Sign in to use this feature.

Years

Between: -

Subjects

remove_circle_outline
remove_circle_outline
remove_circle_outline
remove_circle_outline
remove_circle_outline
remove_circle_outline
remove_circle_outline

Journals

Article Types

Countries / Regions

Search Results (13)

Search Parameters:
Keywords = bottom-up redevelopment

Order results
Result details
Results per page
Select all
Export citation of selected articles as:
17 pages, 8341 KB  
Article
The Impact of Street-Edge Scales on Everyday Activities in Wuhan’s Urban Village Streets
by Jie Xiong, James Simpson, Kevin Thwaites and Yichao He
Land 2025, 14(2), 252; https://doi.org/10.3390/land14020252 - 25 Jan 2025
Viewed by 1722
Abstract
Despite extensive research on what draws people to urban streets, most existing insights originate from Western contexts, offering limited perspectives from wider urban contexts. This study addresses this gap by examining everyday street activities in Chinese urban villages, focusing specifically on how two [...] Read more.
Despite extensive research on what draws people to urban streets, most existing insights originate from Western contexts, offering limited perspectives from wider urban contexts. This study addresses this gap by examining everyday street activities in Chinese urban villages, focusing specifically on how two spatial scales, the entire street edge and territorial segments, influence necessary, optional, and social engagements. Drawing on video recordings and walk-by observations in two urban villages in Wuhan, China, the research systematically measured the type and duration of activities across 110 territorially defined segments. The findings reveal that territorial segments, i.e., smaller-scale personalised subdivisions at a micro-scale often shaped by bottom–up adaptations, exert a significantly stronger influence upon how people use and linger in street space rather than entire street edges at a macro-scale, which shows only limited impact. This underscores the importance of fine-grained socio-spatial design and local ownership in fostering vibrant people-centred streets. By demonstrating the decisive role of micro-scale features, which span storefront layouts, semi-public alcoves, and adaptive uses, these results carry important implications for urban practitioners seeking to balance top–down redevelopment with bottom–up initiatives. Ultimately, the study enriches the global discourse on street-edge understanding and design, emphasising that territorial segments can be powerful catalysts for promoting activity and community life in dense urban contexts. Full article
Show Figures

Figure 1

21 pages, 908 KB  
Article
Tripartite Evolutionary Game and Policy Simulation: Strategic Governance in the Redevelopment of the Urban Village in Guangzhou
by Dinghuan Yuan, Jiaxin Li, Qiuxiang Li and Yang Fu
Land 2024, 13(11), 1867; https://doi.org/10.3390/land13111867 - 8 Nov 2024
Cited by 7 | Viewed by 1886
Abstract
The scarcity of land drives urban village redevelopment projects, which involve interest redistribution among stakeholders with distinct demands. This paper utilizes evolutionary game theory and simulation methods, constructing a tripartite game model under the institutional arrangement of bottom-up with private developer funding. This [...] Read more.
The scarcity of land drives urban village redevelopment projects, which involve interest redistribution among stakeholders with distinct demands. This paper utilizes evolutionary game theory and simulation methods, constructing a tripartite game model under the institutional arrangement of bottom-up with private developer funding. This study identifies the stable strategies and evolutionary trends of the tripartite interactions under four distinct scenarios and validates these strategies through simulations. The redevelopment of XC village validates the assumptions of the model and theoretical analysis, suggesting that when private developers adopt forced demolition strategies, although villagers ultimately choose to sign the contract of property exchange, it can easily lead to social conflicts. These research findings can enlighten the government to form a tripartite alliance to smooth urban village redevelopment. Full article
(This article belongs to the Section Urban Contexts and Urban-Rural Interactions)
Show Figures

