Sign in to use this feature.

Years

Between: -

Subjects

remove_circle_outline
remove_circle_outline
remove_circle_outline
remove_circle_outline
remove_circle_outline
remove_circle_outline
remove_circle_outline
remove_circle_outline

Journals

Article Types

Countries / Regions

Search Results (28)

Search Parameters:
Keywords = black truffle

Order results
Result details
Results per page
Select all
Export citation of selected articles as:
17 pages, 2139 KB  
Article
Detection of Tuber melanosporum Using Optoelectronic Technology
by Sheila Sánchez-Artero, Antonio Soriano-Asensi, Pedro Amorós and Jose Vicente Ros-Lis
Sensors 2026, 26(1), 230; https://doi.org/10.3390/s26010230 - 30 Dec 2025
Viewed by 255
Abstract
Tuber melanosporum, the black truffle, is a fungus of high economic and ecological value, but its underground detection remains a challenge due to the lack of reliable, non-invasive methods. This study presents the development and proof of concept of a portable optoelectronic [...] Read more.
Tuber melanosporum, the black truffle, is a fungus of high economic and ecological value, but its underground detection remains a challenge due to the lack of reliable, non-invasive methods. This study presents the development and proof of concept of a portable optoelectronic nose that integrates nine optical sensors and one electrochemical sensor for the in vitro identification of T. melanosporum. The optical sensors use colorimetric and fluorogenic molecular indicators supported on UVM-7, alumina, and silica. Tests were performed with truffles at different depths and in the presence of soil and compost to evaluate the device’s multi-source response. Partial least squares discriminant analysis (PLS-DA) models showed robust discrimination between soil, compost, and truffles, with an accuracy of 0.91 under most conditions. Detection at 30 cm showed an accuracy of 0.94, confirming the system’s ability to differentiate between sample types. Performance improved in simplified scenarios based on the presence or absence of truffles. Furthermore, the artificial neural network models achieved optimal results in binary classification. Taken together, the results support the system’s potential as an accurate, non-invasive tool with possible application to the agronomic management of truffle orchards. Full article
(This article belongs to the Collection Electronic Noses)
Show Figures

Figure 1

17 pages, 8540 KB  
Article
Effects of N-P-K Ratio in Root Nutrient Solutions on Ectomycorrhizal Formation and Seedling Growth of Pinus armandii Inoculated with Tuber indicum
by Li Huang, Rui Wang, Fuqiang Yu, Ruilong Liu, Chenxin He, Lanlan Huang, Shimei Yang, Dong Liu and Shanping Wan
Agronomy 2025, 15(7), 1749; https://doi.org/10.3390/agronomy15071749 - 20 Jul 2025
Viewed by 951
Abstract
Ectomycorrhizal symbiosis is a cornerstone of ecosystem health, facilitating nutrient uptake, stress tolerance, and biodiversity maintenance in trees. Optimizing Pinus armandiiTuber indicum mycorrhizal synthesis enhances the ecological stability of coniferous forests while supporting high-value truffle cultivation. This study conducted a pot [...] Read more.
Ectomycorrhizal symbiosis is a cornerstone of ecosystem health, facilitating nutrient uptake, stress tolerance, and biodiversity maintenance in trees. Optimizing Pinus armandiiTuber indicum mycorrhizal synthesis enhances the ecological stability of coniferous forests while supporting high-value truffle cultivation. This study conducted a pot experiment to compare the effects of three root nutrient regulations—Aolu 318S (containing N-P2O5-K2O in a ratio of 15-9-11 (w/w%)), Aolu 328S (11-11-18), and Youguduo (19-19-19)—on the mycorrhizal synthesis of P. armandiiT. indicum. The results showed that root nutrient supplementation significantly improved the seedling crown, plant height, ground diameter, biomass dry weight, and mycorrhizal infection rate of both the control and mycorrhizal seedlings, with the slow-release fertilizers Aolu 318S and 328S outperforming the quick-release fertilizer Youguduo. The suitable substrate composition in this experiment was as follows: pH 6.53–6.86, organic matter content 43.25–43.49 g/kg, alkali-hydrolyzable nitrogen 89.25–90.3 mg/kg, available phosphorus 83.69–87.32 mg/kg, available potassium 361.5–364.65 mg/kg, exchangeable magnesium 1.17–1.57 mg/kg, and available iron 33.06–37.3 mg/kg. It is recommended to mix the Aolu 318S and 328S solid fertilizers evenly into the substrate, with a recommended dosage of 2 g per plant. These results shed light on the pivotal role of a precise N-P-K ratio regulation in fostering sustainable ectomycorrhizal symbiosis, offering a novel paradigm for integrating nutrient management with mycorrhizal biotechnology to enhance forest restoration efficiency in arid ecosystems. Full article
Show Figures

