Sign in to use this feature.

Years

Between: -

Subjects

remove_circle_outline
remove_circle_outline
remove_circle_outline
remove_circle_outline
remove_circle_outline
remove_circle_outline
remove_circle_outline

Journals

Article Types

Countries / Regions

Search Results (27)

Search Parameters:
Keywords = celery seeds

Order results
Result details
Results per page
Select all
Export citation of selected articles as:
19 pages, 4737 KB  
Article
Acid Electrolyzed Water Priming Induces Phenylpropane Metabolism and Antioxidant Enzyme System to Promote Seed Germination of Celery
by Yi Zhu, Yufan Sun, Haolong Li, Yubin Lan, Danfeng Huang and Shuo Zhao
Horticulturae 2025, 11(12), 1543; https://doi.org/10.3390/horticulturae11121543 - 18 Dec 2025
Viewed by 106
Abstract
Seed germination of celery (Apium graveolens L.) is notoriously slow and asynchronous, which severely constrains uniform seedling establishment and crop yield. Seed priming is an effective technique to improve germination, and acidic electrolyzed water, characterized by low pH and high oxidation–reduction potential, [...] Read more.
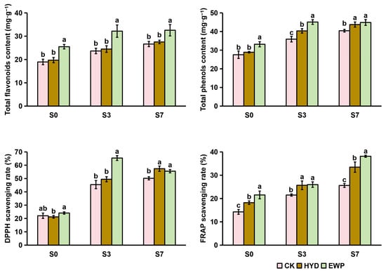
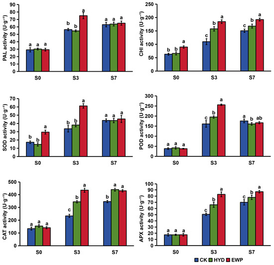
Seed germination of celery (Apium graveolens L.) is notoriously slow and asynchronous, which severely constrains uniform seedling establishment and crop yield. Seed priming is an effective technique to improve germination, and acidic electrolyzed water, characterized by low pH and high oxidation–reduction potential, has emerged as a novel priming agent. However, the effect of acid electrolyzed water priming (EWP) on celery seed germination and the underlying mechanisms still need to be explored. The present study aimed to investigate the physiological and molecular mechanisms by which EWP promotes celery seed germination, with a focus on the roles of the phenylpropane metabolism and the antioxidant enzyme system. Celery seeds were treated with EWP, hydro-priming (HYD), and untreated (CK). It was found that the EWP treatment significantly enhanced germination characteristics compared to both CK and HYD. Transcriptome analysis revealed that EWP triggered more extensive transcriptional reprogramming than HYD, and EWP specifically enriched “Phenylpropanoid biosynthesis” and “Flavonoid biosynthesis” pathways, downregulating upstream genes (PAL, 4CL) while upregulating downstream genes (CCR, CHI, F3H) in the phenylpropane pathway. Physiologically, EWP significantly increased CHI activity and the contents of total phenols and flavonoids at all sampling time points, and enhanced the activities of SOD, POD, CAT, and APX. Consequently, the DPPH and FRAP free radical scavenging capacities were significantly strengthened in EWP-treated seeds. In conclusion, it is believed that EWP activation promotes celery seed germination by coordinating the phenylpropane pathway and antioxidant enzyme system, ensuring effective radical scavenging activities and cell protection. These findings provide a theoretical basis for the application of EWP and highlight the potential as a novel priming technology for celery and other horticultural crops. Full article
(This article belongs to the Special Issue Seed Biology in Horticulture: From Dormancy to Germination)
Show Figures

Figure 1

18 pages, 9139 KB  
Article
Identification and Validation of Urea Transporter B Inhibitor from Apium graveolens L. Seeds In Vitro and In Silico
by Guanzhong Chen, Xin Li, Xinhui Pan, Li Guo, Wei Wei, Xiaoying Sun, Hongtao Wei, Xue Qin, Ke Zhang, Wei Zhang, Lili Wei, Pinghua Sun and Xiaoda Yang
Molecules 2025, 30(7), 1540; https://doi.org/10.3390/molecules30071540 - 30 Mar 2025
Cited by 1 | Viewed by 1165
Abstract
Celery (Apium graveolens L.) seeds are rich in carbohydrates and protein, and they are widely used in diuretic drugs among Uyghur doctors. However, the diuretic mechanism is still unclear. To explore the possible diuretic mechanism of celery seeds, urea transporters, a potential [...] Read more.
Celery (Apium graveolens L.) seeds are rich in carbohydrates and protein, and they are widely used in diuretic drugs among Uyghur doctors. However, the diuretic mechanism is still unclear. To explore the possible diuretic mechanism of celery seeds, urea transporters, a potential diuresis-related target, are used in this study. Urea transporters (UTs) play a key role of urine concentration. Selective knockout of UTs can concentrate urea without affecting water and electrolytes, resulting in selective diuresis, which is a promising new diuretic target. In the present study, we obtained different polar fractions by extracting and separating celery seed extract, characterized its polar fractions using UPLC-TOF-MS, and verified its action using an erythrocyte lysis model in vitro. Then, it was found that the isovaleric acid p-tolylester exhibited moderate activity (IC50 = 80.34 μM). Finally, its inhibitory effect on UT-B was investigated by using molecular docking, a pharmacophore model, and molecular dynamics simulations. This study provides a new approach to developing novel diuretics. Full article
Show Figures

