Soybean Cultivar Breeding Has Increased Yields Through Extended Reproductive Growth Periods and Elevated Photosynthesis
Abstract
1. Introduction
2. Results
2.1. Changing Growing Periods over Several Decades
2.2. Influence of Cultivar Breeding on Plant Height and Leaf Area Index
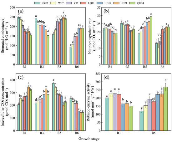
2.3. Impact of Plant Breeding on Relative Chlorophyll Content and Photosynthetic Traits
2.4. Variation in Grain Filling and Yield Component over Time
2.5. Determinants of Soybean Yield Formation
3. Discussion
3.1. Influence of Cultivar Breeding on Soybean Phenology
3.2. Effects of Cultivar Breeding on Phenotype and Photosynthesis
3.3. Implications and Perspectives
4. Materials and Methods
4.1. Experimental Site
4.2. Experimental Design
4.3. Measurements
4.3.1. Phenology
4.3.2. Leaf Area Index, Relative Chlorophyll Content (SPAD), and Photosynthesis
4.3.3. Grain Filling Rate
4.3.4. Yield and Yield Components
4.3.5. Data Analysis
5. Conclusions
Author Contributions
Funding
Data Availability Statement
Conflicts of Interest
Appendix A


References
- Nie, J.W.; Zhou, J.; Zhao, J.; Wang, X.Q.; Liu, K.; Wang, P.X.; Wang, S.; Yang, L.; Zang, H.D.; Harrison, M.T.; et al. Soybean Crops Penalize Subsequent Wheat Yield During Drought in the North China Plain. Front. Plant Sci. 2022, 13, 947132. [Google Scholar] [CrossRef] [PubMed]
- Zhao, C.; Liu, B.; Piao, S.L.; Wang, X.H.; Lobell, D.B.; Huang, Y.; Huang, M.T.; Yao, Y.T.; Bassu, S.; Ciais, P.; et al. Temperature increase reduces global yields of major crops in four independent estimates. Proc. Natl. Acad. Sci. USA 2017, 114, 9326–9331. [Google Scholar] [CrossRef] [PubMed]
- Yang, Y.; Zou, J.; Huang, W.H.; Olesen, J.E.; Li, W.J.; Rees, R.M.; Harrison, M.T.; Feng, B.; Feng, Y.P.; Chen, F.; et al. Drivers of soybean-based rotations synergistically increase crop productivity and reduce GHG emissions. Agric. Ecosyst. Environ. 2024, 372, 109094. [Google Scholar] [CrossRef]
- Westcott, P.; Hansen, J. USDA Agricultural Projections to 2025; No. (OCE-2016-1); Office of the Chief Economist, World Agricultural Outlook Board, USA Department of Agriculture: Washington, DC, USA, 2016.
- Zhang, L.; Zheng, H.Y.; Li, W.J.; Olesen, J.E.; Harrison, M.T.; Bai, Z.Y.; Zou, J.; Zheng, A.X.; Bernacchi, C.; Xu, X.Y.; et al. Genetic progress battles climate variability: Drivers of soybean yield gains in China from 2006 to 2020. Agron. Sustain. Dev. 2023, 43, 50. [Google Scholar] [CrossRef]
- Patil, G.; Mian, R.; Vuong, T.; Pantalone, V.; Song, Q.J.; Chen, P.Y.; Shannon, G.J.; Carter, T.C.; Nguyen, H.T. Molecular mapping and genomics of soybean seed protein: A review and perspective for the future. Theor. Appl. Genet. 2017, 130, 1975–1991. [Google Scholar] [CrossRef]
- Liu, S.L.; Zhang, M.; Feng, F.; Tian, Z.X. Toward a “Green Revolution” for Soybean. Mol. Plant 2020, 13, 688–697. [Google Scholar] [CrossRef]
- Li, M.W.; Jiang, B.J.; Han, T.F.; Zhang, G.H.; Lam, H.M. Genomic research on soybean and its impact on molecular breeding. Adv. Bot. Res. 2022, 102, 1–42. [Google Scholar] [CrossRef]
