Tripartite Evolutionary Game and Policy Simulation: Strategic Governance in the Redevelopment of the Urban Village in Guangzhou
Abstract
1. Introduction
2. Tripartite Evolutionary Game Model and Analysis
2.1. Basic Assumptions
2.2. Benefit Analysis and Parameter Descriptions
+ (1 − y) (1 − z) (R1 − S − C1 + P) = z (U + C1) + (R1 − S − C1 + P) − yP
= yL + [z (U + C1) − C1 − L]
=z (R2 − C2) − (1 − z) C0
= x (− zC − P) + z (R3 − C3 + C0) − C0
2.3. The Replicated Dynamic Equations of the Tripartite Game
2.4. Results of Tripartite Evolutionary Game
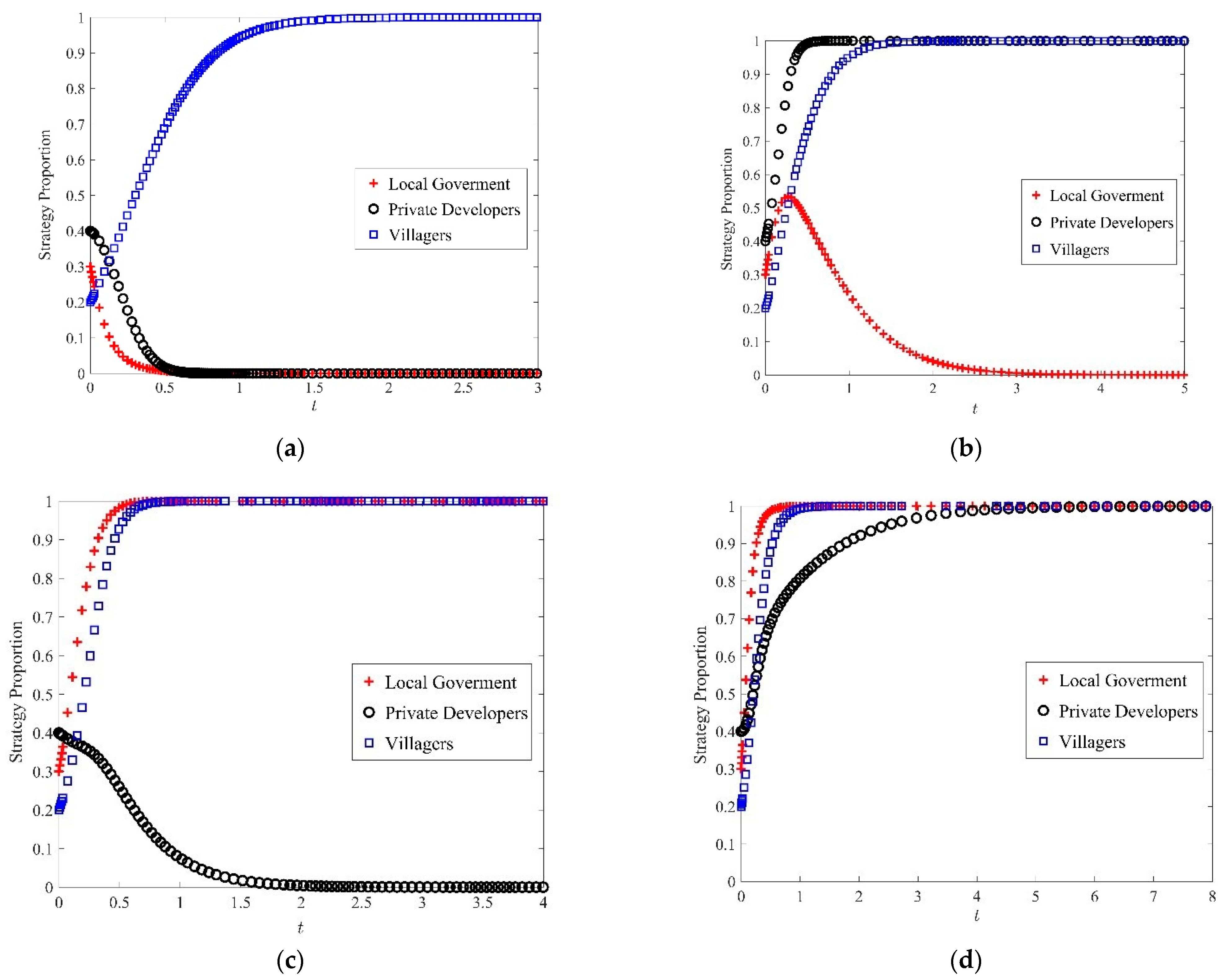
2.5. Simulation Analysis of the Tripartite Evolutionarily Stable Strategy
3. Analysis of the Triangular Game in Urban Village Redevelopment
3.1. Case Selection
3.2. Case Description
3.3. Case Analysis of Simulation Results for Tripartite Evolutionary Game
3.3.1. The Scenario of “Illegal Demolition” Strategy Adopted by Private Developers
“The villagers expect that the compensation for areas of balconies and bay windows should be the same as the building plot. Given our substantial construction demands, this approach would result in a shortfall of construction space…. Households that refuse to relocate cause construction delays and significant financial losses. The temporary costs exceed 10 million yuan per month, excluding financial and labor costs. If we cannot demolish smoothly, we face numerous breach of contract issues, but we cannot be entirely blamed for the demolition problems”.
“If we sign the agreement, this building only provides two resettlement apartments without certificates, which are collective property rights housing. We are just allowed to live there. For example, if the house is 100 square meters, they return 80 square meters to you, and the remaining 20 square meters are shared”.
“While the developer was working, their excavator was tearing down the house next to mine, deliberately messing up the walls of my house. I’ve also heard that because of the construction, the utilities of several houses that have not yet been relocated have been affected. Aren’t they trying to force us out of here by such improper means?”
3.3.2. The Scenario of the “Legal Demolition” Strategy Adopted by Private Developers
“The district government has always prioritized the redevelopment of XC village. In 2019, a second redevelopment notice was issued because this project genuinely benefits the villagers. We hope that the remaining villagers will sign the contracts and return soon. However, historical issues have caused some villagers to be reluctant to sign”.
“Due to the prolonged delay in the XC village redevelopment project, the village company exhausted all funds borrowed from banks and the finance bureau, ultimately leading to bankruptcy. Subsequently, XC village cooperates with the BL private developer to initiate the redevelopment project, securing redevelopment funds through land transfer…during the redevelopment process, private developers made errors in demolition, causing significant dissatisfaction among villagers. Therefore, we have sent official personnel to supervise the site work together with the villagers, which has yielded better results”.