Figure 1

24 pages, 4975 KB  
Article
Enhancement of NK Cell Cytotoxic Activity and Immunoregulatory Effects of a Natural Product Supplement Across a Wide Age Span: A 30-Day In Vivo Human Study
by Sergei Boichuk, Aigul Galembikova and David Vollmer
Int. J. Mol. Sci. 2025, 26(7), 2897; https://doi.org/10.3390/ijms26072897 - 22 Mar 2025
Cited by 2 | Viewed by 4342
Abstract
The purpose of this study was to examine whether supplementation of ultra- and nanofiltered colostrum-based products, combined with egg yolk extract, nicotinamide mononucleotide (NMN), quercetin, alpha-ketoglutarate, white button mushroom, and celery seed extracts (the formula was patented by 4Life Research Company, USA and [...] Read more.
The purpose of this study was to examine whether supplementation of ultra- and nanofiltered colostrum-based products, combined with egg yolk extract, nicotinamide mononucleotide (NMN), quercetin, alpha-ketoglutarate, white button mushroom, and celery seed extracts (the formula was patented by 4Life Research Company, USA and named as AgePro), modulate the functional activity of natural killer (NK) cells in vivo. We found that this supplement, taken orally in two capsules twice a day for 30 days, significantly enhanced the cytotoxic activity of NK cells. This was evidenced by the increased NK cell-mediated killing of carboxyfluorescein diacetate succinimidyl ester (CFSE)-labeled K562 human myeloid leukemia cells. As expected, this effect was dependent on the ratio between the effector (E) (e.g., peripheral blood mononuclear cells (PBMCs)) and target (T) (e.g., K562) cells, illustrating maximal killing of K562 cells at a 50:1 E/T ratio. Of note, increased NK-mediated killing of K562 cells after taking AgePro correlated with increased perforin release, evidenced by the CD107a degranulation assay. In concordance with these findings, taking of AgePro for 1 month increased production of several cytokines and chemokines, including IL-1β, IL-1Rα, IL-6, IL-8, IL-10, IFN-γ, TNF-α, G-CSF, PDGF-AA, PDGF-AB/BB, GRO, MCP-1, MCP-3, and MIP-1α, in PBMCs co-cultured with K562 cells. Of note, increased production of the cytokines correlated with the activation state of PBMCs, as evidenced by increased expression of the surface activation markers (e.g., the interleukin-2 receptor alpha chain—CD25). A strong correlation was found between NK-based cytotoxic activity and the production of IL-1β, IL-6, TNF-α, and MIP-1α. Importantly, no increase in the aforementioned soluble factors and activation markers was detected in PBMCs cultured alone, thereby illustrating the potent immunoregulatory activity of AgePro only in the presence of the harmful target cells. Hematological parameters also remained unchanged over the entire study period. Collectively, we show herein the significant enhancement of the cytotoxic activity of NK cells against target tumor cells after taking AgePro for 1 month. Notably, this effect was observed for all age groups, including young, adult, and elderly participants. Moreover, a significant improvement in NK cytotoxic activity was also detected for participants with low basal (e.g., before taking AgePro) numbers of NK-mediated killing. The enhancement of NK-based cytotoxicity was associated with an increased release of several cytokines and chemokines involved in regulating a broad spectrum of mechanisms outside the cell-mediated cytotoxicity and killing of target cells. Of note, spontaneous activation of PBMCs, particularly NK cells, was not detected after taking AgePro. Given that spontaneous activation of autoreactive lymphocytes is a feature associated with autoimmunity and taking into account our data illustrating the AgePro-induced activation of NK cells detected only in the presence of the potentially harmful cells, we conclude that our innovative product exhibits potent immunoregulatory activity and high safety profile. Full article
(This article belongs to the Special Issue New Insights in Natural Bioactive Compounds: 3rd Edition)
Show Figures

