Properties of Eco-Friendly Cement Composites Made with Recycled Cement Mortar-Based Artificial Aggregates
Abstract
1. Introduction
2. Materials and Methods
2.1. Materials
2.2. Research Methodology
2.3. Production Process of Artificial Aggregate
3. Test Results and Discussion
3.1. Composition and Properties of Artificial Aggregate
3.1.1. Determination of the Type of Activator
3.1.2. Formulation of Aggregate Composition
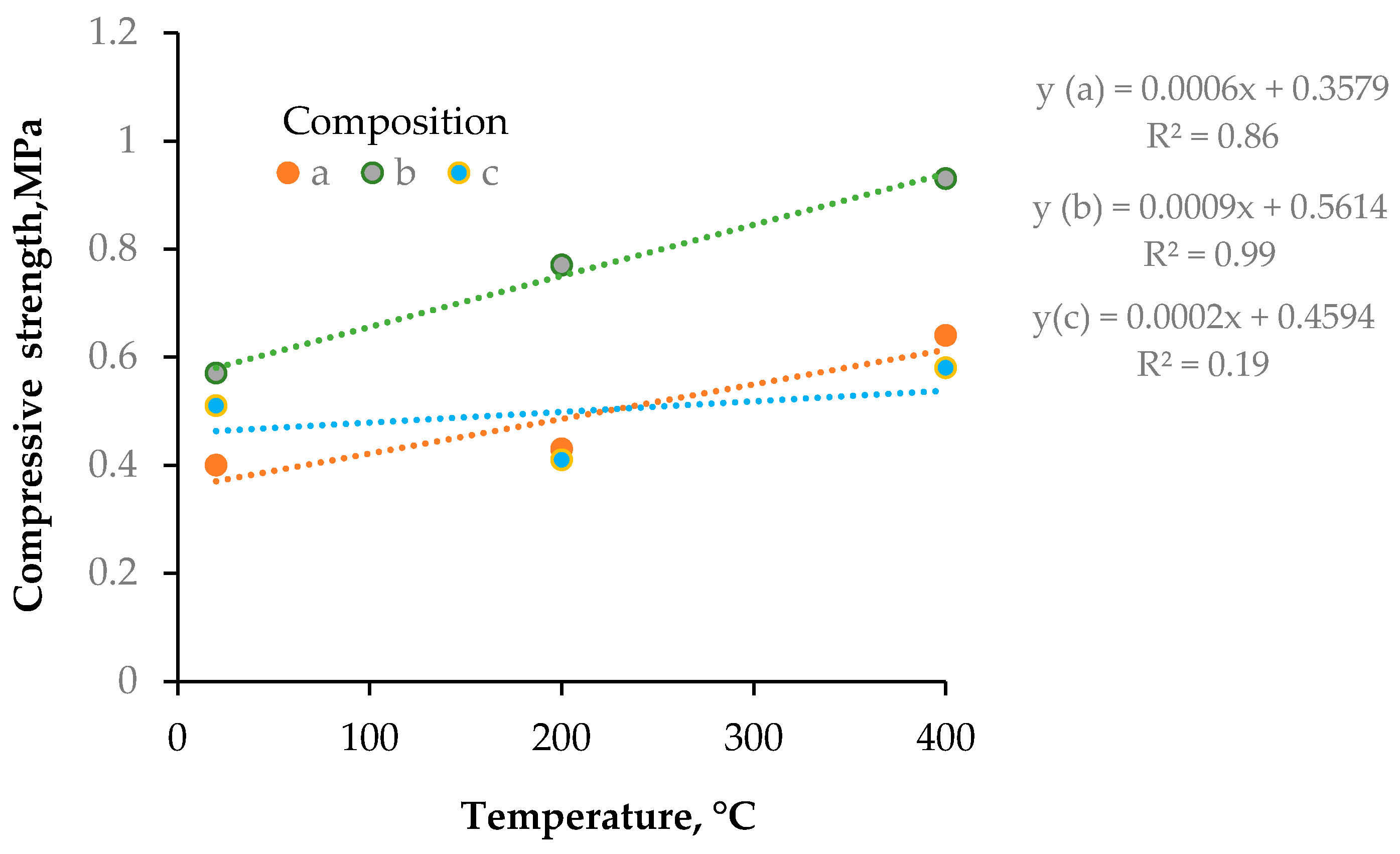
3.1.3. Physical and Mechanical Properties of Artificial Aggregates
3.2. Properties of Cement Composites with Artificial Aggregate
3.2.1. Experimental Plan
3.2.2. Cement Composite Mix Composition
3.2.3. Workability and Density of Fresh Cement Composite
3.2.4. Test Results of Hardened Cement Composite
- Flexural strength after 14 and 28 days
- Compressive strength after 14 and 28 days
- Water absorption
- Volume density
4. SEM Images Analysis
5. Environmental Impact of Aggregate and Composite Manufacturing
6. Conclusions
- It is possible to produce artificial aggregate containing up to 70% waste materials; however, the use of an alkaline activator is necessary.
