Sign in to use this feature.

Years

Between: -

Subjects

remove_circle_outline
remove_circle_outline
remove_circle_outline
remove_circle_outline
remove_circle_outline
remove_circle_outline
remove_circle_outline
remove_circle_outline
remove_circle_outline

Journals

remove_circle_outline
remove_circle_outline
remove_circle_outline
remove_circle_outline
remove_circle_outline
remove_circle_outline
remove_circle_outline
remove_circle_outline
remove_circle_outline
remove_circle_outline
remove_circle_outline
remove_circle_outline
remove_circle_outline
remove_circle_outline
remove_circle_outline
remove_circle_outline
remove_circle_outline
remove_circle_outline
remove_circle_outline
remove_circle_outline
remove_circle_outline
remove_circle_outline
remove_circle_outline
remove_circle_outline
remove_circle_outline

Article Types

Countries / Regions

remove_circle_outline
remove_circle_outline
remove_circle_outline
remove_circle_outline
remove_circle_outline
remove_circle_outline

Search Results (2,944)

Search Parameters:
Keywords = bound state

Order results
Result details
Results per page
Select all
Export citation of selected articles as:
16 pages, 1003 KB  
Article
Deep Learning for Joint Pilot, Channel Feedback and Sub-Array Hybrid Beamforming in FDD Massive MU-MIMO-OFDM Systems
by Kai Zhao, Haiyi Wu, Wei Yao and Yong Xiong
Electronics 2026, 15(6), 1255; https://doi.org/10.3390/electronics15061255 - 17 Mar 2026
Abstract
In frequency division duplex (FDD) massive multiple-input multiple-output orthogonal frequency division multiplexing (MIMO-OFDM) systems, the sub-array multi-user (MU) hybrid beamforming architecture is highly attractive because of its low hardware cost and high energy efficiency. However, downlink channel state information (CSI) acquisition and hybrid [...] Read more.
In frequency division duplex (FDD) massive multiple-input multiple-output orthogonal frequency division multiplexing (MIMO-OFDM) systems, the sub-array multi-user (MU) hybrid beamforming architecture is highly attractive because of its low hardware cost and high energy efficiency. However, downlink channel state information (CSI) acquisition and hybrid beamformer optimization remain challenging due to the large feedback overhead and the non-convexity of the beamforming design. To address these issues, we propose an end-to-end deep learning (DL) framework that jointly optimizes pilot training, CSI feedback, and hybrid beamforming, overcoming the limitations of conventional independently designed modules. At the core of the network, we introduce the star efficient location attention (StarELA) module, which combines the implicit high-dimensional representation capability of star operations (element-wise multiplication) with the fine-grained feature localization of efficient location attention (ELA). In addition, for wideband digital beamformer generation, we exploit inter-subcarrier correlation and design a frequency–domain seed generation and interpolation upsampling strategy, which significantly reduces network parameters. Experimental results show that the proposed method approaches the upper-bound performance of conventional hybrid beamforming with ideal CSI, while consistently outperforming existing benchmark methods. Full article
(This article belongs to the Section Microwave and Wireless Communications)
Show Figures

