Sign in to use this feature.

Years

Between: -

Subjects

remove_circle_outline
remove_circle_outline
remove_circle_outline
remove_circle_outline
remove_circle_outline
remove_circle_outline
remove_circle_outline
remove_circle_outline
remove_circle_outline

Journals

Article Types

Countries / Regions

remove_circle_outline
remove_circle_outline
remove_circle_outline
remove_circle_outline

Search Results (403)

Search Parameters:
Keywords = bottom-ash

Order results
Result details
Results per page
Select all
Export citation of selected articles as:
19 pages, 1895 KB  
Article
Leaching Agent and Iron Distribution Co-Treatment Regulates the Distribution and Migration of Pollutants in Heap-Leached MSWI-BA
by Longyu Fang and Shulian Wang
Sustainability 2026, 18(5), 2612; https://doi.org/10.3390/su18052612 - 7 Mar 2026
Viewed by 237
Abstract
This study investigated the combined effects of leaching agents and iron distribution on the migration behavior of pollutants in municipal solid waste incineration bottom ash (MSWI-BA). A column leaching experiment was designed where the control group (CK) employed deionized water with uniformly distributed [...] Read more.
This study investigated the combined effects of leaching agents and iron distribution on the migration behavior of pollutants in municipal solid waste incineration bottom ash (MSWI-BA). A column leaching experiment was designed where the control group (CK) employed deionized water with uniformly distributed iron. This baseline was systematically compared against treatment groups involving two leaching agents (Na2CO3, Na2SO4) and three iron distribution scenarios (Top, Bottom, and Removal). Compared to the CK, the introduction of Na2CO3 significantly intensified pollutant mobilization: the abundance of microplastics (MPs) increased by 49.33%, chloride leaching rose by 189.99%, and heavy metal (HM) concentrations (Cu, Cr, Pb, As) surged by 2.0–40.6 times. Furthermore, iron distribution played a critical regulatory role; specifically, manipulating iron placement further elevated MP abundance by 80.2% and chloride leaching by 191.03%. Morphological analysis indicated that MPs primarily existed as transparent or yellow particles, films, and fibers, characteristics that remained stable across treatments. Crucially, these findings offer engineering insights for real-world scenarios: retaining a bottom iron-rich layer during stockpiling can act as a reactive barrier to intercept pollutants, whereas carbonate-rich landfill environments require pH-buffering to mitigate MP co-migration. This study provides a theoretical basis for optimizing pretreatment processes (e.g., coordinated washing and magnetic separation) to ensure the safe resource recovery of BA. Full article
(This article belongs to the Section Pollution Prevention, Mitigation and Sustainability)
Show Figures

Figure 1

21 pages, 5114 KB  
Article
Fly Ash and Bottom Ash from Biomass and Coal: Comparison of Properties in Grate and Fluidized Bed Combustion from the Perspective of Construction Applications
by Karolína Králová, Petr Formáček, Martina Šídlová, Rostislav Šulc, Lukáš Mauermann, Klára Betáková and Jan Konvalinka
Sustainability 2026, 18(5), 2592; https://doi.org/10.3390/su18052592 - 6 Mar 2026
Viewed by 141
Abstract
The cement industry seeks alternative raw materials to lower its environmental impact, and biomass ash represents a potential material for construction applications. This study evaluates biomass ashes (BMA) produced from grate and fluidized bed combustion, as well as co-combustion with coal, focusing on [...] Read more.
The cement industry seeks alternative raw materials to lower its environmental impact, and biomass ash represents a potential material for construction applications. This study evaluates biomass ashes (BMA) produced from grate and fluidized bed combustion, as well as co-combustion with coal, focusing on their chemical, mineralogical, and physical characteristics. The results reveal a substantial variability in BMA composition, influenced primarily by the fuel type and combustion method. This heterogeneity critically affects the reactivity and overall suitability of the BMA for use in construction materials. It was found that none of the 23 analyzed samples met the requirements of EN 450-1. This outcome is largely attributable to the combustion process and to sampling from the bottom part of the boiler, which typically yields material with properties outside the limits of the standard. Even when assessed directly against the specific limit values of EN 450-1, the ashes did not comply without further processing or modification. Despite these limitations, BMA show potential for use in accordance with EN 197-1, which permits the incorporation of up to 5 wt.% minor additional constituents. However, their practical application under this framework requires validation through tests performed on hydrated cement. These findings underline both the limitations and the promise of BMA as a supplementary cementitious material (SCMs) in sustainable construction. Full article
(This article belongs to the Special Issue Utilization of Biomass: Energy, Catalysts, and Applications)
Show Figures