Figure 1

16 pages, 1306 KB  
Article
Chemical Composition of Essential Oil from Apium graveolens L. and Its Biological Activities Against Sitophilus zeamais Motschulsky (Coleoptera: Dryophthoridae)
by Ruchuon Wanna, Darika Bunphan, Benjapon Kunlanit, Phirayot Khaengkhan, Parinda Khaengkhan and Hakan Bozdoğan
Plants 2025, 14(3), 347; https://doi.org/10.3390/plants14030347 - 24 Jan 2025
Cited by 4 | Viewed by 2172
Abstract
The use of essential oils from certain herbal plants offers a promising alternative to synthetic insecticides for controlling the maize weevil, Sitophilus zeamais Motschulsky (Coleoptera: Dryophthoridae), a major pest that causes significant damage to stored grains. Essential oils, particularly from aromatic herbs in [...] Read more.
The use of essential oils from certain herbal plants offers a promising alternative to synthetic insecticides for controlling the maize weevil, Sitophilus zeamais Motschulsky (Coleoptera: Dryophthoridae), a major pest that causes significant damage to stored grains. Essential oils, particularly from aromatic herbs in the Apiaceae family, are widely used in medicinal, cosmetic, and food industries and provided insecticidal properties to mitigate the environmental and health hazards associated with synthetic insecticides. This research aimed to investigate the insecticidal and repellent effects of Apium graveolens L. (celery) seed essential oil against S. zeamais. Chemical analysis of the commercially produced essential oil from A. graveolens seeds was conducted using a gas chromatograph–mass spectrometer (GC-MS), and the biological activity of the essential oil was determined by ingestion, contact, fumigation, and repellent tests. The analysis identified D-limonene (64.21%) and α-humulene (17.46%) as primary components of the oil. Toxicity assays revealed an observable contact toxicity, with higher concentrations and prolonged exposure increasing its effectiveness. The contact toxicity assays reported an LC50 of 19.83 nL/adult after 72 h. Additionally, the essential oil displayed repellent effects, effectively deterring weevils at concentrations above 16 µL/L air, but its feeding deterrence was weak. The essential oil’s strong insecticidal and repellent properties, which were concentration- and time-dependent, highlighted its potential as a sustainable alternative to synthetic pesticides for integrated pest management. Full article
(This article belongs to the Special Issue Green Insect Control: The Potential Impact of Plant Essential Oils)
Show Figures

Figure 1

14 pages, 2156 KB  
Article
Karrikinolide1 (KAR1), a Bioactive Compound from Smoke, Improves the Germination of Morphologically Dormant Apium graveolens L. Seeds by Reducing Indole-3-Acetic Acid (IAA) Levels
by Shubhpriya Gupta, Jakub Hrdlička, Manoj Kulkarni, Ivana Doležalova, Aleš Pěnčík, Johannes Van Staden, Ondřej Novák and Karel Doležal
Plants 2024, 13(15), 2096; https://doi.org/10.3390/plants13152096 - 29 Jul 2024
Cited by 2 | Viewed by 2141
Abstract
Smoke-water (SW) and Karrikinolide1 (KAR1) release dormancy and improve seed germination in many plant species. Therefore, we tested SW (1:2500 v/v) and KAR1 (10−7 M) to break the morphological dormancy of celery cultivar (Apium graveolens [...] Read more.
Smoke-water (SW) and Karrikinolide1 (KAR1) release dormancy and improve seed germination in many plant species. Therefore, we tested SW (1:2500 v/v) and KAR1 (10−7 M) to break the morphological dormancy of celery cultivar (Apium graveolens L.). In the first trial, seeds were subjected to a 21-day incubation period at 20 °C with SW and KAR1 applied as single treatments. KAR1 showed significantly improved germination (30.7%) as compared to SW (17.2%) and a water control (14.7%). In seed soaking experiments, SW, KAR1, and gibberellic acid (GA3) treatments showed higher germination percentages than the water control after 3 and 6 h of soaking. However, prolonged soaking (12 h) reduced germination percentages for all treatments, indicating a detrimental effect. Analysis of KAR1 content dynamics in 7-day- and 21-day-old celery seeds indicated its prolonged effects on germination and dormancy alleviation. Phytohormones, including auxins in 7-day-old and cytokinins in 7-day- and 21-day-old celery seedlings, along with their precursors and metabolites, were analyzed using ultra-high-performance liquid chromatography-tandem mass spectrometry (UHPLC-MS/MS) after treatment with KAR1 and SW. The analysis of auxin levels in 7-day-old seeds revealed a negative correlation between seed germination and auxin (indole-3-acetic acid, IAA) content. Notably, it was found that KAR1-treated seeds significantly reduced IAA levels in all treatments. SW and KAR1 did not significantly affect cytokinin levels during celery germination except for N6-Isopentenyladenine. Hence, further research is needed to understand their precise role in celery seed germination. This work will improve our understanding of the role of bioactive compounds from plant-derived smoke and how they regulate hormonal responses and improve germination efficiency in celery. Full article
Show Figures