Figure 1

24 pages, 2066 KB  
Article
Reinforcement Learning-Based Warm Initialization for Constrained Open-System Quantum Optimal Control: A Controlled Budget-Matched RL-GRAPE Benchmark
by Daniele Gabriele and Lorenzo Ricciardi Celsi
Electronics 2026, 15(6), 1251; https://doi.org/10.3390/electronics15061251 - 17 Mar 2026
Abstract
Superconducting-qubit control is fundamentally constrained by decoherence, finite bandwidth, and hardware-limited drive amplitudes, making high-fidelity state preparation sensitive to optimizer initialization under non-convex open-system dynamics. We propose a hybrid reinforcement learning (RL)–quantum optimal control (QOC) pipeline in which a lightweight, tabular, model-free RL [...] Read more.
Superconducting-qubit control is fundamentally constrained by decoherence, finite bandwidth, and hardware-limited drive amplitudes, making high-fidelity state preparation sensitive to optimizer initialization under non-convex open-system dynamics. We propose a hybrid reinforcement learning (RL)–quantum optimal control (QOC) pipeline in which a lightweight, tabular, model-free RL agent is trained offline in simulation to generate feasible, bounded seed pulses, which are subsequently refined via GRAPE under Lindblad dynamics. Hard amplitude constraints are enforced consistently across both stages, ensuring strict feasibility throughout optimization. Performance is evaluated using a budget-matched protocol based on fidelity evaluations (F-evals), enabling controlled comparison with random-start multi-start GRAPE. On a transmon-like qubit benchmark with relaxation and dephasing, RL warm-starting reduces the median online refinement effort in the adopted finite-difference GRAPE implementation from 7568 to 3543 F-evals (2.14× reduction) while achieving terminal state fidelity ≥0.995 under identical constraints and evaluation budgets. We provide a theoretical interpretation of the improvement in terms of basin-of-attraction probability shaping in constrained control landscapes and an amortized cost analysis showing that the offline RL cost is recovered after a small number of reuse cycles. The results support the view that learning-based initialization can improve warm-start quality relative to uninformed feasible multi-start in constrained open-system quantum-control benchmarks, while broader practical comparison against stronger physics-guided seeds remains for future work. Full article
Show Figures

Figure 1

30 pages, 755 KB  
Article
Adaptive Fault-Tolerant Sliding Mode Control for Itô-Type Stochastic Time-Delay Markov Jump Systems with Partly Unknown Transition Probabilities
by Tengyu Ma, Minli Zheng, Lijun Zhang and Longsuo Li
Mathematics 2026, 14(6), 1001; https://doi.org/10.3390/math14061001 - 16 Mar 2026
Abstract
This study addresses the challenge of designing an adaptive sliding mode controller for a class of nonlinear Markov jump systems. These systems are characterized by unmeasurable states, partially unknown transition probabilities, and uncertainties arising from matched external disturbances and modeling inaccuracies. In control [...] Read more.
This study addresses the challenge of designing an adaptive sliding mode controller for a class of nonlinear Markov jump systems. These systems are characterized by unmeasurable states, partially unknown transition probabilities, and uncertainties arising from matched external disturbances and modeling inaccuracies. In control design and analysis, the nonlinear Markov system in which both the linear term and specific information about the upper bound in the external disturbance term are unknown. To enable descending equivalent sliding mode motion to regulate the dithering phenomenon in a controlled system, an integral sliding surface is established to achieve chattering suppression via descending equivalent sliding motion. A key theoretical contribution is the rigorous proof that the proposed control law ensures both finite-time reachability of the sliding surface and mean-square stability of the closed-loop trajectories. Comparative simulation results demonstrate that the proposed approach achieves a state estimation RMSE of 0.175, which is 48.0% lower than conventional sliding mode control (0.337) and 3.3% lower than observer-based sliding mode control without fault compensation (0.181). The controller reduces control chattering by 75.2% compared to conventional SMC (total variation from 64.4 to 16.0), achieves sliding surface reachability within 0.42s, and maintains effective fault estimation with an average RMSE of 0.138 for time-varying actuator efficiency factors. These quantitative improvements validate the effectiveness of the proposed fault-tolerant mechanism. Full article
(This article belongs to the Special Issue Advances in Stochastic Differential Equations and Applications)
Show Figures

