Sign in to use this feature.

Years

Between: -

Subjects

remove_circle_outline
remove_circle_outline
remove_circle_outline
remove_circle_outline
remove_circle_outline
remove_circle_outline
remove_circle_outline
remove_circle_outline
remove_circle_outline

Journals

remove_circle_outline
remove_circle_outline
remove_circle_outline
remove_circle_outline
remove_circle_outline
remove_circle_outline
remove_circle_outline
remove_circle_outline
remove_circle_outline
remove_circle_outline
remove_circle_outline
remove_circle_outline
remove_circle_outline
remove_circle_outline

Article Types

Countries / Regions

remove_circle_outline
remove_circle_outline
remove_circle_outline
remove_circle_outline
remove_circle_outline

Search Results (1,026)

Search Parameters:
Keywords = capacitance change

Order results
Result details
Results per page
Select all
Export citation of selected articles as:
21 pages, 4977 KB  
Article
Evolution of High-Voltage Frequency-Domain Dielectric Spectroscopy Characteristics of Oil-Pressboard Insulating Bushings Under Aging and Moisture
by Huan Li, Mingcheng Hua, Yueyang Ma, Chunjia Gao, Zheng Niu, Deliang Cheng, Guangwei Liu and Bo Qi
Processes 2026, 14(5), 864; https://doi.org/10.3390/pr14050864 (registering DOI) - 8 Mar 2026
Abstract
The insulation condition of oil-pressboard insulating bushings is commonly evaluated by measuring the dielectric loss factor and capacitance at power frequency. However, systematic investigations into the influence of aging and moisture defects on frequency-domain dielectric spectroscopy (FDS) characteristics are still insufficient. To address [...] Read more.
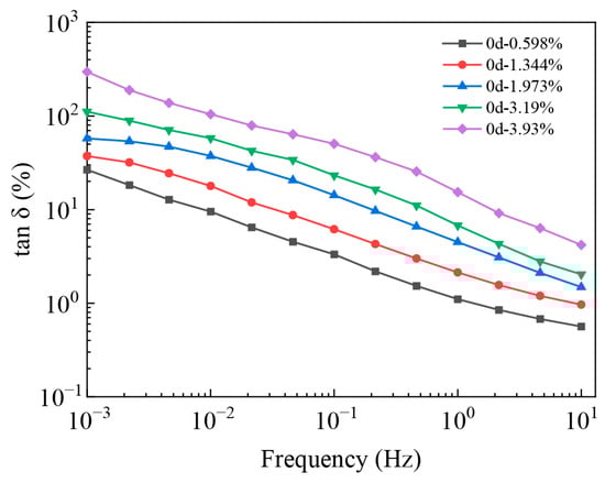
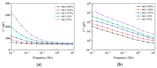
The insulation condition of oil-pressboard insulating bushings is commonly evaluated by measuring the dielectric loss factor and capacitance at power frequency. However, systematic investigations into the influence of aging and moisture defects on frequency-domain dielectric spectroscopy (FDS) characteristics are still insufficient. To address this issue, a 10 kV high-voltage FDS measurement system was independently developed. The system has an output voltage range of 0~10 kV and a test frequency band of 1 mHz~10 Hz, with excellent measurement stability and high test accuracy. The standard deviation of dielectric loss of the system is on the order of 10−4 and the relative error is less than 5%. It also features reliable weak current detection capability and thermal stability. Based on this system, the dielectric spectral characteristics of oil-pressboard insulation models with different moisture contents and aging levels were investigated under various temperatures and applied voltages. The results indicate that the dielectric spectrum shifts toward higher frequencies with increasing temperature. Moreover, the low-frequency dielectric loss of degraded insulation increases linearly with the applied voltage, and the rate of increase shows a positive correlation with both moisture content and aging duration. As insulation degradation becomes more severe, the voltage-dependent characteristic frequency moves toward higher frequencies. This frequency refers to the characteristic frequency where the dielectric loss of insulation presents an obvious linear variation with the change of applied voltage. Unaged and dry bushings exhibit only weak voltage dependence at 0.01 Hz, whereas bushings aged for 28 days with a moisture content of 4.121% demonstrate pronounced voltage dependence at 10 Hz. These results provide a valuable technical basis for diagnosing coupled aging and moisture defects in oil-pressboard insulated bushings. Full article
(This article belongs to the Section Petroleum and Low-Carbon Energy Process Engineering)
Show Figures