- The highest compressive strength of the aggregate was achieved at a 50% content of recycled cement mortar and a curing temperature of 400 °C. Thermal curing plays a crucial role in the polymerization process; however, it also increases the aggregate porosity due to the combustion (or thermal decomposition) of fine particles, particularly those originating from incineration ash.
- The presence of artificial aggregates significantly reduces the workability of fresh composites due to their high water absorption; therefore, the use of plasticizers should be considered when their content exceeds 50%.
- The best compressive and flexural strength results of composites with artificial aggregates were obtained in Series 7, containing 25% Aas, cured at 400 °C.
- At artificial aggregate contents above 25%, the composite’s density falls below 2.0 g/cm3, classifying it as lightweight; however, this is accompanied by increasing water absorption.
- The produced artificial aggregates can replace natural aggregates up to 25%, representing an important form of waste valorisation and aligning with circular economy principles.
Author Contributions
Funding
Data Availability Statement
Conflicts of Interest
References
- Lilargem Rocha, D.; Tambara Júnior, L.U.D.; Marvila, M.T.; Pereira, E.C.; Souza, D.; de Azevedo, A.R.G. A Review of the Use of Natural Fibers in Cement Composites: Concepts, Applications and Brazilian History. Polymers 2022, 14, 2043. [Google Scholar] [CrossRef]
- Prasittisopin, L.; Tuvayanond, W.; Kang, T.H.-K.; Kaewunruen, S. Concrete Mix De-sign of Recycled Concrete Aggregate (RCA): Analysis of Review Papers, Characteris-tics, Research Trends, and Underexplored Topics. Resources 2025, 14, 21. [Google Scholar] [CrossRef]
- Huang, L.; Krigsvoll, G.; Johansen, F.; Liu, Y.; Zhang, X. Carbon emission of global construction sector. Renew. Sustain. Energy Rev. 2018, 81, 1906–1916. [Google Scholar] [CrossRef]
- Sizirici, B.; Fseha, Y.; Cho, C.-S.; Yildiz, I.; Byon, Y.-J. A Review of Carbon Footprint Reduction in Construction Industry, from Design to Operation. Materials 2021, 14, 6094. [Google Scholar] [CrossRef] [PubMed]
- Kozioł, W.; Machniak, Ł.; Borcz, A.; Baic, I. Mining of Aggregates in Poland—Opportunities and Threats. Inz. Miner. Pol. Miner. Eng. Soc. 2016, 1, 175–182. [Google Scholar] [CrossRef]
- Universities and Employers Association. Annual Review 2020–2021; Universities and Employers Association: London, UK, 2021. [Google Scholar]
- Pacheco-Torgal, F. Introduction to the recycling of construction and demolition waste (CDW). In Handbook of Recycled Concrete and Demolition Waste; Woodhead Publishing: Cambridge, UK, 2013; pp. 1–6. [Google Scholar] [CrossRef]
- Rodriguez-Robles, D.; Van den Heede, P.; De Belie, N. Life cycle assessment applied to recycled aggregate concrete (book chapter). In New Trends in Eco-Efficient and Recycled Concrete; Woodhead Publishing: Cambridge, UK, 2019; pp. 207–256. [Google Scholar] [CrossRef]
- Tam, V.; Soomro, M.; Evangelista, A. A review of recycled aggregate in concrete applications (2000–2017). Constr. Build. Mater. 2018, 172, 272–292. [Google Scholar] [CrossRef]