Figure 1

18 pages, 2408 KB  
Article
Auxiliary TARP Subunits Define AMPA Receptor Pharmacology and Function
by Sosana Bdir, İrfan Çapan, Mohammed Hawash, Süleyman Servi and Mohammad Qneibi
J. Xenobiot. 2026, 16(2), 50; https://doi.org/10.3390/jox16020050 - 16 Mar 2026
Abstract
Background: Fast excitatory transmission in the central nervous system is carried out by AMPA-type glutamate receptors. Neuronal hyperexcitability and epilepsy have been associated with the dysregulation of AMPA receptor function. Modulation of the gating kinetics of AMPA receptor function has been proposed to [...] Read more.
Background: Fast excitatory transmission in the central nervous system is carried out by AMPA-type glutamate receptors. Neuronal hyperexcitability and epilepsy have been associated with the dysregulation of AMPA receptor function. Modulation of the gating kinetics of AMPA receptor function has been proposed to be a desirable target for therapy, especially when the modulation is transmembrane AMPA receptor regulatory protein (TARP)-dependent and AMPA receptor subunit composition-dependent. Methods: Eight dibenzobarrelene-based heterocycles were characterized for their effects on the human embryonic kidney cells expressing homomeric GluA1 and heteromeric GluA1/2 AMPA receptors, either alone or co-expressed with the TARPγ8 auxiliary subunit, using whole-cell patch-clamp electrophysiological recordings, and the current amplitude and kinetics of desensitization and deactivation were measured after rapid glutamate application. Results: Each chemical evaluated suppressed glutamate-induced currents via AMPA receptors and augmented both desensitization and deactivation, indicating a negative allosteric modulatory effect. The co-expression of TARPγ8 diminished, but did not eradicate, the inhibition and acceleration induced by the compounds. The observations indicate that the chemicals diminish agonist-bound open states and facilitate transitions to non-conducting states while maintaining effectiveness. Conclusions: The present study describes a specific kinetic mechanism by which dibenzobarrelene derivatives impair the function of the AMPA receptor and its dependence on auxiliary proteins. The present study provides a mechanistic understanding of AMPA receptor gating modulation and establishes a pharmacological framework for future investigations in more physiologically relevant systems. Full article
Show Figures

Graphical abstract

17 pages, 18019 KB  
Article
Knit-Edit: A Unified Multi-Task Editing Framework for Knitted Garments
by Zhiping Wu, Qiang Fu, Jing Li and Jiajun Liu
Electronics 2026, 15(6), 1208; https://doi.org/10.3390/electronics15061208 - 13 Mar 2026
Viewed by 51
Abstract
Generative Artificial Intelligence has shown immense potential in industrial design. However, applying Diffusion Transformers to precision manufacturing faces a critical bottleneck: the trade-off between flexible multi-task editing and high-fidelity texture preservation. Existing methods often suffer from “texture collapse” when merging multiple adapters, failing [...] Read more.
Generative Artificial Intelligence has shown immense potential in industrial design. However, applying Diffusion Transformers to precision manufacturing faces a critical bottleneck: the trade-off between flexible multi-task editing and high-fidelity texture preservation. Existing methods often suffer from “texture collapse” when merging multiple adapters, failing to maintain the intricate topological structures required for industrial standards. To address this, we present Knit-Edit, a unified framework for high-precision knitted garment editing. Our core contribution is EditLoRI, a novel task decoupling mechanism utilizing orthogonal Low-Rank Adaptation. By projecting task-specific gradients into orthogonal subspaces, EditLoRI enables the interference-free composition of multiple editing capabilities within a single lightweight model. Furthermore, we introduce a structure-preserving spatial guidance strategy using Bounding Boxes to resolve the localization ambiguity of text prompts. Validated on our constructed KnitEdit dataset, the proposed method significantly outperforms state-of-the-art baselines in controllability and structural fidelity, offering a robust solution for intelligent generative manufacturing. Full article
(This article belongs to the Section Artificial Intelligence)
Show Figures