Figure 1

19 pages, 4436 KB  
Article
Development of a 3D-Printed Capacitive Sensor for Soil Water Content Estimation Using Nickel-Based Conductive Paint
by Alessandro Comegna, Shawkat B. M. Hassan and Antonio Coppola
Sensors 2026, 26(5), 1494; https://doi.org/10.3390/s26051494 - 27 Feb 2026
Viewed by 153
Abstract
Understanding hydrological, agricultural, and environmental processes in soils relies on accurately measuring volumetric water content (θ), matric potential (h), and hydraulic conductivity (K). These parameters are fundamental for quantifying plant-available water, optimizing irrigation scheduling in precision agriculture, modeling watershed [...] Read more.
Understanding hydrological, agricultural, and environmental processes in soils relies on accurately measuring volumetric water content (θ), matric potential (h), and hydraulic conductivity (K). These parameters are fundamental for quantifying plant-available water, optimizing irrigation scheduling in precision agriculture, modeling watershed responses, and studying the impacts of climate change in complex ecosystems. Among these parameters, θ is truly indispensable, as it represents the primary indicator of the water status of soils and a prerequisite for interpreting the other hydraulic variables. In recent years, capacitive sensors have become one of the most widely adopted technologies for θ estimation, owing to their favorable balance between accuracy, robustness, and affordability. These sensors infer soil moisture by measuring dielectric permittivity of soils, which is strongly governed by water content, making them particularly suitable for distributed monitoring and IoT-based environmental applications. The present study aimed to develop a low-cost capacitive sensor for θ estimation. This sensor can be made using 3D printing technology combined with conductive, nickel-based paint, which (once applied on the 3D-printed guides) forms the capacitive electrode. The capacitive component operates at an operational frequency of 60 MHz. The system was subjected to a rigorous testing protocol, including calibration and validation phases under laboratory conditions using three soils of different textures. Its performance was specifically compared with the time-domain reflectometry (TDR) technique, which is widely recognized in Soil Physics and Soil Hydrology as the reference method for θ estimation due to its reliability and accuracy. These tests confirmed the effective performance of the proposed sensor, which overall exhibited good reliability within the selected validation range, corresponding to a θ range of 0 to 0.40 cm3/cm3. Full article
(This article belongs to the Section Smart Agriculture)
Show Figures

Graphical abstract

46 pages, 37112 KB  
Review
A Comprehensive Review of Constant-Output Capacitive Wireless Power Transfer Systems: Topologies, Controls, and Applications
by Zhiliang Huang and Yunzhi Lin
Electronics 2026, 15(5), 959; https://doi.org/10.3390/electronics15050959 - 26 Feb 2026
Viewed by 172
Abstract
Capacitive Power Transfer (CPT) technology, as an emerging wireless power supply solution, exhibits great potential in areas such as electric vehicle charging, underwater equipment power supply, biomedical implants, and consumer electronics due to its advantages of low cost, light weight, insensitivity to metals, [...] Read more.
Capacitive Power Transfer (CPT) technology, as an emerging wireless power supply solution, exhibits great potential in areas such as electric vehicle charging, underwater equipment power supply, biomedical implants, and consumer electronics due to its advantages of low cost, light weight, insensitivity to metals, and potential high power density. However, the coupling capacitance is susceptible to the influence of transmission distance, misalignment, and changes in environmental media, leading to fluctuations in system output characteristics and becoming a key challenge restricting its application. This report aims to systematically review the key technological advancements proposed in recent years to achieve constant voltage/current/power output and enhance system robustness. Firstly, this study categorically reviews the CPT system topologies for constant voltage output, constant current output, and constant power output, analyzing the principles, advantages, and disadvantages of achieving load-independent or coupling-independent output. Secondly, it sorts out various active and passive control strategies, including frequency regulation, impedance matching, adaptive parameter switching, and pulse modulation, which are used to manage dynamic changes. Next, it summarizes innovative design and optimization methods for couplers tailored to specific application scenarios, such as large-gap electric vehicle charging, underwater, and rotating mechanisms. Finally, based on existing research, this review describes the challenges that CPT technology still faces in achieving efficient, high-power, and highly robust constant output, and looks forward to future research directions. Full article
(This article belongs to the Section Power Electronics)
Show Figures

