Abstract
Presoaking seeds in water (hydropriming) or in a solution, usually of polyethylene glycol (PEG) or various salts at low water potential (osmopriming), has been demonstrated to improve the germination of seeds of numerous species including vegetables (carrot, celery, leek, lettuce, tomato), floral plants (cyclamen, primrose, pansy) and others (sugar beet, rape, soybean, sunflower). This treatment allows the germination stricto sensu to occur but prevents the radicle protrusion. Germination of primed seeds is more rapid and uniform than that of unprimed ones. Primed seeds germinate in a wider range of temperatures and are less sensitive to oxygen deprivation. Interestingly, priming also improves the germination of aged seeds. The stimulatory effect of priming persists after redrying and often during storage; however, primed seeds often deteriorate faster during storage or accelerated aging than unprimed ones. A better understanding of the mechanisms involved during priming allows us to suggest markers of the effectiveness of priming. Among these markers, ethylene production during imbibition, cell-cycle processes (DNA replication, ß-tubulin), soluble sugar metabolism (raffinose family oligosaccharides, in particular), reactive oxygen species scavenging through antioxidant systems and energy metabolism are correlated to seed vigor. Global approaches (proteomic, metabolomic or transcriptomic) could also result in the identification of new markers.
1. Introduction
Successful stand establishment requires high-quality seeds, i.e., seeds that (1) all germinate, (2) germinate quickly and simultaneously, (3) give rise to normal and vigorous seedlings, (4) display low sensitivity to external factors (temperature, oxygen availability, water potential of the soil) and lastly, (5) germinate in a wide range of environmental conditions [1,2,3,4,5]. It is well known that acquisition of seed quality occurs during seed development and the maturation phase [6], and that seed quality can be improved by breeding and selection, two fundamental approaches. For example, quantitative trait loci (QTLs) related to germination rate have been detected in sunflower, rape and Medicago truncatula seeds [7,8,9,10]. Seed companies may also enhance seed quality at different steps of the seed production, by improving the methods of harvest but often by post-harvest treatments such as cleaning, sorting, coating, priming and controlling the storage conditions [1,11,12,13]. The treatments can be grouped in 3 groups: (1) conditioning (cleaning, purification, fractionation using size and density grading, color sorting, polishing and scarification), (2) seed protection by applying active compounds (fungicides and/or insecticides) and (3) seed invigoration, also called physiological enhancement, such as priming. Three mains strategies are used for improving seed quality by the priming technology [1,3,4,11,12,13]: seed hydration with water for various durations (hydropriming); submersion in solutions of osmotica (osmopriming); mixing seeds with moist solid particle materials (matrix priming).
This review will be focused mainly on hydropriming and osmopriming, but other techniques are in development such as, for example, biopriming (hydration with microorganisms) and nanopriming (hydration with agents such as nanoparticles of silver and zinc oxide) [4,5,14,15].
The objective of this review is to indicate the main priming technologies, to describe some beneficial effects of the treatment in relation to temperature and oxygen supply and to specify the influence of the priming conditions on the efficiency of the treatment. It is also to better understand the cellular, biochemical and molecular mechanisms associated with these treatments, which could suggest markers of the efficiency of priming.
2. Main Conventional Seed Priming Techniques
Seed priming, a technique now used commercially, has been demonstrated to improve the germination of seeds of numerous vegetable plants (leek, tomato, pepper, onion and carrot) [1,16,17,18,19,20,21] and the production of potted or bedding ornamental plants such as cyclamen, begonia, pansy and primrose, as well as for large volume of field crops such as sugar beet and turf grasses [1,3,4,22].
Hydropriming is a simple technique in which seeds are immersed in water for a specific period that does not allow radicle protrusion and permits seeds to dry back to their initial water content. However, it is difficult to avoid the radicle growth since hydropriming is a non-controlled water uptake [23]. Drum priming is a key technique that allows a controlled increase in water uptake and seed imbibition during the treatment by regularly measuring seed mass and the volume of water required to control seed hydration [24,25].
Osmopriming corresponds to seed submersion with aerated solutions of low water potential (usually −1.0 to −2.0 MPa): polyethylene-glycol (PEG), mannitol and sorbitol or different salts (NaNO3, MgCl2, KH2PO4, KH(PO4)2, K3PO4, KCl, KNO3, Ca(NO3)2) [1,3,4,26,27]. The duration of priming depends on the species and varies from 1–2 days (lettuce, rice, sorghum) up to 5–7 days (tomato, sugar beet), 7–10 days (cauliflower, carrot, fennel, primrose, pansy) or 14 days (celery, leek). The seed industry generally dries back primed seeds before storage and sowing.
Figure 1 illustrates the priming process as related to water content and some metabolic changes [5,15,27,28]. Priming (hydro- or osmopriming) consists of partial hydration of the seed population, allowing the phase II of germination sensu stricto to occur but preventing the radicle emergence (phase III, growth) associated with the loss of desiccation tolerance. The seed moisture content (MC) is maintained during the priming treatment at 40–45% of the fresh weight basis which corresponds to an MC at about 90–95% that allows radicle emergence [1,3,4,26,27]. Treated seeds are redried to their initial moisture content and stored before sowing. During the imbibition phase, controlled water uptake allows the protein synthesis and induces respiration activity. Phase II, called “pregermination” or “activation”, is associated with several metabolic processes including protein synthesis, respiration, metabolism of sugar, etc. Seeds are then dehydrated in order to postpone seed sowing.
Figure 1.
Seed priming process as related to seed water content. Priming consists of partial seed imbibition to a point where germination (phase II, germination sensu stricto) occurs but is not completed by radicle growth. The moisture content of the seeds is maintained during priming at 40–45% fresh weight basis, corresponding to about 90–95% of the moisture content that allow radicle growth. During phase I (imbibition), controlled water uptake allows protein synthesis and induces respiratory activity. Phase II is associated to various physiological, biochemical and molecular activities such as protein synthesis, respiratory activity, metabolism of soluble sugars and repair processes, but the radicle emergence is prevented. In seed company, seeds are dehydrated after priming and stored in order to postpone seed sowing. After sowing, primed seed germination rate is improved and phase II is shortened. “//” indicates a change in the x-axis scale depending on the duration of priming or the duration of storage of primed seeds.
Nanopriming and biopriming are advanced methods that have shown promising beneficial effects in agriculture. The nanoagents are silver and zinc oxide nanoparticles [29], and biopriming integrates biological aspects by inoculating seeds with beneficial microorganisms controlling seed-borne pathogens and biological treatment corresponding to partial seed imbibition [15,30].