Figure 1

15 pages, 1617 KB  
Article
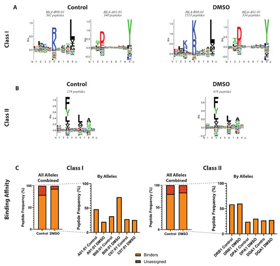
Dimethyl Sulfoxide Enhances HLA Peptide Identification
by Terry C. C. Lim Kam Sian, Yue Ding, Scott A. Blundell, Ralf B. Schittenhelm and Pouya Faridi
Proteomes 2026, 14(1), 13; https://doi.org/10.3390/proteomes14010013 - 13 Mar 2026
Viewed by 65
Abstract
Background: Mass spectrometry (MS)-based immunopeptidomics has emerged as the gold standard for profiling HLA-bound peptides, yet detection remains challenging due to their non-tryptic nature, variable lengths, and lack of basic residues, which limit ionisation and fragmentation efficiency. Methods: To address these limitations, we [...] Read more.
Background: Mass spectrometry (MS)-based immunopeptidomics has emerged as the gold standard for profiling HLA-bound peptides, yet detection remains challenging due to their non-tryptic nature, variable lengths, and lack of basic residues, which limit ionisation and fragmentation efficiency. Methods: To address these limitations, we investigated the impact of incorporating 5% dimethyl sulfoxide (DMSO) into LC-MS/MS mobile-phase buffers on immunopeptidomic workflows. Using B-lymphoblastoid cell lines expressing HLA class I and II alleles and elastase-digested HeLa lysates as a surrogate for non-tryptic peptides, we assessed peptide identification, ionisation efficiency, charge state distribution, and fragmentation quality. Results: DMSO significantly increased peptide identifications across all sample types, with gains of ~1.33 folds for HLA class I, ~1.55 folds for HLA class II, and ~1.24 folds for elastase digests. Improvements were systematic and reproducible, driven by enhanced electrospray ionisation, higher charge states, and superior MS2 spectral quality, evidenced by ~2-fold increase in b- and y-ion intensities. Importantly, DMSO did not introduce major sequence bias, preserving motif integrity and predicted binding characteristics. Conclusions: Overall, these findings establish DMSO as a robust additive for improving sensitivity and reliability in immunopeptidomics, particularly for low-input or clinically derived samples. Full article
(This article belongs to the Section Proteomics Technology and Methodology Development)
Show Figures

Graphical abstract

20 pages, 2162 KB  
Article
A Closed Queuing Network-Based Stochastic Framework for Capacity Coordination and Bottleneck Analysis in Dam Concrete Transport Systems
by Shuaixin Yang, Jiejun Huang, Nan Li, Han Zhou, Hua Li, Xiaoguang Zhang and Xinping Li
Infrastructures 2026, 11(3), 96; https://doi.org/10.3390/infrastructures11030096 - 12 Mar 2026
Viewed by 144
Abstract
In large-scale dam construction, the efficiency of concrete transport operations is fundamentally governed by the coordination between horizontal hauling and vertical hoisting capacities. Traditional experience-based scheduling approaches often fail to capture the stochastic, cyclic, and resource-coupled nature of these transport systems. This study [...] Read more.
In large-scale dam construction, the efficiency of concrete transport operations is fundamentally governed by the coordination between horizontal hauling and vertical hoisting capacities. Traditional experience-based scheduling approaches often fail to capture the stochastic, cyclic, and resource-coupled nature of these transport systems. This study developed a closed queuing network-based stochastic simulation framework to model dam concrete transportation as a finite-population cyclic service system. The process was abstracted into sequential service stages with stochastic service times, and a structured state-space representation combined with time-step simulation was constructed to describe dynamic resource occupation and task transitions under varying truck and cable crane configurations. Application to a real large-scale dam project revealed a characteristic multi-stage performance evolution pattern governed by capacity matching mechanisms. As the truck fleet size increased, system performance transitioned from a transport-limited regime to a capacity-coordination regime and ultimately to a hoisting-saturated regime in which further fleet expansion yielded diminishing returns. Sensitivity analysis demonstrated that hoisting capacity imposed an upper bound on system throughput, while adaptive fleet reconfiguration could restore operational equilibrium under constrained equipment availability. The results indicated that dam concrete transport should be treated as a dynamic capacity regulation problem rather than a static allocation task. The proposed framework provides an interpretable and quantitative decision-support tool for equipment configuration, bottleneck identification, and adaptive scheduling in large-scale hydraulic infrastructure projects. Full article
(This article belongs to the Section Smart Infrastructures)
Show Figures