Figure 1

27 pages, 2161 KB  
Review
Sustainable Soil Stabilisation Utilising Mineral-Containing Industrial By-Products: A Comprehensive Review
by Md Shamim Hasan, A. B. M. A. Kaish, Taghreed Khaleefa Mohammed Ali, Aizat Mohd Taib, Jacob Lok Guan Lim, Asset Turlanbekov and Zouaoui R. Harrat
Minerals 2026, 16(3), 275; https://doi.org/10.3390/min16030275 - 5 Mar 2026
Viewed by 258
Abstract
Expansive or soft soils cause significant geotechnical issues for foundations and subgrades because they show swell–shrink behaviour under wet and dry conditions. These volume changes can result in cracking, heaving, uneven settlement, and structural or pavement damage, ultimately increasing maintenance and repair costs. [...] Read more.
Expansive or soft soils cause significant geotechnical issues for foundations and subgrades because they show swell–shrink behaviour under wet and dry conditions. These volume changes can result in cracking, heaving, uneven settlement, and structural or pavement damage, ultimately increasing maintenance and repair costs. While traditional Portland cement and lime stabilisers effectively enhance soil strength and reduce swell–shrink behaviour, the cement production process is responsible for only approximately 7%–8% of global CO2 emissions, prompting a transition toward sustainable alternatives. This comprehensive review consolidates recent advancements in soil stabilisation using industrial by-products, such as fly ash, ground granulated blast furnace slag (GGBS), steel slag, cement kiln dust, silica fume, bottom ash, red mud, waste foundry sand, brick dust, calcium carbide residue, water treatment sludge, etc. These materials leverage pozzolanic and latent hydraulic properties to form C-A-H, C-S-H, and N-A-S-H gels, thereby densifying the soil microstructure, improving CBR (%), UCS, and reducing plasticity and swelling potential. Optimisation studies indicate that industrial waste stabilisers often match or exceed conventional binder performance, GGBS-steel slag combinations yielding 105% higher UCS than ordinary Portland cement, and silica fume enhances cement-stabilised soils by 22% at reduced dosages. However, inherent compositional variability, long-term durability concerns including sulfate attack and freeze–thaw degradation, and the absence of standardised design guidelines restrict large-scale implementation. This review integrates mechanistic, microstructural, and sustainability insights, highlighting the need for durability research, standardised methods, and large-scale field validation to advance industrial waste-based stabilisation within circular construction practices in geotechnical engineering. Full article
(This article belongs to the Section Environmental Mineralogy and Biogeochemistry)
Show Figures

