Sign in to use this feature.

Years

Between: -

Subjects

remove_circle_outline
remove_circle_outline
remove_circle_outline
remove_circle_outline
remove_circle_outline
remove_circle_outline

Journals

Article Types

Countries / Regions

Search Results (14)

Search Parameters:
Keywords = breeding advice

Order results
Result details
Results per page
Select all
Export citation of selected articles as:
17 pages, 3699 KB  
Article
Soybean Cultivar Breeding Has Increased Yields Through Extended Reproductive Growth Periods and Elevated Photosynthesis
by Hongbao Sun, Shuaijie Shen, Jingya Yang, Jun Zou, Matthew Tom Harrison, Zechen Wang, Jiaqi Hu, Haiyu Guo, Renan Caldas Umburanas, Yunlong Zhai, Xinya Wen, Fu Chen and Xiaogang Yin
Plants 2025, 14(11), 1675; https://doi.org/10.3390/plants14111675 - 30 May 2025
Viewed by 1288
Abstract
Despite being one of China’s largest soybean (Glycine max L. Merr.) production areas, the Huanghuaihai Farming Region (HFR) has long been plagued by suboptimal yields. While cultivar development has contributed to yield gains in the past, whether such breeding will afford resilience [...] Read more.
Despite being one of China’s largest soybean (Glycine max L. Merr.) production areas, the Huanghuaihai Farming Region (HFR) has long been plagued by suboptimal yields. While cultivar development has contributed to yield gains in the past, whether such breeding will afford resilience under more adverse climatic conditions expected in future remains an open question. Here, we conducted two-year field experiments to contrast the growth and development of soybean cultivars released between 1960 and 2010 in the HFR. We found that cultivar breeding significantly influenced phenology, with contemporary cultivars having shorter and longer vegetative and reproductive growth phases, respectively. Grain filling duration of modern cultivars (LD11, HD14, JD21, and QH34) was 10 days longer than that of older cultivars (JX23 and WF7). Maturity height of modern cultivars decreased over time to a current value of ~80 cm, despite having higher leaf area index (LAI) and SPAD values compared with older cultivars during reproductive development. The quantum yield of electron transport in photosystem I, quantum yield of electron transport chain, photosynthetic performance index, stomatal conductance, net photosynthetic rate, and Rubisco activity of contemporary cultivars was stronger than those of older cultivars during grain filling. Prolonged grain filling duration, higher LAI, greater light interception, and stronger photosynthetic capacity evoked greater rates of grain filling, leading to higher grain weight, seed number, and yield. Genetic evolution of the cultivars over time, warmer conditions, and more precipitation together afforded longer reproductive stages. Our results indicate that yield gains have been realized primarily by cultivar breeding, and to a lesser extent, beneficial climate change. We highlight dynamic source/sink relationships underpinning the co-evolution of photosynthetic traits through soybean breeding, and provide practical advice to guide future breeding efforts. Full article
Show Figures

Figure 1

20 pages, 1359 KB  
Review
The Origin, Applications, and Breeding Goals of Jujube in China
by Menghan Wu, Yaoxi Liu, Tingjian Jiang, Yiteng Liu, Zhuo Chen, Xiaofei Wang, Huafeng Yue, Fangdong Li, Gaopu Zhu and Mengmeng Zhang
Horticulturae 2025, 11(1), 37; https://doi.org/10.3390/horticulturae11010037 - 3 Jan 2025
Cited by 4 | Viewed by 5136
Abstract
Jujube (Ziziphus jujuba Mill.) is one of the three traditional woody crop species in China, where it originated from the middle and lower reaches of the Yellow River. Jujube is considered one of the oldest cultivated fruit trees species in the world, [...] Read more.
Jujube (Ziziphus jujuba Mill.) is one of the three traditional woody crop species in China, where it originated from the middle and lower reaches of the Yellow River. Jujube is considered one of the oldest cultivated fruit trees species in the world, as its utilization can be traced back to more than 7000 years ago. The jujube has important nutritional, economic, and ecological values, hence it is well received by both planters and consumers. At present, jujube cultivation has spread to more than 48 countries and provides a pathway for Chinese farmers to produce a lucrative cash crop. Jujube is regarded as a superfruit of the future due to its excellent nutritional profile. Social progress and economic shifts leading to the improvement of living standards influence the value of jujube to consumers, who have gradually shifted toward functional foods, while at the same time, consumer desires and environmental pressures change the breeding goals for new jujube varieties. In this review, we summarize the origin, classification, and historical, as well as modern, uses of jujube. We also provide some advice on the establishment of breeding objectives in this new period of jujube development. This review aims to provide useful references for researchers new to jujube, to guide shareholders in the jujube industry, and to formulate breeding objectives for the modern development of elite jujube cultivars. Full article
Show Figures