Figure 1

13 pages, 332 KB  
Article
Data-Driven Operational Bounds of Transmembrane Pressure for Modelling and Digital Twin Development in Haemodialysis and Haemodiafiltration
by Alexandru Dinu, Mădălin Frunzete and Denis Mihailovschi
Bioengineering 2026, 13(3), 331; https://doi.org/10.3390/bioengineering13030331 - 12 Mar 2026
Viewed by 98
Abstract
Transmembrane pressure (TMP) is a central state variable in haemodialysis (HD) and haemodiafiltration (HDF), governing ultrafiltration dynamics, convective transport, and membrane performance. Although dialysis devices specify high maximum allowable pressure limits derived from in vitro testing and mechanical safety margins, the effective operating [...] Read more.
Transmembrane pressure (TMP) is a central state variable in haemodialysis (HD) and haemodiafiltration (HDF), governing ultrafiltration dynamics, convective transport, and membrane performance. Although dialysis devices specify high maximum allowable pressure limits derived from in vitro testing and mechanical safety margins, the effective operating pressure space encountered under routine clinical conditions remains insufficiently quantified from a systems engineering perspective. In this study, aggregated real-world minimum–maximum TMP intervals collected from four geographically distributed dialysis centres were used to anchor a model-based characterisation of operational pressure ranges. To enable reproducible modelling and numerical exploration, Gaussian-based synthetic datasets were constructed from empirically observed pressure intervals while incorporating physiological and operational constraints. Across all centres, HD exhibited stable and narrowly distributed TMP values (typically 20–60 mmHg), whereas HDF operated within higher but well-defined pressure regimes (approximately 120–260 mmHg). Values above 300 mmHg were rare, and pressures exceeding 400 mmHg were not observed under routine conditions. Statistical tail modelling, extreme value theory, and unsupervised anomaly detection consistently identified such extreme pressures as structurally incompatible with the learned operational state space. These results provide quantitative engineering bounds for TMP that may be directly integrated into reduced-order models, control design, and digital twin development for dialysis systems. By constraining modelling environments to empirically supported pressure regimes, the proposed framework enhances numerical stability, prevents non-physical extrapolation, and supports physiologically realistic data-driven applications in biomedical engineering. Full article
(This article belongs to the Section Biomedical Engineering and Biomaterials)
Show Figures

Figure 1

26 pages, 349 KB  
Article
The Prohibition of Finality and Reflexive Signature Intelligence: A Causal-Symmetric Framework for Evaluating Agents
by Elias Rubenstein
Philosophies 2026, 11(2), 37; https://doi.org/10.3390/philosophies11020037 - 12 Mar 2026
Viewed by 100
Abstract
Intelligence metrics based on benchmark performance or population norms are useful for measuring comparative ability within defined test environments, but they do not directly evaluate the structural coherence of an agent’s trajectory across time, domains, and perturbations. This article introduces Reflexive Signature Intelligence [...] Read more.
Intelligence metrics based on benchmark performance or population norms are useful for measuring comparative ability within defined test environments, but they do not directly evaluate the structural coherence of an agent’s trajectory across time, domains, and perturbations. This article introduces Reflexive Signature Intelligence (RSI) as a bounded theoretical framework for addressing that different problem. RSI is developed within a causal-symmetric informational perspective in which intelligence is understood as the capacity of a system to maintain and restore alignment with a structurally constrained invariant without collapsing the open gradient of development. On this basis, the paper formulates the Principle of Bounded Subjectivity and the Prohibition of Finality as framework-level principles, arguing that intelligence should be assessed not as arrival at a completed end state but as the quality of an asymptotic trajectory. The framework is then operationalized on two coupled levels: a micro-level proposed as a future measurement program linked heuristically to resilience and prediction-error dynamics, and a macro-level expressed through five dimensions of structural integrity, including reflexive regulation, cross-domain integration, internal consistency, stabilization, and signature-setting. The article concludes by outlining implications for AI evaluation and alignment, with particular relevance for distinguishing full agents, partial systems, and human–AI composite configurations. Full article
Show Figures