Figure 1

18 pages, 3416 KB  
Article
Early Drowsiness Detection via Second-Order Derivative Analysis of Heart Rate Variability: A Non-Contact ECG Approach with Machine Learning
by Fabrice Vaussenat, Abhiroop Bhattacharya, Julie Payette, Alireza Saidi, Victor Bellemin, Geordi-Gabriel Renaud-Dumoulin, Sylvain G. Cloutier and Ghyslain Gagnon
Sensors 2026, 26(4), 1348; https://doi.org/10.3390/s26041348 - 20 Feb 2026
Viewed by 246
Abstract
Drowsy driving contributes to roughly 20% of traffic fatalities, yet most detection systems rely on behavioral cues that appear only after impairment has set in. Here we ask whether first and second derivatives of heart rate variability (HRV) can detect pre-crash states earlier [...] Read more.
Drowsy driving contributes to roughly 20% of traffic fatalities, yet most detection systems rely on behavioral cues that appear only after impairment has set in. Here we ask whether first and second derivatives of heart rate variability (HRV) can detect pre-crash states earlier than conventional approaches. Twenty-five participants completed 49 driving simulator sessions while we recorded cardiac activity through capacitive ECG electrodes embedded in the seat backrest—a non-contact method that avoids the privacy concerns of camera-based monitoring. To prevent circular evaluation, ground truth labels were based solely on crash proximity rather than HRV-derived scores. The combined HRV feature set (conventional metrics plus derivatives) achieved AUC = 0.863 for pre-crash prediction; derivatives alone reached only AUC = 0.573, indicating their value as complementary rather than standalone features. Driving performance indicators remained the strongest predictors (AUC = 0.999). Temporally, derivative-based detection preceded behavioral manifestations by 5–8 min and crash events by 6.8 ± 2.3 min. Across 1591 crashes and 6.78 million data points, we found that HRV derivatives capture physiological changes that precede overt impairment, though their utility depends on integration with other feature types. Full article
(This article belongs to the Special Issue Sensor for Biomedical and Machine Learning Applications)
Show Figures

Figure 1

36 pages, 5121 KB  
Article
Peripheral Artery Disease (P.A.D.): Vascular Hemodynamic Simulation Using a Printed Circuit Board (PCB) Design
by Claudiu N. Lungu, Aurelia Romila, Aurel Nechita and Mihaela C. Mehedinti
Bioengineering 2026, 13(2), 241; https://doi.org/10.3390/bioengineering13020241 - 19 Feb 2026
Viewed by 372
Abstract
Background: Arterial stenosis produces nonlinear changes in vascular impedance that are challenging to investigate in real time using either benchtop flow phantoms or high-fidelity computational fluid dynamics (CFD) models. Objective: This study aimed to develop and evaluate a low-cost printed circuit board (PCB) [...] Read more.
Background: Arterial stenosis produces nonlinear changes in vascular impedance that are challenging to investigate in real time using either benchtop flow phantoms or high-fidelity computational fluid dynamics (CFD) models. Objective: This study aimed to develop and evaluate a low-cost printed circuit board (PCB) analog capable of reproducing the hemodynamic effects of progressive arterial stenosis through an R–L–C mapping of vascular mechanics. Methods: A lumped-parameter (0D) electrical network was constructed in which voltage represented pressure, current represented flow, resistance modeled viscous losses, capacitance corresponded to vessel compliance, and inductance represented fluid inertance. A variable resistor simulated focal stenosis and was adjusted incrementally to represent progressive narrowing. Input Uin, output Uout, peak-to-peak Vpp, and mean Vavg voltages were recorded at a driving frequency of 50 Hz. Physiological correspondence was established using the canonical relationships. R=8μlπr4, L=plπr2, C=3πr32Eh, where μ is blood viscosity, ρ is density, E is Young’s modulus, and h is wall thickness. A calibration constant was applied to convert measured voltage differences into pressure differences. Results: As simulated stenosis increased, the circuit exhibited a monotonic rise in Uout and Vpp, with a precise inflection beyond mid-range narrowing—consistent with the nonlinear growth in pressure loss predicted by fluid dynamic theory. Replicate measurements yielded stable, repeatable traces with no outliers under nominal test conditions. Qualitative trends matched those of surrogate 0D and CFD analyses, showing minimal changes for mild narrowing (≤25%) and a sharp increase in pressure loss for moderate to severe stenoses (≥50%). The PCB analog uses a simplified, lumped-parameter representation driven by a fixed-frequency sinusoidal excitation and therefore does not reproduce fully characterized physiological systolic–diastolic waveforms or heart–arterial coupling. In addition, the present configuration is intended for relatively straight peripheral arterial segments and is not designed to capture the complex geometry and branching of specialized vascular beds (e.g., intracranial circulation) or strongly curved elastic vessels (e.g., the thoracic aorta). Conclusions: The PCB analog successfully reproduces the characteristic hemodynamic signatures of arterial stenosis in real time and at low cost. The model provides a valuable tool for educational and research applications, offering rapid and intuitive visualization of vascular behavior. Current accuracy reflects assumptions of Newtonian, laminar, and lumped flow; future work will refine calibration, quantify uncertainty, and benchmark results against physiological measurements and full CFD simulations. Full article
Show Figures