Figure 1

10 pages, 378 KB  
Review
Animal Welfare Guidelines for International Development Organisations in the Global South
by Paul Ssuna, Andrew Crump and Karin Siegmund
Animals 2024, 14(13), 2012; https://doi.org/10.3390/ani14132012 - 8 Jul 2024
Cited by 3 | Viewed by 2923
Abstract
International development organisations have improved billions of human lives in the Global South. However, in both their projects and advice to governments, most of these organisations neglect animal welfare. This blindspot matters. Poor welfare standards risk the organisation’s reputation, particularly with donors; they [...] Read more.
International development organisations have improved billions of human lives in the Global South. However, in both their projects and advice to governments, most of these organisations neglect animal welfare. This blindspot matters. Poor welfare standards risk the organisation’s reputation, particularly with donors; they reduce livestock lifespans and productivity, harming recipients; and they cause animals unnecessary pain and suffering. Here, we set out animal welfare guidelines for international development organisations. They were developed through extensive stakeholder engagement with organisations, donors, and recipients, especially in Africa. To comprehensively cover animal welfare, the guidelines encompass governance structure within the organisation, staff training, standard operating procedures, water, food, housing, social isolation, enrichment, drainage and waste disposal, disease, invasive procedures, transport, slaughter, breeds, record-keeping, and monitoring and evaluation of success. We urge international development organisations to adopt and institutionalise these guidelines, so they promote good animal welfare. Full article
(This article belongs to the Section Animal Welfare)
Show Figures

Figure 1

20 pages, 273 KB  
Article
UK Dog Owners’ Pre-Acquisition Information- and Advice-Seeking: A Mixed Methods Study
by Rebecca Mead, Katrina E. Holland, Rachel A. Casey, Melissa M. Upjohn and Robert M. Christley
Animals 2024, 14(7), 1033; https://doi.org/10.3390/ani14071033 - 28 Mar 2024
Cited by 2 | Viewed by 4423
Abstract
Dogs are the most common pet animal species in the UK. Little is known about information and advice gathering within the process of dog acquisition, nor what pre-acquisition research encompasses. This study aimed to better understand the preparatory research undertaken by prospective dog [...] Read more.
Dogs are the most common pet animal species in the UK. Little is known about information and advice gathering within the process of dog acquisition, nor what pre-acquisition research encompasses. This study aimed to better understand the preparatory research undertaken by prospective dog owners in the UK. A 2019 online survey collected quantitative and qualitative data about dog acquisition. Analyses within this study focused on a subset of these current (n = 4381) and potential (n = 2350) owners who had undertaken research, or who reported planning to do so, before acquiring a dog. Additional qualitative data were collected through semi-structured interviews with current (n = 24) and potential (n = 8) dog owners. Among those current owners who had sought information or advice, websites were the most common source of information (76%), followed by family and friends (70%), and online forums (51%). Similar patterns were seen among potential owners. Qualitative data revealed that information was commonly sought on the following: general information about dogs; information about breeds or types of dogs; owner requirements and dog suitability; aspects of dog ownership; and how to source a dog. The majority of prospective owners stated that they had found all the information they wanted (96% of current owners and 90% of potential owners) but some respondents found conflicting advice from different sources and did not know which sources to trust. Our study shows that, for some prospective owners, research into various aspects of dog acquisition and ownership is important. Knowing where to look for correct and unbiased advice, particularly online, is particularly important. Understanding the pre-acquisition research that owners undertake, including the sources they use, information they are interested in finding, and the challenges they face, is of interest to animal welfare and veterinary organisations and those involved in rehoming and selling dogs. This information may help inform interventions aimed at improving the knowledge and decisions made by potential dog owners. Full article
12 pages, 1308 KB  
Article
“Have You Seen This Drivel?” A Comparison of How Common Health Issues Are Discussed within Brachycephalic and Non-Brachycephalic Dog Breed Groups on Social Media
by Kitty Phillips, Carrie Stewart, Taryn Johnston and Daniel S. Mills
Animals 2024, 14(5), 757; https://doi.org/10.3390/ani14050757 - 28 Feb 2024
Cited by 2 | Viewed by 4350
Abstract
As brachycephalic dog breed ownership increases, there is a growing concern for the welfare of these breeds due to extreme brachycephalism. Understanding the motivations and behaviours of those choosing to own these breeds is important if we wish to address these concerns. The [...] Read more.
As brachycephalic dog breed ownership increases, there is a growing concern for the welfare of these breeds due to extreme brachycephalism. Understanding the motivations and behaviours of those choosing to own these breeds is important if we wish to address these concerns. The aim of this study was to investigate how owners of brachycephalic and non-brachycephalic dog breeds use social media dog breed groups to discuss common health issues. The purpose of Facebook posts in relation to common health issues, owner awareness of health issues and the role of Facebook facilitated social support were explored between brachycephalic and non-brachycephalic dog owners. Twelve Facebook breed goups were selected (brachycephalic breed groups, n = 6, non-brachycephalic breed groups, n = 6). Using key word searches we extracted the first twenty posts from each group. Thematic analysis revealed three overarching themes: advice seeking, advice giving and community bonding mechanisms. Whilst the purpose of posting did not differ between groups, non-brachycephalic owners appeared to display greater awareness of breed-specific health issues, whilst social support played a more prominent role in brachycephalic groups. This research highlights that social media groups can act as platforms for knowledge exchange and emotional support. These could be utilised by owners, veterinarians and welfare organisations to more effectively enhance dog health and wellbeing. Full article
(This article belongs to the Section Animal Welfare)
Show Figures