Figure 1

13 pages, 6475 KB  
Article
Investigating the Impact of Origins on the Quality Characteristics of Celery Seeds Based on Metabolite Analysis through HS-GC-IMS, HS-SPME-GC-MS and UPLC-ESI-MS/MS
by Jun Yan, Lizhong He, Zhiwu Huang, Hong Wang, Li Yu and Weimin Zhu
Foods 2024, 13(10), 1428; https://doi.org/10.3390/foods13101428 - 7 May 2024
Cited by 8 | Viewed by 2188
Abstract
Celery seeds contain various bioactive compounds and are commonly used as a spice and nutritional supplement in people’s daily lives. The quality of celery seeds sold on the market varies, and their regions of production are unclear. This study evaluated the metabolites of [...] Read more.
Celery seeds contain various bioactive compounds and are commonly used as a spice and nutritional supplement in people’s daily lives. The quality of celery seeds sold on the market varies, and their regions of production are unclear. This study evaluated the metabolites of Chinese celery seeds from three production regions using HS-SPME-GC-MS, HS-GC-IMS, and UPLC-ESI-MS/MS. The results indicate that GC-IMS analysis obtained a metabolic profile different from that detected using GC-MS. Terpenoids, polyphenols, coumarins, and phthalides are the main bioactive compounds in celery seeds. The production region significantly affects the metabolic characteristics of celery seeds. Based on GC-MS data, GC-IMS data, and LC-MS data, the variation analysis screened 6, 12, and 8 metabolites as potential characteristic metabolites in celery seeds related to the production region, respectively. According to the aromatic characteristics of the characteristic metabolites, seeds from the HCQ region and HZC region have a strong herbal, woody, celery, and turpentine aroma. The concentration of secondary metabolites was highest in the seeds from the HCQ region followed by the HZC region, and it was the lowest in the JJC region. Altogether, this study investigates how geographical origins influence the metabolomic profile of celery seeds. The results can be used to guide the planting and harvesting of celery seeds in suitable regions. Full article
(This article belongs to the Section Foodomics)
Show Figures

Figure 1

18 pages, 3079 KB  
Article
Defense Mechanisms Induced by Celery Seed Essential Oil against Powdery Mildew Incited by Podosphaera fusca in Cucumber
by Hajar Soleimani, Reza Mostowfizadeh-Ghalamfarsa, Mustafa Ghanadian, Akbar Karami and Santa Olga Cacciola
J. Fungi 2024, 10(1), 17; https://doi.org/10.3390/jof10010017 - 27 Dec 2023
Cited by 16 | Viewed by 3213
Abstract
This study aimed to evaluate the effectiveness of essential oil extracted from celery (Apium graveolens) seeds (CSEO) for the control of powdery mildew of cucumber (Cucumis sativus) incited by Podosphaera fusca and to investigate the metabolic and genetic defense [...] Read more.
This study aimed to evaluate the effectiveness of essential oil extracted from celery (Apium graveolens) seeds (CSEO) for the control of powdery mildew of cucumber (Cucumis sativus) incited by Podosphaera fusca and to investigate the metabolic and genetic defense mechanisms triggered by the treatment with this essential oil in cucumber seedlings. The main compounds in the CSEO as determined by gas chromatography–mass spectrometry (GC-MS) analysis were d-limonene, 3-butyl phthalide, β-selinene, and mandelic acid. The treatment with CSEO led to an increase in the content of both chlorophyll and phenolic/flavonoid compounds in cucumber leaves. In greenhouse tests, the application of CSEO reduced by 60% the disease severity on leaves of cucumber plants and stimulated the activity of defense-related enzymes such as β-1,3-glucanase, chitinase, phenylalanine ammonia-lyase, peroxidase, and polyphenol oxidase. Moreover, treatment with CSEO induced overexpression of β-1,3-glucanase, chitinase, and phenylalanine ammonia-lyase genes. A highly significant correlation was found between the β-1,3-glucanase, chitinase, and phenylalanine ammonia-lyase enzymatic activities and the relative expression of the corresponding encoding genes in both inoculated and non-inoculated cucumber seedlings treated with the essential oil. Overall, this study showed that CSEO is a promising eco-friendly candidate fungicide that can be exploited to control cucumber powdery mildew. Full article
Show Figures