Figure 1

26 pages, 6023 KB  
Article
Ripple Minimization Method for a Modified Non-Inverting Buck–Boost DC–DC Converter
by Juan Antonio Villanueva-Loredo, Panfilo R. Martinez-Rodriguez, Julio C. Rosas-Caro, Christopher J. Rodriguez-Cortes, Diego Langarica-Cordoba and Gerardo Vazquez-Guzman
Technologies 2026, 14(2), 123; https://doi.org/10.3390/technologies14020123 - 16 Feb 2026
Viewed by 538
Abstract
This paper presents an improved switching strategy developed for the Modified Non-Inverting Step-Down/Up (MNI-SDU) DC–DC converter. Unlike previously studied switching strategies, the proposed approach changes the firing sequence and then the equivalent circuits without increasing the switching frequency. This switching technique alters the [...] Read more.
This paper presents an improved switching strategy developed for the Modified Non-Inverting Step-Down/Up (MNI-SDU) DC–DC converter. Unlike previously studied switching strategies, the proposed approach changes the firing sequence and then the equivalent circuits without increasing the switching frequency. This switching technique alters the equations used to select the converter’s capacitors, enabling a different voltage ripple in the capacitors while maintaining the same capacitance as in the previous operation. The proposed switching technique is introduced with a theoretical explanation, and the feasibility of the proposed method is verified through experimental results on a 570 W prototype. The results indicate that the new operation reduces capacitor capacitance and achieves over 58% voltage ripple reduction for both capacitors, while preserving desired operation, specified capacitances, and voltage regulation. The proposed strategy provides a compact and effective solution for high-performance power converters in battery-regulated and renewable-energy systems. Full article
Show Figures

Graphical abstract

27 pages, 13590 KB  
Article
In-Situ Monitoring and Prediction of Frost Growth on Plant Leaves Based on Dielectric Spectrum Analysis and an SWT-SSA-LSTM Model
by Huan Song, Lijun Wang, Yuguo Gao, Shuman Guo, Baoqiang Tian and Yongguang Hu
AgriEngineering 2026, 8(2), 67; https://doi.org/10.3390/agriengineering8020067 - 14 Feb 2026
Viewed by 328
Abstract
Accurate and in-situ monitoring of frost growth on plant leaves is crucial for disaster prevention in smart agriculture. To address the limitations of traditional methods in quantification and continuity, this study proposes a novel monitoring paradigm integrating dynamic dielectric spectrum analysis with hybrid [...] Read more.
Accurate and in-situ monitoring of frost growth on plant leaves is crucial for disaster prevention in smart agriculture. To address the limitations of traditional methods in quantification and continuity, this study proposes a novel monitoring paradigm integrating dynamic dielectric spectrum analysis with hybrid intelligent algorithms. A mesh-electrode-based capacitive sensor was designed to capture in-situ and continuous dielectric spectrum changes on leaf surfaces. Subsequently, a hybrid SWT-SSA-LSTM model was constructed for high-fidelity denoising and prediction of the original signals. Field experiments demonstrated that this system could quantify frost layer mass and thickness with high precision. The established nonlinear regression models achieved coefficients of determination of 0.924 and 0.975, respectively. The prediction model exhibited outstanding performance, with a root mean square error as low as 1.475. This study establishes a complete technical closed-loop from physical perception to intelligent prediction, providing an innovative solution for precise frost monitoring in agriculture. Full article
Show Figures