Figure 1

13 pages, 980 KB  
Article
A Comparative Analysis of Carbon Footprint in the Andalusian Autochthonous Dairy Goat Production Systems
by Juan Manuel Mancilla-Leytón, Eduardo Morales-Jerrett, Sara Muñoz-Vallés and Yolanda Mena
Animals 2023, 13(18), 2864; https://doi.org/10.3390/ani13182864 - 9 Sep 2023
Cited by 4 | Viewed by 2169
Abstract
The small ruminant livestock sector faces the challenge of reducing greenhouse gas (GHG) emissions. Carbon footprint (CF) studies on dairy goats, the most widely used indicator to quantify the impact of livestock farming on global warming, are still few. The aim of this [...] Read more.
The small ruminant livestock sector faces the challenge of reducing greenhouse gas (GHG) emissions. Carbon footprint (CF) studies on dairy goats, the most widely used indicator to quantify the impact of livestock farming on global warming, are still few. The aim of this study was to calculate the CF of the different production systems of autochthonous dairy goat breeds presently occurring in Andalusia (S Spain) and identify systems and practices that can minimize their environmental impact in these terms. Twenty-one farms were monitored during a year, obtaining valuable information that allowed the CF calculation on a “cradle-to-gate” approach, taking into account both GHG emissions at the farm level and carbon sink by vegetation associated with land-based systems. Results showed similar CF values for the analyzed systems (1.42, 1.04, 1.15, and 1.17 kg CO2-eq kg−1 fat–protein corrected milk for indoor systems without associated crops, indoor systems with associated crops, grazing systems with high feed supply, and pastoral systems, respectively). To minimize their environmental impact, specific actions must be developed for each system, particularly regarding genetic improvement, reproductive and feeding management, including pasture management, and the integration of livestock activity into the bio-circular economy with the help of professional advice. Full article
(This article belongs to the Special Issue Feature Papers in the 'Small Ruminants' Section)
Show Figures