Figure 1

16 pages, 26476 KB  
Article
Beyond Preservation: Heritage as an Educational Practice Process at 141 Neil Road, Singapore
by Xintong Wei, Haoming Zhou, Nikhil Joshi and Muyuan Tang
Buildings 2024, 14(5), 1225; https://doi.org/10.3390/buildings14051225 - 25 Apr 2024
Cited by 2 | Viewed by 3786
Abstract
Over the past two decades, the concept of heritage has been significantly broadened, with an increasing number of scholars viewing it not as a set of static objects with fixed meanings but as a social process consciously endowed with commemorative functions through human [...] Read more.
Over the past two decades, the concept of heritage has been significantly broadened, with an increasing number of scholars viewing it not as a set of static objects with fixed meanings but as a social process consciously endowed with commemorative functions through human creation. This research illustrates and empirically supports this perspective through a case study. Initially, the paper reviews the development of the heritage concept through the literature review and elaborates on the idea of “heritage as process”. Subsequently, it examines Singapore’s enriching exploration and successful implementation of heritage conservation, particularly since 2000, when the local government shifted from preserving historical buildings to a comprehensive conservation strategy that embraces a sense of place, identity, and memory and encourages a bottom-up participatory approach. Finally, this paper takes the transformation of the century-old townhouse at 141 Neil Road in Singapore as its focus. After being renovated into an urban architectural heritage conservation laboratory, the house has gradually become a place of heritage on Neil Road by training professionals’ construction skills, transforming its function, introducing technological explorations, and enhancing public interaction. This process has developed the abilities of heritage conservation professionals in desktop research, reuse design, and practical construction skills while simultaneously promoting community participation and heightening awareness of heritage conservation among local residents. Through daily practices, this historical townhouse gradually became a place of heritage on Neil Road, exemplifying the research theme that “heritage is a comprehensive and dynamic practice encompassing social, cultural, and technological dimensions”. From being preserved for renovation in 2020 to being approved as a “Heritage Show House” by the Urban Redevelopment Authority (URA) in 2023, the case of 141 Neil Road offers a new perspective in the heritage conservation field that “heritage is always in the process of becoming, rather than a constant given”. Full article
Show Figures

Figure 1

22 pages, 1903 KB  
Article
Trade-Offs, Adaptation and Adaptive Governance of Urban Regeneration in Guangzhou, China (2009–2019)
by Bin Li, Kaihan Yang, Konstantin E. Axenov, Long Zhou and Huiming Liu
Land 2023, 12(1), 139; https://doi.org/10.3390/land12010139 - 31 Dec 2022
Cited by 3 | Viewed by 4062
Abstract
This paper explores the specific “authoritarian” type of adaptive governance of urban regeneration using the example of Guangzhou city as the frontier of China’s reforms. As opposed to the “democratic” type of adaptive governance with its bottom-up policy initiations, community autonomy, polycentric power, [...] Read more.
This paper explores the specific “authoritarian” type of adaptive governance of urban regeneration using the example of Guangzhou city as the frontier of China’s reforms. As opposed to the “democratic” type of adaptive governance with its bottom-up policy initiations, community autonomy, polycentric power, participation in decision making, and self-organized policy actors, adaptive governance in Guangzhou is based on top-down decision making and implementation of public authorities’ solutions with the high role of political considerations. By analyzing data collected from policy documents, interviews, secondary data, and participative observations, this paper reveals three phases of urban regeneration in Guangzhou between 2009 and 2019: two of them based on “Three Old Redevelopment” policy implementation and the third one based on the local micro-regeneration initiative. Tradeoffs among urban regeneration, land leasing income and micro-regeneration are the key means of policy adaptation which differ from the described phases. Methodologically, the paper does not limit itself by answering only the traditional research questions in regeneration studies of “what” has changed and “why” these changes have happened. Instead, the main focus includes “how” such changes have occurred, which is less researched in the literature. Social–political mechanisms, including limited check-and-balance, selective feedback, and the social learning capacity of the local state, are crucial governance factors to enable adaptation. Full article
Show Figures

Figure 1

26 pages, 3482 KB  
Article
Culture-Led Regeneration of Industrial Brownfield Hosting Temporary Uses: A Post-Socialist Context–Case Study from Novi Sad, Serbia
by Dejana Nedučin and Milena Krklješ
Sustainability 2022, 14(23), 16150; https://doi.org/10.3390/su142316150 - 2 Dec 2022
Cited by 8 | Viewed by 5260
Abstract
Utilizing culture as a tool for the regeneration of industrial brownfields represents a fairly new trend in post-socialist Europe. This topic has garnered some academic attention; however, studies primarily originate from EU member states, whereas the examples from non-EU cities remains largely unexplored. [...] Read more.
Utilizing culture as a tool for the regeneration of industrial brownfields represents a fairly new trend in post-socialist Europe. This topic has garnered some academic attention; however, studies primarily originate from EU member states, whereas the examples from non-EU cities remains largely unexplored. In addition, the literature dealing with the temporary creative use of derelict industrial sites in post-socialist cities is scarce. The case study-based paper contributes to filling these voids by investigating the creativity-driven informal activation of the Kineska Quarter in Novi Sad, the second largest city in Serbia and the European Capital of Culture for 2022, and its planned transformation into a creative district. The research aims are to examine the capacity of temporary uses to act as a hard infrastructure of the culture-led regeneration, identify the policy framework that shaped the project and highlight its shortcomings, detect potential sustainability issues, and examine how soft factors affect the use of hard infrastructure. The findings suggest that the redevelopment of a creative brownfield based on the simulation of bottom-up decision-making and hastily developed and blurry regeneration policies lead to uncertainty about its sustainability. They also suggest that post-socialist cities lacking experience in this field necessitate a context-perceptive, socially responsible, and locale-conscious approach to the (then sustainable) culture-led regeneration of spontaneously activated brownfields sites, which requires meaningful and not just pro forma involvement of non-institutional actors in the policy- and decision-making process. Full article
Show Figures