Figure 1

21 pages, 1151 KB  
Review
Apiaceae Family an Important Source of Petroselinic Fatty Acid: Abundance, Biosynthesis, Chemistry, and Biological Proprieties
by Ahmed Hajib, Said El Harkaoui, Hasnae Choukri, Aya Khouchlaa, Sarra Aourabi, Naoual El Menyiy, Abdelhakim Bouyahya and Bertrand Matthaeus
Biomolecules 2023, 13(11), 1675; https://doi.org/10.3390/biom13111675 - 20 Nov 2023
Cited by 16 | Viewed by 4400
Abstract
Petroselinic fatty acid (PeFA) is considered a rare fatty acid and one of the most important fatty acids in the Apiaceae family. Its content varies depending on plant species, geographical origin, extraction method, ripeness, etc. Indeed, reported levels of petroselinic fatty acid range [...] Read more.
Petroselinic fatty acid (PeFA) is considered a rare fatty acid and one of the most important fatty acids in the Apiaceae family. Its content varies depending on plant species, geographical origin, extraction method, ripeness, etc. Indeed, reported levels of petroselinic fatty acid range from 10.4 to 75.6% (in anise seed oil), 1 to 81.9% (in coriander seed oil), 28.5 to 57.6% (in caraway seed oil), 49.4 to 75.6% (in celery seed oil), 41.3 to 61.8% (in caraway seed oil), 79.9 to 87.2% (in dill seed oil), 43.1 to 81.9% (in fennel seed oil), and 35 to 75.1% (parsley seed oil). In this review, we also show current knowledge about genes encoding biosynthesis, from the desaturation of 16:0-ACP to petroselinic acid stored in triacylglycerol in the seeds. Furthermore, petroselinic acid is not related to the synthesis of ABA. PeFA was successfully isolated from Apiaceae family plant seeds in order to study their reactivity and biological activities. Several investigations showed that this fatty acid has a wide range of biological potentials, including antidiabetic, antibacterial, and antifungal activities. In cosmetics, PeFA alone or in association with other active compounds has interesting applications as an anti-inflammatory agent for the treatment of skin, hair, and nail disorders. Full article
Show Figures

Figure 1

17 pages, 2823 KB  
Article
Tolerance Evaluation of Celery Commercial Cultivars and Genetic Variability of Fusarium oxysporum f. sp. apii
by Mónica Blanco-Meneses, Mauricio Serrano-Porras, Anny Calderón-Abarca, Alejandro Sebiani-Calvo, Gabriel Vargas and Oscar Castro-Zúñiga
Microorganisms 2023, 11(11), 2732; https://doi.org/10.3390/microorganisms11112732 - 9 Nov 2023
Cited by 1 | Viewed by 2174
Abstract
Celery (Apium graveolens var. dulce) is affected by several plant diseases, such as Fusarium oxysporum f. sp. apii (Foa). Four Foa races have been found in the US. The goals of this study were to determine which races are present in Costa [...] Read more.
Celery (Apium graveolens var. dulce) is affected by several plant diseases, such as Fusarium oxysporum f. sp. apii (Foa). Four Foa races have been found in the US. The goals of this study were to determine which races are present in Costa Rica and to quantify the tolerance of the imported commercial cultivars of celery produced in the country. Isolates from 125 symptomatic celery plants from three different geographical locations were analyzed, 65 of which were selected for phylogenetic analysis. All isolates presented a short sequence of five nucleotides that differentiates Foa race 3 in the IGS rDNA region. Three different haplotypes closely related to race 3 were found, which were highly virulent, produced great losses, and affected all cultivars (resistant to races 2 and 4) of imported commercial celery. Additionally, five different cultivars of celery were evaluated against seven pathogen isolates identified as race 3 in greenhouse conditions. Two of the cultivars showed significantly less chlorosis, wilting, mortality, and higher fresh weight. Most of the Foa isolates significantly increased chlorosis, wilting, and mortality compared to non-inoculated control. Celery producers in Costa Rica lack access to seeds resistant to the Foa race 3 present in the country. Full article
(This article belongs to the Special Issue Plant Pathogenic Fungi: Genetics and Genomics)
Show Figures