Figure 1

15 pages, 2232 KB  
Article
Development of Yorkshire Terrier Dentition
by Corrin Wallis, Francesca Solmi, Ilaria Pesci, Neil Desforges and Lucy J. Holcombe
Vet. Sci. 2023, 10(7), 406; https://doi.org/10.3390/vetsci10070406 - 21 Jun 2023
Cited by 3 | Viewed by 2844
Abstract
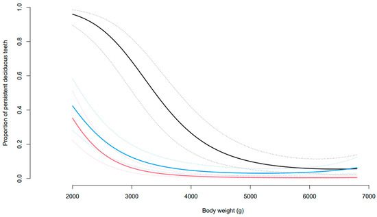
The development of dentition in dogs has been associated with several problems including tooth over-crowding, missing permanent dentition, and persistent deciduous teeth (PDT). Information on dentition development in different breeds is lacking. This study of 61 Yorkshire terriers aimed to determine the (i) [...] Read more.
The development of dentition in dogs has been associated with several problems including tooth over-crowding, missing permanent dentition, and persistent deciduous teeth (PDT). Information on dentition development in different breeds is lacking. This study of 61 Yorkshire terriers aimed to determine the (i) average age at deciduous tooth exfoliation, (ii) average age at permanent tooth eruption, (iii) PDT incidence, and influencing factors such as body weight. The ages of exfoliation of deciduous teeth and eruption of permanent dentition were influenced by body weight and tooth type. These dentition changes tended to occur later in dogs ≤ 3 kg versus dogs > 5 kg. Generally, incisors were exfoliated first, followed by premolars and then canines. At a body weight of 4.5 kg, the middle of the data range, the estimated age at loss of deciduous teeth (with 95% confidence intervals) was 21.9 (21.1, 22.9) weeks for incisors, 26.1 (24.9, 27.4) weeks for canines, and 23.9 (22.9, 24.9) weeks for premolar. The estimated age at eruption of permanent dentition was 22.3 (21.6, 23.0) weeks for incisors, 23.8 (23.0, 24.6) weeks for canines, 24.7 (24.0, 25.5) weeks for premolars, and 26.4 (25.5, 27.3) for molar teeth. However, this sequence was disrupted in dogs ≤ 3 kg. Yorkshire terriers had a high incidence of PDT. At a body weight of 4.5 kg, the estimated proportion of PDT was: incisors 0.86% (0.32, 2.31), canines 15.62% (7.62, 29.37) and premolars 3.57% (1.62, 7.66). Canines constituted the most frequently retained tooth type, with 89.1% retained in dogs ≤ 3 kg compared to 12.0% in dogs > 5 kg. This information will enable veterinarians to provide personalised advice regarding the oral care requirements for Yorkshire terriers and highlights the need to regularly monitor this breed between the ages of two and seven months, during the active phases of tooth development. Full article
(This article belongs to the Section Veterinary Microbiology, Parasitology and Immunology)
Show Figures

Figure 1

15 pages, 5435 KB  
Article
Current Status and Complexity of Three Begomovirus Species in Pepper Plants in Lowlands and Highlands in Java Island, Indonesia
by Andi Wahyono, Rudi Hari Murti, Sedyo Hartono, Tri Rini Nuringtyas, Arman Wijonarko, Mulyantoro Mulyantoro, Deni Firmansyah, Ahmad Afifuddin and Innez Candri Gilang Purnama
Viruses 2023, 15(6), 1278; https://doi.org/10.3390/v15061278 - 30 May 2023
Cited by 17 | Viewed by 4319
Abstract
Three primary species from the Begomovirus genus, Pepper yellow leaf curl Indonesia virus (PepYLCIV), Tomato yellow leaf curl Kanchanaburi virus (TYLCKaV), and Tomato leaf curl New Delhi virus (ToLCNDV), are suspected of spreading throughout pepper production centers, and plants are infected by a [...] Read more.
Three primary species from the Begomovirus genus, Pepper yellow leaf curl Indonesia virus (PepYLCIV), Tomato yellow leaf curl Kanchanaburi virus (TYLCKaV), and Tomato leaf curl New Delhi virus (ToLCNDV), are suspected of spreading throughout pepper production centers, and plants are infected by a single species or a combination of two or three species. This study was conducted to provide complete information about the symptoms, incidence and severity, whitefly biotypes, as well as the dominance status of the three Begomovirus species in pepper-producing areas in Java. A DNA analysis was carried out on leaf samples to identify Begomovirus species and biotypes of B. tabaci collected from 18 areas (16 districts) in lowlands (<400 m asl) and highlands (>700 m asl). The DNA analysis showed that B. tabaci biotype B was the most commonly detected in all locations compared to the A, AN, and Q biotypes. The incidence of begomovirus infection was at a high level, 93% and 88.78% in the lowlands and highlands, respectively. However, the severity of begomovirus infection was significantly higher in the lowlands (54.50%) than in the highlands (38.11%). A single infection of PepYLCIV was most dominant in all locations sampled and caused severe infection, followed by a mixed infection with TYLCKaV. Therefore, the current status of begomovirus infection, especially PepYLCIV, can provide advice to farmers using more tolerant and resistant varieties as well as a breeding strategy for resistant pepper varieties. Full article
(This article belongs to the Section Viruses of Plants, Fungi and Protozoa)
Show Figures

