem (Economic-SP) and carbon-feasibility cuts from the Carbon subproblem (Carbon-SP). This dual-certification approach ensures capacity plans remain both economically optimal and carbon-compliant across all uncertainty realizations. Case studies on a realistic wind–PV–thermal–storage system demonstrate that the method produces carbon-compliant, robust capacity plans with manageable computational effort, converging in 10–15 iterations. The model explicitly captures operational coupling among renewables, thermal generation, and storage, providing a decision-support tool for low-carbon power systems under deep decarbonization targets. Full article
(This article belongs to the Section D: Energy Storage and Application)
Show Figures

Graphical abstract

17 pages, 8997 KB  
Article
Experimental and Numerical Impact Assessment of a Heavy-Duty Truck Cab Reconstructed from 3D Scanning According to the Swedish VVFS 2003:29 Procedure
by Ana-Maria Dumitrache, Ionut-Alin Dumitrache, Daniel Iozsa and Alexandra Molea
Eng 2026, 7(3), 137; https://doi.org/10.3390/eng7030137 - 17 Mar 2026
Viewed by 138
Abstract
Ensuring the crashworthiness of heavy-duty truck cabs is essential for reducing occupant fatalities and improving passive safety in commercial vehicles. Regulatory frameworks such as UNECE Regulation No. 29 (R29) define structural integrity requirements through full-scale destructive impact tests, which are costly and limit [...] Read more.
Ensuring the crashworthiness of heavy-duty truck cabs is essential for reducing occupant fatalities and improving passive safety in commercial vehicles. Regulatory frameworks such as UNECE Regulation No. 29 (R29) define structural integrity requirements through full-scale destructive impact tests, which are costly and limit iterative design. In this study, an integrated experimental–numerical methodology is presented for the impact assessment of a real Iveco Eurocargo 120E18 truck cab reconstructed using high-resolution 3D scanning. The scanned geometry was used to generate a dimensionally accurate CAD model of the load-bearing cab structure, which was analysed using explicit finite element simulations in ANSYS Academic Mechanical and CFD Teaching package under impact conditions compliant with UNECE R29 and implemented according to the Swedish regulation VVFS 2003:29. In parallel, a full-scale physical pendulum impact test was performed on the same cab using a cylindrical impactor with a diameter of 580 mm, a length of 1800 mm, and a mass of approximately 1000 kg, impacting the upper region of the A-pillar. The experimental setup was instrumented using high-speed optical measurements and an accelerometer to capture impact kinematics and structural response. The numerical predictions showed good agreement with experimental results in terms of acceleration–time histories, absorbed energy evolution, and structural deformation, with differences generally below 6%. Critical regions susceptible to local buckling and plastic collapse were consistently identified in both approaches, while preservation of the driver survival space was confirmed. The results demonstrate that scan-based finite element models, when properly calibrated and validated, can reliably reproduce certification-level impact behaviour. The proposed workflow provides a robust and cost-effective framework for regulatory pre-validation, structural optimisation, and digitalisation of crashworthiness assessment for heavy-duty truck cabs. Full article
(This article belongs to the Special Issue Interdisciplinary Insights in Engineering Research 2026)
Show Figures