Figure 1

13 pages, 2899 KB  
Article
Identification of Xanthine Oxidase Inhibitors from Celery Seeds Using Affinity Ultrafiltration–Liquid Chromatography–Mass Spectrometry
by Xiaona Gan, Bo Peng, Liang Chen, Yanjun Jiang, Tingzhao Li, Bo Li and Xiaodong Liu
Molecules 2023, 28(16), 6048; https://doi.org/10.3390/molecules28166048 - 14 Aug 2023
Cited by 12 | Viewed by 6877
Abstract
Celery seeds have been used as an effective dietary supplement to manage hyperuricemia and diminish gout recurrence. Xanthine oxidase (XOD), the critical enzyme responsible for uric acid production, represents the most promising target for anti-hyperuricemia in clinical practice. In this study, we aimed [...] Read more.
Celery seeds have been used as an effective dietary supplement to manage hyperuricemia and diminish gout recurrence. Xanthine oxidase (XOD), the critical enzyme responsible for uric acid production, represents the most promising target for anti-hyperuricemia in clinical practice. In this study, we aimed to establish a method based on affinity ultrafiltration–liquid chromatography–mass spectrometry (UF–LC–MS) to directly and rapidly identify the bioactive compounds contributing to the XOD-inhibitory effects of celery seed crude extracts. Chemical profiling of celery seed extracts was performed using UPLC-TOF/MS. The structure was elucidated by matching the multistage fragment ion data to the database and publications of high-resolution natural product mass spectrometry. Thirty-two compounds, including fourteen flavonoids and six phenylpeptides, were identified from celery seed extracts. UF–LC–MS showed that luteolin-7-O-apinosyl glucoside, luteolin-7-O-glucoside, luteolin-7-O-malonyl apinoside, luteolin-7-O-6′-malonyl glucoside, luteolin, apigenin, and chrysoeriol were potential binding compounds of XOD. A further enzyme activity assay demonstrated that celery seed extract (IC50 = 1.98 mg/mL), luteolin-7-O-apinosyl glucoside (IC50 = 3140.51 μmol/L), luteolin-7-O-glucoside (IC50 = 975.83 μmol/L), luteolin-7-O-6′-malonyl glucoside (IC50 = 2018.37 μmol/L), luteolin (IC50 = 69.23 μmol/L), apigenin (IC50 = 92.56 μmol/L), and chrysoeriol (IC50 = 40.52 μmol/L) could dose-dependently inhibit XOD activities. This study highlighted UF–LC–MS as a useful platform for screening novel XOD inhibitors and revealed the chemical basis of celery seed as an anti-gout dietary supplement. Full article
(This article belongs to the Special Issue LC-MS in Bioactive Molecules Study)
Show Figures

Figure 1

17 pages, 1403 KB  
Article
Proximate Analysis and Antioxidant Properties of Young Plants of Sinapis alba L. Depend on the Time of Harvest and Variety
by Urszula Sadowska, Klaudia Jewiarz, Magdalena Kopak, Kinga Dziadek, Renata Francik and Aneta Kopeć
Appl. Sci. 2023, 13(13), 7980; https://doi.org/10.3390/app13137980 - 7 Jul 2023
Cited by 10 | Viewed by 3063
Abstract
White mustard plant (Sinapis alba L.) is an easy-to-grow species with low soil requirements and is often sown as a catch crop in Northern Europe to reduce nitrate leaching, especially during the winter. There are studies showing the high nutritional value of [...] Read more.
White mustard plant (Sinapis alba L.) is an easy-to-grow species with low soil requirements and is often sown as a catch crop in Northern Europe to reduce nitrate leaching, especially during the winter. There are studies showing the high nutritional value of mustard seeds, which have a wide application, mainly in food production. Still little is known about the young shoots or plants of different cultivars of white mustard, although in Asian countries, eating them raw is quite common. The aim of the research was to determine the proximate composition, antioxidant activity and polyphenolic compound content in young green plants of the Polish cultivars of white mustard: Borowska (traditional, with a high content of erucic acid and glucosinolates), Bamberka (non-erucic with glucosinolates) and Warta (non-erucic with low glucosinolates content; double-improved). Young plants were harvested in three terms. The first harvest took place at the plover stadium and the next ones at 7-day intervals (31, 38 and 45 day after sowing). In freeze-dried plant material, proximate composition and antioxidant activity with the ABTS and FRAP methods, as well as phenolic compound content, were measured. The highest concentration of protein was measured in cultivars Warta and Borowska after 31 and 38 days of sowing. Harvest time and cultivar affected antioxidant activity and total polyphenol content in young mustard plants. Thirty-eight days after sowing, the examined cultivars of the young plants of mustard had the highest antioxidant activity and total polyphenolic compound content. Green young mustard plants have strong antioxidant properties at the basic level, they are classified as functional foods and are similar to other edible leafy plants such as celery, spinach and Brussels sprouts. Full article
(This article belongs to the Special Issue New Insights into Natural Antioxidants in Foods)
Show Figures