Figure 1

13 pages, 2271 KB  
Article
Rice Bran and American Ginseng Residue as Media for Black Truffle Solid-State Fermentation
by Zih-Yang Lin, Zi-Jun Lin and Su-Der Chen
Sustainability 2025, 17(12), 5562; https://doi.org/10.3390/su17125562 - 17 Jun 2025
Viewed by 1785
Abstract
American ginseng (Panax quinquefolium L.) residue from the extraction industry can be dried and mixed with rice bran as media for black truffle solid-state fermentation to enhance reuse and bioactive functions. Different ratios of rice bran (R) and American ginseng residue (G) [...] Read more.
American ginseng (Panax quinquefolium L.) residue from the extraction industry can be dried and mixed with rice bran as media for black truffle solid-state fermentation to enhance reuse and bioactive functions. Different ratios of rice bran (R) and American ginseng residue (G) mixtures were used as solid-state media for 5 weeks of black truffle fermentation, and then their bio-component contents and whitening effects were analyzed. Finally, four drying methods—hot air drying (HA), microwave drying (MW), hot air-assisted radio frequency (HARF) drying, and radio frequency vacuum (RFV) drying—were assessed to optimize drying efficiency for fermented medium. The results showed that using a 3:1 ratio of rice bran and American ginseng residue as the medium increased the crude polysaccharide and flavonoid contents by approximately threefold and enhanced the ginsenoside Rg3 content about twelvefold. Additionally, the 100 µg/mL ethanol extract of the fermented product inhibited 70% of tyrosinase activity and reduced the melanin area on zebrafish embryos by 42.74%. In the drying study, RFV drying R2G1 required only 13 min without exceeding 70 °C, demonstrating superior drying efficiency, temperature control, and low energy consumption. Overall, this study demonstrates the potential of black truffle fermentation of solid-state media from rice bran and American ginseng residue mixtures for whitening applications and highlights RFV drying as an efficient method for by-products. Full article
(This article belongs to the Special Issue Agricultural Waste Management and Sustainable Practices)
Show Figures

Graphical abstract

25 pages, 8222 KB  
Article
Mass Spectrometry-Based Non-Targeted Lipidome Analysis and Extraction of Markers for the Authentication of White and Black Truffle Species and Their Origin Determination
by Eva Tejedor-Calvo, Pedro Marco, Markus Fischer and Marina Creydt
Agriculture 2024, 14(12), 2350; https://doi.org/10.3390/agriculture14122350 - 20 Dec 2024
Cited by 1 | Viewed by 1633
Abstract
The visual authentication of high-value truffles (Tuber magnatum and Tuber melanosporum) is challenging, as they share similar morphological characteristics with other truffle species that have a lower economic value. This similarity complicates accurate identification and increases the risk of substitution or [...] Read more.
The visual authentication of high-value truffles (Tuber magnatum and Tuber melanosporum) is challenging, as they share similar morphological characteristics with other truffle species that have a lower economic value. This similarity complicates accurate identification and increases the risk of substitution or mislabeling, which can affect both market prices and consumer trust. For this reason, the aim of this study was to apply a non-targeted lipidomic approach using ion mobility spectrometry-mass spectrometry to distinguish between white (T. magnatum, Tuber borchii, and Tuber oligospermum) and black truffle species (T. melanosprum, T. aestivum, T. aestivum var. uncinatum, T. brumale, and T. indicum) and to determine the different geographical origins of the two most valuable truffle species (T. melanosporum and T. magnatum). Among several hundred features, 37 and 57 lipids were identified as marker compounds to distinguish white and black truffle species using MS/MS spectra and collision cross section (CCS) values, respectively. Only a few marker compounds were necessary to recognize the differences between white and black truffles. In particular, ceramides, glycerolipids, and phospholipids proved to be particularly suitable for separating the species. In addition, different metabolite profiles were determined for T. melanosporum and T. magnatum depending on their geographical origin. These findings lay the groundwork for a comprehensive quality control framework for fresh truffles, ensuring authenticity, detecting adulteration, and preserving their premium status. Full article
(This article belongs to the Section Agricultural Product Quality and Safety)
Show Figures