3. Beneficial Effects of Priming
3.1. Seed Sensitivity to Temperature and Oxygen
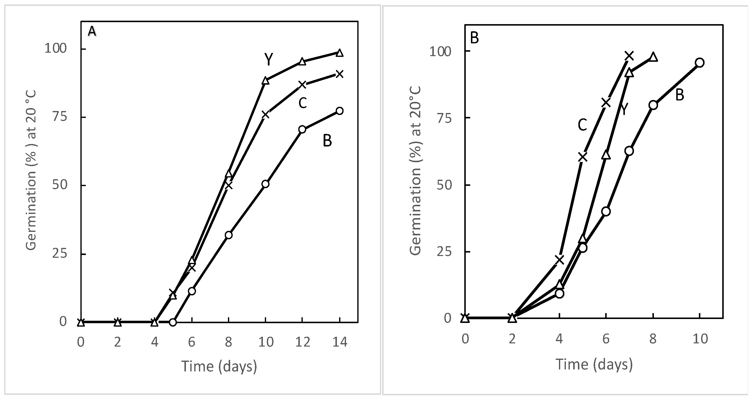
Priming strongly improves the subsequent germination of seeds in water in a wide range of temperatures (Figure 2). For example, without priming, leek seeds germinate only in a narrow range of temperatures (10–20 °C), the thermal optimum being 15–20 °C, while they germinate easily between 5 and 40 °C after osmopriming (Figure 2) [21,31]. Osmoprimed tomato seeds germinate in higher percentages at 35 °C than unprimed ones and are able to germinate at 10 °C, whereas control seeds do not germinate at low temperatures (Figure 2) [32,33,34]. After osmopriming, the germination of carrot seeds is improved at low temperatures (5–10 °C) (Figure 2) [17,18,31], i.e., when sowing occurs early in spring. In case of a mixture of seeds from various genotypes, Figure 3 shows that priming could homogenize the germination of Primula seeds from genotypes with blue, carmine and yellow flowers, which is a good tool to produce seedlings in greenhouse conditions and reduced time due to the manual planting out of seedlings in order to obtain homogeneous and simultaneous development.
Figure 2.
Effects of temperature on the germination percentages obtained after 7 days with unprimed seeds (1) and primed seeds (2) of leek, tomato and carrot. 1, control non-primed seeds; 2, seeds pretreated for 14 days (leek), 9 days (carrot) and 7 days (tomato) at 15 °C in the presence of a solution of polyethylene glycol at −1.0 MPa (tomato) or −1.5 MPa (leek, carrot). Means of 4 replicates of 50 seeds. Modified from [2,21,32,34].
Figure 3.
Germination at 20 °C of Primula seeds from genotype with blue (B), carmine (C) and yellow (Y) flowers. (A), seeds non-primed; (B), seeds primed on PEG solutions. Means of 4 replicates of 50 seeds. From Corbineau (unpublished data).
Primed seeds are also less sensitive to oxygen deprivation than control unprimed ones [2,21,32,34,35,36,37]. Table 1 shows that primed seeds of carrot, Lamb’s lettuce, leek, sunflower and tomato germinate faster and in higher percentages in low oxygen concentrations (5–15%) than non-primed seeds.
Table 1.
Effect of priming on seed sensitivity to oxygen tension. Seeds are not primed or are osmoprimed for 7 days at 15 °C in the presence of PEG-8000 solution at −1 MPa (tomato, lamb’s lettuce), 5 days at 15 °C with PEG-8000 solution at −2 MPa (sunflower), 9 days (carrot) and 14 days (leek) at 15 °C in the presence of PEG-8000 solution at −1.5 MPa. Germination percentages are counted after 4 days at 20 °C (carrot, leek, lamb’s lettuce), after 2 days (tomato) or 4 days (sunflower) at 25 °C. Means of four replicates. Modified from [19,21,32,34,35,36,37].
Experiments in field conditions have also shown that priming increases the seedling emergence in suboptimal conditions of sowing and mean plant weight [18]. The time to obtain 50% emergence was reduced by 2–4 days in Brussels sprouts and cabbage seeds [38]. Seed priming not only enhances the germination in a large range of conditions but also enhances stress tolerance of the plants [1,3,5,15].
3.2. Germination of Aged Seeds
Priming improves the germination of low vigor or aged seeds of various species such as wheat [39], cauliflower [40], tomato [41], sunflower [42], pepper [43] and rape [34,44]. For example, after aging at 45 °C and 100% relative humidity for 31 h, rape seeds are still viable, but their germination rate is reduced compared to the control unaged seeds [34]; however, osmopriming at 25 °C in a PEG solution at −2 MPa enhances the germination of aged seeds. This improving effect increases with the duration of the treatment, and, after 6 days of priming, aged seeds germinate as well as the unaged ones. The more the seeds are aged the longer they must be primed for restoring their initial germination ability [34,44]. In the case of sunflower seeds, the re-invigoration during priming of seeds aged at 45 °C for 5 days is associated with a decrease in lipid peroxidation and the recovery of the detoxifying enzyme (superoxide dismutase, catalase, glutathione reductase) activities [42].
3.3. Examples of Priming Beneficial Effects on Several Species
The stimulatory effects of priming depend on the conditions (particularly temperature, water potential and oxygen availability) and the duration of the treatment [3,5,11,12,15]. Water potential during osmopriming varies between −0.5 and −2 MPa depending on the species, but generally the moisture content of the seeds is maintained at around 40–45% fresh weight basis, which is lower than the moisture content that would allow radicle protrusion [27]. The temperature range and oxygen concentrations which are effective during priming are similar to those which allow the germination of unprimed seeds, which demonstrates that priming corresponds to the realization of the germination stricto sensu (phase II of the germination process). For example, the optimal temperature for priming and germination of unprimed seeds is around 25 °C for tomato [32,33], 20–25 °C for sunflower [34] and 10–15 °C for leek [34]. Table 2 gives various examples of the priming treatment procedures on different species and their effects on germination and sensitivity to temperature or hypoxia.
Table 2.
Optimal priming (hydropriming and osmopriming) procedures that improve the germination of vegetable, horticultural and crops species (compiled from [16,17,18,19,20,21,22,23,24,25,26,27,28,29,30,31,32,33,34,35,36,37,38,39,40,41,42,43,44,45,46,47,48,49,50,51,52,53,54,55,56,57,58,59,60,61,62,63,64,65,66,67,68,69,70,71,72,73,74,75,76,77,78,79].
To be efficient, the priming treatment requires more than 5% oxygen in the atmosphere (Figure 4) [33,34], indicating that metabolic processes are necessary for the syntheses associated with priming [27].
Figure 4.
Effects of oxygen tension during priming for 7 days at 15 °C (1) or 25 °C (2) on a PEG solution at −1.0 MPa on the time to obtain 50% germination (T50) with tomato seeds (cv Elko) transferred on water at 15 °C. Mean of 3 replicates of 50 seeds. T50 of dry non-primed seeds was 129 h. From [33,34].
4. Markers of Priming
A better understanding of the metabolic, biochemical and molecular mechanisms involved in the enhancement of germination after priming would allow us to suggest various biochemical and molecular markers of priming treatment. Among these, respiration and ethylene production during seed imbibition [80,81], protein, RNA and DNA synthesis [27,28], DNA replication [33,39,48,82] or β-tubulin accumulation [55,83] involved in the cell cycle regulation, soluble sugar metabolism and activity of the antioxidant defense systems [58,68,72,80] are promising for evaluating the efficiency of priming treatments.