- Ren, P.; Ling, T.-C.; Mo, K.H. Recent advances in artificial aggregate production. J. Clean. Prod. 2020, 291, 125215. [Google Scholar] [CrossRef]
- Tang, P.; Xuan, D.; Cheng, H.W.; Poon, C.S.; Tsang, D.C.W. Use of CO2 curing to enhance the properties of cold bonded lightweight aggregates (CBLAs) produced with concrete slurry waste (CSW) and fine incineration bottom ash (IBA). J. Hazard. Mater. 2020, 381, 120951. [Google Scholar] [CrossRef]
- Raj, A.; Yamkasikorn, P.; Kunawisarut, A.; Ngamkhanong, C.; Jongvivatsakul, P.; Prasittisopin, L.; Panpranot, J.; Kaewunruen, S. Enhancing recycled aggregate concrete with graphene quantum dots (GQDs): Refining wastes from construction demolitions and out-of-service railway sleepers. Dev. Built Environ. 2025, 23, 100729. [Google Scholar] [CrossRef]
- Colangelo, F.; Messina, F.; Cioffi, R. Recycling of MSWI fly ash by means of cementitious double step cold bonding pelletization: Technological assessment for the production of lightweight artificial aggregates. J. Hazard. Mater. 2015, 299, 181–191. [Google Scholar] [CrossRef]
- Hao, D.L.C.; Razak, R.A.; Kheimi, M.; Yahya, Z.; Abdullah, M.M.A.B.; Burduhos Nergis, D.D.; Fansuri, H.; Ediati, R.; Mohamed, R.; Abdullah, A. Artificial Lightweight Aggregates Made from Pozzolanic Material: A Review on the Method, Physical and Mechanical Properties, Thermal and Microstructure. Materials 2022, 15, 3929. [Google Scholar] [CrossRef] [PubMed]
- EN 13055:2016; Lightweight Aggregates. European Committee for Standardization (CEN): Brussels, Belgium, 2016.
- Hankrishnan, K.; Ramamurthy, K. Influence of pelletization process on the properties of fly ash aggregates. Waste Manag. 2006, 26, 846–852. [Google Scholar] [CrossRef] [PubMed]
- Huang, C.; Wang, S. Application of water treatment sludge in the manufacturing of lightweight aggregate. Constr. Build. Mater. 2013, 43, 174–183. [Google Scholar] [CrossRef]
- González-Corrochano, B.; Alonso-Azcárate, J.; Rodas, M. Characterization of lightweight aggregates manufactured from washing aggregate sludge and fly ash. Resour. Conserv. Recycl. 2009, 53, 571–581. [Google Scholar] [CrossRef]
- Ramamurthy, K.; Harikrishnan, K. Influence of binders on properties of sintered fly ash aggregate. Cem. Concr. Compos. 2006, 28, 33–38. [Google Scholar] [CrossRef]
- Somani, P.; Gaur, A.; Dhemla, P. Impact of Sintered Fly Ash Aggregate on Mechanical, Durability, and Thermal Performance of Concrete. J. Struct. Des. Constr. Pract. 2025, 30, 04024072. [Google Scholar] [CrossRef]
- Qian, L.; Xu, L.; Alrefaei, Y.; Wang, T.; Ishida, T.; Dai, J. Artificial alkali-activated aggregates developed from wastes and by-products: A state-of-the-art review. Resour. Conserv. Recycl. 2022, 177, 105971. [Google Scholar] [CrossRef]
- Vali, K.; Murugan, S. Effect of different binders on cold-bonded artificial lightweight aggregate properties. Adv. Concr. Constr. 2020, 9, 183–193. [Google Scholar] [CrossRef]
- Jiang, Y.; Ling, T. Production of artificial aggregates from steel-making slag: Influences of accelerated carbonation during granulation and/or post-curing. J. CO2 Util. 2020, 36, 135–144. [Google Scholar] [CrossRef]