Figure 1

11 pages, 592 KB  
Proceeding Paper
Genetically Modified Crops as a Strategy for Reducing Pesticide Dependence in Sub-Saharan Africa: Exploring Benefits, Adoption Constraints and Policies
by Chijioke Christopher Uhegwu and Christian Kosisochukwu Anumudu
Biol. Life Sci. Forum 2025, 54(1), 32; https://doi.org/10.3390/blsf2025054032 - 11 Mar 2026
Viewed by 209
Abstract
The overreliance on chemical pesticides in sub-Saharan African (SSA) for agriculture poses major challenges to sustainable agriculture, ecosystem and human health, biodiversity, and environmental sustainability. While genetically modified (GM) crops have demonstrated potential to lower pesticide use and increase crop yield, their widespread [...] Read more.
The overreliance on chemical pesticides in sub-Saharan African (SSA) for agriculture poses major challenges to sustainable agriculture, ecosystem and human health, biodiversity, and environmental sustainability. While genetically modified (GM) crops have demonstrated potential to lower pesticide use and increase crop yield, their widespread adoption remains limited across SSA, with gaps in knowledge on their yield, benefits and policies impacting their uptake. In this study, a literature-based approach was used to synthesize evidence from peer-reviewed articles and government reports published between 2010 and 2025 on pesticide use, farm productivity, and wellbeing of farmers across three focus countries: Nigeria, South Africa, and Burkina Faso. The summary of approved GM crops, events and utilisation across the three focus countries was also retrieved from the International Service for the Acquisition of Agri-biotech Applications (ISAAA) database. Cross-country comparisons were conducted to highlight lessons learned from successful and stalled GM crop programs and to identify regulatory, socio-cultural, and economic factors shaping adoption. It is shown that while GM crops can significantly reduce pesticide usage and production costs, challenges such as public hesitancy, regulatory hurdles, limited farmer awareness, and concerns about ecological consequences continue to hinder wider uptake across the continent. Similarly, weak seed systems and the lack of regionally harmonized biosafety regulations also constrain adoption. In areas where GM crops have been successfully adopted, it was demonstrated that supportive policy frameworks, transparent biosafety regulations, effective seed certification and distribution systems, and sustained community engagement increased farmer confidence and accelerated adoption. Hence, for GM crops to be more widely adopted for sustainable crop protection in sub-Saharan Africa, governments and stakeholders must strengthen biosafety systems, invest in farmer education, promote regional regulatory coordination, and facilitate public–private partnerships. Full article
(This article belongs to the Proceedings of The 3rd International Online Conference on Agriculture)
Show Figures

Figure 1

20 pages, 1009 KB  
Article
Low-Carbon Certification vs. Carbon Surcharges: A Recursive Dynamic GTAP Assessment of EU/UK Border Measures for China’s Seafood Exports
by Xianrui Mo and Zefang Liao
Fishes 2026, 11(3), 153; https://doi.org/10.3390/fishes11030153 - 6 Mar 2026
Viewed by 208
Abstract
This study compares two policy instruments for decarbonizing China’s seafood exports to the EU and UK over 10 years using a recursive dynamic computable general equilibrium model. One instrument applies tariff-like carbon surcharges on embedded emissions at the border. The other recognises certified [...] Read more.
This study compares two policy instruments for decarbonizing China’s seafood exports to the EU and UK over 10 years using a recursive dynamic computable general equilibrium model. One instrument applies tariff-like carbon surcharges on embedded emissions at the border. The other recognises certified low-carbon production through tiered rate reductions or exemptions. The model constructs product-level carbon cost wedges for processing electricity, aluminium packaging, and cold-chain operations, then transmits them to border prices through pass-through and to import volumes through Armington demand. These mechanisms operate inside a dynamic setting with capital accumulation, learning, and technology adoption. We evaluate processed tuna, shrimp, whitefish, and fresh tilapia to reflect differences in energy use, packaging intensity, and cold-chain reliance. Results show that certification, especially when paired with targeted domestic green finance or tax offsets, speeds adoption of cleaner power and refrigerants and preserves market share better than uniform surcharges. Effects differ between coastal and inland production hubs, supporting location-specific policy bundles. Sensitivity analysis varies carbon prices, adoption speeds, and certification coverage within stated parameter ranges. We report trade, export revenue, emissions, investment, and welfare outcomes and identify product and channel drivers of exposure. Full article
(This article belongs to the Section Fishery Economics, Policy, and Management)
Show Figures