4.1. Respiration and Ethylene Synthesis
The respiratory activity increases during seed priming, this effect being associated with seed imbibition. Various studies [32,35,36,81,84,85,86] have shown that the respiratory activity is stimulated during priming and after transfer of primed seeds onto water. Priming also stimulates ATP synthesis and the ATP/ADP ratio during the imbibition phase. This stimulatory effect rises with increasing duration of osmotic treatment. In tomato seeds [81], the beneficial effect of priming increases with increasing energy metabolism; it is optimal when the energy charge (EC) and ATP/ADP ratio are higher than about 0.75 and 1.7, respectively.
The ability of the seeds to convert 1-aminocyclopropane-1-carboxylic acid (ACC), the direct precursor of ethylene, is a good indicator of membrane properties since it is mediated by ACC oxidase, the in vivo activity of which depends on membrane integrity. It is a good marker of seed vigor in various species such as lettuce, cabbage, tomato, sweet-corn [87] and sunflower [36]. ACC-dependent ethylene production is also well correlated with the efficiency of priming treatment in sunflower [36] and carrot [2,80].
4.2. Soluble Sugars and Oxidative Status
In terms of seed vigor, soluble sugar metabolism and the capacity to scavenge reactive oxygen species (ROS) seem to be of a particular interest.
Priming is often associated with changes in soluble sugar content. There is a sublinear relationship between sucrose and oligosaccharide contents and the sucrose/oligosaccharide ratio, and the efficiency of priming evaluated by the T50 at 10 °C in carrot [2,80] and the germination % obtained after 4 days at 10 °C in fennel (Özbingöl, unpublished data). In tomato seeds, the ratio raffinose/sucrose is around 0.48 in dry unprimed seeds and decreases down 0.20–0.22 or 0.11–0.13 after 3 days of priming at 15 and 25 °C, respectively, and down 0.10–0.06 after 7 days of priming [88]. An increase in sucrose was also observed in impatiens and cucumber germinated seeds placed on a PEG solution at −1.5 MPa [89].
Reactive oxygen species play a critical role in sensing the environmental conditions and are key regulators of the germination process [90,91]. In rice, different priming techniques increase the metabolites/non-enzymatic antioxidant contents (total sugars, total phenolics, free amino acids, proline, ascorbate and glutathione) as well as activities of antioxidant enzymes (superoxide dismutase, catalase, ascorbate peroxidase and guaiacol peroxidase), thus reducing oxidative stress damage. The catalase activity is also sublinearly correlated with the germination rate of sunflower [42,68,69]. Osmopriming strongly enhances SOD and CAT activity and thus improves the antioxidant defense of the cells [68]. In addition, osmopriming of aged seeds completely restores the initial rate of germination [69].
4.3. Cell Cycle Regulation
Studies using flow cytometry have demonstrated that DNA replication is initiated in the radicle tip cells during osmopriming of tomato seeds [33,48,82,92,93]. An increase in 4C DNA content is also observed in sugar beet seeds [94]. The amounts of 4C nuclei reach 28.8% after 7 days of priming at 25 °C and on a PEG solution at −1.0 MPa in pepper and in several tomato cultivars, such as Elko, Agata and San Marzano [33,48,82]. The DNA synthesis is inversely related to water potential of the osmoticum [33] and Figure 5 shows that a positive linear relationship exists between temperature of priming up to 25 °C and the 4C signals or the 4C/2C ratio, and a negative linear relationship exists at higher temperatures. To promote the germination, the priming treatment requires at least 5% oxygen; similar oxygen concentration is also required for DNA replication [33].
Figure 5.
Effect of temperature of priming (7 days with a PEG solution at −1 MPa) on the germination rate of tomato seeds at 15 °C (expressed as the time to obtain 50% germination: T50) (A) and on the percentage of 4C nuclei (red) and the 4C/2C ratio (blue) (B). From [33,34].
4.4. Global Analyses Using Omics
Omics analyses have been extensively performed for better understanding the global process of priming. However, it is difficult to distinguish between newly synthetized priming-induced genes or proteins from those corresponding to stored mRNA or those resulting from turnover changes. mRNA and ribosome synthesis as well as translation initiation or transcription factors candidates were up-regulated during osmopriming in transcriptome in rice or Brassica oleracea seeds or during hydropriming in proteome of durum wheat, suggesting the activation of de novo transcription and translation [95,96,97] In response to PEG treatment, genes corresponding to structural constituents of ribosomes were not shown to be affected, but transcriptomic study revealed the up-regulation of translation initiation factors, such as EIF4A [63]. Several translation initiation factors have been characterized in response to priming in several species [79,96,98]. In fact, newly synthetized proteins have been shown in dynamic proteomic study during Arabidopsis seed imbibition [99] and by polysome activity assessment in sunflower even though protein turnover cannot be excluded as shown by the proteasome activation [100]. Moreover, genes involved in DNA methylation or acetylation were also affected in response to osmopriming, suggesting the activation of specific epigenetic modifications [97]. Such modifications may be responsible for stress tolerance of the emerging plant, according to Chen and Arora [101], who have suggested that priming induced a “memory” of priming-induced stress responses in the new plant [101]. Indeed, the epigenetic mechanisms are of great importance in plant stress memory, as reported for drought stress, for example (for review, see [102]).
“Priming memory” has been associated to oxidative stress defense [96]. They pointed out the importance of ROS-scavenging and the antioxidant defense system in improving germination and seedling growth of durum wheat under salt stress. Components of oxidative stress regulation were constantly associated with priming treatments and antioxidant priming induced germination improvement. H2O2 priming also has a beneficial effect on seed germination and salt tolerance associated to its signal role that triggers cell response rapidly when the emerging plant is exposed to environmental stress [103]. Enzymatic components such as CAT, PER, POX, GR, DHAR or peroxiredoxin were shown to be regulated at the transcription level in response to salt and PEG priming [63,96,104]. Non-enzymatic components represented by ASA and GSH were also affected by priming [58,66,96]. Other repair components, such as protein-L-isoaspartate O-methyltransferase (PIMT), protein disulfide isomerase-like 2–3 (PDIL2–3) and HSP7S can also operate to repair oxidized proteins [96,98]. Thus, the oxidative stress tolerance machinery set up during priming allowed the protection the seed cell from oxidative damage leading to successful germination even under stress conditions [105].
Molecular characterization of seed priming has also shown the involvement of proteins related to metabolic processes. Respiration is triggered by seed hydration and results in an increase in energy charge and then in cell activities and macromolecular biosynthesis during seed germination. It has been proposed that glycolysis-related enzymes increase in expression during the early phases of germination and the glycolysis represents the main provider of energy needs for germination [100,106,107,108]. Similarly to the early phases of germination, seed priming induces an increase in the abundance of proteins related to energy and carbohydrate metabolism [109,110] Additional studies on metabolites can bring new elements about the specificity of these pathways in priming induced germination performance.