4. Governance Strategies for High-Quality Urban Village Redevelopment
5. Conclusions
Author Contributions
Funding
Data Availability Statement
Conflicts of Interest
References
- Kochan, D. Placing the urban village: A spatial perspective on the development process of urban villages in contemporary China. Int. J. Urban Reg. Res. 2015, 39, 927–947. [Google Scholar] [CrossRef]
- Hao, P.; Sliuzas, R.; Geertman, S. The development and redevelopment of urban villages in Shenzhen. Habitat Int. 2011, 35, 214–224. [Google Scholar] [CrossRef]
- Lin, Y.; Hao, P.; Geertman, S. A conceptual framework on modes of governance for the regeneration of Chinese ‘villages in the city’. Urban Stud. 2015, 52, 1774–1790. [Google Scholar] [CrossRef]
- Yuan, D.; Yau, Y.; Bao, H.; Liu, Y.; Liu, T. Anatomizing the Institutional Arrangements of Urban Village Redevelopment: Case Studies in Guangzhou, China. Sustainability 2019, 11, 3376. [Google Scholar] [CrossRef]
- Zhang, L.; Zhao, S.X.B.; Tian, J.P. Self-help in housing and chengzhongcun in China’s urbanization. Int. J. Urban Reg. Res. 2003, 27, 912–937. [Google Scholar] [CrossRef]
- Lai, Y.; Chan, E.H.W.; Choy, L. Village-led land development under state-led institutional arrangements in urbanising China: The case of Shenzhen. Urban Stud. 2016, 54, 1736–1759. [Google Scholar] [CrossRef]
- Tong, D.; Yuan, Y.; Wang, X.; Wu, L. Spatially varying relationships between land ownership and land development at the urban fringe: A case study of Shenzhen, China. Cities 2020, 105, 102238. [Google Scholar] [CrossRef]
- Wong, S.W.; Chen, X.; Tang, B.-S.; Liu, J. Neoliberal State Intervention and the Power of Community in Urban Regeneration: An Empirical Study of Three Village Redevelopment Projects in Guangzhou, China. J. Plan. Educ. Res. 2021, 44, 619–631. [Google Scholar] [CrossRef]
- Gong, Y.; Li, B.; Tong, D.; Que, J.; Peng, H. Planner-led collaborative governance and the urban form of urban villages in redevelopment: The case of Yangji Village in Guangzhou, China. Cities 2023, 142, 104521. [Google Scholar] [CrossRef]
- Huntington, S.P. Political Order in Changing Societies; Yale University Press: New Haven, CT, USA; London, UK, 2006. [Google Scholar]
- Zhou, Z. Towards collaborative approach? Investigating the regeneration of urban village in Guangzhou, China. Habitat Int. 2014, 44, 297–305. [Google Scholar] [CrossRef]
- Li, J.; Sun, S.; Li, J. The dawn of vulnerable groups: The inclusive reconstruction mode and strategies for urban villages in China. Habitat Int. 2021, 110, 102347. [Google Scholar] [CrossRef]
- Yu, T.; Shen, G.Q.; Shi, Q.; Lai, X.; Li, C.Z.; Xu, K. Managing social risks at the housing demolition stage of urban redevelopment projects: A stakeholder-oriented study using social network analysis. Int. J. Proj. Manag. 2017, 35, 925–941. [Google Scholar] [CrossRef]