Figure 1

28 pages, 10235 KB  
Article
Synthesis and Characterization of a Wood Biomass Ash-Derived Multipurpose Sustainable Lightweight Geopolymer: A Pilot Study in Wastewater Treatment
by Ina Pundienė, Jolanta Pranckevičienė, Aušra Mažeikienė, Yiying Du, Kinga Korniejenko, Vygantas Bagočius and Ernestas Ivanauskas
Sustainability 2026, 18(4), 2128; https://doi.org/10.3390/su18042128 - 21 Feb 2026
Viewed by 263
Abstract
This work supports the circular economy and sustainable material by facilitating the creation of low-carbon materials with enhanced elimination of nutrients from wastewater, thereby assisting in preventing eutrophication. Porous geopolymers, owing to their distinctive pore structure and numerous superior properties, including noise reduction [...] Read more.
This work supports the circular economy and sustainable material by facilitating the creation of low-carbon materials with enhanced elimination of nutrients from wastewater, thereby assisting in preventing eutrophication. Porous geopolymers, owing to their distinctive pore structure and numerous superior properties, including noise reduction and thermal insulation, have a wide range of potential applications in the building sector, chemical industry, and water treatment. Developing low-carbon-footprint porous geopolymer materials is an important step toward creating multipurpose lightweight materials that can serve as structural materials and, at the same time, as adsorbents. In this study, it was revealed that the porous material created during the hydrothermal synthesis of (lime–Portland cement-based aerated composition), by replacement of sand with wood biomass bottom ash (WBA), can be used as porous aggregates (PA) for adsorbent development. PA was produced with an apparent porosity of 65%, a density of 610 kg/m3, and a compressive strength of 2.0 MPa. The effectiveness of employing an air-entraining additive (AEA) and creating PA in geopolymers was tested. A different-molarity activator was used, and wood biomass fly ash (WFA) and metakaolin (MK) waste were used as precursors for the synthesis of porous geopolymers. Using an air-entraining admixture in geopolymers allows for the production of lightweight geopolymers with densities up to 1400 kg/m3, compressive strengths up to 8.0 Mpa, and apparent porosities up to 38.4%. Such properties, together with their low cost, offer good prospects for geopolymers in the construction industry. By utilizing PA in the geopolymer composition, a lightweight geopolymer (GPA) with a density of 985 kg/m3 and a compressive strength of 3.9 Mpa, with 42.0% apparent porosity, was obtained. The materials effectively removed phosphorus from biologically treated wastewater: PA had an efficiency of up to 82.5%, the geopolymer with AEA had an efficiency of up to 88.4%, and GPA had an efficiency of up to 97%. The created GPA enhances the adsorbent’s sorption capacity, resulting in extremely high phosphorus uptake efficiency. Full article
(This article belongs to the Special Issue Sustainable Building Materials for Greener Future)
Show Figures

Figure 1

15 pages, 667 KB  
Article
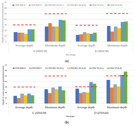
Durability of Concrete Made with Coal Bottom Ash Portland Cements
by Natalia Sanjuán, Silvia Grandes, Miguel Ángel Sanjuán, Pedro López and Aniceto Zaragoza
Materials 2026, 19(4), 773; https://doi.org/10.3390/ma19040773 - 16 Feb 2026
Viewed by 300
Abstract
The Portland cement industry, responsible for approximately 7.4% of global anthropogenic carbon dioxide emissions, must balance rising cement demand with ambitious greenhouse gas reduction targets. In parallel, the rapid accumulation of industrial solid waste highlights the need for effective valorization routes. Reducing the [...] Read more.
The Portland cement industry, responsible for approximately 7.4% of global anthropogenic carbon dioxide emissions, must balance rising cement demand with ambitious greenhouse gas reduction targets. In parallel, the rapid accumulation of industrial solid waste highlights the need for effective valorization routes. Reducing the clinker factor remains a powerful measure to mitigate climate impacts in the cement sector. This study evaluates the durability of concretes made with ground coal bottom ash (CBA), a newly standardized Portland cement constituent, using the depth of penetration of water under pressure test (EN 12390-8). The experimental results show that concretes produced with CEM II/B-Z and CEM II/C-M cements meet both average (≤30 mm) and maximum (≤50 mm) water penetration criteria for mass, reinforced, and prestressed concrete across all EN 206-1 exposure classes. Concretes made with CEM VI (S-L) and CEM VI (S-Z) comply for XS1, XS2, XD, XA1, XM, and XF classes. However, for XS3, XA2, and XA3, compliance (≤20 mm and ≤30 mm) is not achieved when using mix design B (300 kg/m3, w/c = 0.50). These findings provide robust technical evidence supporting CBA as a viable cement constituent that enhances durability while enabling clinker factor reduction. Full article
Show Figures