Several genes and proteins belonging to cell wall, cytoskeleton or cell division classes have been characterized, such as xyloglucan endotransglucosylase/hydrolases (XTH), tubulin subunits or expansins, in response to different priming treatments, including hydro-, osmo- and PEG priming [63,79,111]. Such molecules seem to be essential for normal seed germination as they have been characterized during the imbibition phase II of germination sensu stricto [100]. They are likely associated with elongation and growth processes and more investigations are needed to understand their regulation in priming induced improvement.
Special attention was given to potential priming markers from molecular studies. Proteomic study on rice seeds, presented the α-amylase as an ideal candidate for germination performance [106]. On the other hand, according to the similarity of the pattern of expression at the gene and protein levels, Cheng et al. [97] proposed three proteins as better candidates for seed priming in rice, glucose-1-phosphate adenylyltransferase large subunit, aminotransferase and prolamin precursor. Oxidative stress [103] or protein carbonylation [112] were also proposed as good salt-priming biomarkers. In fact, there will be as many markers as the species studied or the priming protocol applied. It is therefore important to characterize the markers according to the species but also to the specific environmental conditions of field production. Such markers are very important for agriculture and will be even more so in the future due to global warming.
5. Conclusions
Primed seeds can be considered as high vigor seeds. The beneficial effects of priming are associated with numerous biochemical, cellular and molecular events including energy metabolism, sugar synthesis and synthesis of proteins, RNA and DNA, but epigenetic effects should also be considered. The priming technique is without doubt a good strategy to improve crop production, but its effects depend often on the cultivar and the initial vigor of the seeds. Moreover, large scale seed priming requires a precise control of seed imbibition in order to regulate the advancement of the physiological and cellular processes and avoid any radicle protrusion resulting in loss of desiccation tolerance, and then the inability of primed seeds to be dried.
This review was focused on conventional priming techniques such as hydro- and osmopriming, but an added benefit of this technique is that seeds can simultaneously be treated with various substances, such as hormone (gibberellins or kinetin), nutrients or H2O2, that can induce the antioxidant defense machinery. Bio-priming that integrates inoculation with specific microorganisms involved in the regulation of seed pathogens is also a promising technique in agriculture.
Finally, priming is now used in seed companies to improve seed germination and crop performance, but they have to take into consideration the risk of losing the beneficial effect of priming during drying and storage. Seed companies must thus control all steps of the process, from the priming treatment itself to seed drying and storage before sowing. We lack the omics—e.g., of research on the molecular/epigenetic processes involved during priming and in primed seeds after drying and during storage—necessary to determine the long-term impact of the priming treatment. Omics approaches are expected to deliver new markers of seed vigor or of the efficiency of priming that can be used in breeding programs.
Author Contributions
Conceptualization, F.C. and H.E.-M.-B.; Investigation, F.C., N.T.-Ö. and H.E.-M.-B.; Writing original draft, F.C., N.T.-Ö. and H.E.-M.-B.; Writing-review and editing, F.C. and H.E.-M.-B.; Supervision, F.C. All authors have read and agreed to the published version of the manuscript.
Funding
This research received no external funding.
Institutional Review Board Statement
Not applicable.
Informed Consent Statement
Not applicable.
Data Availability Statement
Not applicable.
Conflicts of Interest
The authors declare no conflict of interest.
References
- Halmer, P. Methods to improve seed performance in the field. In Handbook of Seed Physiology: Applications to Agriculture; Benech-Arnold, R.L., Sanchez, R.A., Eds.; The Haworth Reference Press: New York, NY, USA; London, UK; Oxford, UK, 2004; pp. 125–166. [Google Scholar]
- Corbineau, F.; Côme, D. Priming: A technique for improving seed quality. Seed Test. Inter. 2006, 132, 38–40. [Google Scholar]
- Waqas, M.; Korres, N.E.; Khan, M.D.; Nizami, A.S.; Deeba, F.; Ali, I.; Hussain, H. Advances in the concept and methods of seed priming. In Priming and Pretreatment of Seeds and Seedlings; Hasanuzzaman, M., Fotopoulos, V., Eds.; Springer Nature Singapore Pte Ltd.: Singapore, 2019; pp. 11–41. [Google Scholar]
- Kumar, P. A review on seed priming techniques in field crops. Inter. J. Progress. Res. Sci. Eng. 2020, 1, 86–91. [Google Scholar]
- Garcia, D.; Zhao, S.; Arif, S.; Zhao, Y.; Ming, L.C.; Huang, D. Seed priming technology as a key strategy to increase crop plant production under adverse environmental conditions. J. Agric. Hortic. Res. 2022, 5, 27–35. [Google Scholar]
- Harada, J.J. Seed maturation and control of germination. In Cellular and Molecular Biology of Plant Seed Development; Larkins, B., Vasil, I., Eds.; Kluwer Academic Publishers: Dordrecht, The Netherlands, 1997; pp. 545–592. [Google Scholar]
- Al-Chaarani, G.R.; Gentzbittel, L.; Wedzony, M.; Sarrafi, A. Identification of QTLs for germination and seedling development in sunflower (Helianthus annuus L.). Plant Sci. 2005, 169, 221–227. [Google Scholar] [CrossRef]
- Finch-Savage, W.E.; Clay, H.A.; Lynn, J.R.; Morris, K. Towards a genetic understanding of seed vigour in small-seeded crops using natural variation in Brassica oleracea. Plant Sci. 2010, 179, 582–589. [Google Scholar] [CrossRef]