Figure 1

28 pages, 2861 KB  
Article
A Stackelberg Game Optimization for Park-Level Integrated Energy Systems with CCS-P2G-LCES in Carbon-Green Certificate Markets
by Liang Zhang, Shuyan Wu, Baoyuan Wang, Ling Lyu, Cheng Liu and Wenwei Zhu
Electronics 2026, 15(5), 1088; https://doi.org/10.3390/electronics15051088 - 5 Mar 2026
Viewed by 288
Abstract
This paper proposes a Stackelberg game-based collaborative optimization strategy for Park-Level Integrated Energy Systems (PIESs) operating in carbon and green certificate markets. The strategy addresses interest conflicts and low-carbon transition challenges in multi-agent optimization by integrating a carbon capture, power-to-gas, and liquid carbon [...] Read more.
This paper proposes a Stackelberg game-based collaborative optimization strategy for Park-Level Integrated Energy Systems (PIESs) operating in carbon and green certificate markets. The strategy addresses interest conflicts and low-carbon transition challenges in multi-agent optimization by integrating a carbon capture, power-to-gas, and liquid carbon dioxide energy storage technology chain. Innovatively integrates LCES into the CCS-P2G-LCES chain, achieving internal carbon cycling and energy storage. First, a market environment for PIESs integrating carbon trading and green certificate trading is constructed, and a deeply coupled low-carbon technology chain model of CCS-P2G-LCES is established to realize internal carbon resource cycling and energy time shifting. Second, a one-leader, multiple-follower Stackelberg game framework is developed with the Integrated Energy Service Provider (IESP) as the leader and the User Load Aggregator (ULA) and Electric Vehicle Aggregator (EVA) as followers. The IESP guides demand response on the user and electric vehicle sides by formulating differentiated energy prices. On this basis, a collaborative optimization dispatch model is constructed with the objective of maximizing the comprehensive revenue of the IESP. Finally, case study analysis verifies that the proposed method not only enhances operational revenue and reduces user energy costs, but also significantly reduces system carbon emissions and improves renewable energy consumption rates. The results demonstrate the feasibility and superiority of integrating market mechanisms, low-carbon technologies, and multi-agent game-based collaborative optimization. Full article
(This article belongs to the Special Issue Advances in Intelligent Computing and Systems Design)
Show Figures

Figure 1

18 pages, 1038 KB  
Article
An Advanced Eco-Solution to Address the Excessive Consumption of Water, Electricity and Towels/Linen at Luxury Hotels/Resorts: An Incentive-Linked Smart Meter System to Influence Consumer Behaviors
by Ali Aldhamiri
Sustainability 2026, 18(5), 2447; https://doi.org/10.3390/su18052447 - 3 Mar 2026
Viewed by 361
Abstract
Due to environmental challenges, the global luxury hospitality industry faces increasing pressure to reduce its consumption of natural resources while maintaining service quality. In this paper a conceptual study is conducted to identify three primary problems of the tourism industry and highlight their [...] Read more.
Due to environmental challenges, the global luxury hospitality industry faces increasing pressure to reduce its consumption of natural resources while maintaining service quality. In this paper a conceptual study is conducted to identify three primary problems of the tourism industry and highlight their impact on sustainable water resources and ecosystems: excessive water, electricity and towel/linen consumption in luxury hotels and resorts. This paper proposes a solution that uses a digital smart meter system linked to guest rooms. It is activated upon check-in, and guest participation is optional. It uses tangible or intangible incentives—such as discounts upon departure for future stays or for hotel laundry/meals/beverages—that rationalize consumption without affecting the quality of basic services. This approach may be implemented either independently by a single hotel or collaboratively through strategic alliances among multiple hotels, thus enabling customers to redeem their incentives/credits at any participating property. Guests are grouped into three consumption levels: high-saving guests (high incentives), average-saving guests (average incentives) and third-level guests (low/below-average incentives). Adopting this approach helps luxury hotels/resorts reduce their operational costs and enhance their image by applying green marketing in practice. Moreover, this conceptual paper proposes the provision of badges, including international environmental certifications, to hotels that adopt this responsible approach. This mechanism is a modern model that directly benefits all involved parties: service providers, customers/guests, environmental organizations and the environment. Full article
(This article belongs to the Special Issue Transitioning to Sustainable Energy: Opportunities and Challenges)
Show Figures