Figure 1

29 pages, 7148 KB  
Review
Geo-Environmental Characterisation of High Contaminated Coastal Sites: The Analysis of Past Experiences in Taranto (Southern Italy) as a Key for Defining Operational Guidelines
by Angela Rizzo, Francesco De Giosa, Antonella Di Leo, Stefania Lisco, Massimo Moretti, Giovanni Scardino, Giovanni Scicchitano and Giuseppe Mastronuzzi
Land 2022, 11(6), 878; https://doi.org/10.3390/land11060878 - 9 Jun 2022
Cited by 18 | Viewed by 4836
Abstract
Despite its remarkable geomorphological, ecological, and touristic value, the coastal sector of the Apulia region (Southern Italy) hosts three of the main contaminated Italian sites (Sites of National Interest, or SINs), for which urgent environmental remediation and reclamation actions are required. These sites [...] Read more.
Despite its remarkable geomorphological, ecological, and touristic value, the coastal sector of the Apulia region (Southern Italy) hosts three of the main contaminated Italian sites (Sites of National Interest, or SINs), for which urgent environmental remediation and reclamation actions are required. These sites are affected by intense coastal modification and diffuse environmental pollution due to the strong industrialisation and urbanisation processes that have been taking place since the second half of the XIX century. The Apulian coastal SINs, established by the National Law 426/1998 and delimited by the Ministerial Decree of 10 January 2000, include large coastal sectors and marine areas, which have been deeply investigated by the National Institution for the Environmental Research and Protection (ISPRA) and the Regional Agency for the Prevention and Protection of the Environment (ARPA) with the aim of obtaining a deep environmental characterisation of the marine matrices (sediments, water, and biota). More recently, high-resolution and multidisciplinary investigations focused on the geo-environmental characterisation of the coastal basins in the SIN Taranto site have been funded by the “Special Commissioner for the urgent measures of reclamation, environmental improvements, and redevelopment of Taranto”. In this review, we propose an overview of the investigations carried out in the Apulian SINs for the environmental characterisation of the marine matrices, with special reference to the sea bottom and sediments. Based on the experience gained in the previous characterisation activities, further research is aimed at defying a specific protocol of analysis for supporting the identification of priority actions for an effective and efficient geo-morphodynamic and environmental characterisation of the contaminated coastal areas, with special reference to geomorphological, sedimentological, and geo-dynamic features for which innovative and high-resolution investigations are required. Full article
(This article belongs to the Special Issue Land Modifications and Impacts on Coastal Areas)
Show Figures

Figure 1

13 pages, 1980 KB  
Article
A New Hybrid Triple Bottom Line Metrics and Fuzzy MCDM Model: Sustainable Supplier Selection in the Food-Processing Industry
by Nguyen Van Thanh and Nguyen Thi Kim Lan
Axioms 2022, 11(2), 57; https://doi.org/10.3390/axioms11020057 - 29 Jan 2022
Cited by 32 | Viewed by 5902
Abstract
Vietnam’s food processing and production industries in the past have managed to receive many achievements, contributing heavily to the growth of the country’s economic growth, especially the production index. Even with an increase of 7% per year over the past five years, the [...] Read more.
Vietnam’s food processing and production industries in the past have managed to receive many achievements, contributing heavily to the growth of the country’s economic growth, especially the production index. Even with an increase of 7% per year over the past five years, the industry currently also faces problems and struggles that require business managers to rewrite legal documents and redevelop the business environment as well as the production conditions in order to compete better and use the available resources. Xanthan gum (a food additive and a thickener) is one of the most used ingredients in the food-processing industry. Xanthan gum is utilized in a number of variety of products such as canned products, ice cream, meats, breads, candies, drinks, milk products, and many others. Therefore, in order to improve competitiveness, the stage of selecting raw-material suppliers is a complicated task. The purpose of this study was to develop a new composite model using Triple Bottom Line Metrics, the Fuzzy Analytical Hierarchy Process (FAHP) method, and the Combined Compromise Solution (CoCoSo) algorithm for the selection of suppliers. The application process was accomplished for the Xanthan-gum (β-glucopyranose (C35H49O29)n) supplier selection in a food processing industry. In this study, the model building, solution, and application processes of the proposed integrated model for the supplier selection in the food-processing industry are presented. Full article
Show Figures