- Liu, Z.-Z.; Zhu, Z.-W.; Wang, H.-J.; Huang, J. Handling social risks in government-driven mega project: An empirical case study from West China. Int. J. Proj. Manag. 2016, 34, 202–218. [Google Scholar] [CrossRef]
- Wang, J. Shifting boundaries between the state and society: Village cadres as new activists in collective petition. China Q. 2012, 211, 697–717. [Google Scholar] [CrossRef]
- Yuan, D.; Yau, Y.; Hou, H.; Liu, Y. Factors Influencing the Project Duration of Urban Village Redevelopment in Contemporary China. Land 2021, 10, 707. [Google Scholar] [CrossRef]
- Yuan, D.; Bao, H.; Yau, Y.; Skitmore, M. Case-Based Analysis of Drivers and Challenges for Implementing Government-Led Urban Village Redevelopment Projects in China: Evidence from Zhejiang Province. J. Urban Plan. Dev. 2020, 146, 05020014. [Google Scholar] [CrossRef]
- Xu, G.; Li, Y.; Hay, I.; Zou, X.; Tu, X.; Wang, B. Beyond Place Attachment: Land Attachment of Resettled Farmers in Jiangsu, China. Sustainability 2019, 11, 420. [Google Scholar] [CrossRef]
- Lai, Y.; Tang, B.; Chen, X.; Zheng, X. Spatial determinants of land redevelopment in the urban renewal processes in Shenzhen, China. Land Use Policy 2021, 103, 105330. [Google Scholar] [CrossRef]
- Chen, Y.; Zhang, X.; Chau, K.; Yang, L. How the institutional change in urban redevelopment affects the duration of land redevelopment approval in China? Land Use Policy 2022, 119, 106160. [Google Scholar] [CrossRef]
- Hui, E.C.; Wong, J.T.; Wan, J.K. A review of the effectiveness of urban renewal in Hong Kong. Prop. Manag. 2008, 26, 25–42. [Google Scholar] [CrossRef]
- Teo, K.S. Strata Title and Commonhold-a Look at Selected Aspects of the Singapore and English Legislation. Sing. J. Leg. Stud. 2008, 420–434. [Google Scholar]
- Zhang, Z.; Liu, Y.; Liu, G. Rethinking growth coalition in urban village redevelopment: An empirical study of three villages in Zhuhai, China. Habitat Int. 2022, 121, 102529. [Google Scholar] [CrossRef]
- Liu, Y.; Yau, Y. Urban Entrepreneurialism vs. Market Society: The Geography of China’s Neoliberal Urbanism. Int. J. Urban Reg. Res. 2020, 44, 266–288. [Google Scholar] [CrossRef]
- Pan, W.; Du, J. Towards sustainable urban transition: A critical review of strategies and policies of urban village renewal in Shenzhen, China. Land Use Policy 2021, 111, 105744. [Google Scholar] [CrossRef]
- Yuan, D.; Yau, Y.; Bao, H. Urban village redevelopment in China: Conflict formation and management from a neo-institutional economics perspective. Cities 2024, 145, 104710. [Google Scholar] [CrossRef]
- Yu, T.; Liang, X.; Shen, G.Q.; Shi, Q.; Wang, G. An optimization model for managing stakeholder conflicts in urban redevelopment projects in China. J. Clean. Prod. 2019, 212, 537–547. [Google Scholar] [CrossRef]
- Samsura, D.A.A.; Van der Krabben, E.; Van Deemen, A. A game theory approach to the analysis of land and property development processes. Land Use Policy 2010, 27, 564–578. [Google Scholar] [CrossRef]