Figure 1

19 pages, 381 KB  
Article
Cost–Benefit Analysis of Biochar Production: The Case Study of an Abandoned Rural Site, Borgo di Perolla, in Tuscany, Italy
by Ginevra Ganzi and Andrea Pronti
Biomass 2026, 6(2), 19; https://doi.org/10.3390/biomass6020019 - 3 Mar 2026
Viewed by 498
Abstract
The transition towards circular economy is now a key strategy to address the environmental issues we are facing. Within this framework, biochar, a carbon-rich material derived from residual agricultural pyrolysis, can represent a sustainable and circular solution. This paper aims at evaluating the [...] Read more.
The transition towards circular economy is now a key strategy to address the environmental issues we are facing. Within this framework, biochar, a carbon-rich material derived from residual agricultural pyrolysis, can represent a sustainable and circular solution. This paper aims at evaluating the possibility of implementing a local biochar-production system as part of an economic and social strategy of the redevelopment of an abandoned rural site, Borgo di Perolla, in Tuscany, Italy. A cost–benefits analysis (CBA) was conducted to evaluate the economic feasibility of three different scenarios of production and strategies: Scenario 1 considers revenues solely from the production and sale of biochar and wood vinegar; Scenario 2 additionally includes potential income from the sale of voluntary carbon credits; and Scenario 3 incorporates biochar credits within the European Union Emission Trading System (EU ETS). For each scenario, three indicators were calculated: Net-Present Value (NPV), Internal Rate of Return (IRR), and Breakeven point (BEP). The most evident result that emerged is that the sale of biochar and its by-products alone is not sufficient to ensure the project’s economic sustainability, mainly due to high production costs. Only through carbon-credit-trading markets biochar becomes not only an environmentally strategic tool but also an economically rewarding one. In this sense, market infrastructures, such as the ETS, are essential for the dissemination of circular models, like biochar, that generate both environmental and economic benefits. Previous studies on biochar have largely focused on its application and associated benefits, while cost–benefit analyses have primarily examined its economic feasibility through the commercialization of biochar as a soil amendment, particularly within the United States context. The present work contributes to this literature in three main ways. First, it provides a site-specific and replicable CBA framework applied to a real territorial regeneration project (Borgo di Perolla), grounded in primary data collected through field surveys, stakeholder interviews, and expert validation. Second, the study explicitly compares multiple market-access scenarios within the same analytical framework, ranging from biochar-only sales to voluntary carbon markets, allowing for a clear identification of the economic thresholds at which biochar becomes financially sustainable. Third, and most importantly, the main contribution of this work lies in the explicit modeling of biochar integration into the EU Emissions Trading System. This paper extends the analysis to a regulated carbon market scenario, assuming the recognition of biochar-based carbon removals within the EU ETS framework. From a methodological perspective, the study quantitatively assesses how ETS price dynamics affect the profitability, internal rate of return, and break-even point of a biochar project over a long-term horizon. From a policy perspective, the analysis anticipates recent regulatory developments, such as the EU Regulation 2024/3012, on establishing a Union certification framework for permanent carbon removals, carbon farming, and carbon storage in products, by showing how biochar could function as a fully market-integrated climate technology. Full article
Show Figures

Figure 1

30 pages, 6377 KB  
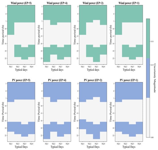
Article
Low-Carbon Optimal Scheduling of IES Considering Dynamic Carbon-Green Certificate Coupling and CCS Multi-Source Energy Supply
by Lei Zhang, Qin Li and Xianxin Gan
Electronics 2026, 15(5), 999; https://doi.org/10.3390/electronics15050999 - 27 Feb 2026
Viewed by 199
Abstract
With the sharp increase in winter heating demand in northern China, the carbon emissions of combined heat and power (CHP) units remain high. This paper proposes a low-carbon optimal scheduling model for the system, considering the dynamic carbon-green certificate coupling and the multi-source [...] Read more.
With the sharp increase in winter heating demand in northern China, the carbon emissions of combined heat and power (CHP) units remain high. This paper proposes a low-carbon optimal scheduling model for the system, considering the dynamic carbon-green certificate coupling and the multi-source energy supply of carbon capture and storage (CCS). Firstly, we analyze the thermal and electrical demand characteristics of the installed CCS and optimize its supply mode, and propose the corresponding low-carbon operation strategy for the CHP-CCS unit. Secondly, a dynamic coupling mechanism of carbon-green certificates with the acquisition volume of green certificates and the trading volume of carbon emission rights as the interaction medium should be constructed. The transmission effect of the historical trading volume on the current period should be achieved through dynamic prices, and a low-carbon economic scheduling model with the goal of minimizing operating costs should be established. Again, for the source-load uncertainty, by integrating the entropy weight method and the information gap decision theory, an IES optimization scheduling model based on the information gap decision theory method (IGDT) is established. Finally, through multi-scenario case simulation verification, the results confirmed that the proposed model can effectively improve the economy and low-carbon performance of the system. Full article
Show Figures

