Abstract
Petroselinic fatty acid (PeFA) is considered a rare fatty acid and one of the most important fatty acids in the Apiaceae family. Its content varies depending on plant species, geographical origin, extraction method, ripeness, etc. Indeed, reported levels of petroselinic fatty acid range from 10.4 to 75.6% (in anise seed oil), 1 to 81.9% (in coriander seed oil), 28.5 to 57.6% (in caraway seed oil), 49.4 to 75.6% (in celery seed oil), 41.3 to 61.8% (in caraway seed oil), 79.9 to 87.2% (in dill seed oil), 43.1 to 81.9% (in fennel seed oil), and 35 to 75.1% (parsley seed oil). In this review, we also show current knowledge about genes encoding biosynthesis, from the desaturation of 16:0-ACP to petroselinic acid stored in triacylglycerol in the seeds. Furthermore, petroselinic acid is not related to the synthesis of ABA. PeFA was successfully isolated from Apiaceae family plant seeds in order to study their reactivity and biological activities. Several investigations showed that this fatty acid has a wide range of biological potentials, including antidiabetic, antibacterial, and antifungal activities. In cosmetics, PeFA alone or in association with other active compounds has interesting applications as an anti-inflammatory agent for the treatment of skin, hair, and nail disorders.
1. Introduction
Infrequent natural fatty acids are mostly found in oil-rich seeds as storage compounds [1]. They typically exhibit a plant family-specific distribution [2]. For example, uncommon hydroxy fatty acids are found in the seed oil of some Euphorbiaceae [3,4]; acetylenic fatty acids are common in members of the family Santalaceae, Olacaceae, Asteraceae, and Caesalpiniaceae, respectively [5,6,7]; infrequent epoxy acids are identified in the Asteraceae and Cruciferae families [8,9,10]; cyclic fatty acids have been found in the Malvaceae family [11,12]; uncommon conjugated fatty acids have been reported in the seed oil of some Punicaceae, Euphorbiaceae, Bignoniaceae, and Asteraceae species [13,14]. Fatty acids with unusual unsaturation are widely distributed in the Apiaceae family [15,16].
Apiaceae species yield a wide variety of distinctive specialized metabolites (i.e., volatile phenylpropanoids, furanocoumarins, sesquiterpene coumarins, polyacetylenes, phthalides, etc.), some of them have been described as uncommon natural phytochemicals exclusive of this family, which offers a great potential for bioprospection [17,18,19,20]. Petroselinic fatty acid (C18:1 cis-Δ6) (PeFA) is a rare fatty acid, characteristic of the lipid fraction of Apiaceae family plants [16]. This fatty acid constitutes about 80% of the total fatty acids in the seeds of Apiaceae, while it is practically absent in the leaves and the other parts of these plants [21].
Petroselinic acid (18:1 cis-Δ6) or cis-6-octadecenoic acid (C18H34O2) is a positional isomer of oleic acid (18:1 cis-Δ9) (Figure 1) [16]. They differ in the position of the double bond; PeFA has a double bond at the position C6-C7, whereas oleic acid has a double bond at the position C9-C10 [22]. The location of the double bond has a significant influence on the physicochemical characteristics. For example, petroselinic acid has a melting temperature of 30 °C, whereas oleic acid melts already at 14 °C [23].
Figure 1.
Structure of petroselinic acid (C18:1 cis-Δ6) (a), and oleic acid (C18:1 cis-Δ9) (b).
Petroselinic acid was detected for the first time in parsley (Petroselinum crispum) seed oil by Vongerichten and Kohler, then Scherer established the presence of this infrequent fatty acid in the seed oils of two other plants of the Apiaceae family (Pimpinella anisum and Foeniculum capillaceum) [24]. Afterward, many studies reported the presence of petroselinic acid in many plants of the Apiaceae family [16,25,26,27,28]. According to [29], PeFA was detected in some Araliaceae family seeds. It is also a minor constituent of the lipid fraction of basil (Ocimum basilicum) seeds and other plants [24,30,31,32]. Petroselinic acid content varies greatly from plant to plant; it can be influenced by climatic and soil conditions [33,34]. Many studies have also indicated that the content of PeFA also varies according to the maturity stage of the seeds [35,36].
In particular, petroselinic acid can be cleaved through oxidation of the double bond into lauric (12:0) and adipic (6:0) acids, both of which have important applications in the production of nylon and emollients, emulsifiers, detergents, and soap [37,38]. Adipic acid is also used in the food industry as an acidifier (E355) and as a substitute for tartaric acid in baking powder and lemonade [38]. Petroselinic acid has been the subject of several patents and scientific studies. It is used in the form of a tablet as an active compound for the treatment of inflammation of human superficial tissues and for the modulation of lipid metabolism. Petroselinic acid is also used in cosmetic formulations as a slimming and moisturizing agent, as well as an agent to reduce skin irritation in α-hydroxy acid-containing compositions. When combined with zinc (II) salts or with taurine, petroselinic acid is used for the prevention and control of hair ageing [22,39]. In addition, petroselinic acid holds a wide range of biological effects, such as antidiabetic, antibacterial, and antifungal properties [40,41,42]. Some studies have also investigated the biological properties of PeFA derivatives.
To the best of the authors’ knowledge, the last review about petroselinic fatty acid was conducted in 1962. Thus, in this context, this paper aimed to carry out a systematic literature review of petroselinic fatty acid scientific papers and patents during the last 66 years (from 1956 to 2022). Different research websites were used, including Scopus, Web of Science, Google Scholar, and Google Patent. This review investigated the natural sources, biosynthesis, identification and quantification, isolation, reactivity, and biological properties of petroselinic fatty acid.
2. Natural Sources of Petroselinic Acid
Species belonging to the Apiaceae family (also known as Umbelliferae) are an excellent natural source of petroselinic fatty acid, which is considered a rare fatty acid [1]. Apiaceae family consists of 3700 species, and many of them are used in different domains, including nutrition, cosmetics, and medicines. However, anise (Pimpinella anisum), caraway (Carum carvi), celery (Apium graveolens), coriander (Coriandrum sativum), cumin (Cuminum cyminum), dill (Anethum graveolens), fennel (Foeniculum vulgar), and parsley (Petroselinum crispum) are the most well-known, cultivated and economically significant members of the family [22]. Thus, in this review, we focused on these eight species as potential sources of petroselinic acid.
Different extraction methods were used for oil extraction from the species in which PeFA was the primary fatty acid (Table 1). Solvent extraction techniques result in higher oil yield but use hazardous solvents; supercritical fluid extraction uses nontoxic CO2 but requires higher energy [43]. In addition, the exchange of hazardous solvents with green ones, such as 2-methyltetrahydrofuran (MeTHF), has begun (Table 1).
Table 1.
Variation of petroselinic fatty acid content based on plant material, origin, and extraction method.
The PeFA content changes according to plant species, geographical origins, extraction method, maturity stage, etc. Values recorded ranged between 10.4 and 75.6% (anise), 1 and 81.9% (coriander), 28.5 and 57.6% (caraway), 49.4 and 75.6% (celery), 41.3 and 61.8% (cumin), 79.9 and 87.2% (dill), 43.1 and 81.9% (fennel), and 35 and 75.1% (parsley) (Table 1). Ngo-Duy, Destaillats, Keskitalo, Arul, and Angers [56] analyzed caraway, celery, and parsley oils for their triacylglycerol (TAG) composition and fatty acid distribution between the sn-1(3) and sn-2 positions of TAG. The authors identified 22 TAGs in the tested samples with a predominance of glyceryl tripetroselinate in celery and parsley seed oils, with levels ranging from 38.7 to 55.3%. However, caraway seed oil contained 11.4% only [56]. The regiospecificity showed a non-random distribution of different fatty acids, with sn-1(3) as a predominant location of PeFA in celery and parsley oils. In contrast, PeFA was mainly located at the sn-2 position in caraway seed oil [56].
Petroselinic fatty acid remained the major fatty acid of the eight species regardless of the extraction method, the solvent used, and the origin of the samples, while the rank changed according to the maturity stage [35,36,50,51]. Nguyen, Talou, Evon, Cerny, and Merah [50] investigated the accumulation of oil and fatty acids during coriander seed maturity; the field experiment was conducted under organic cultivation conditions in Toulouse, France, for two seasons (2010 and 2011) [50]. Petroselinic and other monounsaturated fatty acids occurred in minor amounts in newly formed coriander seeds. The highest concentrations of PeFA were 74%, 34 and 59 days after flowering (DAF) during 2010 and 2011 [50]. Similar results were also reported during the 2009 season, where the PeFA amount increased from 2.8% (2 DAF) to 48.8% (12 DAF), reaching the highest level (76.4%) after 25 DAF [51]. Different results were found by Msaada, Hosni, Taarit, Hammami, and Marzouk [36] during the maturity stage of a Tunisian coriander genotype cultivated in two regions (Menzel Temime and Oued Beja, Tunisia). The results showed a higher PeFA content in the unripe seed, which increased from 40.2% (5 DAF) to 81.2% (16 DAF) in Oued Beja and from 56.3% (5 DAF) to 81.4% (33 DAF) in Menzel Temime [36]. On the other hand, aniseeds during the maturity stage showed the same trend, with lower content of PeFA in immature aniseeds and significantly higher content in mature aniseeds [35]. The maturity of coriander seeds showed opposite results for palmitic and petroselinic acid; the palmitic acid decreased, while petroselinic acid increased [36,50,51]. Msaada, Hosni, Taarit, Hammami, and Marzouk [36] reported a strong negative correlation coefficient (r = −0.98, p < 0.01) between the concentration of palmitic and petroselinic fatty acids. The authors linked these results with the findings of Cahoon et al., who reported that the Δ4-desaturation of palmitoyl-ACP to Δ4-hexadecenoyl-ACP with subsequent two-carbon elongation to petroselinoyl-ACP could be a possible biosynthetic pathway [66].