Graphical abstract

29 pages, 6206 KB  
Article
Mechanical and Environmental Performance of Chemical Pretreated Incineration Bottom Ash as a Supplementary Cementitious Material
by Xiaoyan Wei, Jiaze Wang, Yanlin Zhang, Mingxuan Wu, Jie Yang, Tao Meng, Su Wang, Zhen Shyong Yap, Yinjie Huang, Wu Zhou and Yanfang Wu
Materials 2026, 19(4), 706; https://doi.org/10.3390/ma19040706 - 12 Feb 2026
Cited by 1 | Viewed by 277
Abstract
Municipal solid waste incineration bottom ash (IBA), a major by-product of waste-to-energy plants, is typically landfilled or utilized as low-grade aggregate due to its low intrinsic reactivity and complex composition. This study systematically investigates the efficacy of chemical pretreatment in enhancing the cementitious [...] Read more.
Municipal solid waste incineration bottom ash (IBA), a major by-product of waste-to-energy plants, is typically landfilled or utilized as low-grade aggregate due to its low intrinsic reactivity and complex composition. This study systematically investigates the efficacy of chemical pretreatment in enhancing the cementitious behavior of IBA, specifically examining the effects of alkali type (Ca(OH)2, NaOH, and Na2CO3) and pretreatment duration on reactivity, microstructure, and mechanical performance. The results indicate that Ca(OH)2 activation provides the most significant enhancement; a one-day treatment yielded a 28-day strength activity index (H28) of 76% and facilitated the formation of a compact microstructure rich in ettringite (AFt) and C-S-H gels. Conversely, NaOH and Na2CO3 treatments were less effective, leading to increased porosity and reduced strength attributed to charge imbalance and excessive carbonation, respectively. Prolonged alkaline treatment yielded diminishing returns, causing premature gel densification or excessive silicate depolymerization. Life-cycle assessment (LCA) revealed that Na2CO3 pretreatment entails the highest carbon footprint due to its high molar mass and energy-intensive production, whereas NaOH offers the highest CO2 efficiency per unit of reactivity. Overall, Ca(OH)2 represents a balanced strategy, combining strong activation potential, chemical compatibility, and moderate carbon emissions, thereby supporting the sustainable valorization of IBA in low-carbon cementitious systems. Full article
Show Figures

Figure 1

23 pages, 32404 KB  
Article
Mineralogical, Chemical, and Petrographical Assessment of Fly and Bottom Ashes from Agios Dimitrios Power Plant, N. Greece, for Their Evaluation as Fillers in Concrete Batching
by Chrysoula Chrysakopoulou, Niki Makri, Małgorzata Wojtaszek-Kalaitzidi, Andreas Iordanidis, Lambrini Papadopoulou, Nikos Kouvrakidis, Kimon Christanis and Stavros Kalaitzidis
Minerals 2026, 16(2), 168; https://doi.org/10.3390/min16020168 - 2 Feb 2026
Viewed by 357
Abstract
Coal combustion residues are often useful components for the cement industry. This study represents a material characterization and screening analysis by focusing on the mineralogical, physicochemical, and petrographic compositions of fly and bottom ash samples from four Greek power plants in order to [...] Read more.
Coal combustion residues are often useful components for the cement industry. This study represents a material characterization and screening analysis by focusing on the mineralogical, physicochemical, and petrographic compositions of fly and bottom ash samples from four Greek power plants in order to evaluate their suitability and potential in industrial applications, especially as fillers in cement manufacturing. Proximate analysis revealed LOI values exceeding ASTM C618-22 limits. The sum of SiO2, CaO, and Al2O3 classifies the studied samples as Class C except one. Iron and magnesium oxides are among the major components, while S, Ni, and Sr are also contained in significant amounts. Calcite, quartz, and plagioclases dominate, corresponding to their geochemical profile, while secondary mineral phases (i.e., neo-formed minerals during coal combustion) such as natrolite and gehlenite, were also identified. Relatively high amounts of carbonized organic matter and unburnt organic particles point to the incomplete combustion process, revealing the risk of slagging into the combustion chamber; this is confirmed through the high slagging and fouling indices. The amount of the magnetic fraction is low; magnetic spherules with complex surface structures and a wide range of spherule sizes were observed. While the pozzolanic character of the samples is strong, high values of LOI, S content, and carbonized organic material make them suitable for the cement industry after further treatment only. Full article
Show Figures