- Vandecasteele, C.; Teulat-Merah, B.; Morère-Le Paven, M.C.; Leprince, O.; Ly Vu, B.; Viau, L.; Ledroit, L.; Pelletier, S.; Payer, N.; Satour, P.; et al. Quantitative trait loci analysis reveals a correlation between the ratio of sucrose/raffinose family oligosaccharides and seed vigour in Medicago truncatula. Plant Cell Environ. 2011, 34, 1473–1487. [Google Scholar] [CrossRef]
- Dias, P.; Brunel-Muguet, S.; Dürr, C.; Huguet, T.; Demilly, D.; Wagner, M.-H.; Teulat-Merah, B. QTL analysis of seed germination and pre-emergence growth at extreme temperatures in Medicago truncatula. Theor. Appl. Genet. 2011, 122, 429–444. [Google Scholar] [CrossRef]
- McDonald, M.B. Seed quality assessment. Seed Sci. Res. 1998, 8, 265–275. [Google Scholar] [CrossRef]
- McDonald, M.B. Seed Enhancements. In Seed Science and Technology; Copeland, L.O., McDonald, M.B., Eds.; Kluwer Academic Publishers: Dordrecht, The Netherlands, 2001; pp. 277–296. [Google Scholar]
- Ligterink, W.; Joosen, R.V.L.; Hilhorst, H.W.M. Unravelling the complex trait of seed quality: Using natural variation through a combination of physiology, genetics and –omics technologies. Seed Sci. Res. 2012, 22, S45–S52. [Google Scholar] [CrossRef]
- Nile, S.H.; Thiruvengadam, M.; Wang, Y.; Samynathan, R.; Shariati, M.A.; Rebezov, M.; Nile, A.; Sun, M.; Venkidasamy, B.; Xiao, J.; et al. Nano-priming as emerging seed priming technology for sustainable agriculture–recent developments and future perspectives. J. Nanobiotechnol. 2022, 20, 254. [Google Scholar] [CrossRef]
- Lutts, S.; Benincasa, P.; Wojtyla, L.; Kubala, S.; Pace, R.; Lechowska, K.; Quinet, M.; Garnczarska, M. Seed priming: New comprehensive approaches for an old empirical technique. In New Challenges in Seed Biology—Basic and Translational Research Driving Seed Technology; Ajaujo, S., Balestrazzi, A., Eds.; IntechOpen: London, UK, 2016; pp. 1–46. [Google Scholar]
- Guedes, A.C.; Cantliffe, D.J. Germination of lettuce seeds at high temperature after seed priming. J. Am. Soc. Hortic. Sci. 1980, 105, 777–781. [Google Scholar] [CrossRef]
- Brocklehurst, P.A.; Dearman, J. Interactions between seed priming treatments and nine seedlots of carrot, celery and onion. I. Laboratory germination. Ann. Appl. Biol. 1983, 102, 577–584. [Google Scholar] [CrossRef]
- Brocklehurst, P.A.; Dearman, J. Interactions between seed priming treatments and nine seedlots of carrot, celery and onion. II. Seedling emergence and plant growth. Ann. Appl. Biol. 1983, 102, 585–593. [Google Scholar] [CrossRef]
- Corbineau, F.; Côme, D. Effects of priming on the germination of Valerianella olitoria seeds in relation with temperature and oxygen. Acta Hortic. 1990, 267, 191–197. [Google Scholar] [CrossRef]
- Corbineau, F.; Picard, M.A.; Côme, D. Germinability of some vegetable seeds in relation to temperature and oxygen. In Fourth International Worshop on Seeds. Basic and Applied Aspects of Seed Biology; Côme, D., Corbineau, F., Eds.; ASFIS: Paris, France, 1993; Volume 3, pp. 1027–1032. [Google Scholar]
- Corbineau, F.; Picard, M.A.; Côme, D. Germinability of leek seeds and its improvement by osmopriming. Acta Hortic. 1994, 371, 45–52. [Google Scholar] [CrossRef]
- Capron, I.; Corbineau, F.; Dacher, F.; Job, C.; Côme, D.; Job, D. Sugar seed priming: Effects of priming conditions on germination, solubilization of 11-S globulin and accumulation of LEA proteins. Seed Sci. Res. 2000, 10, 243–254. [Google Scholar] [CrossRef]
- Taylor, A.G.; Allen, P.S.; Bennett, M.A.; Bradford, K.J.; Burris, J.S.; Misra, M.K. Seed enhancements. Seed Sci. Res. 1998, 8, 245–256. [Google Scholar] [CrossRef]
- Rowse, H.R. Methods of Priming Seeds. In Priming and Pretreatment of Seeds and Seedlings; Hasanuzzaman, M., Fotopoulos, V., Eds.; Springer: Singapore, 1991. [Google Scholar]
- Warren, J.E.; Bennett, M.A. Seed hydration using the drum priming system. Hortic. Sci. 1997, 31, 1220–1221. [Google Scholar] [CrossRef]
- Heydecker, W.; Higgins, J.; Gulliver, R.L. Accelerated germination by osmotic seed treatment. Nature 1973, 246, 42. [Google Scholar] [CrossRef]
- Bray, C.M. Biochemical processes during osmopriming of seeds. In Seed Development and Germination; Kigel, J., Galili, G., Eds.; Marcel Dekker, Inc.: New York, NY, USA, 1995; pp. 767–789. [Google Scholar]
- Rajjou, L.; Duval, M.; Gallardo, K.; Catusse, J.; Bally, J.; Job, C.; Job, D. Seed germination and vigor. Annu. Rev. Plant Biol. 2012, 63, 507–533. [Google Scholar] [CrossRef]
- Kalal, P.R.; Jajoo, A. Priming with Zinc oxide nanoparticles improve germination and photosynthetic performance in wheat. Plant Physiol. Biochem. 2021, 160, 341–351. [Google Scholar] [CrossRef] [PubMed]
- Reddy, P.P. (Ed.) Biopriming of seeds. In Recent Advances in Crop Protection India; Springer Science & Business Media: New Delhi, India, 2013; pp. 83–90. [Google Scholar]
- Dearman, J.; Brocklehurst, P.A.; Drew, R.L.K. Effects of osmotic priming and ageing on the germination and emergence of carrot and leek seed. Ann. Appl. Biol. 1987, 111, 717–722. [Google Scholar] [CrossRef]
- Özbingöl, N.; Corbineau, F.; Côme, D. Responses of tomato seeds to osmoconditioning as related to temperature and oxygen. Seed Sci. Res. 1998, 8, 377–384. [Google Scholar] [CrossRef]
- Özbingöl, N.; Corbineau, F.; Groot, S.P.C.; Bino, R.J.; Côme, D. Activation of the cell cycle in tomato (Lycopersicon esculentum Mill.) seeds during osmoconditioning as related to temperature and oxygen. Ann. Bot. 1999, 84, 245–251. [Google Scholar] [CrossRef]
- Côme, D.; Özbingöl, N.; Picard, M.A.; Corbineau, F. Beneficial effects of priming on seed quality. In Progress in Seed Research. Conference Proceedings of the Second International Conference on Seed Science and Technology; Taylor, A.G., Huang, X.L., Eds.; Agricultural Experimental Station: Geneva, Switzerland, 1998; pp. 257–263. [Google Scholar]
- Smok, M.A.; Chojnowski, M.; Corbineau, F.; Côme, D. Effect of osmotic treatment on sunflower seed germination in relation with temperature and oxygen. In Fourth International Workshop on Seeds: Basic and Applied Aspects of Seed Biology; Côme, D., Corbineau, F., Eds.; ASFIS: Paris, France, 1993; Volume 3, pp. 1033–1038. [Google Scholar]