As might be expected, seed maturation is associated with a rise in PeFA concentration [36,50,51], while water deficit (drought effect) has been noted to cause a corresponding decrease [33,34]. For example, Laribi, Bettaieb, Kouki, Sahli, Mougou, and Marzouk [34], studying caraway, reported a decline of 12.1% and 18.4% (in comparison with the control) under moderate and strong water deficits, respectively. The same trend was reported for PeFA content in cumin seed oil under water deficit [33].
Note that the levels of PeFA can vary significantly according to the plant variety within the same species. Coşge et al. [67] reported that PeFA content in sweet fennel (Foeniculum vulgare Miller var. dulce) was higher (75.1%) compared to the bitter fennel (Foeniculum vulgare Miller var. vulgare), which contained 72.0% PeFA. Additionally, the influence of genetic variability on PeFA content in crude oil was reported in 46 genotypes of fennel by Yaldiz and Camlica [68]. Similarly, Turkish coriander varieties showed significant differences in terms of studied parameters, with PeFA rates varying between 79.7% and 81.9%, with the Erbaa variety having the highest PeFA content, while the Arslan variety recorded the lowest [48]. These studies suggest that there is potential for selecting and breeding plant varieties with high levels of PeFA.
Regarding the effect of extraction methods, Sriti, Talou, Faye, Vilarem, Marzouk, and Products [52] investigated the effect of screw configuration, nozzle diameter, and nozzle/screw distance to optimize a single-screw extruder for coriander oil extraction. The authors reported only a minor impact on the PeFA amounts extracted with the parameters mentioned (74.9% to 77.4%) [52]. Bourgou, Bettaieb Rebey, Dakhlaoui, Msaada, Saidani Tounsi, Ksouri, Fauconnier, and Hamrouni-Sellami [58] investigated the effect of green extraction methods (using MeTHF instead of hexane and supercritical CO2 extraction) on PeFA extraction. The authors reported that PeFA remained the major fatty acid with similar levels, 43%, 40%, and 43% using MeTHF, Sc-CO2, and hexane, respectively [58]. Similar results were also reported by Bettaieb Rebey, Bourgou, Detry, Wannes, Kenny, Ksouri, Sellami, and Fauconnier [44] for petroselinic levels in aniseed oil extracted with MeTHF, Sc-CO2, and hexane (47.0%, 48.9%, and 46.7%, respectively). The same trend was also reported for parsley when comparing the effectiveness of Sc-CO2 to ultrasound-assisted extraction (69.8% and 71.6% for Sc-CO2 and ultrasound, respectively) [65]. On the other hand, Sc-CO2 proved to have a higher yield of PeFA than Soxhlet/hexane for fennel seed (60.8% and 54.2%, respectively) [44]. The operating conditions of the Sc-CO2 (temperature, pressure, flow of CO2, and density of CO2) had no major effect on the extractability of PeFA from coriander seeds, which may offer more flexibility in adjusting different Sc-CO2 parameters for less energy consumption purposes [69]. Several researchers concluded that the use of green extraction methods could be considered as an alternative approach for extracting high oil content with high levels of PeFA. The only weakness of these techniques is their high prices compared to the conventional techniques [44,58,65,69].
The effect of seed roasting on the PeFA was also evaluated by Hayat, Abbas, Hussain, Shahzad, and Tahir [63]. The results revealed that microwave power (300 W, 500 W, 700 W), oven temperature (100 °C, 125 °C, 150 °C), and treatment time had a minor effect on the petroselinic content in fennel seed oil; heating with microwave at 500 W for 5 min lead to 71.3% of petroselinic (vs. 69.2% unheated) and heating with an oven at 125 °C for 20 min gave 71.2% (vs. 69.2% unheated) [63].
Fatty acids represent the largest part of the lipid fraction, so, any attempt to optimize PeFA yield should begin with optimizing the total oil yield. The Apiaceae species reported in Table 1 contained considerable quantities of lipids varying with the origin of raw material, extraction method, solvent used, and water deficit effect. The maximum lipid content of the seeds was: 30.7% (coriander), 29.1% (cumin), 29.0% (celery), 27.6% (parsley), 25.0% (anise), 20.5% (dill), 20.1% (caraway), and 20.0% (fennel). Water deficit causes a decrease of the oil content in caraway by 35.1% under moderated water deficit (MWD) and 56.5% under a strong water deficit (SWD) [34]. Similarly, cumin oil content decreased by 25.5% under MWD and 48.3% under SWD [33]. The aniseed oil content increased during the maturity stage in samples from four different countries [35]. The highest increase was reported for the Tunisian aniseeds (6.77% to 13.8% for unripe and ripe aniseeds, respectively) [35]. This development pattern of the oil content was similar to that of coriander during the maturity stage [36,50,51].
3. Biosynthesis of Petroselinic Acid
Several species accumulate fatty acids in the form of triacylglycerol (TAG) and store them in the seeds [70]. Petroselinic acid was predominant in the TAG of Umbelliferae seeds (e.g., Coriandrum sativum, especially in its endosperm), whereas it was absent in the stem and the leaves [71]. Several studies confirmed the biosynthesis of PeFA via acyl-ACP pathways [72,73]. Cahoon and Ohlrogge [74] proved that petroselinic acid is not synthesized by reactions involving acyl-CoAs or by the desaturation of a fatty acid bound to a glycerolipid or CoA. The petroselinic acid biosynthesis pathway in plants is schematized in Figure 2. Cahoon, Dörmann, and Ohlrogge [72] confirmed, using an in vitro fatty acid biosynthetic system, the production of petroselinic acid with substrates generated from malonyl-CoA. In the same study, an enzyme was isolated as a 36 kDa desaturase and identified as a ∆4-acyl-ACP desaturase responsible for petroselinic acid biosynthesis. They proved that the double bond placement from the carboxyl end of acyl-ACPs was positioned by the 36 kDa desaturase. Furthermore, Yang, Li, Jia, Zhao, Taylor, Li, and Zhang [73] confirmed an exact similarity of the amino acid sequence of ACPD1 with the 36 kDa desaturase reported in previous studies [66,72,73]. Therefore, the desaturation of 16:0-ACP and 18:0-ACP by ACPD1/3 produced 16:1∆4-ACP and 18:1∆6-ACP, respectively. Thus, the elongation product of 16:1∆4-ACP allows the formation of petroselinic acid. Mekhedov, Cahoon, and Ohlrogge [71] investigated an in vitro assay with 16:1∆4-ACP as substrates to identify the enzymatic nature of the elongation reaction. They confirmed that the elongation of 16:1∆4-ACP was catalyzed by the enzyme 3-ketoacyl-ACP synthase (KAS) I-type. Thus, the elongation of 16:1∆4-ACP to 18:1∆6-ACP is regulated by KAS I-1. There are many biochemical evidences which proved the presence of petroselinic-ACP thioesterase responsible for hydrolyzing of petroselinoyl-ACP and the release of petroselinic acid from ACP [72,73,75,76]. Using long-chain acyl-CoA synthetases (LACS), petroselinic acid is exported from the plastid to the ER as acyl-CoAs [73]. The 18:1∆6-CoA is transferred to the 3rd position of DAG by DGTA2, which allows the production of TAG. In summary, the abundance and the activity of particular enzymes, namely ACPD1/3, KAS I-1, FATB-1/3, and DGAT2, explain the high content of petroselinic acid in Coriandrum sativum seeds [73].
Figure 2.
Petroselinic acid biosynthesis pathway in Umbelliferae (viz. coriander seeds). Essential enzymes are required for the biosynthesis of this acid. Initially, specific petroselinic acid biosynthesis genes (i.e., Cs-ACPD-1/3, Cs-KAS I-1) are essential for the biosynthesis of enzymes required for petroselinic acid biosynthesis. The expression of genes is not influenced by ABA. After palmitoyl-ACP (16:0-ACP) production, an ACPD1/3 is required to induce a cis double bond and produce 16:1∆4-ACP (a), while ACPD3 may desaturate 18:0-ACP (b). The elongation of 16:1∆4-ACP by KAS I-1 produced petroselinoyl-ACP (18:1∆6-ACP). The release of petroselinic acid from ACP is hydrolyzed by a fatty acyl-ACP thioesterase (FATB-1/3). Finely, petroselinic acid is activated as acyl-CoA by long-chain acyl-CoA synthetases (LACS) and transferred to the ER, and further follows the Kennedy pathway to storage as TAG.
One of the advantages of plant genetic engineering is the identification of cis-regulatory elements, which are sequences controlling gene expression at all developmental stages [77]. It has been proved that the G-box motif, AACA motifs, and Prolamin-box are essential for the quantitative expression of genes [78,79,80]. In this context, the seed’s predominant promoters of ACP (Cs-ACP1) and ∆4-palmitoyl-acyl carrier protein desaturase (Cs-4PAD) genes in developing coriander endosperms responsible for the biosynthesis of petroselinic acid have been studied to determine the regulatory mechanism of gene expression during seed development. Interestingly, various cis-regulatory elements, namely G-boxes such as element (ACGT), G-box (CACGCC), GCN4-like motif, AACA motifs, and Prolamin-box in the 5′-flanking regions of the Cs-ACP1 and Cs-4PAD genes, have been identified. These cis-regulatory elements are involved in the regulation of gene expression during seed development [81]. Further studies need to be conducted to determine the mechanism of interaction between these cis-regulatory elements in the regulation of Cs-ACP1 and Cs-4PAD gene expression. However, few studies have determined the transcription factors involved in the transcriptional regulation of petroselinic acid biosynthetic genes. Therefore, the identification of transcription factors and the interaction between cis-regulatory elements should be taken into consideration.