Figure 1

18 pages, 2918 KB  
Article
Valorization of Industrial Waste in Monoporosa Ceramic Tile Production
by Caterina Sgarlata, Luciana Cupertino, Lorenzo Serafini and Cristina Siligardi
Ceramics 2026, 9(2), 17; https://doi.org/10.3390/ceramics9020017 - 28 Jan 2026
Viewed by 412
Abstract
The ceramics industry has long embraced the principles of the circular economy, with a strong focus on the reuse and recovery of raw materials essential to the production cycle. This approach reduces costs by reintroducing secondary raw materials—such as production scraps and recycled [...] Read more.
The ceramics industry has long embraced the principles of the circular economy, with a strong focus on the reuse and recovery of raw materials essential to the production cycle. This approach reduces costs by reintroducing secondary raw materials—such as production scraps and recycled materials—into the manufacturing process after appropriate recovery treatments. This study aims to contribute to the transition of the ceramic industry toward a circular economy by incorporating industrial by-products into monoporosa ceramic bodies, thereby transforming waste materials into valuable resources. Monoporosa is a porous, single-fired ceramic wall tile characterized by a high carbonate content and low bulk density. However, the role of secondary raw materials in monoporosa formulations, as well as their influence on processing behavior (e.g., during sintering) and on key technological properties, is not yet fully understood. This work investigates a standard monoporosa formulation based on conventional raw materials (sand, calcite, feldspars, and clays) and compares it with new formulations in which industrial waste materials from local and national sources—originating from other industrial processes—are used as partial or total substitutes for some of the traditional raw materials, particularly sand and calcite. The industrial by-products examined include biomass bottom ash, foundry sand, and marble cutting and processing sludge. All materials were characterized using chemical–mineralogical, thermal, and morphological analyses and were incorporated into the ceramic bodies at different substitution levels (10%, 50%, and 100%) to replace natural raw materials. Their behavior within the mixtures was evaluated to determine ceramic suitability and acceptable replacement ratios. Furthermore, the effects of these additions on water absorption, thermal expansion coefficient, and microstructural characteristics were assessed. Based on the positive results obtained, this study demonstrates the feasibility of using, in particular, two secondary raw materials—foundry sand and marble sludge—in monoporosa body formulations, allowing for the complete replacement of the original raw materials and thereby contributing to the development of more sustainable ceramic compositions. Full article
(This article belongs to the Special Issue Advances in Ceramics, 3rd Edition)
Show Figures