- Shang, X.; Fang, Z.; Huang, W.; Chen, Y.; Qu, N.; Zhong, R. Lightweight concrete with low-carbon artificial aggregates recycled from biomass ash and slurry waste. Constr. Build. Mater. 2024, 429, 136368. [Google Scholar] [CrossRef]
- Abdullah, A.; Hussin, K.; Abdullah, M.M.A.B.; Yahya, Z.; Sochacki, W.; Razak, R.A.; Błoch, K.; Fansuri, H. The Effects of Various Concentrations of NaOH on the Inter-Particle Gelation of a Fly Ash Geopolymer Aggregate. Materials 2021, 14, 1111. [Google Scholar] [CrossRef] [PubMed]
- Chien, C.; Show, K.Y.; Huang, C.; Chang, Y.J.; Lee, D.J. Effects of sodium salt additive to produce ultra lightweight aggregates from industrial sludge-marine clay mix: Laboratory trials. J. Taiwan Inst. Chem. Eng. 2020, 111, 105–109. [Google Scholar] [CrossRef]
- Wang, S.; Yu, L.; Yang, F.; Zhang, W.; Xu, L.; Wu, K.; Tang, L.; Yang, Z. Resourceful utilization of quarry tailings in the preparation of non-sintered high-strength lightweight aggregates. Constr. Build. Mater. 2022, 334, 127444. [Google Scholar] [CrossRef]
- Domagała, L. The effect of lightweight aggregate water absorption on the reduction of water-cement ratio in fresh concrete. Procedia Eng. 2015, 108, 206–213. [Google Scholar] [CrossRef]
- B K A, M.A.R.; Ngamkhanong, C.; Wu, Y.; Kaewunruen, S. Recycled Aggregates Concrete Compressive Strength Prediction Using Artificial Neural Networks (ANNs). Infrastructures 2021, 6, 17. [Google Scholar] [CrossRef]
- Zhang, M.; Gjorv, O. Mechanical-Properties of High-Strength Lightweight Concrete. ACI Mater. J. 1991, 88, 240–247. [Google Scholar]
- Wyrzykowski, M.; Toropovs, N.; Winnefeld, F.; Lura, P. Cold-bonded biochar-rich lightweight aggregates for net-zero concrete. J. Clean. Prod. 2023, 434, 140008. [Google Scholar] [CrossRef]
- EN 197-1:2011; Cement—Part 1: Composition, Specifications and Conformity Criteria for Common Cements. European Committee for Standardization (CEN): Brussels, Belgium, 2011.
- EN 1008:2002; Mixing Water for Concrete—Specification for Sampling, Testing and Assessing the Suitability of Water, Including Water Recovered from Processes in the Concrete Industry, as Mixing Water for Concrete. European Committee for Standardization (CEN): Brussels, Belgium, 2002.
- Weise, K.; Ukrainczyk, N.; Koenders, E. Pozzolanic Reactions of Metakaolin with Calcium Hydroxide: Review on Hydrate Phase Formations and Effect of Alkali Hydroxides, Carbonates and Sulfates. Mater. Des. 2023, 231, 112062. [Google Scholar] [CrossRef]
- Jaworek, A.; Czech, T.; Sobczyk, A.T.; Krupa, A. Properties of biomass vs. coal fly ashes deposited in electrostatic precipitator. J. Electrost. 2013, 71, 165–175. [Google Scholar] [CrossRef]
- Agrela, F.; Cabrera, M.; Morales, M.M.; Zamorano, M.; Alshaaer, M. Biomass fly ash and biomass bottom ash. In New Trends in Eco-Efficient and Recycled Concrete; Woodhead Publishing: Cambridge, UK, 2019; pp. 23–58. [Google Scholar] [CrossRef]
- Tomczyk-Wydrych, I.; Swiercz, A. Methods of management of bottom sediments from selected water reservoirs—A literature review. Geologos 2021, 27, 127–134. [Google Scholar] [CrossRef]
- EN 933-1:2012; Tests for Geometrical Properties of Aggregates—Determination of Particle Size Distribution. Sieving Method. European Committee for Standardization (CEN): Brussels, Belgium, 2012.