In addition, abscisic acid (ABA) is an important plant hormone that controls seed development and maturation and expression of several genes [82,83]. Petroselinic acid is accumulated during the flowering and seed maturity stages, which raises many questions about the hormonal regulation of petroselinic acid genes’ expression. In contrast, the expression of Cs-ACP1 and Cs-4PAD mRNA was regulated by an ABA-independent pathway [81]. Little information is available about the influence of hormones on petroselinic acid gene regulation, and further studies need to be conducted to identify the effect of different hormonal pathways interaction (viz. gibberellin) on petroselinic acid genes expression and biosynthesis.
Recently, advanced bioinformatic tools and new sequencing platforms allowed a deep understanding of biosynthesis pathways and provided information about candidate genes involved in petroselinic acid biosynthesis. Yang, Li, Jia, Zhao, Taylor, Li, and Zhang [73] studied the fatty acid profiles in the seeds of Coriandrum sativum L. at six developmental stages. They showed that petroselinic acid increased from 50% at the seed initiation to 76.9% at stage 6 (26 days after flowering). Furthermore, RNA sequencing using the Illumina Hiseq4000 platform, quantitative real-time PCR (q-PCR), and bioinformatic tools were used to analyze C. sativum seed samples at three developmental stages in order to identify candidate genes related to PeFA biosynthesis. The results showed that the genes, namely Cs-KAS I-2, Cs-FATB-1, and Cs-FATB-3, were more strongly expressed in seeds than in stems and leaves. However, Cs-KAS I-1, Cs-ACPD1, Cs-ACPD3, and Cs-DGAT2 genes were specifically expressed in seeds (Figure 2). These genes are greatly involved in the biosynthesis of PeFA. Further studies need to be conducted to investigate the expression of genes by other factors like external signal influencing (temperature, light-regulated, nutriments, etc.) and internal signal influencing (hormones, etc.).
4. Identification and Quantification of Petroselinic Acid
Fatty acids are commonly analyzed after conversion to their volatile fatty acid methyl esters derivatives (FAMEs), which are then separated by gas chromatography and quantified using a flame ionization detector (FID). Unfortunately, PeFA and oleic acid are usually found to be associated with the lipid fraction of Apiaceae family plants, and their separation by chromatography was considered for years as a difficult analytical challenge. The analytical methods used for quantifying both acids are based on a procedure first introduced by Von Rudloff [84]. The fatty acids are converted first to their FAMEs derivatives, then separated by thin-layer chromatography according to the degree of unsaturation. The monoenoid ester band is then recovered and analyzed by gas chromatography. Another study showed that petroselinic and oleic acids can be separated from their methyl or isopropyl esters by gas–liquid chromatography using a silica capillary column coated with 100% cyanopropyl polysiloxane stationary phase (CP Sil 88) [85]. The authors also reported that petroselinic and oleic isopropyl esters derivatives showed a better resolution than methyl esters [85]. Santinelli and Damiani [86] reported a procedure to determine the petroselinic/oleic acid ratio in oils. After trans-esterification of the fatty acids to methyl esters, the double bonds of FAMEs are epoxidized using 3-chloroperoxybenzoic acid as oxidizing agent. Subsequently, the resulting epoxy is treated with hydrochloric acid–saturated ether solution, and the oxirane ring is opened to obtain the corresponding chlorohydrin derivatives. Then the hydroxy groups are converted to their volatile silanized derivatives in the presence of hexamethyldisilazane, trimethylchlorosilane, and pyridine, and the mixture is analyzed by high-resolution gas chromatography–mass spectrometry. According to Liu and Hammond [87], phenylethyl ester derivatives showed a better resolution of oleate and petroselinate compared to methyl esters derivatives by both gas and high-performance liquid chromatography. The authors also reported that the ultraviolet absorption of the phenylethyl esters facilitates the detection of the derivatives by high-performance liquid chromatography. The phenylethyl ester derivatives were prepared by transesterification from the corresponding fatty acid using phenylethyl alcohol in the presence of sulfuric acid. A quantitative study of oleic and petroselinic acids mixture was successfully achieved by Thies [88]. Both fatty acids are converted to their butyl esters derivatives using sodium tert-butanol as a catalyst, then analyzed by gas chromatography equipped with a flame ionization detector. In another study, Avato, Fanizzi, and Rosito [16] used the same method described by Thies [88] to separate the fatty acids of some Thapsia species. In order to resolve the overlap occurring of petroselinic and oleic methyl esters of some Apiaceae family species, Knothe and Steidley [15] reported the separation and quantification of petroselinic and oleic acids from their 2-methoxyethyl ester derivatives. Additionally, the oils were analyzed as picolinyl esters to verify double bond positions. The separation and determination of the fatty acid composition of aniseed oil (including petroselinic, oleic, and vaccenic acids) were successfully achieved by Denev, Kuzmanova, Momchilova, and Nikolova-Damyanova [47]. After the conversion of fatty acids to p-methoxyphenacyl derivatives in the presence of α-bromo-p-methoxyacetophenone, the mixture was analyzed by HPLC using a converted Nucleosil 100-5SA (250 × 4.6 mm) to a silver ion form as the column and a UV detector (280 nm). Sansa-ard, et al. also evaluated the influence of alcohol lengths chain on the separation of petroselinate and oleate esters in coriander seed oil. The authors concluded, from free energy contribution calculations, that the major driving force for the separation was the interaction between the fatty acids double bond and the bulky alkyl group attached to the carboxyl group, and that the esters’ separation resolution increased with the molecular weight of alcohols by lowering the interaction between the polar carboxyl and the polar stationary phase (90%-biscyanopropyl-10%-cyanopropylphenyl polysiloxane) [89].
5. Isolation of Petroselinic Acid
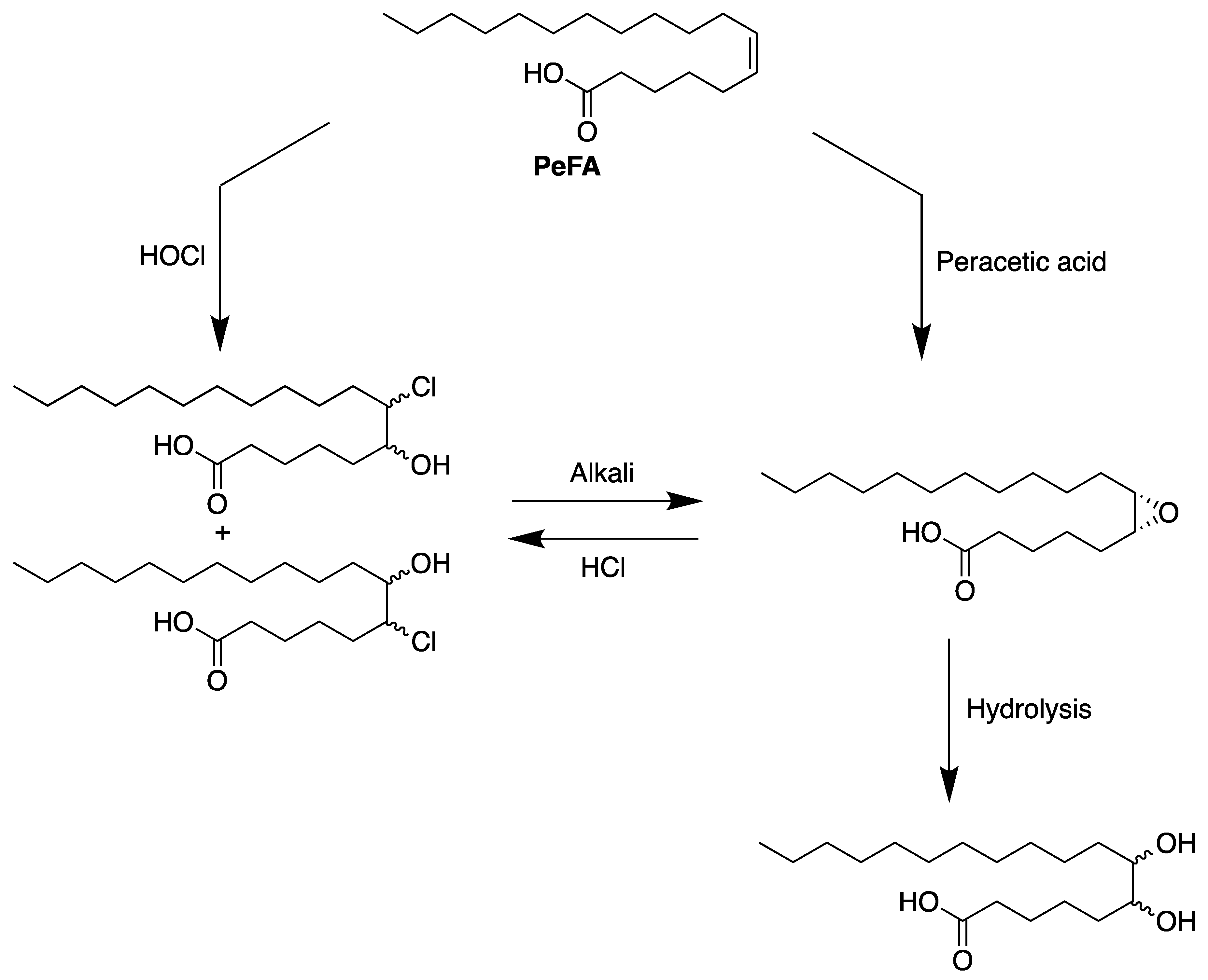
The fatty acids are normally found in complex lipids as esters or amides. In order to isolate fatty acids, it is usually essential to release them first from their bonds by hydrolysis reactions [90]. There are several published techniques for petroselinic acid isolation. PeFA has been successfully isolated from the vegetable oil of Coriandrum sativum seeds with a high yield (80%) using the twin-screw extrusion. The triacylglycerols were hydrolyzed into glycerol and a mixture of fatty acids via an alkaline hydrolysis treatment using sodium hydroxide. Petroselinic acid was separated from the reaction mixture through crystallization in absolute ethanol [23]. Instead of crystallization in absolute ethanol, a pure petroselinic acid has been isolated from fennel oil by acid soap crystallization at 4 °C in methanol, followed by two urea segregations at room temperature and crystallization at −30 °C in acetone. After the acid soap crystallization, the authors noticed that the resulting crystals contained an important level of linoleic acid and palmitic acid. In contrast, the urea segregation treatment removed almost all the palmitic acid but also a part of petroselinic acid [91]. In order to isolate PeFA, Fore et al. [92] used a low-temperature crystallization of the mixed fatty acids of parsley seed oil, followed by the production of urea complexes. In addition, another approach for producing PeFA based on the selectivity of fennel oil enzymatic hydrolysis was also published by Mbayhoudel and Comeau [93]. The position of the double bond of monounsaturated fatty acids is usually established by breaking the existing ethylenic linkage with periodic acid, ozone, hydrogen peroxide, or potassium permanganate [37]. Ozonolysis of petroselinic acid produced adipic acid and lauric acid, whereas oleic acid yielded azelaic acid and pelargonic acid [84,92,94].