- Wei, W.; Li, Q.-T.; Chu, Y.-N.; Reiter, R.J.; Yu, X.-M.; Zhu, D.-H.; Zhang, W.-K.; Ma, B.; Lin, Q.; Zhang, J.-S.; et al. Melatonin enhances plant growth and abiotic stress tolerance in soybean plants. J. Exp. Bot. 2015, 66, 695–707. [Google Scholar] [CrossRef]
- Muleke, A.; Harrison, M.T.; de Voil, P.; Hunt, I.; Liu, K.; Yanotti, M.; Eisner, R. Earlier crop flowering caused by global warming alleviated by irrigation. Environ. Res. Lett. 2022, 17, 044032. [Google Scholar] [CrossRef]
- Phelan, D.C.; Harrison, M.T.; McLean, G.; Cox, H.; Pembletond, K.G.; Dean, G.J.; Parsons, D.; Richter, M.E.D.; Pengilley, G.; Hinton, S.J.; et al. Advancing a farmer decision support tool for agronomic decisions on rainfed and irrigated wheat cropping in Tasmania. Agric. Syst. 2018, 167, 113–124. [Google Scholar] [CrossRef]
- Beharav, A.; Hellier, B. Bolting and flowering response ofLactuca georgica, a wild lettuce relative, to low temperatures. Am. J. Plant Sci. 2020, 11, 2139–2154. [Google Scholar] [CrossRef]
- Egli, D.B.; Bruening, W.P. Source-sink relationships, seed sucrose levels and seed growth rates in soybean. Ann. Bot-Lond. 2001, 88, 235–242. [Google Scholar] [CrossRef]
- Sabbahi, R. Effects of Climate Change on Insect Pollinators and Implications for Food Security—Evidence and Recommended Actions; Springer: Berlin/Heidelberg, Germany, 2022; pp. 143–163. [Google Scholar]
- Kistner, E.J. Climate Change Impacts on the Potential Distribution and Abundance of the Brown Marmorated Stink Bug (Hemiptera: Pentatomidae) With Special Reference to North America and Europe. Environ. Entomol. 2017, 46, 1212–1224. [Google Scholar] [CrossRef] [PubMed]
- Aggarwal, P.; Vyas, S.; Thornton, P.; Campbell, B.M.; Kropff, M. Importance of considering technology growth in impact assessments of climate change on agriculture. Glob. Food Secur. Agric. Policy Econ. Environ. 2019, 23, 41–48. [Google Scholar] [CrossRef]
- Muleke, A.; Harrison, M.T.; Eisner, R.; de Voil, P.; Yanotti, M.; Liu, K.; Yin, X.G.; Wang, W.L.; Monjardino, M.; Zhao, J.; et al. Whole farm planning raises profit despite burgeoning climate crisis. Sci. Rep. 2022, 12, 17188. [Google Scholar] [CrossRef]
- Liu, Y.J.; Dai, L. Modelling the impacts of climate change and crop management measures on soybean phenology in China. J. Clean. Prod. 2020, 262, 121271. [Google Scholar] [CrossRef]
- Liu, K.; Harrison, M.T.; Wang, B.; Yang, R.; Yan, H.L.; Zou, J.; Liu, D.L.; Meinke, H.; Tian, X.H.; Ma, S.Y.; et al. Designing high-yielding wheat crops under late sowing: A case study in southern China. Agron. Sustain. Dev. 2022, 42, 29. [Google Scholar] [CrossRef]
- Ustun, A.; Allen, F.L.; English, B.C. Genetic progress in soybean of the US midsouth. Crop Sci. 2001, 41, 993–998. [Google Scholar] [CrossRef]
- Liu, G.; Yang, C.; Xu, K.; Zhang, Z.; Li, D.; Wu, Z.; Chen, Z. Development of yield and some photosynthetic characteristics during 82 years of genetic improvement of soybean genotypes in northeast China. Aust. J. Crop Sci. 2012, 6, 1416–1422. [Google Scholar]