Figure 1

19 pages, 2351 KB  
Article
Obtaining Bacterial Cellulose through Selected Strains of Acetic Acid Bacteria in Classical and Waste Media
by Justyna Płoska, Monika Garbowska, Simona Klempová and Lidia Stasiak-Różańska
Appl. Sci. 2023, 13(11), 6429; https://doi.org/10.3390/app13116429 - 24 May 2023
Cited by 18 | Viewed by 4617
Abstract
Bacterial cellulose (BC) is a natural exopolysaccharide characterized by a high purity, mechanical strength, and the ability to absorb various compounds. Obtaining BC on an industrial scale is expensive, mainly due to the high cost of the culture media. Replacing classical media with [...] Read more.
Bacterial cellulose (BC) is a natural exopolysaccharide characterized by a high purity, mechanical strength, and the ability to absorb various compounds. Obtaining BC on an industrial scale is expensive, mainly due to the high cost of the culture media. Replacing classical media with waste from the agri-food industry may be a promising way to reduce the costs when obtaining BC. The aim of these studies was to compare the effectiveness of the biosynthesis of BC in classical and waste media using two strains, Komagataeibacter xylinus K2G30 and Gluconacetobacter hansenii ATCC 23769. Classical Hestrin−Schramm, YPM, GY, and GYE media were used. The waste media were banana peels, celery pomace, fish waste, hemp seed pomace, deproteinized acid whey (DAW), and non-deproteinized acid whey (NDAW). The highest efficiency of BC biosynthesis in classical media was observed in YPM and it was 5.23 g·dm−3 with K. xylinus K2G30. In the waste media, the highest yield of BC was observed in AW, when the yield of BC was 2.99 g·dm−3 with K. xylinus K2G30. In addition, it was demonstrated that the presence of proteins and lactic acid in AW influenced the efficiency when obtaining BC in the culture of K. xylinus. The results indicate that it is possible to obtain BC from industrial waste, especially from AW. Full article
Show Figures

Figure 1

11 pages, 1042 KB  
Article
Effect of Food Matrix and Treatment Time on the Effectiveness of Grape Seed Extract as an Antilisterial Treatment in Fresh Produce
by Anahita Ghorbani Tajani and Bledar Bisha
Microorganisms 2023, 11(4), 1029; https://doi.org/10.3390/microorganisms11041029 - 14 Apr 2023
Cited by 12 | Viewed by 2286
Abstract
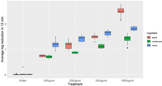
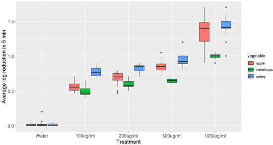
Listeriosis outbreaks were associated with contaminated fruits and vegetables, including cantaloupe, apples, and celery. Grape seed extract (GSE) is a natural antimicrobial with potential for reducing Listeria monocytogenes contamination in food. This study assessed the effectiveness of GSE to reduce L. monocytogenes on [...] Read more.
Listeriosis outbreaks were associated with contaminated fruits and vegetables, including cantaloupe, apples, and celery. Grape seed extract (GSE) is a natural antimicrobial with potential for reducing Listeria monocytogenes contamination in food. This study assessed the effectiveness of GSE to reduce L. monocytogenes on fresh produce and the impact of food matrices on its antilisterial activity. GSE showed MIC values of 30–35 μg/mL against four Listeria strains used in this study. A total of 100 g portions of cantaloupe, apples, and celery were inoculated with L. monocytogenes and treated with 100–1000 μg/mL of GSE for 5 or 15 min. Results were analyzed using Rstudio and a Tukey’s test. Treated produce had significantly lower L. monocytogenes counts than the control samples (p-value < 0.05). The inhibition was significantly higher on apples and lowest on cantaloupe. Moreover, a 15 min treatment was found to be more effective than a 5 min treatment in reducing L. monocytogenes on all produce types. The reduction in L. monocytogenes levels varied between 0.61 and 2.5 log10 CFU reduction, depending on the treatment concentration, duration, and produce matrix. These findings suggest that GSE is an effective antilisterial treatment for fresh produce, with varying levels of effectiveness depending on the food matrix and treatment time. Full article
(This article belongs to the Section Food Microbiology)
Show Figures