- Chojnowski, M.; Corbineau, F.; Côme, D. Physiological and biochemical changes induced in sunflower seeds by osmopriming and subsequent drying, storage and aging. Seed Sci. Res. 1997, 7, 323–331. [Google Scholar] [CrossRef]
- Bradford, K.J.; Côme, D.; Corbineau, F. Quantifying the oxygen sensitivity of seed germination using a population-based threshold model. Seed Sci. Res. 2007, 17, 33–43. [Google Scholar] [CrossRef]
- Khan, A.A.; Peck, N.H.; Samimy, C. Seed osmoconditioning: Physiological and biochemical changes. Isr. J. Bot. 1980, 29, 133–144. [Google Scholar]
- Dell’Aquila, A.; Taranto, G. Cell division and DNA-synthesis during osmopriming treatment and following germination in aged wheat embryos. Seed Sci. Technol. 1986, 14, 333–341. [Google Scholar]
- Fujikura, Y.; Karssen, C.M. Effects of controlled deterioration and osmopriming on protein synthesis of cauliflower during early germination. Seed Sci. Sci. 1992, 2, 23–31. [Google Scholar] [CrossRef]
- Van Pijlen, J.G.; Kraak, H.L.; Bino, R.J.; De Vos, C.H.R. Effects of ageing and osmopriming on germination characteristics and chromosome aberrations of tomato. Seed Sci. Technol. 1995, 29, 823–830. [Google Scholar]
- Bailly, C.; Benamar, A.; Corbineau, F.; Côme, D. Free radical scavenging as affected by accelerated ageing and subsequent priming in sunflower seeds. Physiol. Plant. 1998, 104, 646–652. [Google Scholar] [CrossRef]
- Georghiou, K.; Thanos, C.A.; Passam, H.C. Osmoconditioning as a means of counteracting the ageing of pepper seeds during high temperature storage. Ann. Bot. 1987, 60, 279–285. [Google Scholar] [CrossRef]
- Côme, D.; Corbineau, F. Dictionnaire de la Biologie des Semences et des Plantules; Lavoisier: Paris, France, 2006; p. 226. [Google Scholar]
- Karssen, C.M.; Haigh, A.; Van Der Toorn, P.; Weges, R. Physiological mechanisms involved in seed priming. In Recent Advances in the Development and Germination of Seeds; Taylorson, R.B., Ed.; Plenum Press: New York, NY, USA; London, UK, 1989; pp. 269–280. [Google Scholar]
- Wu, L.; Huo, W.; Yao, D.; Li, M. Effects of solid matrix priming (SMP) and salt stress on broccoli and cauliflower seed germination and early seedling growth. Sci. Hortic. 2019, 255, 161–168. [Google Scholar] [CrossRef]
- Nascimento, W.M.; Huber, D.J.; Cantliffe, D.J. Carrot seed germination and respiration at high temperature in response to seed maturity and priming. Seed Sci. Technol. 2013, 41, 164–169. [Google Scholar] [CrossRef]
- Lanteri, S.; Kraak, H.L.; De Vos, C.H.R.; Bino, R.J. Effects of osmotic preconditioning on nuclear replication activity in seeds of pepper (Capsicum annuum). Physiol. Plant. 1993, 89, 433–440. [Google Scholar] [CrossRef]
- Lanteri, S.; Portis, E.; Bergervoet, H.W.; Groot, S.P.C. Molecular markers for the priming of pepper seeds (Capsicum annuum L.). J. Hortic. Sci. Biotechnol. 2000, 75, 607–611. [Google Scholar] [CrossRef]
- Sung, Y.; Cantliffe, D.J.; Nagata, R. Using a puncture test to identify the role of seed coverings on thermotolerant lettuce seed germination. Am. Soc. Hortic. Sci. 1998, 123, 1102–1110. [Google Scholar] [CrossRef]
- Cantliffe, D.J.; Schuler, K.D.; Guedes, A.C. Overcoming seed dormancy in heat sensitive romaine lettuce by seed priming. HortScience 1981, 16, 196–198. [Google Scholar] [CrossRef]
- Valdes, V.M.; Bradford, K.J. Effects of seed coating and osmopriming on the germination of lettuce seeds. J. Am. Soc. Hortic. Sci. 1987, 112, 153–156. [Google Scholar] [CrossRef]
- Schwember, A.R.; Bradford, K.J. Drying rates following priming affect temperature sensitivity of germination and longevity of lettuce seeds. Hortic. Sci. 2005, 40, 778–781. [Google Scholar] [CrossRef]
- Schwember, A.R.; Bradford, K.J. A genetic locus and gene expression pattern associated with he priming effect on lettuce seed germination at elevated temperature. Plant Mol. Biol. 2010, 73, 105–118. [Google Scholar] [CrossRef]
- De Castro, R.D.; van Lammeren, A.A.M.; Groot, S.P.C.; Bino, R.J.; Hilhorst, H.W.M. Cell division and subsequent radicle protrusion in tomato seeds are inhibited by osmotic stress but DNA synthesis and formation of microtubular cytoskeleton are not. Plant Physiol. 2000, 122, 327–336. [Google Scholar] [CrossRef]
- Cheng, Z.Y.; Bradford, K.J. Hydrothermal time analysis of tomato seed germination responses to priming treatments. J. Exp. Bot. 1999, 50, 89–99. [Google Scholar] [CrossRef]
- Chen, K.; Fessehaie, A.; Arora, R. Dehydrin metabolism is altered during seed osmopriming and subsequent germination under chilling and desiccation in Spinacia oleracea L. cv. Bloomsdale: Possible role in stress tolerance. Plant Sci. 2012, 183, 27–36. [Google Scholar] [CrossRef]
- Chen, K.; Arora, R. Dynamics of the antioxidant system during seed osmopriming, post-priming germination, and seedling establishment in spinach (Spinacia oleracea). Plant Sci. 2011, 180, 212–220. [Google Scholar] [CrossRef]
- Khan, A.A.; Peck, N.H.; Taylor, A.G.; Samimy, C. Osmoconditioning of beet seed to improve emergence and yield in cold soils. Agron. J. 1983, 75, 788–794. [Google Scholar] [CrossRef]
- Job, C.; Kersulec, A.; Ravasio, L.; Chareyre, S.; Pépin, R.; Job, D. The solubilization of the basic subunit of sugarbeet seed 11-S globulin during priming and early germination. Seed Sci. Res. 1997, 7, 225–243. [Google Scholar] [CrossRef]
- Job, D.; Capron, I.; Job, C.; Dacher, F.; Corbineau, F.; Côme, D. Identification of germination-specific protein markers and their use in seed priming technology. In Seed Biology: Advances and Applications; Black, M., Bradford, K.J., Vazquez-Ramos, J., Eds.; CABI Publishing, CAB International: Oxon, UK, 2000; pp. 449–459. [Google Scholar]
- Pace, R.; Benincasa, P.; Ghanem, M.E.; Quinet, M.; Lutts, S. Germination of untreated and primed seeds in rapeseed (Brassica napus var oleifera Del.) under salinity and low matric potential. Exp. Agric. 2012, 48, 238–251. [Google Scholar] [CrossRef]