Figure 1

24 pages, 638 KB  
Article
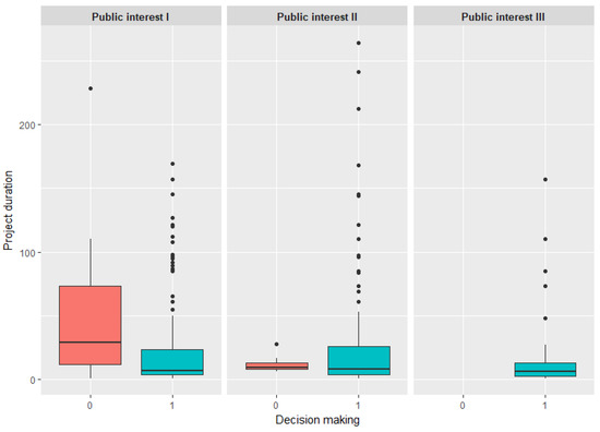
Factors Influencing the Project Duration of Urban Village Redevelopment in Contemporary China
by Dinghuan Yuan, Yung Yau, Huiying (Cynthia) Hou and Yongshen Liu
Land 2021, 10(7), 707; https://doi.org/10.3390/land10070707 - 5 Jul 2021
Cited by 10 | Viewed by 4499
Abstract
Project duration is one of the methods to measure the efficiency of project implementation. This study identifies the factors influencing the project duration of urban village redevelopment projects (UVRPs) in China. Based on the theory of new institutional economics and behavioral economics, this [...] Read more.
Project duration is one of the methods to measure the efficiency of project implementation. This study identifies the factors influencing the project duration of urban village redevelopment projects (UVRPs) in China. Based on the theory of new institutional economics and behavioral economics, this study develops three hypotheses regarding the causal relationship between institutional arrangement and project duration. Statistical analysis of data on 439 UVRPs collected from seven Chinese cities revealed that projects implemented through top-down institutional arrangements were more likely to take a long time than those implemented through bottom-up institutional arrangements. Projects implemented through top-down and government funding were more efficient than those implemented through top-down and villager funding. For bottom-up projects, there was no conclusion about whether village funding or private developer funding led to shorter project duration. Other determinants, including city, project attributes and initiation year, number of households involved, size of temporary relocation fee, and methods of selecting relocated housing, calculating temporary relocation fee and calculating relocation area influenced project duration. Full article
(This article belongs to the Section Land Planning and Landscape Architecture)
Show Figures

Figure 1

23 pages, 1913 KB  
Article
Blending Bottom-Up and Top-Down Urban Village Redevelopment Modes: Comparing Multidimensional Welfare Changes of Resettled Households in Wuhan, China
by Qing Yang, Yan Song and Yinying Cai
Sustainability 2020, 12(18), 7447; https://doi.org/10.3390/su12187447 - 10 Sep 2020
Cited by 12 | Viewed by 4702
Abstract
Urban village redevelopment has multidimensional impacts on resettled households. These impacts can reflect the sustainability of urban village redevelopment. This study empirically compares the gains and losses of the welfare in economic conditions, living conditions, natural environment, psychological conditions, and social security in [...] Read more.
Urban village redevelopment has multidimensional impacts on resettled households. These impacts can reflect the sustainability of urban village redevelopment. This study empirically compares the gains and losses of the welfare in economic conditions, living conditions, natural environment, psychological conditions, and social security in bottom-up and top-down urban village redevelopment cases in Wuhan, China. The results show that a bottom-up redevelopment mode with participative residents caused negative effects in economic welfare but positive effects on living conditions, natural environment, and psychological condition, thus promoting higher comprehensive welfare and satisfaction. Top-down redevelopment led by the government provides villagers with shared dividends through collective economic reform and thus, contributes to gains in economic conditions and social security. However, top-down redevelopment with less participation of residents leads to welfare losses in living conditions, natural environment, and psychological conditions, which results in lower welfare and satisfaction levels overall. Therefore, a middle-out redevelopment mode with a combination of government efforts and public participation are proposed as a solution for sustainable urban redevelopment. Full article
Show Figures