- Scherb, S.; Köberl, M.; Beuntner, N.; Thienel, K.-C.; Neubauer, J. Reactivity of Metakaolin in Alkaline Environment: Correlation of Results from Dissolution Experiments with XRD Quantifications. Materials 2020, 13, 2214. [Google Scholar] [CrossRef]
- Avet, F.; Li, X.; Scrivener, K. Determination of the amount of reacted metakaolin in calcined clay blends. Cem. Concr. Res. 2018, 106, 40–48. [Google Scholar] [CrossRef]
- Findoráková, L.; Sestinová, O.; Hanculák, J.; Fedorová, E.; Spaldon, T.; Drusa, M.; Bednarik, M. Thermal and Spectral Characterization of Bottom Sediment from the Water Reservoir Ruzin No.1 in Eastern Slovakia. Procedia Earth Planet. Sci. 2015, 15, 839–843. [Google Scholar] [CrossRef][Green Version]
- Handoo, S.K.; Agarwal, S.; Agarwal, S.K. Physicochemical, mineralogical, and morphological characteristics of concrete exposed to elevated temperatures. Cem. Concr. Res. 2002, 32, 1009–1018. [Google Scholar] [CrossRef]
- Ma, C.; Awang, A.; Omar, W. Structural and material performance of geopolymer concrete: A review. Constr. Build. Mater. 2018, 186, 90–102. [Google Scholar] [CrossRef]
- Anitha, M.; Garg, A.; Ramesh Babu, T.S. Experimental study of geopolymer concrete with recycled fine aggregates and alkali activators. CSCEE 2023, 8, 100501. [Google Scholar] [CrossRef]
- EN 12620:2013; Aggregates for Concrete. European Committee for Standardization (CEN): Brussels, Belgium, 2013.
- EN 1097-3:2000; Tests for Mechanical and Physical Properties of Aggregates—Part 3: Determination of Loose Bulk Density and Voids. European Committee for Standardization (CEN): Brussels, Belgium, 2000.
- EN 1097-6:2022; Tests for Mechanical and Physical Properties of Aggregates—Part 6: Determination of Particle Density and Water Absorption. European Committee for Standardization (CEN): Brussels, Belgium, 2022.
- EN 1015-3:1999; Methods of Test for Mortar for Masonry—Part 3: Determination of Consistence of Fresh Mortar (by Flow Table). European Committee for Standardization (CEN): Brussels, Belgium, 1999.
- EN 1015-6:1998; Methods of Test for Mortar for Masonry—Part 6: Determination of Bulk Density of Fresh Mortar. European Committee for Standardization (CEN): Brussels, Belgium, 1998.
- EN 196-1:2016; Methods of Testing Cement—Part 1: Determination of Strength. European Committee for Standardization (CEN): Brussels, Belgium, 2016.
- PN-88/B-06250:1988; Ordinary Concrete. Polski Komitet Normalizacyjny (PKN): Warsaw, Poland, 1988.
- Mehta, P.K.; Monteiro, P.J.M. Concrete: Microstructure, Properties, and Materials, 4th ed.; McGraw-Hill Education: New York, NY, USA, 2014. [Google Scholar]
- Mulvaney, D. (Ed.) Green Technology: An A-to-Z Guide; SAGE Publications, Inc.: Thousand Oaks, CA, USA, 2011. [Google Scholar] [CrossRef]
- Vu, C.-C.; Plé, O.; Weiss, J.; Amitrano, D. Revisiting the concept of characteristic compressive strength of concrete. Constr. Build. Mater. 2020, 263, 120126. [Google Scholar] [CrossRef]
- Zhang, S.; Zong, L. Evaluation of Relationship between Water Absorption and Durability of Concrete Materials. Adv. Mater. Sci. Eng. 2014, 2014, 650373. [Google Scholar] [CrossRef]
- Kamath, M.; Prashant, S.; Ralegaonkar, R. Microstructure Properties of Popular Alkali-Activated Pastes Cured in Ambient Temperature. Buildings 2023, 13, 858. [Google Scholar] [CrossRef]
- Kim, Y.-H.; Park, C.B.; Choi, B.I.; Shin, T.Y.; Jun, Y.; Kim, J.H. Quantitative Measurement of Water Absorption of Coarse Lightweight Aggregates in Freshly-Mixed Concrete. Int. J. Concr. Struct. Mater. 2020, 14, 34. [Google Scholar] [CrossRef]
- ISO 14040:2006; Environmental Management—Life Cycle Assessment—Principles and Framework. International Organization for Standardization (ISO): Geneva, Switzerland, 2006.