- Kubala, S.; Garnczarska, M.; Wojtyla, L.; Clippe, A.; Kosmala, A.; Zmienko, A.; Lutts, S.; Quinet, M. Deciphering priming-induced improvement of rapeseed (Brassica napus L.) germinaon through an integrated transcriptomic and proteomic approach. Plant Sci. 2015, 231, 94–113. [Google Scholar] [CrossRef]
- Posmyk, M.; Corbineau, F.; Vinel, D.; Bailly, C.; Côme, D. Osmopriming reduces physiological and biochemical damage induced by chilling in soybean seeds. Physiol. Plant. 2001, 111, 473_4482. [Google Scholar] [CrossRef]
- Posmyk, M.M.; Janas, K.M. Effects of seed hydropriming in presence of exogenous proline on chilling injury limitation in Vigna radiata L. seedlings. Acta Physiol. Plant. 2007, 29, 509–517. [Google Scholar] [CrossRef]
- Sun, H.; Lin, L.; Wang, X.; Wu, S.; Wang, X. Ascorbate-glutathione cycle of mitochondria in osmoprimed soybean cotyledons in response to imbibitional chilling injury. J. Plant Physiol. 2011, 168, 226–232. [Google Scholar] [CrossRef] [PubMed]
- Kaya, M.D.; Okc, G.; Atak, M.; Yakupa, C.O.K. Seed treatments to overcome salt and drought stress during germination in sunflower (Helianthus annuun L.). Eur. J. Agron. 2006, 24, 291–295. [Google Scholar] [CrossRef]
- Bailly, C.; Benamar, A.; Corbineau, F.; Côme, D. Antioxidant system in sunflower (Helianthus annuus L.) seeds as affected by priming. Seed Sci. Res. 2000, 10, 35–42. [Google Scholar] [CrossRef]
- Bailly, C.; Bogatek-Leszczynska, R.; Côme, D.; Corbineau, F. Changes in activities of antioxidant enzymes and lipoxygenase during growth of sunflower seedlings from seeds of different vigour. Seed Sci. Res. 2002, 12, 47–55. [Google Scholar] [CrossRef]
- Gendreau, E.; Romaniello, S.; Barad, S.; Leymarie, J.; Benech-Arnold, R.; Corbineau, F. Regulation of cell cycle activity in the embryo of barley seeds during germination as related to grain hydration. J. Exp. Bot. 2008, 59, 203–212. [Google Scholar] [CrossRef]
- Mondal, S.; Viji, P.; Bose, B. Role of seed hardening in rice variety Swarna (MTU 7029). Res. J. Seed Sci. 2011, 4, 157–165. [Google Scholar] [CrossRef]
- Sen, A.; Puthur, J.T. Influence of different seed priming techniques on oxidative and antioxidative responses during the germination of Oryza sativa varieties. Physiol. Mol. Biol. Plants 2020, 26, 551–565. [Google Scholar] [CrossRef]
- Farooq, M.; Wahid, A.; Kobayashi, N.; Fujita, D.; Basra, S.M. Plant drought stress: Effects, mechanisms and management. Sustain. Agric. 2009, 29, 153–188. [Google Scholar]
- Li, X.; Zhang, L. SA and PEG-induced priming for water stress tolerance in rice seedling. In Information Technology and Agricultural Engineering; Zhu, E., Sambath, S., Eds.; Springer: Berlin/Heidelberg, Germany, 2012; pp. 881–887. [Google Scholar]
- Zhang, F.; Yu, J.; Johnston, C.R.; Wang, Y.; Zhu, K.; Lu, F.; Lu, F.; Zhang, Z.; Zou, J. Seed priming with polyethylene glycol induces physiological changes in sorghum (Sorghum bicolor L. moench) seedlings under suboptimal soil moisture environments. PLoS ONE 2015, 10, e0140620. [Google Scholar] [CrossRef]
- Farooq, M.; Basra, S.M.A.; Rehman, H.; Saleem, B.A. Seed priming enhances the performance of late sown wheat (Triticum aestivum L.) by improving chilling tolerance. J. Agron. Crop Sci. 2008, 194, 55–60. [Google Scholar] [CrossRef]
- Farooq, M.; Basra, S.M.A.; Tabassum, R.; Afzal, I. Enhancing the performance of direct seeded fine rice by seed priming. Plant Prod. Sci. 2006, 9, 446–456. [Google Scholar] [CrossRef]
- Farooq, M.; Irfan, M.; Aziz, T.; Ahmad, I.; Cheema, S.A. Seed priming with ascorbic acid improves drought resistance of wheat. J. Agron. Crop Sci. 2013, 199, 12–22. [Google Scholar] [CrossRef]
- Gallardo, K.; Job, C.; Groot, S.P.C.; Puype, M.; Demol, H.; Vandekerckhove, J.; Job, D. Proteomic analysis of Arabidopsis seed germination and priming. Plant Physiol. 2001, 126, 835–848. [Google Scholar] [CrossRef]
- Corbineau, F. Markers of seed quality: From present to future. Seed Sci. Res. 2012, 22, S61–S68. [Google Scholar] [CrossRef]
- Corbineau, F.; Özbingöl, N.; Vinel, D.; Côme, D. Improvement of tomato seed germination by osmopriming as related to energy metabolism. In Seed Biology: Advances and Applications; Black, M., Bradford, K.J., Vazquez-Ramos, J., Eds.; CABI Publishing, CAB International: Wallingford, UK, 2000; pp. 467–476. [Google Scholar]
- Lanteri, S.; Saracco, F.; Kraak, H.L.; Bino, R.J. The effects of priming on nuclear replication activity and germination of pepper (Capsicum annuum) and tomato (Lycopersicon esculentum) seeds. Seed Sci. Res. 1994, 4, 81–87. [Google Scholar] [CrossRef]
- De Castro, R.D.; Zheng, X.; Bergervoet, J.H.W.; De Vos, C.H.; Bino, R.J. B-Tubulin accumulation and DNA replication in imbibing tomato seeds. Plant Physiol. 1995, 109, 499–504. [Google Scholar] [CrossRef]
- Halpin-Ingham, B.; Sundstom, F.J. Pepper seed water content, germination response and respiration following priming treatment. Seed Sci. Technol. 1992, 20, 589–596. [Google Scholar]
- Dahal, P.; Kim, N.-S.; Bradford, K.J. Respiration and germination rates of tomato seeds at suboptimal temperatures and reduced water potentials. J. Exp. Bot. 1996, 47, 941–947. [Google Scholar] [CrossRef]
- Fu, J.R.; Lu, X.H.; Chen, R.Z.; Zhang, B.Z.; Liu, Z.S.; Li, Z.S.; Cai, D.Y. Osmoconditioning of peanut (Arachis hypogea L.) seeds with PEG to improve vigour and some biochemical activities. Seed Sci. Technol. 1988, 16, 197–212. [Google Scholar]
- Khan, A.A. ACC-derived ethylene production, a sensitive test for seed vigour. J. Am. Soc. Hortic. Sci. 1994, 119, 1083–1090. [Google Scholar] [CrossRef]
- Özbingöl, N. Evénement Cellulaires et Métaboliques Associés à la Stimulation de la Germination des Grains de Tomate (Lycopersicon esculentum Mill) par un Traitement de Prégermination; Thesis Université Pierre et Marie Curie: Paris, France, 1998; p. 118. [Google Scholar]
- Bruggink, T.; Van der Toorn, P. Induction of desiccation tolerance in germinated seeds. Seed Sci. Res. 1995, 5, 1–4. [Google Scholar] [CrossRef]