Figure 1

18 pages, 13822 KB  
Article
Bathymetric Monitoring of Alluvial River Bottom Changes for Purposes of Stability of Water Power Plant Structure with a New Methodology for River Bottom Hazard Mapping (Wloclawek, Poland)
by Dariusz Popielarczyk, Marian Marschalko, Tomasz Templin, Dominik Niemiec, Isik Yilmaz and Barbara Matuszková
Sensors 2020, 20(17), 5004; https://doi.org/10.3390/s20175004 - 3 Sep 2020
Cited by 6 | Viewed by 3516
Abstract
The aim of this research was to produce a new methodology for a special river bottom hazard mapping for the stability purposes of the biggest Polish water power plant: Włocławek. During the operation period of the water power plant, an engineering-geological issue in [...] Read more.
The aim of this research was to produce a new methodology for a special river bottom hazard mapping for the stability purposes of the biggest Polish water power plant: Włocławek. During the operation period of the water power plant, an engineering-geological issue in the form of pothole formation on the Wisła River bed in the gravel-sand alluvium was observed. This was caused by increased fluvial erosion resulting from a reduced water level behind the power plant, along with frequent changes in the water flow rates and water levels caused by the varying technological and economic operation needs of the power plant. Data for the research were obtained by way of a 4-year geodetic/bathymetric monitoring of the river bed implemented using integrated GNSS (Global Navigation Satellite System), RTS (Robotized Total Station) and SBES (Single Beam Echo Sounder) methods. The result is a customized river bottom hazard map which takes into account a high, medium, and low risk levels of the potholes for the water power plant structure. This map was used to redevelop the river bed by filling. The findings show that high hazard is related to 5% of potholes (capacity of 4308 m3), medium with 38% of potholes (capacity of 36,455 m3), and low hazard with 57% of potholes (capacity of 54,396 m3). Since the construction of the dam, changes due to erosion identified by the monitoring have concerned approximately 405,252 m3 of the bottom, which corresponds to 130 Olympic-size pools. This implies enormous changes, while a possible solution could be the construction of additional cascades on the Wisła River. Full article
(This article belongs to the Special Issue Telemetry and Monitoring for Land and Water Ecosystems)
Show Figures

Figure 1

16 pages, 7658 KB  
Article
Experimental Investigation on the Law of Grout Diffusion in Fractured Porous Rock Mass and Its Application
by Donghai Jiang, Xianzhen Cheng, Hengjie Luan, Tongxu Wang, Mingguang Zhang and Ruiyun Hao
Processes 2018, 6(10), 191; https://doi.org/10.3390/pr6100191 - 16 Oct 2018
Cited by 25 | Viewed by 4060
Abstract
Because of the limitation of mining techniques and economic conditions, large amounts of residual coal resources have been left in underground coal mines around the world. Currently, with mining technology gradually developing, residual coal can possibly be remined. However, when residual coal is [...] Read more.
Because of the limitation of mining techniques and economic conditions, large amounts of residual coal resources have been left in underground coal mines around the world. Currently, with mining technology gradually developing, residual coal can possibly be remined. However, when residual coal is remined, caving areas might form, which can seriously affect the safety of coal mining. Hence, grouting technology is put forward as one of the most effective technologies to solve this problem. To study the grouting diffusion in fractured rock mass, this paper developed a visualization platform of grouting diffusion and a three-dimensional grouting experimental system that can monitor the grout diffusion range, diffusion time and grout pressure; then, a grouting experiment is conducted based on this system. After that, the pattern of the grouting pressure variation, grout flow and grout diffusion surface are analyzed. The relationship among some factors, such as the grouting diffusion radius, compressive strength of the grouted gravel, porosity, water-cement ratio, grouting pressure, grouting time, permeability coefficient and level of grout, is quantitatively analyzed by using MATLAB. The study results show that the flow pattern of the grout in fractured porous rock mass has a parabolic shape from the grouting hole to the bottom. The lower the level is, the larger the diffusion range of the grout is. The grouting pressure has the greatest influence on the grouting diffusion radius, followed by the grouting horizon and water-cement ratio. The grouting permeability coefficient has the least influence on the grouting diffusion radius. The grout water-cement ratio has the greatest influence on the strength of the grouted gravel, followed by the grouting permeability. The grouting pressure coefficient has the least amount of influence on the grouting diffusion radius. According to the results, the grouting parameters are designed, and a layered progressive grouting method is proposed. Finally, borehole observation and a core mechanical property test are conducted to verify the application effect. This grouting technology can contribute to the redevelopment and efficient utilization of wasted underground coal resources. Full article
(This article belongs to the Special Issue Fluid Flow in Fractured Porous Media)
Show Figures