- Jin, J.; Liu, X.B.; Wang, G.H.; Mi, L.; Shen, Z.B.; Chen, X.L.; Herbert, S.J. Agronomic and physiological contributions to the yield improvement of soybean cultivars released from 1950 to 2006 in Northeast China. Field Crops Res. 2010, 115, 116–123. [Google Scholar] [CrossRef]
- Morrison, M.J.; Voldeng, H.D.; Cober, E.R. Physiological changes from 58 years of genetic improvement of short-season soybean cultivars in Canada. Agron. J. 1999, 91, 685–689. [Google Scholar] [CrossRef]
- Koester, R.P.; Nohl, B.M.; Diers, B.W.; Ainsworth, E.A. Has photosynthetic capacity increased with 80years of soybean breeding? An examination of historical soybean cultivars. Plant Cell Environ. 2016, 39, 1058–1067. [Google Scholar] [CrossRef]
- Wang, C.J.; Wu, T.T.; Sun, S.; Xu, R.; Ren, J.J.; Wu, C.X.; Jiang, B.J.; Hou, W.S.; Han, T.F. Seventy-five Years of Improvement of Yield and Agronomic Traits of Soybean Cultivars Released in the Yellow-Huai-Hai River Valley. Crop Sci. 2016, 56, 2354–2364. [Google Scholar] [CrossRef]
- He, L.; Jin, N.; Yu, Q. Impacts of climate change and crop management practices on soybean phenology changes in China. Sci. Total Environ. 2020, 707, 135638. [Google Scholar] [CrossRef]
- Zheng, H.Y.; Zhang, L.; Sun, H.B.; Zheng, A.X.; Harrison, M.T.; Li, W.J.; Zou, J.; Zhang, D.T.; Chen, F.; Yin, X.G. Optimal sowing time to adapt soybean production to global warming with different cultivars in the Huanghuaihai Farming Region of China. Field Crops Res. 2024, 312, 109386. [Google Scholar] [CrossRef]
- Meier, E.A.; Thorburn, P.J.; Bell, L.W.; Harrison, M.T.; Biggs, J.S. Greenhouse Gas Emissions from Cropping and Grazed Pastures Are Similar: A Simulation Analysis in Australia. Front. Sustain. Food Syst. 2020, 3, 121. [Google Scholar] [CrossRef]
- Wang, S.; Liu, S.; Wang, J.; Yokosho, K.; Zhou, B.; Yu, Y.-C.; Liu, Z.; Frommer, W.B.; Ma, J.F.; Chen, L.-Q.; et al. Simultaneous changes in seed size, oil content and protein content driven by selection of SWEET homologues during soybean domestication. Natl. Sci. Rev. 2020, 7, 1776–1786. [Google Scholar] [CrossRef]
- Setiyono, T.D.; Weiss, A.; Specht, J.; Bastidas, A.M.; Cassman, K.G.; Dobermann, A. Understanding and modeling the effect of temperature and daylength on soybean phenology under high-yield conditions. Field Crops Res. 2007, 100, 257–271. [Google Scholar] [CrossRef]
- Kumagai, E.; Sameshima, R. Genotypic differences in soybean yield responses to increasing temperature in a cool climate are related to maturity group. Agric. For. Meteorol. 2014, 198, 265–272. [Google Scholar] [CrossRef]
- Tao, R.; Zhao, P.; Wu, J.; Martin, N.; Harrison, M.T.; Ferreira, C.; Kalantari, Z.; Hovakimyan, N. Optimizing Crop Management with Reinforcement Learning and Imitation Learning. In Proceedings of the Thirty-Second International Joint Conference on Artificial Intelligence, IJCAI 2023, Macao, China, 19–25 August 2023; pp. 6228–6236. [Google Scholar]
- Taylor, C.A.; Harrison, M.T.; Telfer, M.; Eckard, R. Modelled greenhouse gas emissions from beef cattle grazing irrigated leucaena in northern Australia. Anim. Prod. Sci. 2016, 56, 594–604. [Google Scholar] [CrossRef]