6. Reactivity of Petroselinic Acid
Many studies investigated the petroselinic acid reactivity in order to synthesize potentially useful derivatives of this infrequent fatty acid. In order to synthesize the 2-decyl-2-hydroxymethyl-l,3-propanediol (DHP), which could be used in the preparation of alkyd resins and plasticizers, Holmes and Moreau [95] ozonized the PeFA in the methylene chloride. The solution was emulsified with water and reacted with formaldehyde and potassium hydroxide, which yielded dodecanal and adipaldehyde acid. Afterward, dodecanal was reacted with formaldehyde and potassium hydroxide in ethanol and with formaldehyde and calcium oxide in aqueous methanol to give about 30% of DHP (Figure 3). In another study, Holmes et al. [96] used hydrogen cyanide formed in situ, and dodecanal that resulted from reductive ozonization of PeFA, to synthesize the cyanohydrin of dodecanal (in 90% crude yield) (Figure 3), which could be a multipurpose intermediate for the synthesis of various useful molecules.
Figure 3.
Synthesis of 2-decyl-2-hydroxymcthyl-l,3-propanediol and cyanohydrin of dodecanal from petroselinic fatty acid.
In order to study the reactivity of the double bond of PeFA, Holmes et al. [97] prepared amidostearic acids from PeFA, using a variety of nitriles (hydrogen cyanide, acetonitrile, propionitrile, acrylonitrile, and benzonitrile) in the presence of sulfuric acid. Farooq et al. [98] reported the synthesis of chlorohydroxystearic acids by the action of hypochlorous acid on PeFA, and hydrochlorination of their corresponding epoxide (Figure 4). The bromohydrins and iodohydrins were also prepared.
Figure 4.
Synthesis of chlorohydroxystearic acids from petroselinic fatty acid.
Metzger and Mahler [99] synthesized the methyl 2-dodecyl-1-cycopentanecarboxylate by cyclizing PeFA using tributylin hydride and methyl 2-iodopetroselinate (Figure 5). Afterward, the same products (methyl 2-dodecyl-1-cycopentanecarboxylate) were obtained using SnCl2/AgOAc as a catalyzer system. Placek and Dollear [100] synthesized some nitrogen-containing derivatives of PeFA. Petroselinonitrile was prepared by distilling the ammonolysis products of pure PeFA over phosphorus pentoxide and from parsley seed oil without first isolating the petroselinic acid. The pure petroselinonitrile was then segregated from the reaction mixture by urea complexing. Then, the petroselinonitrile was converted into primary petroselinylanmine by reduction with metallic sodium and alcohol in toluene. They have also synthesized the petroselinamide from petroselinic acid by the acidolysis of the urea complex.
Figure 5.
Synthesis of methyl 2-dodecyl-1-cycopentanecarboxylate from petroselinic fatty acid.
A series of petroselinic acid-based estolide 2-ethylhexyl esters were prepared using a capping material varied in length and in degrees of unsaturation in the presence of perchloric acid as a catalyzer in a one-pot process, followed by an esterification process in situ. The resulting estolide 2-ethylhexyl esters showed comparable properties to the other synthesized oleic acid-based estolide 2-ethylhexyl esters with good biodegradability, which could be used as a bio-based lubricant [101]. Most surfactants are based on fatty acids with C12 and C14 chains. Due to their low solubility in water and unsuitable structure for micelle formation, fatty acids with C18 are barely used. In order to increase the water solubility of petroselinic acid, Dierker et al. [102] prepared a series of PeFA derivatives containing internal diols and terminal alcohols. The internal diols were synthesized by epoxidation and acid-catalyzed ring opening or by bishydroxylation with catalytic amounts of osmium tetroxide, whereas the terminal alcohols were prepared by reduction of the methyl esters. Afterward, non-ionic surfactants were prepared considering the reactivity of obtained alcohol with the p-toluenesulfonates of di-, tri-, and tetra- ethyleneglycols or by the opening of the epoxide ring using the corresponding oligoethyleneglycols. In contrast, ionic surfactants (sodium sulfate surfactants) were prepared by reacting the mono-, di- and triols with different equivalents of chlorosulfonic acid. Resulted surfactant’s properties were reported to be similar to or better than those of commercial ionic and non-ionic surfactants, C12 and C14 fatty acids based [102]. Petroselinic acid was also used for preparing biolubricant base stocks. The petroselinic acid was first converted to its methyl, isopropyl, and 2-ethyl hexyl esters derivatives; then it was converted to epoxides, followed by in situ hydroxylation and acylation using hexanoic and butyric anhydrides. The obtained acylated products showed significant lubricant properties. The products also exhibited good copper corrosion resistance. These products can be further explored for the preparation of hydraulic, metalworking, and other industrial fluid formulations [103].
7. Biological Properties of Petroselinic Acid
Several works have shown that PeFA displays several pharmacological activities and could be considered one of the novel pharmacological treatment strategies for several diseases. The antidiabetic activity was evaluated in vitro by Tong, Zhang, Chen, Hao, Ye, Tian, and Wu [40]. The authors showed that PeFA exhibited good inhibitory activity (IC50 = 6.99 mmol/L) against protein tyrosine phosphatase 1B (PTP1B), which is a negative regulator of insulin and plays a key role in developing insulin resistance in Type II diabetes mellitus. Moreover, Suzuki et al. [104] investigated the activity of saturated fatty acids (C6:0 to C22:0), cis-unsaturated fatty acids (C14:1 to C22:1), and isomers of oleic acid (C18:1) on the inhibition of topoisomerase I and II. The results showed that saturated fatty acids (C6:0 to C22:0) did not inhibit topoisomerase, but petroselinic acid and vaccenic acid (C18:1) with a cis-double bond showed strong inhibition of the enzyme. Petroselinic fatty acid acted directly on the enzyme molecule in a noncompetitive manner without DNA intercalation. Taguchi, et al. [105] studied the abilities of petroselinic acid to enhance skin penetration by determining both the in vitro skin permeability levels of indomethacin and propylene glycol and the plasma level of indomethacin after application to rat skin. They found that petroselinic acid enhanced the permeability of indomethacin and propylene glycol by a greater affinity for palmitic or stearic acid. Another investigation analyzed the antimicrobial activity of petroselinic acid against several species of bacteria (Micrococcus pyogenes and Escherichia coli), yeasts (Saccharomyces cerevisiae, Candida stellatoidea, and, Torulopsis sp.), and molds (Neurospora sp., Alternaria sp., Mcor sp., Hormodendrum sp., Geotrichum sp., Penicilhtm sp., and Aspergillus sp.) using the disc method. The results showed that petroselinic acid exhibited considerable antimicrobial activity against the majority of the tested stains [41]. The strong activity was recorded against tested bacteria, while a moderate effect was observed against mold stains, which may be used as an alternative antibacterial agent for the treatment of several infectious diseases. The authors also revealed that petroselinic acid did not inhibit the growth of the all-yeast stains tested. On the other hand, Lee, Kim, and Lee [42] assessed the antibiofilm activities of petroselinic acid at various concentrations (50, 100, 200, and 400 mg/mL) against a methicillin-sensitive S. aureus strain. The results demonstrated that this compound, at 100 mg/mL, inhibited S. aureus biofilm formation by more than 65%. Additionally, this study also demonstrated that petroselinic acid repressed the expressions of quorum-sensing-related and virulence regulator genes. The antimycotic activity of petroselinic acid was also studied by Novak et al. [106] against 22 pathogenic yeasts and molds using the filter paper disc method. The results indicated that this compound inhibited the growth of most of the yeasts and molds tested. Furthermore, it completely inhibited the growth of major periodontal pathobiont, Porphyromonas gingivalis at a concentration of 4–8 µg/mL via depleting the essential RagA/RagB transport machinery in Porphyromonas gingivalis cells by causing extracellular release of RagA/RagB-enriched OMVs.