Figure 1

17 pages, 2695 KB  
Article
Bottom Ash from Biomass Combustion in Fluidized Bed Boilers in the Context of the Circular Economy
by Alicja Uliasz-Bocheńczyk and Eugeniusz Mokrzycki
Energies 2026, 19(3), 630; https://doi.org/10.3390/en19030630 - 26 Jan 2026
Viewed by 257
Abstract
This paper presents a comprehensive characterization of bottom ash generated during biomass combustion in fluidized boilers, with a focus on its potential use in a circular economy. Two biomass bottom ash samples (BBA 1 and BBA 2) from commercial combined heat and power [...] Read more.
This paper presents a comprehensive characterization of bottom ash generated during biomass combustion in fluidized boilers, with a focus on its potential use in a circular economy. Two biomass bottom ash samples (BBA 1 and BBA 2) from commercial combined heat and power plants were tested. The scope of this study included the determination of chemical composition, phase composition, and leachability testing of selected impurities. The results showed that the bottom ashes tested are calcium silicate materials with varying proportions of calcium phases (anhydrite, portlandite, and calcite) and silica phases (quartz), depending on the type of biomass and combustion technology. Thermal analysis confirmed the presence of characteristic dehydration, decarbonation, and polymorphic transformations of quartz, with a low organic content. Leachability tests showed low mobility of most trace elements and heavy metals, with increased solubility of sulfates, chlorides, and alkali ions, typical for fluidized ash. The concentrations of As, Cd, Cr, Cu, Pb, Zn, and Hg in the eluates were low or below the limit of quantification, indicating the favorable chemical stability of the tested waste. The results obtained suggest that bottom ashes from biomass combustion in fluidized boilers may be a promising secondary raw material for engineering applications, especially in binding materials and bonded layers, and potentially also in selected agricultural applications, provided that the contents of sulfates, chlorides, and pH are controlled. Full article
Show Figures

Figure 1

9 pages, 1699 KB  
Communication
The Influence of Solid Content Distribution on the Low-Field Nuclear Magnetic Resonance Characterization of Ferric-Containing Alkali-Activated Materials
by Zian Tang, Yuanrui Song, Wenyu Li and Lingling Zhang
Materials 2026, 19(2), 272; https://doi.org/10.3390/ma19020272 - 9 Jan 2026
Viewed by 273
Abstract
Recent applications of low-field NMR in alkali-activated materials (AAMs) often adopt interpretation models developed for Portland cement systems, overlooking the distinct influences of paramagnetic/ferrimagnetic components and free-water redistribution. This study investigates how paramagnetic or ferrimagnetic component and free water distribution influence low-field nuclear [...] Read more.
Recent applications of low-field NMR in alkali-activated materials (AAMs) often adopt interpretation models developed for Portland cement systems, overlooking the distinct influences of paramagnetic/ferrimagnetic components and free-water redistribution. This study investigates how paramagnetic or ferrimagnetic component and free water distribution influence low-field nuclear magnetic resonance (LF-NMR) and proton density magnetic resonance imaging (PD-MRI) characterization of alkali-activated materials (AAMs). Blast furnace slag, fly ash, and steel slag were activated with NaOH solution at liquid-to-solid ratios of 0.45 and 0.5, and analyzed across top, middle, and bottom layers. Slurries prepared with less mixing water and CaO-rich raw materials exhibited negligible settling and uniform relaxation behavior, whereas those with higher water content and CaO-deficient raw materials showed pronounced stratification, resulting in distinct gradients in signal intensity. The results indicate that the LF-NMR data interpretation of relatively dilute system may be unreliable as the relaxation time of protons will be extended after they transfer from bottom to the top of the slurry. A preliminary method for assessing slurry suitability for LF-NMR characterization is proposed for future validation. Full article
(This article belongs to the Section Construction and Building Materials)
Show Figures