- Harrison, M.T. Climate change benefits negated by extreme heat. Nat. Food 2021, 2, 855–856. [Google Scholar] [CrossRef]
- Li, S.C.; Sun, Z.H.; Sang, Q.; Qin, C.; Kong, L.P.; Huang, X.; Liu, H.; Su, T.; Li, H.Y.; He, M.L.; et al. Soybean reduced internode 1 determines internode length and improves grain yield at dense planting. Nat. Commun. 2023, 14, 7939. [Google Scholar] [CrossRef]
- Morrison, M.J.; Voldeng, H.D.; Cober, E.R. Agronomic changes from 58 years of genetic improvement of short-season soybean cultivars in Canada. Agron. J. 2000, 92, 780–784. [Google Scholar] [CrossRef]
- Wilcox, J.R. Sixty years of improvement in publicly developed elite soybean lines. Crop Sci. 2001, 41, 1711–1716. [Google Scholar] [CrossRef]
- Zhang, D.S.; Sun, Z.X.; Feng, L.S.; Bai, W.; Yang, N.; Zhang, Z.; Du, G.J.; Feng, C.; Cai, Q.; Wang, Q.; et al. Maize plant density affects yield, growth and source-sink relationship of crops in maize/peanut intercropping. Field Crops Res. 2020, 257, 107926. [Google Scholar] [CrossRef]
- Tang, Y.; Lu, S.J.; Fang, C.; Liu, H.; Dong, L.D.; Li, H.Y.; Su, T.; Li, S.C.; Wang, L.S.; Cheng, Q.; et al. Diverse flowering responses subjecting to ambient high temperature in soybean under short-day conditions. Plant Biotechnol. J. 2023, 21, 782–791. [Google Scholar] [CrossRef]
- Gago, J.; Daloso, D.M.; Carriquí, M.; Nadal, M.; Morales, M.; Araújo, W.L.; Nunes-Nesi, A.; Flexas, J. Mesophyll conductance: The leaf corridors for photosynthesis. Biochem. Soc. Trans. 2020, 48, 429–439. [Google Scholar] [CrossRef]
- Raven, J.A. Rubisco: Still the most abundant protein of Earth? New Phytol. 2013, 198, 970. [Google Scholar] [CrossRef]
- Das, A.; Rushton, P.J.; Rohila, J.S. Metabolomic Profiling of Soybeans (Glycine max L. Merr.) Reveals the Importance of Sugar and Nitrogen Metabolism under Drought and Heat Stress. Plants 2017, 6, 21. [Google Scholar] [CrossRef]
- Li, D.; Chen, Z.; Xu, K.; Zhang, Z.; Wu, Z.; Ji, P.; Zhang, P. Changes of nitrogen content in leaf and its correlations with net photosynthetic rate of soybean cultivars released in different years. Chin. J. Oil Crop Sci. 2013, 35, 171–178. [Google Scholar]
- Li, B.; Gao, K.; Ren, H.; Tang, W. Molecular mechanisms governing plant responses to high temperatures. J. Integr. Plant Biol. 2018, 60, 757–779. [Google Scholar] [CrossRef]
- Hammad, H.M.; Chawla, M.S.; Jawad, R.; Alhuqail, A.; Bakhat, H.F.; Farhad, W.; Khan, F.; Mubeen, M.; Shah, A.N.; Liu, K.; et al. Evaluating the Impact of Nitrogen Application on Growth and Productivity of Maize Under Control Conditions. Front. Plant Sci. 2022, 13, 885479. [Google Scholar] [CrossRef]
- Paul, M.J.; Watson, A.; Griffiths, C.A. Linking fundamental science to crop improvement through understanding source and sink traits and their integration for yield enhancement. J. Exp. Bot. 2020, 71, 2270–2280. [Google Scholar] [CrossRef]