- ISO 14044:2006; Environmental Management—Life Cycle Assessment—Requirements and Guidelines. International Organization for Standardization (ISO): Geneva, Switzerland, 2006.
- Lei, B.; Yu, L.; Chen, Z.; Yang, W.; Deng, C.; Tang, Z. Carbon Emission Evaluation of Recycled Fine Aggregate Concrete Based on Life Cycle Assessment. Sustainability 2022, 14, 14448. [Google Scholar] [CrossRef]
- Li, L.; Du, G.; Yan, B.; Wang, Y.; Zhao, Y.; Su, J.; Li, H.; Du, Y.; Sun, Y.; Chen, G.; et al. Carbon Footprint Analysis of Sewage Sludge Thermochemical Conversion Technologies. Sustainability 2023, 15, 4170. [Google Scholar] [CrossRef]
- Larsen, A.; Astrup, T. CO2 emission factors for waste incineration: Influence from source separation of recyclable materials. Waste Manag. 2011, 31, 1597–1605. [Google Scholar] [CrossRef]
- Rose, D.; Shirzad, S. Innovations in Green Concrete: Combining Metakaolin and Arundo Grass Biochar for Enhanced Sustainability. Sustainability 2024, 16, 11219. [Google Scholar] [CrossRef]
- Rincón, L.; Ruiz, C.; Contreras, R.R.; Almarza, J. Study of the NaOH(s)–CO2(g) reaction creating value for industry: Green natrite production, energy, and its potential in different sustainable scenarios. Env. Sci. Adv. 2023, 2, 957–966. [Google Scholar] [CrossRef]





















| Parameter | Average Value of the Parameter |
|---|---|
| Blaine’s specific surface area, cm2/g | 3522.0 |
| Initial setting time, min | 298.0 |
| Final setting time, min | 397.0 |
| Compressive strength after 2 days, MPa | 17.20 |
| Compressive strength after 28 days, MPa | 47.95 |
| Specific density, g/cm3 | 2.81 |
| Water demand, % | 28.7 |
| Sulfate content (as SO3), % | 2.64 |
| Chloride content (as Cl), % | 0.063 |
| Alkali content (as Na2O), % | 1.3 |
| Component | Municipal Waste Incineration Ash (MWIA) | Sediment from the Bottom of a Water Reservoir (SBWR) | Recycled Cement Mortar (RCM) | Metakaolin (MK) |
|---|---|---|---|---|
| (%) | ||||
| Na2O | 4.65 | - | - | 0.03 |
| MgO | 6.57 | 1.15 | 1.59 | 0.02 |
| Al2O3 | 0.53 | 9.36 | 2.85 | 50.24 |
| SiO2 | 1.48 | 65.53 | 34.40 | 41.90 |
| P2O5 | - | 0.32 | - | 0.10 |
| SO3 | 6.99 | 0.46 | 0.85 | 0.04 |
| Cl | 1.04 | - | 0.03 | - |
| K2O | 5.45 | 2.82 | 1.08 | 0.25 |
| CaO | 48.04 | 5.31 | 39.39 | 0.34 |
| TiO2 | 0.30 | 0.80 | 0.19 | 1.12 |
| Cr2O3 | 0.01 | 0.02 | - | 0.02 |
| MnO | 0.05 | 0.14 | 0.06 | 0.003 |
| Fe2O3 | 0.48 | 5.14 | 2.13 | 1.95 |
| CuO | 0.04 | - | - | 0.002 |
| ZnO | 1.04 | 0.02 | 0.04 | 0.01 |
| LOI | 23.33 | 8.78 | 17.34 | 0.63 |
| RCM | Components of the RCM, % of Mass | ||||
| Bound Water | Ca(OH)2 | CaCO3 | |||
| HI | HCH | Σ | |||
| 2.28 | 1.39 | 3.67 | 5.71 | 27.83 | |
| X1—Hardening Temperature of Aggregates [°C] | X2—RCM Content in the Ingredients Mass [%] |