Figure 1

22 pages, 1411 KB  
Essay
How Does Environmental Regulation Affect the Development of China’s Pig Industry
by Lingling Zhang, Yufeng Wang and Rahman Dunya
Sustainability 2023, 15(10), 8258; https://doi.org/10.3390/su15108258 - 18 May 2023
Cited by 8 | Viewed by 3014
Abstract
(1) Background: The pig production sector is a cornerstone in China’s agricultural industry and it urgently needs a transition from a conventional sector to one that is efficient, sustainable, and of high quality. (2) Methods: This study examines the effects of environmental regulation [...] Read more.
(1) Background: The pig production sector is a cornerstone in China’s agricultural industry and it urgently needs a transition from a conventional sector to one that is efficient, sustainable, and of high quality. (2) Methods: This study examines the effects of environmental regulation (ER) on the development of the pig industry (DPI) between 2005 and 2019. From the perspective of the breeding, production, and consumption industry chain, a comprehensive evaluation index system is used to assess the progress of the pig industry. Furthermore, the effects of ER on the DPI and its mechanism were evaluated using the FGLS and system-GMM. (3) Results: According to the empirical findings, ER exhibits a U-shaped non-linear effect on DPI in both high- and low-pig-production zones. Technological innovation and large-scale farming would lessen the detrimental effects of ER on DPI. Additionally, according to the outcomes of the implementation of local environmental protection policies, LER and DPI have an inverted U-shaped relationship in major producing areas and a U-shaped relationship in non-major producing areas. (4) Conclusions: This essay offers several solutions and advice, including strengthening environmental regulation legislation and encouraging breeding industry advancements. Full article
Show Figures

Figure 1

17 pages, 1131 KB  
Article
Do Your Homework as Your Heart Takes over When You Go Looking”: Factors Associated with Pre-Acquisition Information-Seeking among Prospective UK Dog Owners
by Rebecca Mead, Katrina E. Holland, Rachel A. Casey, Melissa M. Upjohn and Robert M. Christley
Animals 2023, 13(6), 1015; https://doi.org/10.3390/ani13061015 - 10 Mar 2023
Cited by 10 | Viewed by 5907
Abstract
The factors influencing why and how people decide to acquire a dog are not well understood and little is known about the extent to which prospective owners undertake preparatory research. This study aimed to better understand what factors influence whether prospective dog owners [...] Read more.
The factors influencing why and how people decide to acquire a dog are not well understood and little is known about the extent to which prospective owners undertake preparatory research. This study aimed to better understand what factors influence whether prospective dog owners in the UK conduct preparatory research. A 2019 online survey of current (n = 8050) and potential (n = 2884) dog owners collected quantitative and qualitative data. Additional qualitative data were collected through semi-structured interviews with current (n = 166) and potential (n = 10) dog owners. Of the current owners surveyed, 54% stated that they had looked for advice or information prior to acquiring their dog. Of potential owners, 68% reported already having looked for information, while a further 14% were planning to undertake research prior to acquiring a dog. Those with previous dog ownership experience were less likely to undertake pre-acquisition research, as were those who had worked with dogs. Demographic factors were also associated with the likelihood of conducting pre-acquisition research, with younger prospective owners being more likely to have undertaken research, as well as those with formal education qualifications. Among current owners, pre-acquisition research was more likely among those who acquired their dog through a breeder; a specific breed or a mix of two breeds; or as a puppy. Qualitative data were consistent with and added additional understanding and context to these findings. Almost half of current owners did not conduct pre-acquisition research, highlighting the need for increased awareness of its importance and the development of targeted interventions to encourage this activity. Understanding the different factors that influence whether dog owners undertake research may be of interest to animal welfare and veterinary organisations, in order to inform interventions to better prepare people for dog acquisition. Full article
(This article belongs to the Special Issue Dog–Human Relationships: Behavior, Physiology, and Wellbeing)
Show Figures