Graphical abstract

18 pages, 2389 KB  
Article
Mechanical Properties of Composite Made from Bottom Ash Fractions of Municipal Waste Incineration Plant Products
by Maciej Tram, Katarzyna Sułkowska, Arkadiusz Jarosz and Andrzej Nowakowski
Materials 2025, 18(23), 5302; https://doi.org/10.3390/ma18235302 - 24 Nov 2025
Cited by 1 | Viewed by 704
Abstract
The growing demand for sustainable and circular construction materials has increased interest in reusing by-products from municipal solid waste incineration. Due to the variability in the chemical composition of bottom ash (BA) between different plants, sampling seasons, and particle sizes, an individualized approach [...] Read more.
The growing demand for sustainable and circular construction materials has increased interest in reusing by-products from municipal solid waste incineration. Due to the variability in the chemical composition of bottom ash (BA) between different plants, sampling seasons, and particle sizes, an individualized approach depending on its origin is essential. This study examines the potential of BA as a binding material in composite structures. Composites were prepared from BA fractions of different granulometries, including ground and thermally treated material. Compressive strength tests and structural analyses of density, porosity, and water permeability were performed to evaluate the influence of particle size and heat treatment on binding activity. The results show that smaller particle sizes significantly improved compressive strength, while the highest strength was obtained for samples calcined at 1000 °C, with an average increase of 84% compared to untreated material. Thermal treatment enhanced binding activity through the mobilization of hydration-active compounds bound in non-reactive mineral phases formed during water cooling and also increased water permeability due to the breakdown of porous structures. These findings confirm the potential of BA as a secondary binder in construction materials; however, further research is needed to improve its reactivity and mechanical performance. Full article
Show Figures

Figure 1

31 pages, 3863 KB  
Article
Comparative Life Cycle Assessment of Road Construction and Operation: Evaluating Environmental Sustainability
by Paolo Viotti, Fabio Tatti, Stefano Terralavoro, Mauro Di Prete, Valerio Veraldi and Lavinia Croce
Sustainability 2025, 17(23), 10438; https://doi.org/10.3390/su172310438 - 21 Nov 2025
Viewed by 914
Abstract
This study applies the Life Cycle Assessment (LCA) to evaluate the environmental impacts of different types of road construction, including at-grade sections, trenches, embankments, viaducts, and tunnels. The functional unit used is 100 m, and system boundaries consider raw material extraction, transport, construction, [...] Read more.
This study applies the Life Cycle Assessment (LCA) to evaluate the environmental impacts of different types of road construction, including at-grade sections, trenches, embankments, viaducts, and tunnels. The functional unit used is 100 m, and system boundaries consider raw material extraction, transport, construction, and operation based on a 30-year lifetime. Impact categories considered are Global Warming Potential (GWP), Acidification Potential (AP), Eutrophication Potential (EP), Photochemical Ozone Creation Potential (POCP), and Human Toxicity Potential (HTP). Results show that tunnels generate the highest impacts during construction, particularly in terms of CO2eq and SO2eq, while operational impacts remain similar across all road types. A valuable consideration can be made on the “emissions equivalence” observed when the length of the at-grade road is approximately twice that of the tunnel, enhancing the importance of a “full view” of the impacts. In exploring mitigation strategies, the use of bottom ash from municipal solid waste incineration as an alternative material reduced GWP-related emissions by about 50%. While the existing literature tends to focus on individual types of infrastructure or specific materials, the following work proposes a systemic approach that links design choices to circular economy strategies, quantitatively demonstrating the potential for reducing environmental impacts using secondary materials. Full article
(This article belongs to the Section Green Building)
Show Figures