- Slafer, G.A.; Foulkes, M.J.; Reynolds, M.P.; Murchie, E.H.; Carmo-Silva, E.; Flavell, R.; Gwyn, J.; Sawkins, M.; Griffiths, S. A ‘wiring diagram’ for sink strength traits impacting wheat yield potential. J. Exp. Bot. 2023, 74, 40–71. [Google Scholar] [CrossRef]
- Harrison, M.T.; Evans, J.R.; Dove, H.; Moore, A.D. Recovery dynamics of rainfed winter wheat after livestock grazing 1. Growth rates, grain yields, soil water use and water-use efficiency. Crop Pasture Sci. 2011, 62, 947–959. [Google Scholar] [CrossRef]
- Harrison, M.T.; Evans, J.R.; Dove, H.; Moore, A.D. Recovery dynamics of rainfed winter wheat after livestock grazing 2. Light interception, radiation-use efficiency and dry-matter partitioning. Crop Pasture Sci. 2011, 62, 960–971. [Google Scholar] [CrossRef]
- Harrison, M.T.; Evans, J.R.; Moore, A.D. Using a mathematical framework to examine physiological changes in winter wheat after livestock grazing 2. Model validation and effects of grazing management. Field Crops Res. 2012, 136, 127–137. [Google Scholar] [CrossRef]
- Shahpari, S.; Allison, J.; Harrison, M.T.; Stanley, R. An Integrated Economic, Environmental and Social Approach to Agricultural Land-Use Planning. Land 2021, 10, 364. [Google Scholar] [CrossRef]
- Zhang, D.T.; Shen, S.J.; Bai, Z.Y.; Harrison, M.T.; Liu, K.; Rees, R.M.; Topp, C.F.E.; Zou, J.; Yang, Y.H.; Song, Z.W.; et al. Optimizing N rate in wheat-maize rotation to match long-term and inter-seasonal N turnover for high yield and sustainability using STICS. Field Crops Res. 2025, 322, 109718. [Google Scholar] [CrossRef]
- Shen, S.J.; Feng, B.; Zhang, D.T.; Zou, J.; Yang, Y.H.; Rees, R.M.; Topp, C.F.E.; Hu, S.Y.; Qiao, B.W.; Huang, W.H.; et al. Optimizing N applications increases maize yield and reduces environmental costs in a 12-year wheat-maize system. Field Crops Res. 2025, 322, 109741. [Google Scholar] [CrossRef]
- Tacarindua, C.R.P.; Shiraiwa, T.; Homma, K.; Kumagai, E.; Sameshima, R. The effects of increased temperature on crop growth and yield of soybean grown in a temperature gradient chamber. Field Crops Res. 2013, 154, 74–81. [Google Scholar] [CrossRef]
- Hu, Y.; Zhu, Y.; Yang, Y.; Zou, J.; Chen, F.; Yin, X. Changes of the planting structure of major food and oil crops in China from 1951 to 2015. J. China Agric. Univ. 2019, 24, 183–196. [Google Scholar]
- Ergo, V.V.; Veas, R.E.; Vega, C.R.C.; Lascano, R.; Carrera, C.S. Leaf photosynthesis and senescence in heated and droughted field-grown soybean with contrasting seed protein concentration. Plant Physiol. Biochem. 2021, 166, 437–447. [Google Scholar] [CrossRef] [PubMed]
- Yang, L.; Song, W.W.; Xu, C.L.; Sapey, E.; Jiang, D.; Wu, C.X. Effects of high night temperature on soybean yield and compositions. Front. Plant Sci. 2023, 14, 1065604. [Google Scholar] [CrossRef]









| Year | Cultivar | Grain Yield (kg ha−1) | 100-Grain Weight (g) | Pod Number (plant−1) | Seed Number (plant−1) | Seeds per Pod |
|---|---|---|---|---|---|---|
| 2022 | JX23 | 1580 ± 64 b | 13.3 ± 0.0 f | 50.4 ± 1.7 b | 89.8 ± 5.8 b | 1.8 ± 0.1 c |
| WF7 | 1683 ± 326 b | 15.6 ± 0.1 e | 43.9 ± 0.7 c | 89.3 ± 4.2 b | 2.0 ± 0.1 bc | |