Figure 1

19 pages, 3344 KB  
Article
2D and 3D Stability Analysis of Rectangular Tunnel Roof Based on Tensile Cut-Off Criterion
by Wenqian Cai, De Zhou, Chaoqun Hou, Yongxin Li, Long Xia and Guihua Long
Buildings 2026, 16(6), 1132; https://doi.org/10.3390/buildings16061132 - 12 Mar 2026
Viewed by 83
Abstract
Tunnel roof is subjected to a complex tension-shear stress state after excavation. A tensile cut-off strength criterion is introduced in this study and combined with the upper bound limit analysis method to investigate the stability of a rectangular tunnel roof. First, the expression [...] Read more.
Tunnel roof is subjected to a complex tension-shear stress state after excavation. A tensile cut-off strength criterion is introduced in this study and combined with the upper bound limit analysis method to investigate the stability of a rectangular tunnel roof. First, the expression for the internal energy dissipation rate is derived for the circular cut-off segment of the failure criterion. Power functionals Φ are established for both two-dimensional and three-dimensional rotational collapse mechanisms. The analytical equations for the failure surface are obtained using the variational method. The strength reduction method that incorporates the cut-off criterion is proposed to quantify roof stability. The investigation into the morphology of the collapsing block indicates that the supporting pressure and the reduction coefficient ξ have a significant influence on the collapse shape of the tunnel, suggesting that attention should be paid to the suspension effect of the tunnel roof on stability. The range of the collapsing block under three-dimensional conditions is found to be larger than that under two-dimensional conditions. Parametric influences on the safety factor are examined. Finally, dimensionless design charts for the critical reinforcement pressure are provided for practical tunnel support design. Full article
(This article belongs to the Special Issue Solid Mechanics as Applied to Civil Engineering)
Show Figures

Figure 1

31 pages, 7055 KB  
Article
Dynamic Simulation and Flexible Operation Strategy of Green Methanol Process Under Renewable Energy Fluctuations
by Wei Fan, Yuan Chen, Yangyang Liu, Zhehao Jin, Xu Ji and Yiyang Dai
Energies 2026, 19(6), 1431; https://doi.org/10.3390/en19061431 - 12 Mar 2026
Viewed by 131
Abstract
The increasing deployment of renewable energy introduces significant dynamic challenges to green methanol synthesis systems due to its inherent intermittency and variability. However, loop-level dynamic stability and controllability under multi-scenario transient conditions remain insufficiently explored. To address this gap, a steady-state and dynamic [...] Read more.
The increasing deployment of renewable energy introduces significant dynamic challenges to green methanol synthesis systems due to its inherent intermittency and variability. However, loop-level dynamic stability and controllability under multi-scenario transient conditions remain insufficiently explored. To address this gap, a steady-state and dynamic model of a renewable-driven methanol synthesis loop was developed in UniSim Design and evaluated under various realistic transient scenarios. Baseline simulations reveal recurring dynamic amplification within the synthesis loop, with pressure deviations exceeding 600 kPa during load increase and persistent oscillatory behavior under fluctuating conditions. To mitigate these instability mechanisms, a control-oriented refinement strategy incorporating first-order feed filtering, load-dependent temperature setpoint scheduling, and gain scheduling of key control loops was implemented. Within the simulation framework, the optimized strategy reduces maximum transient deviations of pressure and temperature by approximately 50–70% and mitigates startup pressure overshoots by over 60%. Under wind–solar-driven operation, pressure integral absolute error (IAE) decreases by up to 42%, and system trajectories become more bounded and better damped. These results provide quantitative insight into renewable-induced instability mechanisms and highlight the potential of control-oriented strategies to enhance dynamic operability in flexible power-to-methanol systems. Full article
(This article belongs to the Special Issue Clean and Efficient Use of Energy: 3rd Edition)
Show Figures