Figure 1

28 pages, 3601 KB  
Article
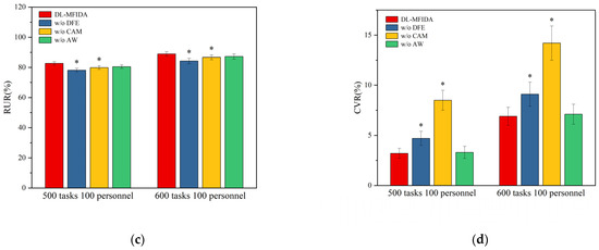
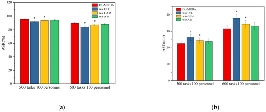
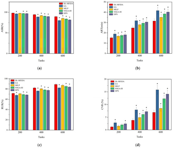
A Deep Learning-Based Multi-Objective Optimization Method for Intelligent Maintenance Work Order Allocation
by Lin Bai, Jia Wang and Xiaoping Zhou
Appl. Sci. 2026, 16(5), 2260; https://doi.org/10.3390/app16052260 - 26 Feb 2026
Viewed by 213
Abstract
The fire protection maintenance market is expanding rapidly, but the industry faces critical resource optimization challenges due to the inefficiency of existing scheduling methods. Current approaches often exhibit limited feature representation capabilities, inadequate handling of hard constraints (e.g., certification requirements), and poor balancing [...] Read more.
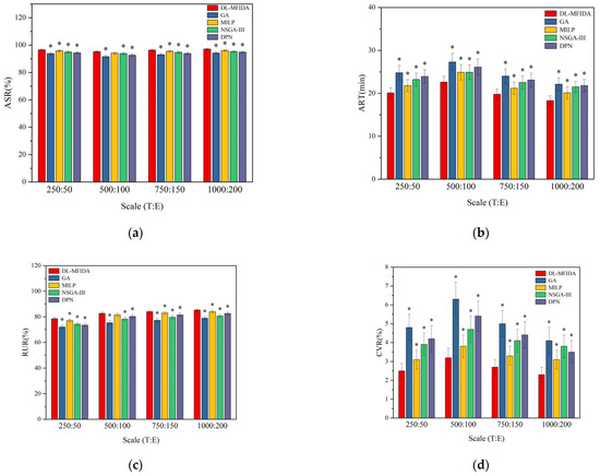
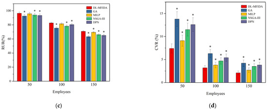
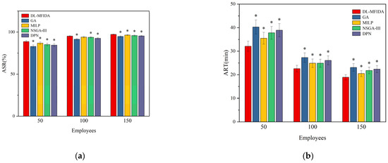
The fire protection maintenance market is expanding rapidly, but the industry faces critical resource optimization challenges due to the inefficiency of existing scheduling methods. Current approaches often exhibit limited feature representation capabilities, inadequate handling of hard constraints (e.g., certification requirements), and poor balancing of multi-objective conflicts, compromising safety, compliance, and efficiency. To address these gaps, this paper proposes a deep learning-based multi-dimensional constraint feature intelligent dispatch algorithm (DL-MFIDA). The method constructs a deep feature learning framework to capture complex relationships between personnel skills and task requirements, incorporates a constraint-aware attention mechanism to strictly enforce hard constraints, and employs a multi-objective hierarchical optimization strategy to dynamically balance spatiotemporal cost minimization, skill matching gain maximization, and load balancing. Experimental results demonstrate that DL-MFIDA achieves an 89.5% assignment success rate even under high-load scenarios (task volume at five times personnel capacity), significantly outperforming traditional methods in key metrics such as allocation success rate, resource utilization, and constraint violation rate. This work provides an effective solution to the “few personnel, many tasks” dilemma in fire protection maintenance, ensuring robust performance in practical applications. Full article
Show Figures

Figure 1

10 pages, 1571 KB  
Proceeding Paper
GNSS Pseudorange Differencing for Relative Train Positioning: Performance Assessment in a Railway Environment
by Enki Saura, Alex Minetto, Fabio Dovis and Juliette Marais
Eng. Proc. 2026, 126(1), 30; https://doi.org/10.3390/engproc2026126030 - 25 Feb 2026
Viewed by 138
Abstract
Capillary railway lines, though vital for regional development, face economic challenges due to high infrastructure costs. Replacing trackside sensors with onboard GNSS-based positioning offers a cost-effective solution, but standard GNSS methods struggle to meet stringent railway safety standards. This study explores GNSS pseudorange [...] Read more.
Capillary railway lines, though vital for regional development, face economic challenges due to high infrastructure costs. Replacing trackside sensors with onboard GNSS-based positioning offers a cost-effective solution, but standard GNSS methods struggle to meet stringent railway safety standards. This study explores GNSS pseudorange differencing—a relative positioning technique that mitigates common GNSS errors and enables its application in train collision avoidance systems without necessitating full system certification. We present mathematical formulations for several differencing methods and validate them through real-world experiments on a capillary railway line using a light train. Results confirm that horizontal differencing improves accuracy, robustness, and relative speed estimation, supporting its potential for infrastructure-light, safety-critical rail applications. Full article
(This article belongs to the Proceedings of European Navigation Conference 2025)
Show Figures