8. Potential Application of PeFA
Petroselinic acid has been the subject of several patents and scientific studies. In cosmetics, PeFA is used by oral administration as a food supplement, alone or in combination with taurine and zinc gluconate, for preventing and/or fighting against aesthetic disorders of the body figure linked to modifications in the adipose tissue. In synergy with taurine and zinc gluconate, PeFA increases the amount of lipoxin A4, which is produced by the body as an anti-inflammatory agent to raise the threshold of appearance of the signals of inflammations (redness, pain, and heat) [107]. This combination of PeFA, taurine, and zinc gluconate was also reported as a functional food intended to promote weight loss and/or weight maintenance [108]. In another patent, PeFA, in association with zinc salt, was indicated to have an interesting application in keratin fiber care by improving hair quality, and preventing and controlling micro-inflammation of hair follicles [109]. PeFA salts and esters derivatives were described as potent agents to strengthen the cohesion of the skin tissue of the scalp and prevent and treat weakened or stressed scalps. Oral administration of PeFA salts esters derivatives led to preserving the underlying skin tissue and improving skin quality by decreasing collagenase and elastase activity. The authors also reported a decrease in stress and inflammation markers, such as Hsp 70 and TNF-α, that participate in skin reactivity and sensitivity and exacerbate the fragility of the skin and mucous membranes [110]. In association with α-hydroxy acids, PeFA was indicated as an anti-irritant/anti-sting agent. Glycolic acid and lactic acid were indicated to have the most effective α-hydroxy acids [111]. A cosmetic treatment of PeFA as a nailcare active compound was also indicated. The oral administration of PeFA, with a daily dose range from 3 to 1000 mg/d, could prevent and treat a nonuniform color or tint or a dull appearance of the nails [112]. Similarly, in association with taurine, arginine, cysteine, zinc, one of their salts, and lycopene, PeFA improves the micro-vascularization of the nails, in particular in a pre-hypertensive individual. PeFA was found to inhibit metalloproteinase 9 (MMP-9), which contributes to the loss of elasticity of vascular walls, abnormal distension of the vessels, and consequently, the development of a state of pre-hypertension [113]. Recently, a new application of PeFA was reported, in particular for preventing and treating intestinal ischemia-reperfusion injury. The obtained results showed that PeFA improves the intestinal tissue injury induced by intestinal ischemia-reperfusion and the survival rate of the mice. PeFA inhibits the expression of inflammatory factors [114]. Ahmad et al. used a combination of fennel seed oil, which contains 74.8% PeFA, and essential oil, which contains 70.7% trans-anethole, as functional ingredients in moisturizing cream formulations. The authors reported a positive impact on the overall structure and quality of the emulsions, including improved viscoelasticity, spreadability, and stability against oxidation, compared to the control cream. Additionally, the creams containing fennel seed oil were found to be fresher and more easily absorbed upon skin application [62].
9. Conclusions
Here, we summarized the different natural sources, biosynthesis, isolation, identification reactivity, benefits and pharmacological properties, and potential uses of petroselinic fatty acid. PeFA constitutes the major part of the lipid fraction of seeds from members of the Apiaceae family species; therefore, any attempt to optimize the yield of this rare fatty acid should start with the optimization of the total oil yield. Total oil yield could be optimized by choosing appropriate extraction methods and parameters. Indeed, the switch to more environmentally friendly extraction processes should be considered. Seed maturity is accompanied by an increase in petroselenic acid concentration, while water deficits (drought effect) result in a corresponding decrease. Therefore, adapting cultivation to optimal climatic conditions and using ripe, raw material, are crucial parameters for increasing petroselinic fatty acid content. The new technology in biochemistry, genetics, and molecular biology allowed us significant progress to study in deep the mechanism of petroselinic fatty acid biosynthesis pathways in seeds. Several biochemical investigations demonstrated that PeFA biosynthesis is due to a strong expression of specific genes in seed (Cs-KAS I-1, Cs-ACPD1, Cs-ACPD3, and Cs-DGAT2). Those genes are involved in the synthesis of various enzymes (such as KAS I-1 and ACPD1) that contribute to petroselinic fatty acid biosynthesis. Although the enzymes involved are identified, other mechanism pathways should be taken into consideration in PeFA biosynthesis, including the identification of transcription factors and the investigation of the expression of genes by other factors. In order to study their reactivity and biological activities, PeFA was isolated from Apiaceae seeds, and potentially useful derivatives were synthesized from this infrequent fatty acid. Petroselinic fatty acid exhibited several biological activities, including antidiabetic, antibacterial, and antifungal effects. However, further pharmacodynamics investigations on different biological targets should be carried out, as well as pharmacokinetic studies to validate its absorption, bioavailability, metabolism, and elimination. On the other hand, toxicological investigations are needed to validate its safety. In cosmetics, petroselinic fatty acid alone or in combination with other active compounds showed potential application as an anti-inflammatory agent for the treatment of skin, hair, and nail disorders.
Author Contributions
Conceptualization, A.H. and S.E.H.; methodology, A.H. and S.E.H.; software, A.H. and S.E.H.; validation, A.H., A.B. and B.M.; formal analysis, H.C.; investigation, A.K., S.A. and N.E.M.; resources, A.H., S.E.H., A.K. and S.A.; data curation, H.C.; writing—original draft preparation, A.H.; writing—review and editing, A.H., S.E.H., H.C., A.K., S.A., N.E.M., A.B. and B.M.; visualization, A.B. and B.M.; supervision, A.B. and B.M.; project administration, A.H. All authors have read and agreed to the published version of the manuscript.
Funding
This research received no external funding.
Institutional Review Board Statement
Not applicable.
Informed Consent Statement
Not applicable.
Data Availability Statement
All data were included in this manuscript.
Conflicts of Interest
The authors declare no conflict of interest.
References
- Avato, P.; Tava, A. Rare fatty acids and lipids in plant oilseeds: Occurrence and bioactivity. Phytochem. Rev. 2022, 21, 401–428. [Google Scholar]
- Jie, M.S.L.K. The synthesis of rare and unusual fatty acids. Prog. Lipid Res. 1993, 32, 151–194. [Google Scholar]
- Green, A. The occurrence of ricinoleic acid in Linum seed oils. J. Am. Oil Chem. Soc. 1984, 61, 939–940. [Google Scholar] [CrossRef]
- Cahoon, E.B.; Li-Beisson, Y. Plant unusual fatty acids: Learning from the less common. Curr. Opin. Plant Biol. 2020, 55, 66–73. [Google Scholar] [CrossRef] [PubMed]
- Sun, J.-Y.; Guo, X.; Smith, M.A. Identification of Crepenynic Acid in the Seed Oil of Atractylodes lancea and A. macrocephala. J. Am. Oil Chem. Soc. 2017, 94, 655–660. [Google Scholar] [CrossRef]
- Fatope, M.O.; Adoum, O.A.; Takeda, Y. C18 acetylenic fatty acids of Ximenia americana with potential pesticidal activity. J. Agric. Food Chem. 2000, 48, 1872–1874. [Google Scholar] [CrossRef]
- Okada, S.; Zhou, X.-R.; Damcevski, K.; Gibb, N.; Wood, C.; Hamberg, M.; Haritos, V.S. Diversity of Δ12 fatty acid desaturases in santalaceae and their role in production of seed oil acetylenic fatty acids. J. Biol. Chem. 2013, 288, 32405–32413. [Google Scholar] [CrossRef]
- Spitzer, V.; Aitzetmüller, K.; Vosmann, K. The seed oil of Bernardia pulchella (Euphorbiaceae)—A rich source of vernolic acid. J. Am. Oil Chem. Soc. 1996, 73, 1733–1735. [Google Scholar] [CrossRef]