|---|---|
| 20 | 40 |
| 200 | 50 |
| 400 | 60 |
| Component | Amount, % | ||
|---|---|---|---|
| Composition A | Composition B | Composition C | |
| RCM | 40 | 50 | 60 |
| MWIA | 17.5 | 10 | 10 |
| MK | 17.5 | 10 | 10 |
| SBWR | 5 | 10 | 0 |
| NaOH 10 M (16% + 4% water) | 20 | 20 | 20 |
| Series | Variables | |
|---|---|---|
| X1, °C | X2, [%] | |
| 1 | 20 | A |
| 2 | 20 | B |
| 3 | 20 | C |
| 4 | 200 | A |
| 5 | 200 | B |
| 6 | 200 | C |
| 7 | 400 | A |
| 8 | 400 | B |
| 9 | 400 | C |
| Series | Composition/Fraction, mm | Hardening Temperature, °C | Bulk Density in a Loose State, g/cm3 | Bulk Density in a Compacted State, g/cm3 | Volume Density, g/cm3 | Water Absorption, % Mass | Compressive Strength, MPa | |
|---|---|---|---|---|---|---|---|---|
| 1 | A | 2–8 | 20 °C | 0.86 | 1.01 | 1.98 | 10.3 | 0.40 |
| 8–32 | 0.74 | 0.84 | 2.05 | 7.2 | ||||
| 2 | B | 2–8 | 0.95 | 1.06 | 2.10 | 8.9 | 0.57 | |
| 8–32 | 0.77 | 0.86 | 1.90 | 9.3 | ||||
| 3 | C | 2–8 | 0.96 | 1.07 | 2.04 | 9.6 | 0.51 | |
| 8–32 | 0.77 | 0.86 | 1.99 | 8.0 | ||||
| 4 | A | 2–8 | 200 °C | 0.82 | 0.98 | 1.83 | 15.5 | 0.43 |
| 8–32 | 0.68 | 0.80 | 1.61 | 19.9 | ||||
| 5 | B | 2–8 | 0.95 | 1.05 | 1.97 | 11.6 | 0.77 | |
| 8–32 | 0.76 | 0.91 | 1.89 | 9.9 | ||||
| 6 | C | 2–8 | 0.99 | 1.10 | 1.89 | 14.2 | 0.41 | |
| 8–32 | 0.81 | 0.92 | 2.04 | 7.7 | ||||
| 7 | A | 2–8 | 400 °C | 0.85 | 0.98 | 1.81 | 16.2 | 0.64 |
| 8–32 | 0.68 | 0.78 | 1.70 | 14.5 | ||||
| 8 | B | 2–8 | 0.87 | 1.01 | 1.83 | 15.8 | 0.93 | |
| 8–32 | 0.77 | 0.84 | 1.71 | 14.7 | ||||
| 9 | C | 2–8 | 0.95 | 1.06 | 1.94 | 12.3 | 0.58 | |
| 8–32 | 0.73 | 0.86 | 1.77 | 13.3 | ||||
| X1—Temperature of Aggregate Hardening, °C | X2—Proportion of 2–8 mm Fraction of Artificial Aggregate, % |
|---|---|
| 20 | 25 |
| 200 | 50 |
| 400 | 100 |
| Series | Variables | |
|---|---|---|
| X1, °C | X2, % | |
| 1_20_25 | 20 | 25 |
| 2_20_50 | 20 | 50 |
| 3_20_100 | 20 | 100 |
| 4_200_25 | 200 | 25 |
| 5_200_50 | 200 | 50 |
| 6_200_100 | 200 | 100 |
| 7_400_25 | 400 | 25 |
| 8_400_50 | 400 | 50 |
| 9_400_100 | 400 | 100 |
| 10_20_0 | 20 | 0 |
| Composition | Artificial Aggregate Content | |||
|---|---|---|---|---|
| 0% | 25% | 50% | 100% | |
| CEM II B-V 32.5R, [kg/m3] | 320 | 320 | 320 | 320 |
| Water [kg/m3] | 160 | 160 | 160 | 160 |
| w/c | 0.50 | 0.50 | 0.50 | 0.50 |
| Sand 0–2 mm [kg/m3] | 878.6 | 878.6 | 878.6 | 878.6 |
| Gravel aggregate 2–8 mm [kg/m3] | 1073.8 | 805.4 | 536.9 | 0 |
| Artificial aggregate 2–8 mm [kg/m3] | 0 | 152 | 303.9 | 607.8 |
| Component | Carbon Footprint, kg CO2 e/t | Artificial Aggregate Composition | ||
|---|---|---|---|---|
| A | B | C | ||
| RCM | 0.598 [60] | 0.24 | 0.30 | 0.36 |