Figure 1

25 pages, 1940 KB  
Article
Low Carbon Economic Dispatch of IES Considering Flexibility and Multi-Entity Participation Based on Improved PSO
by Guodong Wang, Haiyang Li, Xiao Yang, Huayong Lu, Xiao Song, Zhaoyuan Zhang and Jinfeng Wang
Electronics 2026, 15(5), 933; https://doi.org/10.3390/electronics15050933 - 25 Feb 2026
Viewed by 149
Abstract
To address the significant scheduling challenges arising from high-penetration renewable integration and coupled multi-energy loads, this study examines the operational scheduling of an integrated energy system (IES) that incorporates system operators, user aggregators, electric vehicles, and other stakeholders. First, the flexibility demand and [...] Read more.
To address the significant scheduling challenges arising from high-penetration renewable integration and coupled multi-energy loads, this study examines the operational scheduling of an integrated energy system (IES) that incorporates system operators, user aggregators, electric vehicles, and other stakeholders. First, the flexibility demand and supply resources in the IES were analyzed, and flexibility indicators were quantified. Subsequently, a multi-objective bi-level optimization model considering flexibility and multi-entity participation was established for the IES’s low-carbon economic dispatch. The upper-level model considered the IES operator’s revenue and system flexibility, incorporating a green certificate carbon trading mechanism, while the lower-level model accounted for user aggregator costs and electric vehicle self-benefits, with interactions between the two levels through energy prices and purchase quantities. Finally, an improved Particle Swarm Optimization (PSO) algorithm was employed to solve the proposed upper-level model, and CPLEX 12.10 software was used for the lower-level model. A typical scenario in northern China was selected to validate the proposed model. The results demonstrated that the proposed model balanced system economy and flexibility compared to the traditional single-objective economic dispatch. Compared with only considering the benefits of operators, the proposed model can balance the interests of multiple parties. Additionally, compared to the traditional PSO algorithm, the improved PSO algorithm reduced the number of iterations at convergence by 52.0%, improved the closeness of the obtained optimal solution to the ideal solution by 7.5%, and had better convergence and optimization performance. Full article
(This article belongs to the Section Power Electronics)
Show Figures

Figure 1

22 pages, 1076 KB  
Review
Global Renewable Energy Certificate (REC) Systems: Current Status and Development Trends
by Shangheng Yao, Xuan Zhang, Xi Liu, Haijing Wang, Yuan Leng, Yuanzhe Zhu, Nan Shang, Guori Huang, Shutang Zhang, Rentao Ouyang, Jincan Zeng, Qin Wang and Rongfeng Deng
Energies 2026, 19(5), 1122; https://doi.org/10.3390/en19051122 - 24 Feb 2026
Viewed by 465
Abstract
Renewable Energy Certificates (RECs) have emerged as critical market-based policy instruments to promote renewable energy development worldwide. This comprehensive review examines the theoretical foundations, market mechanisms, policy effectiveness, and challenges of global REC systems based on extensive international experiences spanning over two decades. [...] Read more.
Renewable Energy Certificates (RECs) have emerged as critical market-based policy instruments to promote renewable energy development worldwide. This comprehensive review examines the theoretical foundations, market mechanisms, policy effectiveness, and challenges of global REC systems based on extensive international experiences spanning over two decades. RECs function by separating the environmental attributes of renewable electricity from its physical energy, creating flexible trading mechanisms that effectively channel private investment toward renewable energy projects while providing compliance tools for renewable portfolio standards. Our analysis reveals significant variations in design and implementation across major markets, including the United States, European Union, China, India, Australia, and emerging economies. Despite their widespread adoption with over 50 countries implementing various forms of REC mechanisms, these markets face persistent challenges including price volatility, limited liquidity, regulatory inconsistencies, and ongoing debates about their environmental additionality. Recent technological developments, particularly blockchain-enabled tracking systems and digital platforms, are reshaping REC markets by enhancing transparency, reducing transaction costs, and enabling smaller-scale participation. This review proposes corresponding recommendations from the dimensions of optimizing market design, promoting digital transformation and product diversification, and establishing international coordination mechanisms. Full article
Show Figures