Figure 1

17 pages, 1367 KB  
Article
Bienvivance Approach, Emotional Capital and Capacitating Pedagogy: Inner Resource Development for Outer Transformations
by Bénédicte Gendron
Psychol. Int. 2026, 8(1), 13; https://doi.org/10.3390/psycholint8010013 - 13 Feb 2026
Viewed by 292
Abstract
The present article explores how the development of inner resources can serve as a decisive lever to initiate and sustain individual, organizational, and societal transformations. (1) We first examine the concept of emotional capital, understood as the ability to mobilize emotional competencies defined [...] Read more.
The present article explores how the development of inner resources can serve as a decisive lever to initiate and sustain individual, organizational, and societal transformations. (1) We first examine the concept of emotional capital, understood as the ability to mobilize emotional competencies defined by models of emotional intelligence, a capital that boosts other forms of capital and enables transformation. (2) We then link this to a capacitating approach, grounded in the work of Sen, which focuses on valuing and expanding human potential. (3) We will introduce the paradigm of bienvivance as an economic and social perspective that ensures a better way of co-vivance, a bienvivance economy; a societal model which proposes to reorient our systems toward a collective dynamic of vitality and meaning, shared living, sustainability, and regeneration. Taken together, these three dimensions pave the way for transformations that connect inner growth with outer change, across educational, organizational, and societal practices. In this article, (4) we will illustrate such a bienvivance approach focused on capacitating pedagogy and emotional capital development via collaborative learning and co-construction of competencies’ student portfolio exercises, as an intrinsic part of development of learners’ lifelong competencies and a lever of potentials’ unlocking, and recognition’s decolonization. Full article
Show Figures

Figure 1

19 pages, 4770 KB  
Article
Effects of Mechanical Deformation Depth and Size on the Electrochemical Impedance Response of Large-Format Lithium-Ion Batteries
by Christoph Drießen, Jun Yin, Maximilian Schinagl, Patrick Höschele and Christian Ellersdorfer
Batteries 2026, 12(2), 54; https://doi.org/10.3390/batteries12020054 - 6 Feb 2026
Viewed by 355
Abstract
This study uses electrochemical impedance spectroscopy (EIS) to investigate coupled effects of mechanical deformation depth and size on impedance responses of large-format prismatic lithium-ion batteries (LIBs). Stepwise out-of-plane deformations were applied using hemispherical impactors of two different diameters (30 mm and 180 mm), [...] Read more.
This study uses electrochemical impedance spectroscopy (EIS) to investigate coupled effects of mechanical deformation depth and size on impedance responses of large-format prismatic lithium-ion batteries (LIBs). Stepwise out-of-plane deformations were applied using hemispherical impactors of two different diameters (30 mm and 180 mm), representing localized and global mechanical loading while maintaining consistent contact conditions. Cells were deformed to 25%, 50%, 75%, and 95% of the internal short-circuit deformation depth, with EIS measurements conducted at each level. Relative changes of measured impedance parameters and fitted equivalent circuit model (ECM) parameters were analyzed. Results show that localized deformation decreases charge transfer resistance ΔR1 up to 8.0% and total impedance ΔZ up to 1.6%, indicating enhanced charge mobility due to internal structural damage. In contrast, global compression increases ohmic resistance ΔR0 up to 2.1% and ΔZ up to 2.0%, likely due to reduced separator porosity. Phase angle ΔPhase showed opposite trends under localized and global loading, reflecting different capacitive responses. These results reveal that deformation depth and size significantly influence EIS measurements, with non-linear interactions and transition points indicative of irreversible damage. These results support the use of EIS as a non-destructive diagnostic tool for identifying mechanical damage in LIBs. Full article
(This article belongs to the Section Battery Performance, Ageing, Reliability and Safety)
Show Figures

Graphical abstract

18 pages, 2559 KB  
Article
Calibration of a Capacitive Coupled Ring Resonator for Non-Invasive Measurement of Wood Moisture Content
by Livio D’Alvia, Ludovica Apa, Emanuele Rizzuto, Erika Pittella and Zaccaria Del Prete
Instruments 2026, 10(1), 11; https://doi.org/10.3390/instruments10010011 - 5 Feb 2026
Viewed by 240
Abstract
The accurate and non-invasive measurement of moisture content in wood is essential for the preservation of historical and artistic artifacts. This study presents the calibration of a planar Microwave Planar Capacitive Coupled Ring Resonator (MPCCRR) designed to indirectly and non-destructively assess the water [...] Read more.
The accurate and non-invasive measurement of moisture content in wood is essential for the preservation of historical and artistic artifacts. This study presents the calibration of a planar Microwave Planar Capacitive Coupled Ring Resonator (MPCCRR) designed to indirectly and non-destructively assess the water content in wood samples. The method relies on analyzing shifts in the resonant frequencies and variations in the transmission parameter |S21| resulting from changes in the material’s dielectric permittivity. After preliminary characterization via parametric simulations (εr = 1–10) and validation with low-permittivity reference materials, the sensor was tested on three wood species (poplar, fir, beech), including measurements at two sensor positions and with different grain orientations. The results demonstrate a monotonic, repeatable response to increasing moisture content with frequency shifts up to ≈220 MHz and normalized sensitivities ranging from 3 to 9 MHz/% water content, depending on species and measurement position. Position 2 showed the greatest sensitivity due to stronger field–sample interaction, while Position 1 provided a quasi-isotropic response with excellent repeatability. Linear regression analyses revealed good correlations between the frequency shifts and the gravimetric water content (R2 ≥ 0.85). The MPCCRR sensor therefore proves to be a promising tool for the non-invasive monitoring of wood moisture, which is particularly suitable for the low-moisture range encountered in cultural heritage conservation, with an estimated moisture uncertainty of 0.12–0.35% under controlled laboratory conditions. Full article
(This article belongs to the Section Sensing Technologies and Precision Measurement)
Show Figures