- Morris, L.; Wharry, D. Naturally occurring epoxy acids. IV. The absolute optical configuration of vernolic acid. Lipids 1966, 1, 41–46. [Google Scholar] [CrossRef]
- Tsevegsuren, N.; Aitzetmuller, K.; Vosmann, K. Geranium sanguineum (Geraniaceae) seed oil: A new source of petroselinic and vernolic acid. Lipids 2004, 39, 571–576. [Google Scholar] [CrossRef]
- Bao, X.; Katz, S.; Pollard, M.; Ohlrogge, J. Carbocyclic fatty acids in plants: Biochemical and molecular genetic characterization of cyclopropane fatty acid synthesis of Sterculia foetida. Proc. Natl. Acad. Sci. USA 2002, 99, 7172–7177. [Google Scholar] [CrossRef] [PubMed]
- Chaves, M.; Araújo, F.; Moura, C.; Tozetto, L.; Aued-Pimentel, S.; Caruso, M. Chemical characterization and stability of the Bombacopsis glabra nut oil. Food Public Health 2012, 2, 104–109. [Google Scholar] [CrossRef]
- Hajib, A.; Nounah, I.; Harhar, H.; Gharby, S.; Kartah, B.; Matthäus, B.; Bougrin, K.; Charrouf, Z. Oil content, lipid profiling and oxidative stability of “Sefri” Moroccan pomegranate (Punica granatum L.) seed oil. OCL 2021, 28, 5. [Google Scholar] [CrossRef]
- Nagao, K.; Yanagita, T. Conjugated fatty acids in food and their health benefits. J. Biosci. Bioeng. 2005, 100, 152–157. [Google Scholar] [PubMed]
- Knothe, G.; Steidley, K.R. Composition of Some Apiaceae Seed Oils Includes Phytochemicals, and Mass Spectrometry of Fatty Acid 2-Methoxyethyl Esters. Eur. J. Lipid. Sci. Technol. 2019, 121, 1800386. [Google Scholar] [CrossRef]
- Avato, P.; Fanizzi, F.P.; Rosito, I. The genus Thapsia as a source of petroselinic acid. Lipids 2001, 36, 845–850. [Google Scholar] [CrossRef]
- Thiviya, P.; Gamage, A.; Piumali, D.; Merah, O.; Madhujith, T. Apiaceae as an important source of antioxidants and their applications. Cosmetics 2021, 8, 111. [Google Scholar] [CrossRef]
- Hajib, A.; Danton, O.; Keller, M.; Potterat, O.; Bougrin, K.; Charrouf, Z.; Hamburger, M. Polyacetylenic caffeoyl amides from Ammodaucus leucotrichus. Phytochemistry 2023, 206, 113555. [Google Scholar] [CrossRef]
- Thiviya, P.; Gunawardena, N.; Gamage, A.; Madhujith, T.; Merah, O. Apiaceae family as a valuable source of biocidal components and their potential uses in agriculture. Horticulturae 2022, 8, 614. [Google Scholar] [CrossRef]
- Zidorn, C.; Jöhrer, K.; Ganzera, M.; Schubert, B.; Sigmund, E.M.; Mader, J.; Greil, R.; Ellmerer, E.P.; Stuppner, H. Polyacetylenes from the Apiaceae vegetables carrot, celery, fennel, parsley, and parsnip and their cytotoxic activities. J. Agric. Food Chem. 2005, 53, 2518–2523. [Google Scholar] [CrossRef]
- Balbino, S.; Repajić, M.; Obranović, M.; Medved, A.M.; Tonković, P.; Dragović-Uzelac, V.; Plants, A. Characterization of lipid fraction of Apiaceae family seed spices: Impact of species and extraction method. J. Appl. Res. Med. Aromat. Plants 2021, 25, 100326. [Google Scholar]
- Sayed-Ahmad, B.; Talou, T.; Saad, Z.; Hijazi, A.; Merah, O. The Apiaceae: Ethnomedicinal family as source for industrial uses. Ind. Crops Prod. 2017, 109, 661–671. [Google Scholar] [CrossRef]
- Delbeke, E.I.; Everaert, J.; Uitterhaegen, E.; Verweire, S.; Verlee, A.; Talou, T.; Soetaert, W.; Van Bogaert, I.N.; Stevens, C.V. Petroselinic acid purification and its use for the fermentation of new sophorolipids. AMB Express 2016, 6, 28. [Google Scholar] [CrossRef] [PubMed]
- Placek, L.L. A review on petroselinic acid and its derivatives. J. Am. Oil Chem. Soc. 1963, 40, 319–329. [Google Scholar] [CrossRef]
- Hajib, A.; Harhar, H.; Gharby, S.; Nounah, I.; Matthäus, B.; Guillaume, D.; Charrouf, Z. Is geographic origin a good marker for cumin seed oil (Cuminum cyminum L.). Riv. Ital. Sostanze Grasse 2018, 95, 155–159. [Google Scholar]
- Bettaieb Rebey, I.; Bourgou, S.; Aidi Wannes, W.; Hamrouni Selami, I.; Saidani Tounsi, M.; Marzouk, B.; Fauconnier, M.-L.; Ksouri, R. Comparative assessment of phytochemical profiles and antioxidant properties of Tunisian and Egyptian anise (Pimpinella anisum L.) seeds. Plant Biosyst. 2018, 152, 971–978. [Google Scholar] [CrossRef]
- Laribi, B.; Kouki, K.; Bettaieb, T.; Mougou, A.; Marzouk, B. Essential oils and fatty acids composition of Tunisian, German and Egyptian caraway (Carum carvi L.) seed ecotypes: A comparative study. Ind. Crops Prod. 2013, 41, 312–318. [Google Scholar] [CrossRef]
- Ksouda, G.; Hajji, M.; Sellimi, S.; Merlier, F.; Falcimaigne-Cordin, A.; Nasri, M.; Thomasset, B. A systematic comparison of 25 Tunisian plant species based on oil and phenolic contents, fatty acid composition and antioxidant activity. Ind. Crops Prod. 2018, 123, 768–778. [Google Scholar] [CrossRef]
- Al-Snafi, A.E. Pharmacological and therapeutic activities of Hedera helix-A review. Iosr J. Pharm. 2018, 8, 41–53. [Google Scholar]
- Shibahara, A.; Yamamoto, K.; Nakayama, T.; Kajimoto, G. cis-Vaccenic acid in pulp lipids of commonly available fruits. J. Am. Oil Chem. Soc. 1987, 64, 397–401. [Google Scholar] [CrossRef]
- Spitzer, V. Fatty acid composition of some seed oils of the Sapindaceae. Phytochemistry 1996, 42, 1357–1360. [Google Scholar] [CrossRef]
- Wolff, R.L.; Christie, W.W.; Pédrono, F.; Marpeau, A.M.; Tsevegsüren, N.; Aitzetmüller, K.; Gunstone, F.D. Δ5-Olefinic acids in the seed lipids from four Ephedra species and their distribution between the α and β positions of triacylglycerols. Characteristics common to coniferophytes and cycadophytes. Lipids 1999, 34, 855–864. [Google Scholar] [CrossRef]
- Rebey, I.B.; Jabri-Karoui, I.; Hamrouni-Sellami, I.; Bourgou, S.; Limam, F.; Marzouk, B. Effect of drought on the biochemical composition and antioxidant activities of cumin (Cuminum cyminum L.) seeds. Ind. Crops Prod. 2012, 36, 238–245. [Google Scholar] [CrossRef]
- Laribi, B.; Bettaieb, I.; Kouki, K.; Sahli, A.; Mougou, A.; Marzouk, B. Water deficit effects on caraway (Carum carvi L.) growth, essential oil and fatty acid composition. Ind. Crops Prod. 2009, 30, 372–379. [Google Scholar] [CrossRef]
- Rebey, I.B.; Wannes, W.A.; Kaab, S.B.; Bourgou, S.; Tounsi, M.S.; Ksouri, R.; Fauconnier, M.L. Bioactive compounds and antioxidant activity of Pimpinella anisum L. accessions at different ripening stages. Sci. Hortic. 2019, 246, 453–461. [Google Scholar] [CrossRef]
- Msaada, K.; Hosni, K.; Taarit, M.B.; Hammami, M.; Marzouk, B. Effects of growing region and maturity stages on oil yield and fatty acid composition of coriander (Coriandrum sativum L.) fruit. Sci. Hortic. 2009, 120, 525–531. [Google Scholar] [CrossRef]
- Kenar, J.A.; Moser, B.R.; List, G.R. Naturally occurring fatty acids: Source, chemistry, and uses. In Fatty Acids; Elsevier: Amsterdam, The Netherlands, 2017; pp. 23–82. [Google Scholar]
- Krist, S. Vegetable Fats and Oils; Springer Nature: Berlin/Heidelberg, Germany, 2020. [Google Scholar]
- Ashawat, M.; Banchhor, M.; Saraf, S.; Saraf, S. Herbal Cosmetics: “Trends in Skin Care Formulation”. Pharmacogn. Rev. 2009, 3, 82. [Google Scholar]
- Tong, Y.F.; Zhang, P.; Chen, F.; Hao, L.H.; Ye, F.; Tian, J.Y.; Wu, S. Synthesis and biological evaluation of novel N-(alkoxyphenyl)-aminocarbonylbenzoic acid derivatives as PTP1B inhibitors. Chin. Chem. Lett. 2010, 21, 1415–1418. [Google Scholar] [CrossRef]
- Novak, A.F.; Clark, G.C.; Dupuy, H.P. Antimicrobial activity of some ricinoleic acid oleic acid derivatives. J. Am. Oil Chem. Soc. 1961, 38, 321–324. [Google Scholar] [CrossRef]
- Lee, J.-H.; Kim, Y.-G.; Lee, J. Inhibition of Staphylococcus aureus Biofilm Formation and Virulence Factor Production by Petroselinic Acid and Other Unsaturated C18 Fatty Acids. Microbiol. Spectr. 2022, 10, e01330-22. [Google Scholar] [CrossRef]
- Chbani, M.; El Harkaoui, S.; Willenberg, I.; Matthäus, B. Analytical Extraction Methods, Physicochemical Properties and Chemical Composition of Cactus (Opuntia ficus-indica) Seed Oil and Its Biological Activity. Food Rev. Int. 2022, 1–17. [Google Scholar] [CrossRef]
- Bettaieb Rebey, I.; Bourgou, S.; Detry, P.; Wannes, W.A.; Kenny, T.; Ksouri, R.; Sellami, I.H.; Fauconnier, M.-L. Green extraction of fennel and anise edible oils using bio-based solvent and supercritical fluid: Assessment of chemical composition, antioxidant property, and oxidative stability. Food Bioproc. Technol. 2019, 12, 1798–1807. [Google Scholar] [CrossRef]