Figure 1

28 pages, 2899 KB  
Article
Design of Secure Communication Networks for UAV Platform Empowered by Lightweight Authentication Protocols
by Muhammet A. Sen, Saba Al-Rubaye and Antonios Tsourdos
Electronics 2026, 15(4), 785; https://doi.org/10.3390/electronics15040785 - 12 Feb 2026
Viewed by 376
Abstract
Flying Ad Hoc Networks (FANETs) formed by cooperative Unmanned Aerial Vehicles (UAVs) require formally proven secure and resource-efficient authentication because open wireless channels allow active adversaries to inject commands, replay traffic, and impersonate nodes. Conventional certificate-based mechanisms impose key management overhead and remain [...] Read more.
Flying Ad Hoc Networks (FANETs) formed by cooperative Unmanned Aerial Vehicles (UAVs) require formally proven secure and resource-efficient authentication because open wireless channels allow active adversaries to inject commands, replay traffic, and impersonate nodes. Conventional certificate-based mechanisms impose key management overhead and remain vulnerable under device capture, while existing lightweight and Physical Unclonable Function (PUF)-assisted proposals commonly assume stable connectivity, lack formal adversarial verification, or are evaluated only through simulation. This paper presents a lightweight PUF-assisted authentication protocol designed for dynamic multi-hop FANET operation. The scheme provides mutual UAV–Ground Station (GS) authentication and session key establishment and further enables secure UAV–UAV communication using an off-path ticket mechanism that eliminates continuous infrastructure dependence. The protocol is constructed through verification-driven refinement and formally analysed under the Dolev–Yao model, establishing authentication and session key secrecy and resistance to replay and impersonation attacks. Implementation-oriented latency measurements on Raspberry-Pi-class embedded platforms demonstrate that cryptographic processing time can be further reduced with hardware improvements, while the overall end-to-end delay is still largely determined by channel conditions and connection behaviour. Comparative evaluation shows reduced communication cost and broader security coverage relative to existing UAV authentication schemes, indicating practical deployability in large-scale FANET environments. Full article
(This article belongs to the Special Issue Wireless Sensor Network: Latest Advances and Prospects)
Show Figures

Graphical abstract

20 pages, 707 KB  
Review
Organic Production of Fruits and Vegetables in the US: Importance, Trends, and Challenges
by Sixto A. Marquez, Damar D. Wilson and Ram L. Ray
Sustainability 2026, 18(3), 1491; https://doi.org/10.3390/su18031491 - 2 Feb 2026
Viewed by 625
Abstract
Organic fruit and vegetable production in the United States is increasingly popular, driven by consumer interest in foods associated with healthier lifestyles and environmentally friendly practices. This review synthesizes evidence on the production of this subsector from 1960 to 2021, using major literature [...] Read more.
Organic fruit and vegetable production in the United States is increasingly popular, driven by consumer interest in foods associated with healthier lifestyles and environmentally friendly practices. This review synthesizes evidence on the production of this subsector from 1960 to 2021, using major literature databases (Agricola, ScienceDirect, and Google Scholar), to summarize health and environmental implications, economic importance, research trends, and persistent challenges. The production of fruits and vegetables is frequently reported to exhibit favorable quality and safety attributes, including higher antioxidant capacity and lower levels of cadmium, pesticides, and other chemical residues, supporting its relevance to nutrition and human health. This type of practice is also described as contributing to environmental restoration and preservation through improved soil conditions, reduced reliance on synthetic inputs, enhanced nutrient cycling, and climate-smart benefits such as increased soil organic matter and lower energy intensity. Nevertheless, it faces constraints that increase costs and limit scalability, including high labor demand, limited effectiveness and availability of some organic pest control tools, perishability, post-harvest losses, certification burdens, and market access regulations. Despite these barriers, data indicate growth: from 2007 to 2021, acreage increased by more than 100%, farm-gate value rose from $685 million to $1913 million, and the number of participating farms increased by more than 100%. Moreover, it accounts for 0.9% of the total value of the agricultural production in the U.S. Overall, the outlook for U.S. organic fruit and vegetables is encouraging, supported by expanding consumer demand, government support, and improved conditions for international trade. Full article
(This article belongs to the Special Issue Land Management and Sustainable Agricultural Production)
Show Figures

Figure 1

Back to TopTop