| YJ5 | 2570 ± 392 a | 19.7 ± 0.3 d | 46.5 ± 3.4 bc | 95.9 ± 4.5 ab | 2.1 ± 0.2 bc | |
| LD11 | 3004 ± 127 a | 20.1 ± 0.1 c | 54.7 ± 3.2 a | 111.3 ± 14.7 a | 2.0 ± 0.2 bc | |
| HD14 | 2678 ± 364 a | 20.2 ± 0.2 c | 45.3 ± 0.3 bc | 101.4 ± 3.8 ab | 2.2 ± 0.1 ab | |
| JD21 | 2636 ± 498 a | 21.1 ± 0.1 b | 47.3 ± 1.8 bc | 100.2 ± 6.5 ab | 2.1 ± 0.1 ab | |
| QH34 | 3119 ± 553 a | 22.9 ± 0.2 a | 47.2 ± 0.8 bc | 112.8 ± 1.7 a | 2.4 ± 0.0 a | |
| 2023 | JX23 | 1563 ± 379 d | 14.4 ± 0.1 e | 52.3 ± 9.1 b | 70.7 ± 5.8 bc | 1.7 ± 0.1 c |
| WF7 | 1899 ± 46 d | 17.7 ± 0.1 d | 44.0 ± 1.0 c | 77.0 ± 7.5 c | 2.0 ± 0.1 bc | |
| YJ5 | 2372 ± 198 c | 19.9 ± 0.2 c | 52.7 ± 4.0 b | 82.0 ± 10.0 ab | 2.2 ± 0.1 ab | |
| LD11 | 2850 ± 415 abc | 20.1 ± 0.2 c | 65.3 ± 4.9 a | 103.3 ± 12.1 a | 1.9 ± 0.1 bc | |
| HD14 | 2587 ± 609 bc | 20.1 ± 0.1 c | 55.0 ± 2.0 b | 104.3 ± 9.0 a | 2.3 ± 0.1 a | |
| JD21 | 3089 ± 435 ab | 23.8 ± 0.4 b | 49.3 ± 7.5 bc | 97.0 ± 14.5 a | 2.3 ± 0.2 a | |
| QH34 | 3333 ± 299 a | 24.1 ± 0.1 a | 46.3 ± 2.1 bc | 96.3 ± 6.7 a | 2.5 ± 0.1 a | |
| ANOVA | Year (Y) | NS | *** | ** | *** | NS |
| Cultivars (V) | *** | *** | *** | *** | *** | |
| Y * V | * | *** | * | * | NS |
Disclaimer/Publisher’s Note: The statements, opinions and data contained in all publications are solely those of the individual author(s) and contributor(s) and not of MDPI and/or the editor(s). MDPI and/or the editor(s) disclaim responsibility for any injury to people or property resulting from any ideas, methods, instructions or products referred to in the content. |
© 2025 by the authors. Licensee MDPI, Basel, Switzerland. This article is an open access article distributed under the terms and conditions of the Creative Commons Attribution (CC BY) license (https://creativecommons.org/licenses/by/4.0/).
Share and Cite
Sun, H.; Shen, S.; Yang, J.; Zou, J.; Harrison, M.T.; Wang, Z.; Hu, J.; Guo, H.; Umburanas, R.C.; Zhai, Y.; et al. Soybean Cultivar Breeding Has Increased Yields Through Extended Reproductive Growth Periods and Elevated Photosynthesis. Plants 2025, 14, 1675. https://doi.org/10.3390/plants14111675
Sun H, Shen S, Yang J, Zou J, Harrison MT, Wang Z, Hu J, Guo H, Umburanas RC, Zhai Y, et al. Soybean Cultivar Breeding Has Increased Yields Through Extended Reproductive Growth Periods and Elevated Photosynthesis. Plants. 2025; 14(11):1675. https://doi.org/10.3390/plants14111675
Chicago/Turabian StyleSun, Hongbao, Shuaijie Shen, Jingya Yang, Jun Zou, Matthew Tom Harrison, Zechen Wang, Jiaqi Hu, Haiyu Guo, Renan Caldas Umburanas, Yunlong Zhai, and et al. 2025. "Soybean Cultivar Breeding Has Increased Yields Through Extended Reproductive Growth Periods and Elevated Photosynthesis" Plants 14, no. 11: 1675. https://doi.org/10.3390/plants14111675
APA StyleSun, H., Shen, S., Yang, J., Zou, J., Harrison, M. T., Wang, Z., Hu, J., Guo, H., Umburanas, R. C., Zhai, Y., Wen, X., Chen, F., & Yin, X. (2025). Soybean Cultivar Breeding Has Increased Yields Through Extended Reproductive Growth Periods and Elevated Photosynthesis. Plants, 14(11), 1675. https://doi.org/10.3390/plants14111675