- Li, Q.; Bao, H.; Peng, Y.; Wang, H.; Zhang, X. The Collective Strategies of Major Stakeholders in Land Expropriation: A Tripartite Game Analysis of Central Government, Local Governments, and Land-Lost Farmers. Sustainability 2017, 9, 648. [Google Scholar] [CrossRef]
- Liu, G.; Wei, L.; Gu, J.; Zhou, T.; Liu, Y. Benefit distribution in urban renewal from the perspectives of efficiency and fairness: A game theoretical model and the government’s role in China. Cities 2020, 96, 102422. [Google Scholar] [CrossRef]
- Li, X.; Han, S.S.; Wu, H. Urban consolidation, power relations, and dilapidated residential redevelopment in Mutoulong, Shenzhen, China. Urban Stud. 2019, 56, 2802–2819. [Google Scholar] [CrossRef]
- Long, H.; Li, Y.; Liu, Y.; Woods, M.; Zou, J. Accelerated restructuring in rural China fueled by ‘increasing vs. decreasing balance’ land-use policy for dealing with hollowed villages. Land Use Policy 2012, 29, 11–22. [Google Scholar] [CrossRef]
- Hong, K.; Zou, Y.; Zhu, M.; Zhang, Y. A Game Analysis of Farmland Expropriation Conflict in China under Multi-Dimensional Preference: Cooperation or Resistance? Land 2021, 10, 124. [Google Scholar] [CrossRef]
- Zhang, L.; Du, H.; Zhao, Y. Game Behavior Analysis between the Local Government and Land-Lost Peasants in the Urbanization Process. Sustainability 2016, 8, 1213. [Google Scholar] [CrossRef]
- Cheng, Y.; Liu, R. Game analysis about conflict of interest between farmers and local government in farmland acquisition. Resour. Dev. Mark 2016, 32, 196–202. [Google Scholar]
- Zhang, X.; Bao, H.; Skitmore, M. The land hoarding and land inspector dilemma in China: An evolutionary game theoretic perspective. Habitat Int. 2015, 46, 187–195. [Google Scholar] [CrossRef]
- Smith, J.M. Evolutionary game theory. Phys. D Nonlinear Phenom. 1986, 22, 43–49. [Google Scholar] [CrossRef]
- Easley, D.; Kleinberg, J. Networks, Crowds, and Markets: Reasoning About a Highly Connected World; Cambridge University Press: Cambridge, UK, 2010; Volume 1. [Google Scholar]
- Sigmund, K.; Nowak, M.A. Evolutionary game theory. Curr. Biol. 1999, 9, R503–R505. [Google Scholar] [CrossRef]
- Hu, Z.; Song, G.; Hu, Z.; Fang, J. An improved dynamic game analysis of farmers, enterprises and rural collective economic organizations based on idle land reuse policy. Land Use Policy 2024, 140, 107098. [Google Scholar] [CrossRef]
- Gao, J.; Chen, W.; Liu, Y. Spatial restructuring and the logic of industrial land redevelopment in urban China: II. A case study of the redevelopment of a local state-owned enterprise in Nanjing. Land Use Policy 2018, 72, 372–380. [Google Scholar] [CrossRef]
- Yuan, D.; Yau, Y.; Bao, H.; Lin, W. A Framework for Understanding the Institutional Arrangements of Urban Village Redevelopment Projects in China. Land Use Policy 2020, 99, 104998. [Google Scholar] [CrossRef]
- Hui, E.C.; Bao, H. The logic behind conflicts in land acquisitions in contemporary China: A framework based upon game theory. Land Use Policy 2013, 30, 373–380. [Google Scholar] [CrossRef]