Figure 1

23 pages, 628 KB  
Article
Adaptive Formation Control for Multi-UAV Swarms in Cluttered Environments with Communication Delays Under Directed Switching Topologies
by Yingzheng Zhang and Zhenghong Jin
Actuators 2026, 15(3), 163; https://doi.org/10.3390/act15030163 - 12 Mar 2026
Viewed by 68
Abstract
This paper addresses distributed formation control for multiple unmanned aerial vehicles (UAVs) operating in obstacle-dense environments under directed switching communication topologies. A leader–follower architecture is adopted, wherein the leader performs online trajectory replanning while followers rely on delayed and intermittently available neighbor information. [...] Read more.
This paper addresses distributed formation control for multiple unmanned aerial vehicles (UAVs) operating in obstacle-dense environments under directed switching communication topologies. A leader–follower architecture is adopted, wherein the leader performs online trajectory replanning while followers rely on delayed and intermittently available neighbor information. To simultaneously tackle collision avoidance, formation feasibility under narrow passages, and communication intermittency, we propose an integrated deformable formation navigation framework. The framework couples Safe Flight Corridor (SFC)-constrained Bézier trajectory planning with a dynamic formation scaling mechanism, allowing the swarm to adaptively shrink or expand its geometric configuration when traversing constricted spaces, thereby ensuring all agents remain within certified collision-free corridors. A nonlinear distributed consensus-based estimator is designed to propagate leader reference states under directed switching graphs with bounded delays. Using a max-min contraction analytical approach, we establish guaranteed practical convergence for both leader tracking and inter-follower agreement without requiring persistent connectivity. Extensive simulations in complex cluttered environments demonstrate that the proposed approach enables flexible and real-time formation reshaping, enhancing navigational safety and robustness while maintaining cohesive swarm behavior under challenging communication and spatial constraints. Full article
(This article belongs to the Section Aerospace Actuators)
Show Figures

Figure 1

11 pages, 341 KB  
Article
Dynamical Classification of Galactic Open Clusters Using Virial Theorem
by Chaolin Yu, Zhongmu Li, Jie Lan and Bingjie Qian
Universe 2026, 12(3), 78; https://doi.org/10.3390/universe12030078 - 12 Mar 2026
Viewed by 86
Abstract
Open clusters are important tracers for studying the structure and evolution of the Milky Way, but determining their dynamical states and gravitational binding properties remains a complex task. In this study, we systematically analysed the gravitational binding states of 4809 candidate clusters by [...] Read more.
Open clusters are important tracers for studying the structure and evolution of the Milky Way, but determining their dynamical states and gravitational binding properties remains a complex task. In this study, we systematically analysed the gravitational binding states of 4809 candidate clusters by calculating their observed velocity dispersions and comparing these with theoretical velocity dispersions. We identified 3897 objects as gravitationally bound. Relative to previous classification results, this work achieves 93.60% precision and 80.04% recall, with recall increasing to 83.55% for the high-quality open cluster subset. For objects with discrepant classifications, we analysed their dynamical and photometric properties, finding that this work preferentially retains clusters with cleaner colour–magnitude diagram morphologies. This study provides a more conservative sample for studies of Galactic open clusters. Full article
(This article belongs to the Section Galaxies and Clusters)
Show Figures