| SBWR | 242.02 [61] | 42.35 | 24.20 | 24.20 |
| MWIA | 400 (1) [62] | 70.00 | 40.00 | 40.00 |
| MK | 330 [63] | 16.50 | 33.00 | 0.00 |
| NaOH, 10 M | 332 (2) (830 for NaOH) [64] | 53.12 | 53.12 | 53.12 |
| water | 0 | 0.00 | 0.00 | 0.00 |
| granulation | 10.5 (3) | 10.50 | 10.50 | 10.50 |
| Total, kg CO2/t for artificial aggregate | 192.71 | 161.12 | 128.18 | |
| Composition | Carbon Footprint (kg CO2 e/t) | Carbon Footprint kg/m3 | |||
|---|---|---|---|---|---|
| 0% | 25% | 50% | 100% | ||
| CEM II B-V 32.5R, kg/m3 | 473.0 (1) | 151.36 | 151.36 | 151.36 | 151.36 |
| Water, kg/m3 | 0 | 0 | 0 | 0 | 0 |
| Sand 0–2 mm, kg/m3 | 6.0 (2) | 5.2716 | 5.2716 | 5.2716 | 5.2716 |
| Gravel aggregate 2–8 mm, kg/m3 | 9.0 (2) | 9.6642 | 7.2486 | 4.8321 | 0 |
| Artificial aggregate 2–8 mm, kg/m3 | 161.12 | 0.000 | 24.490 | 48.965 | 97.929 |
| Total, kg CO2 e/m3 of composite | 159.9 | 188.9 | 210.9 | 255.1 | |
Disclaimer/Publisher’s Note: The statements, opinions and data contained in all publications are solely those of the individual author(s) and contributor(s) and not of MDPI and/or the editor(s). MDPI and/or the editor(s) disclaim responsibility for any injury to people or property resulting from any ideas, methods, instructions or products referred to in the content. |
© 2025 by the authors. Licensee MDPI, Basel, Switzerland. This article is an open access article distributed under the terms and conditions of the Creative Commons Attribution (CC BY) license (https://creativecommons.org/licenses/by/4.0/).
Share and Cite
Kalinowska-Wichrowska, K.; Pawluczuk, E.; Granatyr, K.; Franus, M.; Kosior-Kazberuk, M.; Bołtryk, M.; Masłoń, A. Properties of Eco-Friendly Cement Composites Made with Recycled Cement Mortar-Based Artificial Aggregates. Materials 2025, 18, 5115. https://doi.org/10.3390/ma18225115
Kalinowska-Wichrowska K, Pawluczuk E, Granatyr K, Franus M, Kosior-Kazberuk M, Bołtryk M, Masłoń A. Properties of Eco-Friendly Cement Composites Made with Recycled Cement Mortar-Based Artificial Aggregates. Materials. 2025; 18(22):5115. https://doi.org/10.3390/ma18225115
Chicago/Turabian StyleKalinowska-Wichrowska, Katarzyna, Edyta Pawluczuk, Krzysztof Granatyr, Małgorzata Franus, Marta Kosior-Kazberuk, Michał Bołtryk, and Adam Masłoń. 2025. "Properties of Eco-Friendly Cement Composites Made with Recycled Cement Mortar-Based Artificial Aggregates" Materials 18, no. 22: 5115. https://doi.org/10.3390/ma18225115
APA StyleKalinowska-Wichrowska, K., Pawluczuk, E., Granatyr, K., Franus, M., Kosior-Kazberuk, M., Bołtryk, M., & Masłoń, A. (2025). Properties of Eco-Friendly Cement Composites Made with Recycled Cement Mortar-Based Artificial Aggregates. Materials, 18(22), 5115. https://doi.org/10.3390/ma18225115