- Hess, S. Nail-houses, land rights, and frames of injustice on China’s protest landscape. Asian Surv. 2010, 50, 908–926. [Google Scholar] [CrossRef]
- Carmon, N. Three generations of urban renewal policies: Analysis and policy implications. Geoforum 1999, 30, 145–158. [Google Scholar] [CrossRef]
- Chen, Y.; Zhang, J.; Tadikamalla, P.R.; Gao, X. The relationship among government, enterprise, and public in environmental governance from the perspective of multi-player evolutionary game. Int. J. Environ. Res. Public Health 2019, 16, 3351. [Google Scholar] [CrossRef]
- Cai, S.; Feng, J.; Lin, X.; Li, M.; Zhang, K.; Xue, S. Optimal Information Gray Model of Construction Market Subject from the Perspective of Minimum Cost of Government Supervision. Sci. Technol. Manag. Res. 2019, 39, 224–229. (In Chinese) [Google Scholar]
- Huang, X.; He, D.; Tang, S.; Li, X. Compensation, housing situation and residents’ satisfaction with the outcome of forced relocation: Evidence from urban China. Cities 2020, 96, 102436. [Google Scholar] [CrossRef]
- Sun, S.; Lu, W. Performance Evaluation and Sensitivity Analysis of Rural Land Circulation Mode. Complexity 2021, 2021, 6615306. [Google Scholar] [CrossRef]
- Li, L.H.; Li, X. Redevelopment of urban villages in Shenzhen, China—An analysis of power relations and urban coalitions. Habitat Int. 2011, 35, 426–434. [Google Scholar]
- Yuan, D.; Yau, Y.; Lin, W.; Cheng, J. An Analysis of Transaction Costs Involved in the Urban Village Redevelopment Process in China. Buildings 2022, 12, 692. [Google Scholar] [CrossRef]

| Stakeholders | Symbols | Descriptions |
|---|---|---|
| Local government | S | The cost incurred in supervising the private developer’s actions |
| U | The social benefits derived from urban village redevelopment, including economic growth, urban space optimization, environmental improvement, and security enhancement | |
| C1 | The opportunity cost of not achieving the redevelopment goals | |
| R1 | The improvement in government image brought by supervising the private developer’s behavior | |
| L | The loss in government image was caused by not supervising the private developer and the private developer taking forced demolition | |
| Private developers | R2 | Revenue from adopting a non-forced demolition strategy |
| R3 | Revenue from adopting a forced demolition strategy | |
| C2 | Development cost under a non-forced demolition strategy | |
| C3 | Development cost under a forced demolition strategy | |
| P | Penalty imposed by the local government for adopting a forced demolition strategy | |
| C | The amount of compensation provided to villagers when private developers adopt forced demolition strategy under government supervision | |
| C0 | Sunk costs of preliminary engineering, along with actual and opportunity costs due to project delays | |
| Villagers | R4 | Revenue received when the private developer adopts a non-forced demolition strategy |
| R5 | Revenue received when the private developer adopts a forced demolition strategy | |