Figure 1

16 pages, 1186 KB  
Article
Proteomic Profiles of Seminal Plasma in Individuals with Secondary Infertility: Insights into the Involvement of Oxidative Stress
by Raneen Sawaid Kaiyal, Sromona D. Mukherjee, Manesh Kumar Panner Selvam, Aaron W. Miller, Sarah C. Vij and Scott D. Lundy
J. Clin. Med. 2026, 15(3), 1173; https://doi.org/10.3390/jcm15031173 - 2 Feb 2026
Viewed by 291
Abstract
Background/Objectives: Male infertility, including primary and secondary infertility, is significantly influenced by oxidative stress, which disrupts sperm function and fertility. Seminal plasma, a protein-rich fluid essential for sperm protection and function, represents a valuable source for identifying biomarkers through proteomic analysis. While [...] Read more.
Background/Objectives: Male infertility, including primary and secondary infertility, is significantly influenced by oxidative stress, which disrupts sperm function and fertility. Seminal plasma, a protein-rich fluid essential for sperm protection and function, represents a valuable source for identifying biomarkers through proteomic analysis. While previous studies have explored seminal plasma proteins in fertility, the specific proteomic changes associated with oxidative stress in secondary infertility remain unclear. This study aimed to characterize these alterations by analyzing seminal plasma from three groups: men with secondary infertility, fertile donors with high oxidative stress, and fertile donors without oxidative stress. Methods: Pooled semen samples from each group underwent quantitative proteomics analysis using advanced mass spectrometry, with subsequent bioinformatic analysis using tools like DAVID, STRING, and IPA for identifying differentially expressed proteins (DEPs). Results: Quantitative proteomic analysis identified 377 DEPs in secondary infertility and 523 DEPs in fertile donors with high oxidative stress compared to controls. Bioinformatic analysis revealed seven shared pathways, including acute-phase response signaling, organismal injury, cellular movement, cell-to-cell signaling, free radical scavenging, immune cell trafficking, and Hematological system development. Notably, C3 and SERPINA3 exhibited significant alterations, along with proteins involved in sperm motility, capacitation, and fertilization, suggesting their potential roles in impaired fertility. Conclusions: These findings underscore the link between oxidative stress and secondary infertility and highlight specific seminal plasma proteins as potential biomarkers and therapeutic targets for diagnosing and treating male infertility. Full article
(This article belongs to the Special Issue Latest Research on Male Infertility)
Show Figures

Figure 1

24 pages, 6996 KB  
Article
Study on Thermal Aging Characteristics of Aerospace Motor Polyimide-Enameled Wires Based on Arrhenius Law
by Zihan Wang, Yongzhi Liu, Tianxing Li, Peirong Zhu, Guodong Niu and Haoran Du
Electronics 2026, 15(3), 593; https://doi.org/10.3390/electronics15030593 - 29 Jan 2026
Viewed by 384
Abstract
The windings of aerospace motors are fabricated using enameled wires; with polyimide (PI) serving as the primary material for their insulating enamel coatings, thermal aging is the predominant factor contributing to insulation failure in enameled wires. The prolonged natural aging process of enameled [...] Read more.
The windings of aerospace motors are fabricated using enameled wires; with polyimide (PI) serving as the primary material for their insulating enamel coatings, thermal aging is the predominant factor contributing to insulation failure in enameled wires. The prolonged natural aging process of enameled wires, coupled with the complexity and sluggish variation rates of dielectric parameters used for aging monitoring, presents significant challenges in developing a universal method for assessing insulation performance. To address this challenge, our study determined accelerated aging conditions based on the Arrhenius law, fabricated twisted-pair specimens, and implemented a step-stress aging protocol, in order to monitor the insulation capacitance (IC) and dielectric dissipation factor (tan δ) of the sample. Finally, a two-parameter Weibull distribution plot was established to characterize the relationship between service life and failure probability. Initial-value normalization combined with B-spline interpolation was employed to construct IC–life correlation curves. A novel method for monitoring PI-enameled wire insulation life using IC variation rate was proposed and experimentally validated, providing a methodological framework for lifespan prediction of aerospace motor windings. Finally, a two-parameter Weibull distribution plot was established to characterize the relationship between service life and failure probability. Initial-value normalization combined with B-spline interpolation was employed to construct IC–life correlation curves. The rationality of the method using IC change rate to monitor the insulation lifetime of polyimide-enameled wire was verified, the lifetime assessment of aviation motor stator windings was achieved by monitoring corresponding dielectric parameters, and a reference standard for the maintenance and support of aviation equipment was provided. Full article
Show Figures