- Nguyen, T.; Aparicio, M.; Saleh, M.A. Accurate mass GC/LC-quadrupole time of flight mass spectrometry analysis of fatty acids and triacylglycerols of spicy fruits from the Apiaceae family. Molecules 2015, 20, 21421–21432. [Google Scholar] [CrossRef]
- Sriti, J.; Talou, T.; Msaada, K.; Marzouk, B. Comparative analysis of fatty acid, sterol and tocol composition of Tunisian and Canadian Coriander (Coriandrum sativum L.) fruit. Anal. Chem. Lett. 2011, 1, 375–383. [Google Scholar] [CrossRef]
- Denev, R.V.; Kuzmanova, I.S.; Momchilova, S.M.; Nikolova-Damyanova, B.M. Resolution and quantification of isomeric fatty acids by silver ion HPLC: Fatty acid composition of aniseed oil (Pimpinella anisum, Apiaceae). J. AOAC Int. 2011, 94, 4–8. [Google Scholar] [CrossRef]
- Beyzi, E.; Karaman, K.; Gunes, A.; Beyzi, S.B. Change in some biochemical and bioactive properties and essential oil composition of coriander seed (Coriandrum sativum L.) varieties from Turkey. Ind. Crops Prod. 2017, 109, 74–78. [Google Scholar] [CrossRef]
- Uitterhaegen, E.; Sampaio, K.A.; Delbeke, E.I.; De Greyt, W.; Cerny, M.; Evon, P.; Merah, O.; Talou, T.; Stevens, C.V. Characterization of French coriander oil as source of petroselinic acid. Molecules 2016, 21, 1202. [Google Scholar] [CrossRef]
- Nguyen, Q.-H.; Talou, T.; Evon, P.; Cerny, M.; Merah, O. Fatty acid composition and oil content during coriander fruit development. Food Chem. 2020, 326, 127034. [Google Scholar] [CrossRef] [PubMed]
- Nguyen, Q.-H.; Talou, T.; Cerny, M.; Evon, P.; Merah, O. Oil and fatty acid accumulation during coriander (Coriandrum sativum L.) fruit ripening under organic cultivation. Crop J. 2015, 3, 366–369. [Google Scholar] [CrossRef]
- Sriti, J.; Talou, T.; Faye, M.; Vilarem, G.; Marzouk, B.; Products. Oil extraction from coriander fruits by extrusion and comparison with solvent extraction processes. Ind. Crops Prod. 2011, 33, 659–664. [Google Scholar] [CrossRef]
- Senrayan, J.; Venkatachalam, S. Optimization of ultrasound-assisted solvent extraction (UASE) based on oil yield, antioxidant activity and evaluation of fatty acid composition and thermal stability of Coriandrum sativum L. seed oil. Food Sci. Biotechnol. 2019, 28, 377–386. [Google Scholar] [CrossRef]
- Kozłowska, M.; Gruczyńska, E.; Ścibisz, I.; Rudzińska, M. Fatty acids and sterols composition, and antioxidant activity of oils extracted from plant seeds. Food chem. 2016, 213, 450–456. [Google Scholar] [CrossRef] [PubMed]
- Saini, R.K.; Assefa, A.D.; Keum, Y.-S. Spices in the Apiaceae Family Represent the Healthiest Fatty Acid Profile: A Systematic Comparison of 34 Widely Used Spices and Herbs. Foods 2021, 10, 854. [Google Scholar] [CrossRef] [PubMed]
- Ngo-Duy, C.C.; Destaillats, F.; Keskitalo, M.; Arul, J.; Angers, P. Triacylglycerols of Apiaceae seed oils: Composition and regiodistribution of fatty acids. Eur. J. Lipid. Sci. Technol. 2009, 111, 164–169. [Google Scholar] [CrossRef]
- Laribi, B.; Kouki, K.; Mougou, A.; Marzouk, B. Fatty acid and essential oil composition of three Tunisian caraway (Carum carvi L.) seed ecotypes. J. Sci. Food Agric. 2010, 90, 391–396. [Google Scholar] [CrossRef] [PubMed]
- Bourgou, S.; Bettaieb Rebey, I.; Dakhlaoui, S.; Msaada, K.; Saidani Tounsi, M.; Ksouri, R.; Fauconnier, M.L.; Hamrouni-Sellami, I. Green extraction of oil from Carum carvi seeds using bio-based solvent and supercritical fluid: Evaluation of its antioxidant and anti-inflammatory activities. Phytochem. Anal. 2020, 31, 37–45. [Google Scholar] [CrossRef] [PubMed]
- Bettaieb, I.; Bourgou, S.; Sriti, J.; Msaada, K.; Limam, F.; Marzouk, B. Essential oils and fatty acids composition of Tunisian and Indian cumin (Cuminum cyminum L.) seeds: A comparative study. J. Sci. Food Agric. 2011, 91, 2100–2107. [Google Scholar] [CrossRef] [PubMed]
- Merah, O.; Sayed-Ahmad, B.; Talou, T.; Saad, Z.; Cerny, M.; Grivot, S.; Evon, P.; Hijazi, A. Biochemical composition of cumin seeds, and biorefining study. Biomolecules 2020, 10, 1054. [Google Scholar] [CrossRef] [PubMed]
- Ramadan, M.F.; Asker, M.M.S.; Tadros, M. Antiradical and antimicrobial properties of cold-pressed black cumin and cumin oils. Eur. Food Res. Technol. 2012, 234, 833–844. [Google Scholar] [CrossRef]
- Ahmad, B.S.; Talou, T.; Saad, Z.; Hijazi, A.; Cerny, M.; Kanaan, H.; Chokr, A.; Merah, O. Fennel oil and by-products seed characterization and their potential applications. Ind. Crops Prod. 2018, 111, 92–98. [Google Scholar] [CrossRef]
- Hayat, K.; Abbas, S.; Hussain, S.; Shahzad, S.A.; Tahir, M.U. Effect of microwave and conventional oven heating on phenolic constituents, fatty acids, minerals and antioxidant potential of fennel seed. Ind. Crops Prod. 2019, 140, 111610. [Google Scholar] [CrossRef]
- Piras, A.; Porcedda, S.; Falconieri, D.; Fais, A.; Era, B.; Carta, G.; Rosa, A. Supercritical extraction of volatile and fixed oils from Petroselinum crispum L. seeds: Chemical composition and biological activity. Nat. Prod. Res. 2022, 36, 1883–1888. [Google Scholar] [CrossRef]
- Shams, K.A.; Abdel-Azim, N.S.; Tawfik, W.A.; Hassanein, H.D.; Saleh, M.A.; Hammouda, F.M. Green extraction techniques: Effect of extraction method on lipid contents of three medicinal plants of Apiaceae. J. Chem. Pharm. Res. 2015, 7, 1080–1088. [Google Scholar]
- Cahoon, E.B.; Shanklin, J.; Ohlrogge, J.B. Expression of a coriander desaturase results in petroselinic acid production in transgenic tobacco. Proc. Natl. Acad. Sci. USA 1992, 89, 11184–11188. [Google Scholar] [CrossRef] [PubMed]
- Coşge, B.; Kiralan, M.; Gürbüz, B. Characteristics of fatty acids and essential oil from sweet fennel (Foeniculum vulgare Mill. var. dulce) and bitter fennel fruits (F. vulgare Mill. var. vulgare) growing in Turkey. Nat. Prod. Res. 2008, 22, 1011–1016. [Google Scholar] [PubMed]
- Yaldiz, G.; Camlica, M. Variation in the fruit phytochemical and mineral composition, and phenolic content and antioxidant activity of the fruit extracts of different fennel (Foeniculum vulgare L.) genotypes. Ind. Crops Prod. 2019, 142, 111852. [Google Scholar] [CrossRef]
- Mhemdi, H.; Rodier, E.; Kechaou, N.; Fages, J. A supercritical tuneable process for the selective extraction of fats and essential oil from coriander seeds. J. Food Eng. 2011, 105, 609–616. [Google Scholar] [CrossRef]
- Thelen, J.J.; Ohlrogge, J.B. Metabolic engineering of fatty acid biosynthesis in plants. Metab. Eng. 2002, 4, 12–21. [Google Scholar] [CrossRef]
- Mekhedov, S.; Cahoon, E.B.; Ohlrogge, J. An unusual seed-specific 3-ketoacyl-ACP synthase associated with the biosynthesis of petroselinic acid in coriander. Plant Mol. Biol. 2001, 47, 507–518. [Google Scholar] [CrossRef]
- Cahoon, E.B.; Dörmann, P.; Ohlrogge, J.B. Petroselinic acid biosynthesis and production in transgenic plants. Prog. Lipid Res. 1994, 33, 155–163. [Google Scholar] [CrossRef] [PubMed]
- Yang, Z.; Li, C.; Jia, Q.; Zhao, C.; Taylor, D.C.; Li, D.; Zhang, M. Transcriptome analysis reveals candidate genes for petroselinic acid biosynthesis in fruits of Coriandrum sativum L. J. Agric. Food Chem. 2020, 68, 5507–5520. [Google Scholar] [CrossRef]
- Cahoon, E.B.; Ohlrogge, J.B. Apparent role of phosphatidylcholine in the metabolism of petroselinic acid in developing Umbelliferae endosperm. Plant Physiol. 1994, 104, 845–855. [Google Scholar] [CrossRef] [PubMed]
- Dormann, P.; Frentzen, M.; Ohlrogge, J.B. Specificities of the acyl-acyl carrier protein (ACP) thioesterase and glycerol-3-phosphate acyltransferase for octadecenoyl-ACP isomers (identification of a petroselinoyl-ACP thioesterase in umbelliferae). Plant Physiol. 1994, 104, 839–844. [Google Scholar] [CrossRef] [PubMed]
- Voelker, T. Plant acyl-ACP thioesterases: Chain-length determining enzymes in plant fatty acid biosynthesis. In Genetic Engineering; Springer: Boston, MA, USA, 1996; Volume 18, pp. 111–133. [Google Scholar]
- Biłas, R.; Szafran, K.; Hnatuszko-Konka, K.; Kononowicz, A.K. Cis-regulatory elements used to control gene expression in plants. Plant Cell, Tissue Organ Cult. 2016, 127, 269–287. [Google Scholar] [CrossRef]