| C4 | Cost incurred under the signing contract | |
| C5 | Cost incurred under the non-signing contract |
| Villagers | Local Government | ||
|---|---|---|---|
| Private Developers | Supervision (x) | Non-Supervision (1 − x) | |
| Legal demolition (y) | Agreement (z) | (R1 − S + U, R2 − C2, R4 − C4) | (U, R2 − C2, R4 − C4) |
| Resistance (1 − z) | (R1 − S − C1, − C0, − C5) | (− C1, − C0, − C5) | |
| Illegal demolition (1 − y) | Agreement (z) | (R1 − S + U + P, R3 − C3 − P − C, R5 − C4 + C) | (U − L, R3 − C3, R5 − C4) |
| Resistance (1 − z) | (R1 − S − C1 + P, − P − C0, − C5) | (− C1 − L, − C0, − C5) | |
| Equilibrium Points | Jacobian Matrix Eigenvalues | Results | |||
|---|---|---|---|---|---|
| λ1 | λ2 | λ3 | Real Part Symbol | ||
| E1 (0, 0, 0) | R1 − S + P + L | 0 | R5 − C4 + C5 | (×, 0, +) | Unstable point |
| E2 (0, 0, 1) | R1 − S + P + L | R2 − C2 − R3 + C3 | C4 − C5 − R5 | (−, −, −) | ESS |
| E3 (0, 1, 0) | R1 − S | 0 | R4 − C4 + C5 | (×, 0, +) | Unstable point |
| E4 (0, 1, 1) | R1 − S | C2 − C3 − R2 + R3 | C4 − C5 − R4 | (−, −, −) | ESS |
| E5 (1, 0, 0) | − R1 + S − P − L | P | C + R5 − C4 + C5 | (×, +, +) | Unstable point |
| E6 (1, 0, 1) | S − P − R1 − L | C − C2 + C3 + P + R2 − R3 | C4 − C − C5 − R5 | (−, −, −) | ESS |
| E7 (1, 1, 0) | S − R1 | − P | R4 − C4 + C5 | (×, −, +) | Unstable point |
| E8 (1, 1, 1) | S − R1 | C2 − C − C3 − P − R2 + R3 | C4 − C5 − R4 | (−, −, −) | ESS |
Disclaimer/Publisher’s Note: The statements, opinions and data contained in all publications are solely those of the individual author(s) and contributor(s) and not of MDPI and/or the editor(s). MDPI and/or the editor(s) disclaim responsibility for any injury to people or property resulting from any ideas, methods, instructions or products referred to in the content. |
© 2024 by the authors. Licensee MDPI, Basel, Switzerland. This article is an open access article distributed under the terms and conditions of the Creative Commons Attribution (CC BY) license (https://creativecommons.org/licenses/by/4.0/).
Share and Cite
Yuan, D.; Li, J.; Li, Q.; Fu, Y. Tripartite Evolutionary Game and Policy Simulation: Strategic Governance in the Redevelopment of the Urban Village in Guangzhou. Land 2024, 13, 1867. https://doi.org/10.3390/land13111867
Yuan D, Li J, Li Q, Fu Y. Tripartite Evolutionary Game and Policy Simulation: Strategic Governance in the Redevelopment of the Urban Village in Guangzhou. Land. 2024; 13(11):1867. https://doi.org/10.3390/land13111867
Chicago/Turabian StyleYuan, Dinghuan, Jiaxin Li, Qiuxiang Li, and Yang Fu. 2024. "Tripartite Evolutionary Game and Policy Simulation: Strategic Governance in the Redevelopment of the Urban Village in Guangzhou" Land 13, no. 11: 1867. https://doi.org/10.3390/land13111867
APA StyleYuan, D., Li, J., Li, Q., & Fu, Y. (2024). Tripartite Evolutionary Game and Policy Simulation: Strategic Governance in the Redevelopment of the Urban Village in Guangzhou. Land, 13(11), 1867. https://doi.org/10.3390/land13111867