Figure 1

26 pages, 1875 KB  
Article
Critical Excitation-Based Spectra: A Simplified Tool for Evaluating Infrastructure Under Rare Earthquakes
by Ali Ahmadi and Naser Khaji
Appl. Sci. 2026, 16(6), 2688; https://doi.org/10.3390/app16062688 - 11 Mar 2026
Viewed by 214
Abstract
Response spectra (RS) provide an efficient link between earthquake ground motions and structural demand. Still, rare event screening for long-period, resonance-sensitive systems is often approximated by applying uniform multipliers to a design-basis earthquake (DBE) spectrum to represent beyond-design-basis earthquake (BDBE) levels. This paper [...] Read more.
Response spectra (RS) provide an efficient link between earthquake ground motions and structural demand. Still, rare event screening for long-period, resonance-sensitive systems is often approximated by applying uniform multipliers to a design-basis earthquake (DBE) spectrum to represent beyond-design-basis earthquake (BDBE) levels. This paper develops critical excitation (CE) based response spectra (CE-RS) as a spectrum-format, low-overhead screening tool that makes period-local resonance sensitivity explicit while remaining anchored to code-defined hazard levels. This paper develops CE-RS as a response-spectrum-based screening tool for identifying period-local resonance sensitivity at code-defined hazard levels by using the CE framework to search, within an admissible set defined by bounded power spectral density (PSD) content and intensity constraints, for the input that maximizes structural response. Code-based target spectra are adopted as hazard anchors, consistent with the intent of probabilistic seismic hazard analysis (PSHA), at representative sites in Australia (Canberra; AS 1170.4:2024, Site Class Be) and the United States (San Francisco; ASCE/SEI 7-22, Site Class BC). For each site, a spectrum-compatible seed accelerogram is generated to reproduce the 5% damped target spectrum and to calibrate admissible-set bounds using peak ground acceleration (PGA), peak ground velocity (PGV), and Arias intensity. CE is then performed period-by-period over the long-period range to obtain CE-RS ordinates, which are compared with the DBE target and conventional BDBE-type references formed by uniform spectrum scaling. The resulting framework provides a code-comparable, site-anchored interpretation of long-period demand influenced by resonance effects, supporting rapid prioritization in preliminary design and in the screening of existing long-period-sensitive infrastructure for strengthening/rehabilitation. Full article
(This article belongs to the Special Issue Simplified Seismic Analysis of Complex Civil Structures)
Show Figures

Figure 1

29 pages, 35494 KB  
Article
Future Highly Efficient Engines with Solid Oxide Fuel Cell–Gas Turbine Coupling: System Modeling Study and Comparison of Directly and Indirectly Coupled SOFC–GT Systems
by Pascal Köhler, Jan Hollmann, Anis Taissir, Marc P. Heddrich and Stephan Kabelac
Aerospace 2026, 13(3), 263; https://doi.org/10.3390/aerospace13030263 - 11 Mar 2026
Viewed by 198
Abstract
This study investigates hybridization of a solid oxide fuel cell with a gas turbine (SOFC–GT) for application in an ATR 72 regional aircraft. Several challenges hinder its viability, including the low gravimetric power density of SOFC stacks and stringent heat integration constraints. A [...] Read more.
This study investigates hybridization of a solid oxide fuel cell with a gas turbine (SOFC–GT) for application in an ATR 72 regional aircraft. Several challenges hinder its viability, including the low gravimetric power density of SOFC stacks and stringent heat integration constraints. A steady-state model sweeps the cell voltage, overall pressure ratio (OPR), and a bounded turbine inlet temperature (TIT). This study introduces a new corrected power-share metric. This metric accounts for operating-point-dependent SOFC power density. It also enables weight-relevant comparisons. We analyze two types of coupling: direct and indirect. In the direct coupling, SOFC cooling fixes the core airflow and a TIT ceiling imposes a minimum power share. In the indirect coupling, a bypass decouples SOFC and gas turbine operation, incurring an efficiency penalty. We compare two heat-integration architectures: preheating with SOFC cathode exhaust versus low-pressure turbine (LPT) exhaust. Results show that direct coupling achieves efficiencies above 65% at high-corrected power shares, whereas indirect coupling offers greater operational flexibility but lower efficiency. Cathode exhaust preheating improves feasibility and outperforms LPT recuperation by more than 15% efficiency at low-to-mid-corrected power shares. However, LPT recuperation attains higher peak efficiency only at high-corrected power shares and within a narrow OPR window, which is limited by recuperator pinch. Full article
Show Figures

Figure 1

Back to TopTop