- Bailly, C. Active oxygen species and antioxidants in seed biology. Seed Sci. Res. 2004, 14, 93–107. [Google Scholar] [CrossRef]
- Bailly, C. The signaling role of ROS in the regulation of seed germination and dormancy. Biochem. J. 2019, 476, 3019–3032. [Google Scholar] [CrossRef] [PubMed]
- Bino, R.J.; De Vries, J.N.; Kraak, H.L.; Van Pijlen, J.G. Flow cytometric determination of nuclear DNA replication stages in tomato seeds during priming and germination. Ann. Bot. 1992, 69, 231–236. [Google Scholar] [CrossRef]
- Saracco, F.; Bino, R.J.; Bergervoet, J.H.W.; Lanteri, S. Influence of priming-induced nuclear replication activity on storability of pepper (Capsicum annuum L.) seed. Seed Sci. Res. 1995, 5, 25–29. [Google Scholar] [CrossRef]
- Redfearn, M.; Osborne, D.J. Effects of advancement on nucleic acids in sugarbeet (Beta vulgaris) seeds. Seed Sci. Res. 1997, 7, 261–267. [Google Scholar] [CrossRef]
- Soeda, Y.; Konings, M.C.J.M.; Vorst, O.; van Houwelingen, A.M.M.L.; Stoopen, G.M.; Maliepaard, C.A.; Kodde, J.; Bino, R.J.; Groot, S.P.C.; van der Geest, A.H.M. Gene expression programs during Brassica oleracea seed maturation, osmopriming, and germination are indicators of progression of the germination process and the stress tolerance level. Plant Physiol. 2005, 137, 354–368. [Google Scholar] [CrossRef] [PubMed]
- Fercha, A.; Capriotti, A.L.; Caruso, G.; Cavaliere, C.; Gherroucha, H.; Samperi, R.; Stampachiacchiere, S.; Lagana, A. Gel-free proteomics reveal potential biomarkers of priming-induced salt tolerance in durum wheat. J. Proteom. 2013, 91, 496–499. [Google Scholar] [CrossRef]
- Cheng, J.; Wang, L.; Zeng, P.; He, Y.; Zhou, R.; Zhang, H.; Wang, Z. Identification of genes involved in rice seed priming in the early imbibition stage. Plant Biol. 2017, 19, 61–69. [Google Scholar] [CrossRef]
- Yacoubi, R.; Job, C.; Belghazi, M.; Chaibi, W.; Job, D. Toward characterizing seed vigor in alfalfa through proteomic analysis of germination and priming. J. Proteome Res. 2011, 10, 3891–3903. [Google Scholar] [CrossRef]
- Galland, M.; Huguet, R.; Arc, E.; Cueff, G.; Job, D.; Rajjou, L. Dynamic proteomics emphasizes the importance of selective mRNA translation and protein turnover during Arabidopsis seed germination. Mol. Cell. Proteom. 2014, 13, 252–268. [Google Scholar] [CrossRef] [PubMed]
- Xia, Q.; Ponnaiah, M.; Cueff, G.; Rajjou, L.; Prodhomme, D.; Gibon, Y.; Bailly, C.; Corbineau, F.; Meimoun, P.; El-Maarouf-Bouteau, H. Integrating proteomics and enzymatic profiling to decipher seed metabolism affected by temperature in seed dormancy and germination. Plant Sci. 2018, 269, 118–125. [Google Scholar] [CrossRef] [PubMed]
- Chen, K.; Arora, R. Priming memory invokes seed stress-tolerance. Environ. Exp. Bot. 2013, 94, 33–45. [Google Scholar] [CrossRef]
- Godwin, J.; Farrona, S. Plant epigenetic stress memory induced by drought: A physiological and molecular perspective. Methods Mol. Biol. 2020, 2093, 243–259. [Google Scholar] [PubMed]
- Ellouzi, H.; Sghayar, S.; Abdelly, C. H2O2 seed priming improves tolerance to salinity; drought and their combined effect more than mannitol in Cakile maritima when compared to Eutrema salsugineum. J. Plant Physiol. 2017, 210, 38–50. [Google Scholar] [CrossRef] [PubMed]
- Li, F.; Wu, X.; Tsang, E.; Cutler, A.J. Transcriptional profiling of imbibed Brassica napus seed. Genomics 2005, 86, 718–730. [Google Scholar] [CrossRef]
- El-Maarouf-Bouteau, H. The seed and the metabolism regulation. Biology 2022, 11, 168. [Google Scholar] [CrossRef]
- Yang, P.; Li, X.; Wang, X.; Chen, H.; Chen, F.; Shen, S. Proteomic analysis of rice (Oryza sativa) seeds during germination. Proteomics 2007, 7, 3358–3368. [Google Scholar] [CrossRef]
- Yu, Y.L.; Guo, G.F.; Lv, D.W.; Hu, Y.K.; Li, J.R.; Li, X.H.; Yan, Y. Transcriptome analysis during seed germination of elite Chinese bread wheat cultivar Jimai. BMC Plant Biol. 2014, 14, 1471–2229. [Google Scholar] [CrossRef]
- Xu, H.H.; Liu, S.J.; Song, S.H.; Wang, R.X.; Wang, W.Q.; Song, S.Q. Proteomics analysis reveals distinct involvement of embryo and endosperm proteins during seed germination in dormant and non-dormant rice seeds. Plant Physiol. Biochem. 2016, 103, 219–242. [Google Scholar] [CrossRef] [PubMed]
- Araujo, G.D.S.; Lopes, L.S.; Paula-Marinho, S.O.; Mesquita, R.O.; Nagano, C.S.; Vasconcelos, F.R.; de Carvalho, H.H.; Moura, A.A.A.N.; Marques, E.C.; Gomes-Filho, E. H2O2 priming induces proteomic reponses to defense against salt stress in maize. Plant Mol. Biol. 2021, 106, 33–48. [Google Scholar] [CrossRef] [PubMed]
- Zhao, S.; Zou, H.; Jia, Y.; Pan, X.; Huang, D. Carrot (Daucus carota L.) Seed Germination was promoted by hydro-electro hybrid priming through regulating the accumulation of proteins involved in carbohydrate and protein metabolism. Front. Plant Sci. 2022, 10, 824439. [Google Scholar] [CrossRef] [PubMed]
- Ferreira Ribas, A.; Volpi, E.; Silva, N.; Dos Santos, T.B.; Lima Abrantes, F.; Castilho Custódio, C.; Barbosa Machado-Neto, N.; Esteves Vieira, L.G. Regulation of α-expansins genes in Arabidopsis thaliana seeds during post-osmopriming germination. Physiol. Mol. Biol. Plants 2019, 25, 511–522. [Google Scholar] [CrossRef]
- Boucelha, L.; Abrous-Belbachir, O.; Djebbar, R. Is protein carbonylation a biomarker of seed priming and ageing? Funct. Plant Biol. 2021, 48, 611–623. [Google Scholar] [CrossRef]
Disclaimer/Publisher’s Note: The statements, opinions and data contained in all publications are solely those of the individual author(s) and contributor(s) and not of MDPI and/or the editor(s). MDPI and/or the editor(s) disclaim responsibility for any injury to people or property resulting from any ideas, methods, instructions or products referred to in the content. |
© 2023 by the authors. Licensee MDPI, Basel, Switzerland. This article is an open access article distributed under the terms and conditions of the Creative Commons Attribution (CC BY) license (https://creativecommons.org/licenses/by/4.0/).