- Guiltinan, M.J.; Marcotte Jr, W.R.; Quatrano, R.S. A plant leucine zipper protein that recognizes an abscisic acid response element. Science 1990, 250, 267–271. [Google Scholar] [CrossRef] [PubMed]
- Washida, H.; Wu, C.-Y.; Suzuki, A.; Yamanouchi, U.; Akihama, T.; Harada, K.; Takaiwa, F. Identification of cis-regulatory elements required for endosperm expression of the rice storage protein glutelin gene GluB-1. Plant Mol. Biol. 1999, 40, 1–12. [Google Scholar] [CrossRef]
- Wu, C.Y.; Washida, H.; Onodera, Y.; Harada, K.; Takaiwa, F. Quantitative nature of the Prolamin-box, ACGT and AACA motifs in a rice glutelin gene promoter: Minimal cis-element requirements for endosperm-specific gene expression. Plant J. 2000, 23, 415–421. [Google Scholar] [CrossRef]
- Kim, M.J.; Shin, J.S.; Kim, J.-K.; Suh, M.C. Genomic structures and characterization of the 5′-flanking regions of acyl carrier protein and Δ4-palmitoyl-ACP desaturase genes from Coriandrum sativum. Biochim. Biophys. Acta-Gene Struct. Expr. 2005, 1730, 235–244. [Google Scholar] [CrossRef]
- Kang, J.; Yim, S.; Choi, H.; Kim, A.; Lee, K.P.; Lopez-Molina, L.; Martinoia, E.; Lee, Y. Abscisic acid transporters cooperate to control seed germination. Nat. Commun. 2015, 6, 8113. [Google Scholar] [CrossRef]
- Vega, A.; O’Brien, J.A.; Gutiérrez, R.A. Nitrate and hormonal signaling crosstalk for plant growth and development. Curr. Opin. Plant Biol. 2019, 52, 155–163. [Google Scholar] [CrossRef]
- Von Rudloff, E. Periodate-permanganate oxidations. IV. Determination of the position of double bonds in unsaturated fatty acids and esters. J. Am. Oil Chem. Soc. 1956, 33, 126–128. [Google Scholar] [CrossRef]
- Wolff, R.L.; Vandamme, F.F. Separation of petroselinic (cis-6 18: 1) and oleic (cis-9 18: 1) acids by gas-liquid chromatography of their isopropyl esters. J. Am. Oil Chem. Soc. 1992, 69, 1228–1231. [Google Scholar] [CrossRef]
- Santinelli, F.; Damiani, P. A simple and rapid method for concurrent determination of petroselinic and oleic acids in oils. J. Am. Oil Chem. Soc. 1997, 74, 935–938. [Google Scholar] [CrossRef]
- Liu, L.; Hammond, E. Phenylethyl esters of fatty acids for the analytical resolution of petroselinate and oleate. J. Am. Oil Chem. Soc. 1995, 72, 749–751. [Google Scholar] [CrossRef]
- Thies, W. Determination of the petroselinic acid in seeds of Coriandrum sativum by gas liquid chromatography as n-butyl esters. Lipid/Fett 1995, 97, 411–413. [Google Scholar] [CrossRef]
- Sansa-ard, C.; Aryusuk, K.; Lilitchan, S.; Krisnangkura, K. Free energy contribution to gas chromatographic separation of petroselinate and oleate esters. Chromatogr. Res. Int. 2011, 2011, 252543. [Google Scholar] [CrossRef]
- Radin, N.S. The hydroxy fatty acids: Isolation, structure determination, quantitation. J. Am. Oil Chem. Soc. 1965, 42, 569–580. [Google Scholar] [CrossRef] [PubMed]
- Charvet, A.; Comeau, L.; Gaydou, E. New preparation of pure petroselinic acid from fennel oil (Foeniculum vulgare). J. Am. Oil Chem. Soc. 1991, 68, 604–607. [Google Scholar] [CrossRef]
- Fore, S.P.; Holmes, R.L.; Bickford, W. Preparation of petroselinic acid. J. Am. Oil Chem. Soc. 1960, 37, 490–491. [Google Scholar] [CrossRef]
- Mbayhoudel, K.; Comeau, L.-C. Obtention sélective de l’acide pétrosélinique à partir de l’huile de fenouil par hydrolyse enzymatique. Rev. Française Corps Gras 1989, 36, 427–431. [Google Scholar]
- Ackman, R.G.; Retson, M.; Gallay, L.; Vandenheuvel, F. Ozonolysis of unsaturated fatty acids: I. Ozonolysis of oleic acid. Can. J. Chem. 1961, 39, 1956–1963. [Google Scholar] [CrossRef]
- Holmes, R.; Moreau, J. Preparation of 2-decyl-2-hydroxymethyl-1,3-propanediol from dodecanal and from petroselinic acid. J. Am. Oil Chem. Soc. 1965, 42, 833–835. [Google Scholar] [CrossRef]
- Holmes, R.; Moreau, J.; Sumrell, G. Preparation of 2-hydroxytridecanenitrile from petroselinic acid. J. Am. Oil Chem. Soc. 1965, 42, 841–842. [Google Scholar] [CrossRef]
- Holmes, R.; Moreau, J.; Sumrell, G. Application of the ritter reaction to petroselinic acid. J. Am. Oil Chem. Soc. 1965, 42, 922–923. [Google Scholar] [CrossRef]
- Farooq, M.; Osman, S.; Siddiqui, M.S. Studies on the hypohalogenation of isomeric 6,7-octadecenoic acids: Petroselinic and petroselaidic acids. Recl. Trav. Chim. 1961, 80, 415–421. [Google Scholar] [CrossRef]
- Metzger, J.O.; Mahler, R. Free-radical Cyclization of Petroselinic Acid. Justus Liebigs Ann. Chem. 1993, 1993, 203–205. [Google Scholar] [CrossRef]
- Placek, L.L.; Dollear, F. The preparation and properties of some nitrogen-containing derivatives of petroselinic acid. J. Am. Oil Chem. Soc. 1962, 39, 347–350. [Google Scholar] [CrossRef]
- Cermak, S.C.; Isbell, T.A.; Evangelista, R.L.; Johnson, B.L. Synthesis and physical properties of petroselinic based estolide esters. Ind. Crops Prod. 2011, 33, 132–139. [Google Scholar] [CrossRef]
- Dierker, M.; Schäfer, H.J. Surfactants from oleic, erucic and petroselinic acid: Synthesis and properties. Eur. J. Lipid. Sci. Technol. 2010, 112, 122–136. [Google Scholar] [CrossRef]
- Rao, P.; Kamalakar, K.; Jyothirmayi, T.; Karuna, M.; Prasad, R. Esters of petroselinic acid containing Trachyspermum copticum seed oil: Potential industrial lubricant base stocks. CSIR-NIScPR 2020, 59B, 126–134. [Google Scholar]
- Suzuki, K.; Shono, F.; Kai, H.; Uno, T.; Uyeda, M. Inhibition of topoisomerases by fatty acids. J. Enzyme Inhib. Med. Chem. 2000, 15, 357–366. [Google Scholar] [CrossRef] [PubMed]
- Taguchi, K.; Yamaoka, Y.; Kamiyabu, S.; Kishimoto, S.; Fukushima, S.; Suzuki, M.; Kobayashi, M.; Takeuchi, Y. Petroselinic Acid and Oleic Acid: Comparison of Enhanced Skin Permeability Relative to Affinity for Saturated Fatty Acids of Stratum Corneum. J. Pharm. Sci. Technol. 2000, 60, 53–61. [Google Scholar]
- Novak, A.; Fisher, M.J.; Fore, S.P.; Dupuy, H.P. Antimycotic activity of some fatty acid derivatives. J. Am. Oil Chem. Soc. 1964, 41, 503–505. [Google Scholar] [CrossRef]
- Mahe, Y.; Bru, C.; Gueniche, A. Use of Petroselinic Acid to Fight against Aesthetic Disorders of the Body Figure. U.S. Patent 14/890,064, 5 July 2014. [Google Scholar]
- Mahe, Y.; BRU, C.; Gueniche, A. Petroselinic Acid or a Combination of Active Ingredients Comprising at Least Petroselinic Acid for Promoting Weight Loss and/or Weight Maintenance. U.S. Patent 14/889,895, 5 June 2014. [Google Scholar]
- Mahe, Y.; Bru, C. Combination of Petroselinic Acid and Zinc for Oral Administration for Hair Aging Control. U.S. Patent 214/889,984, 5 June 2014. [Google Scholar]
- Gueniche, A.; Castiel, I. Use of Petroselinic Acid for the Treatment of Fragile Scalps. U.S. Patent ES06291929.5T, 14 December 2006. [Google Scholar]
- Weinkauf, R.; Santhanam, U.; Rose, L.; Palanker; Januario, E.T.; Brinker, A. Petroselinic Acid as an Anti-Irritant in Compositions Containing Alpha-Hydroxy Acids. U.S. Patent 6,022,896, 10 September 1998. [Google Scholar]
- Gueniche, A.; Castiel, I.; Cruz-Hernandez, C.; Guitard, M.M.-C.; Destaillats, F. Monounsaturated Fatty Acid for Nailcare. U.S. Patent 10/555,882, 8 November 2012. [Google Scholar]
- Mahe, Y.; Bru, C.; Piccardi, N.; Gueniche, A. Combination of Active agents for Oral Administration for Improving the Quality of Nails. U.S. Patent 9,682,025, 6 May 2014. [Google Scholar]
- Li, S.; Li, J.; Huang, W. New Application of Petroselinic Acid. C.N. Patent CN11510549.2A, 17 March 2021. [Google Scholar]
Disclaimer/Publisher’s Note: The statements, opinions and data contained in all publications are solely those of the individual author(s) and contributor(s) and not of MDPI and/or the editor(s). MDPI and/or the editor(s) disclaim responsibility for any injury to people or property resulting from any ideas, methods, instructions or products referred to in the content. |
© 2023 by the authors. Licensee MDPI, Basel, Switzerland. This article is an open access article distributed under the terms and conditions of the Creative Commons Attribution (CC BY) license (https://creativecommons.org/licenses/by/4.0/).