Figure 1

18 pages, 3679 KB  
Article
Transcriptomic and Proteomic Analyses of Celery Cytoplasmic Male Sterile Line and Its Maintainer Line
by Haoran Wang, Qing Cheng, Ziqi Zhai, Xiangyun Cui, Mingxuan Li, Ruiquan Ye, Liang Sun and Huolin Shen
Int. J. Mol. Sci. 2023, 24(4), 4194; https://doi.org/10.3390/ijms24044194 - 20 Feb 2023
Cited by 3 | Viewed by 2572
Abstract
Male sterility is a common phenomenon in the plant kingdom and based on the organelles harboring the male-sterility genes, it can be classified into the genic male sterility (GMS) and the cytoplasmic male sterility (CMS). In every generation, CMS can generate 100% male-sterile [...] Read more.
Male sterility is a common phenomenon in the plant kingdom and based on the organelles harboring the male-sterility genes, it can be classified into the genic male sterility (GMS) and the cytoplasmic male sterility (CMS). In every generation, CMS can generate 100% male-sterile population, which is very important for the breeders to take advantage of the heterosis and for the seed producers to guarantee the seed purity. Celery is a cross-pollinated plant with the compound umbel type of inflorescence which carries hundreds of small flowers. These characteristics make CMS the only option to produce the commercial hybrid celery seeds. In this study, transcriptomic and proteomic analyses were performed to identify genes and proteins that are associated with celery CMS. A total of 1255 differentially expressed genes (DEGs) and 89 differentially expressed proteins (DEPs) were identified between the CMS and its maintainer line, then 25 genes were found to differentially expressed at both the transcript and protein levels. Ten DEGs involved in the fleece layer and outer pollen wall development were identified by Gene Ontology (GO) and Kyoto Encyclopedia of Genes and Genomes (KEGG) analyses, most of which were down-regulated in the sterile line W99A. These DEGs and DEPs were mainly enriched in the pathways of “phenylpropanoid/sporopollenin synthesis/metabolism”, “energy metabolism”, “redox enzyme activity” and “redox processes”. Results obtained in this study laid a foundation for the future investigation of mechanisms of pollen development as well as the reasons for the CMS in celery. Full article
(This article belongs to the Special Issue Recent Advances in Plant Molecular Science in China 2022)
Show Figures

Figure 1

15 pages, 2041 KB  
Review
Improvement of Seed Quality by Priming: Concept and Biological Basis
by Françoise Corbineau, Nesrin Taskiran-Özbingöl and Hayat El-Maarouf-Bouteau
Seeds 2023, 2(1), 101-115; https://doi.org/10.3390/seeds2010008 - 20 Feb 2023
Cited by 50 | Viewed by 11293
Abstract
Presoaking seeds in water (hydropriming) or in a solution, usually of polyethylene glycol (PEG) or various salts at low water potential (osmopriming), has been demonstrated to improve the germination of seeds of numerous species including vegetables (carrot, celery, leek, lettuce, tomato), floral plants [...] Read more.
Presoaking seeds in water (hydropriming) or in a solution, usually of polyethylene glycol (PEG) or various salts at low water potential (osmopriming), has been demonstrated to improve the germination of seeds of numerous species including vegetables (carrot, celery, leek, lettuce, tomato), floral plants (cyclamen, primrose, pansy) and others (sugar beet, rape, soybean, sunflower). This treatment allows the germination stricto sensu to occur but prevents the radicle protrusion. Germination of primed seeds is more rapid and uniform than that of unprimed ones. Primed seeds germinate in a wider range of temperatures and are less sensitive to oxygen deprivation. Interestingly, priming also improves the germination of aged seeds. The stimulatory effect of priming persists after redrying and often during storage; however, primed seeds often deteriorate faster during storage or accelerated aging than unprimed ones. A better understanding of the mechanisms involved during priming allows us to suggest markers of the effectiveness of priming. Among these markers, ethylene production during imbibition, cell-cycle processes (DNA replication, ß-tubulin), soluble sugar metabolism (raffinose family oligosaccharides, in particular), reactive oxygen species scavenging through antioxidant systems and energy metabolism are correlated to seed vigor. Global approaches (proteomic, metabolomic or transcriptomic) could also result in the identification of new markers. Full article
(This article belongs to the Special Issue Seed Priming Approaches That Achieve Environmental Stress Tolerance)
Show Figures

Figure 1

Back to TopTop