Figure 1

24 pages, 11620 KB  
Article
Fostering Multi-Functional Urban Agriculture: Experiences from the Champions in a Revitalized Farm Pond Community in Taoyuan, Taiwan
by Rung-Jiun Chou, Chen-Ting Wu and Feng-Tzu Huang
Sustainability 2017, 9(11), 2097; https://doi.org/10.3390/su9112097 - 15 Nov 2017
Cited by 17 | Viewed by 11014
Abstract
Urban agriculture (UA) with its multi-functional roles has recently become a globally important topic, as it is considered as an approach to address the emerging challenges to societies seeking greater sustainability. In Taiwan, the Hakka community of Gaoyuan in Taoyuan City, where a [...] Read more.
Urban agriculture (UA) with its multi-functional roles has recently become a globally important topic, as it is considered as an approach to address the emerging challenges to societies seeking greater sustainability. In Taiwan, the Hakka community of Gaoyuan in Taoyuan City, where a traditional farm pond was recently transformed into a public, multi-functional UA resource, is widely regarded as the first successful bottom-up, community-led, farm-pond-based UA in Taiwan, yet its actual performance is rarely explored in any depth. Little work has been done to provide details on the socio-ecological benefits of UA in the community redevelopment process. Through in-depth interviews, fieldwork, and participant observation, this specific qualitative study aims to explore the community champions’ experiences in the transformation leading to a revitalized community. First, by linking nearby nature to people, a green network of diverse spaces, low-impact landscaping, and an agricultural-community-like pondscape, the specific landscape character that makes UA in Gaoyuan distinctive is formed. Second, through active engagement, participation, and the agency of local people, the UA implementation process features cooperative working, mutual learning, and experience-sharing. Third, UA plays a crucial role in building social cohesion that promotes people’s participation in community affairs, and strengthens the community’s social network, which involves agricultural life, crop production, the ecological environment, and community care. It is revealed that the farm-pond-based UA with its multi-functional roles acts as a catalyst for the Gaoyuan community’s progress toward sustainability. The desired end-state of the agricultural landscape, as a synthesis of natural features and human interventions, is a more sustainable, characteristic, well-maintained and united place to fulfill people’s needs and enhance people’s overall health and well-being. Full article
Show Figures

Figure 1

21 pages, 10588 KB  
Article
Top-Down and Bottom-Up Processes for Rural Development and the Role of Architects in Yunnan, China
by Yun Gao
Buildings 2016, 6(4), 47; https://doi.org/10.3390/buildings6040047 - 7 Nov 2016
Cited by 21 | Viewed by 14132
Abstract
This study identified two alternative but potentially simultaneous processes for rural development in China. One is the ‘bottom-up’ approach where individuals and groups of villagers work innovatively in developing new building construction opportunities, prompted by contemporary and indigenous design and construction methods. The [...] Read more.
This study identified two alternative but potentially simultaneous processes for rural development in China. One is the ‘bottom-up’ approach where individuals and groups of villagers work innovatively in developing new building construction opportunities, prompted by contemporary and indigenous design and construction methods. The alternative ‘top-down’ approach is associated with changes caused by external influences, such as directions given from funding sources, and encouragement for the use of specific knowledge and technologies; this is then filtered down through village administrative systems. Two ethnic villages were studied in Yunnan province, an area with a larger rural low-income population than other regions. Each village exhibited strong traditional cultures and each had undergone different tourist redevelopment over a period of more than ten years. The case studies revealed discrepancies between the academic categorization of dwellings in villages based on the representations of traditional culture created by materials and techniques, and the villagers’ own perception of the social and cultural meanings of their houses and spaces in the village. The outcomes suggest that architects and designers could have different involvement in rural development through building platforms for discussion and decision-making, used with and amongst stakeholders, and which could link the two different directions of approach. Full article
(This article belongs to the Special Issue Sustainable Building in Rural Areas)
Show Figures

Figure 1

Back to TopTop