Figure 1

9 pages, 490 KB  
Article
Genetic Aspects of Corneal Sequestra in a Population of Persian, Himalayan and Exotic Cats
by Tom Schipper, Goedele Storms, Gerlinde Janssens, Sabine Schoofs, Eveline Capiau, Dieter Verdonck, Pascale Smets, Luc J. Peelman and Bart J. G. Broeckx
Animals 2022, 12(15), 2008; https://doi.org/10.3390/ani12152008 - 8 Aug 2022
Cited by 6 | Viewed by 2961
Abstract
Corneal sequestra are ophthalmic lesions that are remarkably common in Persian, Himalayan and exotic cats. In this study, the genetic aspects of this disease were investigated in a population of cats originating from a single cattery. Odds ratios were calculated for parents with [...] Read more.
Corneal sequestra are ophthalmic lesions that are remarkably common in Persian, Himalayan and exotic cats. In this study, the genetic aspects of this disease were investigated in a population of cats originating from a single cattery. Odds ratios were calculated for parents with affected offspring. The heritability of (owner-reported) corneal sequestra was estimated with a Markov chain Monte Carlo procedure. Well-phenotyped cases and controls were used for a genome-wide association study. Data from 692 cats originating from the cattery, of which 61 were affected, were used. Cats from two specific mothers had significantly higher odds of developing corneal sequestra, but no significant effect of the fathers was found (after correction for the mothers). The heritability of corneal sequestra was estimated to be 0.96. A genome-wide association study with 14 cases and 10 controls did not reveal an associated chromosomal region. The large effect that genetic factors had on the development of corneal sequestra in this study suggests that selective breeding could be an effective way to reduce the prevalence of this condition in these cat breeds. Full article
(This article belongs to the Special Issue (Epi) Genetic Disorders in Companion Animals)
Show Figures

Figure 1

8 pages, 514 KB  
Article
A SINE Insertion in F8 Gene Leads to Severe Form of Hemophilia A in a Family of Rhodesian Ridgebacks
by Alexandra Kehl, Anita Haug Haaland, Ines Langbein-Detsch and Elisabeth Mueller
Genes 2021, 12(2), 134; https://doi.org/10.3390/genes12020134 - 21 Jan 2021
Cited by 7 | Viewed by 2976
Abstract
Hemophilia A is the most common coagulation factor disorder in humans and dogs. The disease is characterized by the lack or diminished activity of Factor VIII (FVIII), caused by variants in the F8 gene and inherited as an X chromosomal trait. Two related [...] Read more.
Hemophilia A is the most common coagulation factor disorder in humans and dogs. The disease is characterized by the lack or diminished activity of Factor VIII (FVIII), caused by variants in the F8 gene and inherited as an X chromosomal trait. Two related male Rhodesian Ridgebacks were diagnosed with Hemophilia A due to reduced FVIII activity. The purpose of the study was to determine the genetic cause and give breeding advice for the remaining family members in order to eradicate the variant. By Sanger sequencing a short interspersed nuclear element (SINE) insertion in exon 14 of the F8 gene was found. Perfect correlation of this genetic variant with clinical signs of hemophilia A in the family tree, and the lack of this genetic variant in more than 500 unrelated dogs of the same and other breeds, confirms the hypothesis of this SINE being the underlying genetic cause of Hemophilia A in this family. The identification of clinically unaffected female carriers allows subsequent exclusion of these animals from breeding, to avoid future production of clinically affected male offspring and more subclinical female carriers. Full article
(This article belongs to the Special Issue Canine Genetics 2)
Show Figures