Figure 1

27 pages, 4942 KB  
Article
Properties of Eco-Friendly Cement Composites Made with Recycled Cement Mortar-Based Artificial Aggregates
by Katarzyna Kalinowska-Wichrowska, Edyta Pawluczuk, Krzysztof Granatyr, Małgorzata Franus, Marta Kosior-Kazberuk, Michał Bołtryk and Adam Masłoń
Materials 2025, 18(22), 5115; https://doi.org/10.3390/ma18225115 - 11 Nov 2025
Viewed by 585
Abstract
Artificial aggregates (AAs) are man-made construction materials, and their properties greatly depend on their manufacturing process (e.g., granulation and hardening) and the raw materials used. The conducted research aimed to determine the most advantageous composition of artificial aggregates prepared based on three wastes [...] Read more.
Artificial aggregates (AAs) are man-made construction materials, and their properties greatly depend on their manufacturing process (e.g., granulation and hardening) and the raw materials used. The conducted research aimed to determine the most advantageous composition of artificial aggregates prepared based on three wastes simultaneously: municipal waste incineration ash (MWIA), sediment from the bottom of a water reservoir (SBWR), recycled cement mortar (RCM)- which was the main waste. A production process of such aggregates was also developed, with the setting of the hardening temperature (20 °C, 200 °C, 400 °C). The X-ray diffractometry (XRD), differential thermal analysis (DTA), and thermogravimetry analysis (TGA) were used to characterize the waste. Then, the properties of cementitious composites prepared with artificial aggregate with the best strength parameters of 0–100% of the natural aggregate were determined. Carbon footprint calculations were performed for the production of artificial aggregate, depending on its composition and for cementitious composites. Full article
Show Figures

Figure 1

34 pages, 10117 KB  
Article
Gas Evolution and Stability of Alkali-Activated MSWI Slag and Fly Ash: Implications for Safe Use and Energy Valorization
by Beata Łaźniewska-Piekarczyk, Grzegorz Dzido, Monika Czop and Małgorzata Kajda-Szcześniak
Energies 2025, 18(21), 5857; https://doi.org/10.3390/en18215857 - 6 Nov 2025
Viewed by 617
Abstract
This study investigates the valorization of municipal solid waste incineration (MSWI) residues—specifically bottom ash with slag (BA + S) and fly ash (FA)—through alkaline activation in geopolymer and cementitious systems. The research demonstrates that alkali activation significantly improves mechanical properties, with compressive strengths [...] Read more.
This study investigates the valorization of municipal solid waste incineration (MSWI) residues—specifically bottom ash with slag (BA + S) and fly ash (FA)—through alkaline activation in geopolymer and cementitious systems. The research demonstrates that alkali activation significantly improves mechanical properties, with compressive strengths up to 45.9 MPa for cement mortars and 33.2 MPa for geopolymers. A key innovation includes the quantification of hydrogen gas release during activation, with up to 72.5 dm3/kg H2 from BA + S, offering insights into binder design and potential green hydrogen recovery. Environmental leachability assessments confirmed that activated BA + S immobilizes heavy metals effectively, although FA showed higher barium and lead leaching. Morphological analysis (SEM, granulometry) revealed microstructural changes enhancing reactivity. Additionally, a practical swelling test is proposed for early detection of expansion risk. The findings contribute to the development of sustainable, high-performance binders from waste, with implications for circular economy and energy valorization strategies. Full article
Show Figures

Graphical abstract

19 pages, 1275 KB  
Article
The Possibilities for Using Ash and Slag Waste in Civil Engineering
by Natalia Stankiewicz and Wioleta Rutkowska
Appl. Sci. 2025, 15(21), 11822; https://doi.org/10.3390/app152111822 - 6 Nov 2025
Viewed by 541
Abstract
This research aimed to improve our understanding of how ash and slag waste (ASW) could be used in civil engineering. The present study concentrated on the utilisation of bottom sand (ASW) in cement composites as a replacement for a part of aggregate and [...] Read more.
This research aimed to improve our understanding of how ash and slag waste (ASW) could be used in civil engineering. The present study concentrated on the utilisation of bottom sand (ASW) in cement composites as a replacement for a part of aggregate and the evaluation of the pozzolanic properties of the material. This would enable its use as a binder in non-cementitious or cementitious composites. The basic properties of the modified mortars were investigated. The pozzolanic activity index (PAI) of the bottom sand was also tested using two methods. Analysis of the test results shows that we can replace natural aggregate with 25% bottom sand without significantly impairing the properties of the modified composites. However, the tested ASW does not exhibit pozzolanic activity. Consequently, it should not be used as a binder substitute in cementitious or non-cementitious composites. Full article
Show Figures

Figure 1

Back to TopTop