Figure 1

16 pages, 1004 KB  
Article
Evaluation of Muscle Oxygenation Responses to Eccentric Exercise and Recovery Enhancement Using Capacitive–Resistive Electric Transfer and Vibration Therapy
by Łukasz Oleksy, Anna Mika, Maciej Daszkiewicz, Martyna Sopa, Miłosz Szczudło, Maciej Kuchciak, Artur Stolarczyk, Olga Adamska, Paweł Reichert, Zofia Dzięcioł-Anikiej and Renata Kielnar
J. Clin. Med. 2026, 15(2), 794; https://doi.org/10.3390/jcm15020794 - 19 Jan 2026
Viewed by 362
Abstract
Background: Although Capacitive–Resistive Electric Transfer (TECAR) and vibration therapy (VT) are increasingly used in sports recovery, their effects on muscle oxygenation remain unclear. Objectives: This study compared the short-term influence of TECAR and VT on muscle oxygenation following eccentric exercise in young, active [...] Read more.
Background: Although Capacitive–Resistive Electric Transfer (TECAR) and vibration therapy (VT) are increasingly used in sports recovery, their effects on muscle oxygenation remain unclear. Objectives: This study compared the short-term influence of TECAR and VT on muscle oxygenation following eccentric exercise in young, active adults. We hypothesized that both interventions would support early metabolic recovery, as reflected by changes in muscle oxygenation, and potentially reduce the risk of musculoskeletal overuse. Methods: Forty-one young, recreationally active adults (age: 19 ± 2 years; height: 168 ± 9 cm; body mass: 63 ± 13 kg) were randomized into two groups: TECAR therapy and VT. Muscle oxygenation was assessed at baseline, post-exercise, and post-intervention using the arterial occlusion method with a MOXY muscle oxygenation monitor (Fortiori Design LLC, USA). The primary variables were mVO2 (muscle oxygen consumption), ΔSmO2 (change in oxygen saturation during occlusion), and ΔtHb (change in hemoglobin level during occlusion). Data were analyzed using a two-way repeated-measures ANOVA with post hoc Tukey tests, and statistical significance was set at p < 0.05. Results: Eccentric exercise significantly reduced mVO2 in both groups (VT: −0.18 ± 0.40 to −1.62 ± 0.70; TECAR: −0.12 ± 0.40 to −1.24 ± 0.70), indicating decreased metabolic demand. Following recovery, mVO2 increased in both groups (VT: −0.86 ± 0.50; TECAR: −0.35 ± 0.40), with no significant between-group differences (p > 0.05). ΔSmO2 also decreased after exercise (VT: −0.7 ± 0.4 to −3.2 ± 0.9; TECAR: −0.9 ± 0.6 to −3.45 ± 0.7). After recovery, ΔSmO2 partially returned to baseline (VT: −2.6 ± 0.8; TECAR: −1.35 ± 0.4), with no significant between-group differences. ΔtHb increased following exercise in both groups (VT: 0.03 ± 0.04 to 0.13 ± 0.09; TECAR: 0.03 ± 0.04 to 0.15 ± 0.07) and decreased after recovery to similar levels (VT: −0.05 ± 0.05; TECAR: −0.06 ± 0.04; p > 0.05). Conclusions: Both TECAR and VT were associated with improved muscle oxygenation during early recovery after eccentric exercise, as reflected by increases in mVO2 and comparable ΔtHb responses. Although ΔSmO2 tended to decrease more after VT, this difference was not statistically significant and should be interpreted cautiously. Overall, both modalities appear to be effective recovery-supporting strategies, while further controlled studies are needed to clarify their role in different athletic populations and exercise contexts. Full article
(This article belongs to the Special Issue Clinical Aspects of Return to Sport After Injuries: 2nd Edition)
Show Figures