Figure 1

17 pages, 2769 KB  
Article
Integrative Transcriptome and Proteome Analysis Identifies Major Molecular Regulation Pathways Involved in Ramie (Boehmeria nivea (L.) Gaudich) under Nitrogen and Water Co-Limitation
by Jikang Chen, Gang Gao, Ping Chen, Kunmei Chen, Xiaofei Wang, Lianyang Bai, Chunming Yu and Aiguo Zhu
Plants 2020, 9(10), 1267; https://doi.org/10.3390/plants9101267 - 25 Sep 2020
Cited by 8 | Viewed by 3261
Abstract
Water and N are the most important factors affecting ramie (Boehmeria nivea (L.) Gaudich) growth. In this study, de novo transcriptome assembly and Tandem Mass Tags (TMT) based quantitative proteome analysis of ramie under nitrogen and water co-limitation conditions were performed, and [...] Read more.
Water and N are the most important factors affecting ramie (Boehmeria nivea (L.) Gaudich) growth. In this study, de novo transcriptome assembly and Tandem Mass Tags (TMT) based quantitative proteome analysis of ramie under nitrogen and water co-limitation conditions were performed, and exposed to treatments, including drought and N-deficit (WdNd), proper water but N-deficit (WNd), proper N but drought (WdN), and proper N and water (CK), respectively. A total of 64,848 unigenes (41.92% of total unigenes) were annotated in at least one database, including NCBI non-redundant protein sequences (Nr), Swiss-Prot, Protein family (Pfam), Gene Ontology (GO) and KEGG Orthology (KO), and 4268 protein groups were identified. Most significant changes in transcript levels happened under water-limited conditions, but most significant changes in protein level happened under water-limited conditions only with proper N. Poor correlation between differentially expressed genes (DEGs) and differentially expressed proteins (DEPs) was observed in ramie responding to the treatments. DEG/DEP regulation patterns related to major metabolic processes responding to water and N deficiency were analyzed, including photosynthesis, ethylene responding, glycolysis, and nitrogen metabolism. Moreover, 41 DEGs and 61 DEPs involved in regulating adaptation of ramie under water and N stresses were provided in the study, including DEGs/DEPs related to UDP—glucuronosyhransferase (UGT), ATP synthase, and carbonate dehydratase. The strong dependency of N-response of ramie on water conditions at the gene and protein levels was highlighted. Advices for simultaneously improving water and N efficiency in ramie were also provided, especially in breeding N efficient varieties with drought resistance. This study provided extensive new information on the transcriptome, proteome, their correlation, and diversification in ramie responding to water and N co-limitation. Full article
(This article belongs to the Special Issue Mineral Nutrition and Plant Abiotic Stress Resistance)
Show Figures

Figure 1

20 pages, 1580 KB  
Article
The Status of Pet Rabbit Breeding and Online Sales in the UK: A Glimpse into an Otherwise Elusive Industry
by Emma M. Gosling, Jorge A. Vázquez-Diosdado and Naomi D. Harvey
Animals 2018, 8(11), 199; https://doi.org/10.3390/ani8110199 - 6 Nov 2018
Cited by 17 | Viewed by 11138
Abstract
Conditions of pet rabbit breeding colonies and breeder practices are undocumented and very little is known about the pet rabbit sales market. Here, multiple methods were employed to investigate this sector of the UK pet industry. A freedom of information request sent to [...] Read more.
Conditions of pet rabbit breeding colonies and breeder practices are undocumented and very little is known about the pet rabbit sales market. Here, multiple methods were employed to investigate this sector of the UK pet industry. A freedom of information request sent to 10% of councils revealed confusion and inconsistency in licensing conditions. Data from 1-month of online sale adverts (3446) identified 646 self-declared breeders, of which 1.08% were licensed. Further, despite veterinary advice to vaccinate rabbits from five weeks, only 16.7% rabbits were vaccinated and 9.2% of adult rabbits were neutered. Thirty-three breeders completed a questionnaire of which 51.5% provided smaller housing than recommended, the majority housed rabbits singly and bucks were identified as most at risk of compromised welfare. However, most breeders provided enrichment and gave a diet compliant with recommended guidelines. Mini-lops and Netherland dwarfs were the most commonly sold breeds, both of which are brachycephalic, which can compromise their health and wellbeing. From sales data extrapolation, we estimate that 254,804 rabbits are purposefully bred for the UK online pet sales market each year. This data is the first of its kind and highlights welfare concerns within the pet rabbit breeding sector, which is unregulated and difficult to access. Full article
(This article belongs to the Section Companion Animals)
Show Figures

Figure 1

Back to TopTop