Figure 1

16 pages, 2923 KB  
Article
Functional and Molecular Characterization of Melamine-Induced Disruption of Human Spermatozoa via Oxidative Stress and Apoptotic Pathways: An In Vitro Study
by Francesca Paola Luongo, Eugenia Annunzi, Rosetta Ponchia, Francesca Girolamo, Giuseppe Morgante, Paola Piomboni and Alice Luddi
Antioxidants 2026, 15(1), 122; https://doi.org/10.3390/antiox15010122 - 17 Jan 2026
Viewed by 455
Abstract
Melamine, a nitrogen-rich industrial chemical, has raised increasing concern as an emerging environmental contaminant with potential reproductive toxicity. While its nephrotoxic effects are well established, the direct impact of melamine on human sperm remains poorly defined. In this study, we investigated the in [...] Read more.
Melamine, a nitrogen-rich industrial chemical, has raised increasing concern as an emerging environmental contaminant with potential reproductive toxicity. While its nephrotoxic effects are well established, the direct impact of melamine on human sperm remains poorly defined. In this study, we investigated the in vitro effects of melamine on human sperm, under both capacitating and non-capacitating conditions. Functional analyses revealed that the exposure to 0.8 mM melamine, the highest non-cytotoxic concentration in vitro, significantly compromised sperm motility and disrupted key capacitation processes, including tyrosine phosphorylation patterns, cholesterol efflux, and the acrosome reaction. Molecular assessments demonstrated melamine-induced mitochondrial dysfunction, characterized by COX4I1 downregulation, reduced mitochondrial membrane potential, and altered reactive oxygen species production. In parallel, gene expression analyses revealed the activation of apoptotic pathways, with the upregulation of BAX and downregulation of BCL2, changes that were more pronounced during capacitation. Furthermore, melamine exposure significantly increased sperm DNA fragmentation and denaturation, indicating genotoxic stress. Collectively, these findings demonstrate that even low, non-cytotoxic concentrations of melamine compromise sperm function by disrupting capacitation, mitochondrial activity, and genomic integrity. This study identifies capacitation as a critical window of vulnerability and underscores the need to consider melamine as a potential environmental risk factor for male reproductive health. Full article
Show Figures

Figure 1

15 pages, 4871 KB  
Article
Numerical Simulation and Experimental Investigation of Conductive Carbon Fiber-Reinforced Asphalt Concrete
by Yusong Yan, Lingjuan Huang, Pengzhe Xie, Bin Lei and Hanbing Zhao
Buildings 2026, 16(2), 369; https://doi.org/10.3390/buildings16020369 - 15 Jan 2026
Viewed by 246
Abstract
Numerical simulation of the electrical conductivity of carbon fiber-reinforced asphalt concrete is essential for understanding its electrical behavior, yet research in this area remains limited. This study prepared six groups of Marshall specimens with carbon fiber (CF) contents of 0.1 wt%, 0.2 wt%, [...] Read more.
Numerical simulation of the electrical conductivity of carbon fiber-reinforced asphalt concrete is essential for understanding its electrical behavior, yet research in this area remains limited. This study prepared six groups of Marshall specimens with carbon fiber (CF) contents of 0.1 wt%, 0.2 wt%, 0.3 wt%, 0.4 wt%, 0.5 wt%, and 0.6 wt%. The resistivity and asphalt concrete (AC) impedance spectra were measured to analyze the effect of fiber content on electrical performance. Nyquist diagrams were fitted to establish an equivalent circuit model, and a representative volume element (RVE) finite element model was developed. The Generalized Effective Medium (GEM) equation was employed to fit the resistivity data. The results show that the resistivity exhibits a two-stage characteristic—an abrupt decrease followed by stabilization, with an optimal CF content range of 0.2–0.4 wt%. Among the equivalent circuit parameters, the contact resistance (R1) and tunneling resistance (R2) significantly decreased, the growth of interface capacitance (C1) slowed, the constant phase element ZQ increased, and the non-monotonic change of volume resistance (R3) reflected the heterogeneity of the internal void distribution of the material. The finite element numerical solution for resistivity, derived from the GEM equation, aligns well with experimental values, validating the proposed simulation approach. Full article
Show Figures

Figure 1

Back to TopTop