Figure 1

17 pages, 16970 KB  
Article
Effects of Media and Processes on the Aromas of White Truffle Solid-State Fermented Products
by Chih-Yuan Cheng and Su-Der Chen
Processes 2024, 12(9), 2036; https://doi.org/10.3390/pr12092036 - 21 Sep 2024
Cited by 2 | Viewed by 1499
Abstract
This study aimed to formulate a black bean soy sauce using black beans and black rice as media for the solid-state fermentation of white truffle. Various proportions of these media (4:0, 3:1, 2:2, 1:3, and 0:4) were prepared, with methionine concentrations (0, 0.3, [...] Read more.
This study aimed to formulate a black bean soy sauce using black beans and black rice as media for the solid-state fermentation of white truffle. Various proportions of these media (4:0, 3:1, 2:2, 1:3, and 0:4) were prepared, with methionine concentrations (0, 0.3, 0.6, 0.9, 1.2, and 1.5%) serving as precursors for a 4-week solid-state fermentation to analyze the aroma profiles. GC-MS analysis showed that samples with 1.5% methionine exhibited significantly higher levels of sulfur-containing volatile compounds compared to those without methionine. GC-IMS analysis revealed that a 2:2 ratio of black beans to black rice produced the most enriched aroma. Lower methionine levels improved mycelial growth, with 0.3% methionine yielding the richest aroma components. After fermentation, the white truffle products were sterilized using autoclaving, hot air assisted radio frequency (HARF), and high pressure processing (HPP), followed by freeze drying. GC-IMS analysis showed that HPP samples had an aroma closest to fresh samples, whereas HARF and autoclave resulted in similar aromas. However, 24 h freeze drying significantly diminished the aroma, resulting in no significant difference in aroma among the freeze-dried products treated with different sterilization methods. Full article
Show Figures

Figure 1

21 pages, 4979 KB  
Article
Three New Truffle Species (Tuber, Tuberaceae, Pezizales, and Ascomycota) from Yunnan, China, and Multigen Phylogenetic Arrangement within the Melanosporum Group
by Rui Wang, Gangqiang Dong, Yupin Li, Ruixue Wang, Shimei Yang, Jing Yuan, Xuedan Xie, Xiaofei Shi, Juanbing Yu, Jesús Pérez-Moreno, Fuqiang Yu and Shanping Wan
J. Fungi 2024, 10(9), 640; https://doi.org/10.3390/jof10090640 - 7 Sep 2024
Cited by 2 | Viewed by 3808
Abstract
Based on a multi-locus phylogeny of a combined dataset of ITS, LSU, tef1-α, and rpb2 and comprehensive morphological analyses, we describe three new species from the Melanosporum group of genus Tuber and synonymize T. pseudobrumale and T. melanoexcavatum. Phylogenetically, the three [...] Read more.
Based on a multi-locus phylogeny of a combined dataset of ITS, LSU, tef1-α, and rpb2 and comprehensive morphological analyses, we describe three new species from the Melanosporum group of genus Tuber and synonymize T. pseudobrumale and T. melanoexcavatum. Phylogenetically, the three newly described species, T. yunnanense, T. melanoumbilicatum and T. microexcavatum, differ significantly in genetic distance from any previously known species. Morphologically, T. yunnanense is distinctly different from its closest phylogenetically related species, T. longispinosum, due to its long shuttle-shape spores (average the ratio of spore length to spore width for all spores (Qm) = 1.74). Tuber melanoumbilicatum differs from the other species in having a cavity and long shuttle-shaped spores (Qm = 1.65). Although T. microexcavatum sampled ascomata have relatively low maturity, they can be distinguished from its closely related species T. pseudobrumale by the ascomata size, surface warts, and spore number per asci; additionally, phylogenetic analysis supports it as a new species. In addition, molecular analysis from 22 newly collected specimens and Genebank data indicate that T. pseudobrumale and T. melanoexcavatum are clustered into a single well-supported clade (Bootstrap (BS) = 100, posterior probabilities (PP) = 1.0); and morphological characteristics do not differ. Therefore, based on the above evidence and publication dates, we conclude that T. melanoexcavatum is a synonym of T. pseudobrumale. By taking into account current knowledge and combining the molecular, multigene phylogenetic clade arrangement and morphological data, we propose that the Melanosporum group should be divided into four subgroups. Diagnostic morphological features and an identification key of all known species in the Melanosporum group are also included. Finally, we also provide some additions to the knowledge of the characterization of T. pseudobrumale, T. variabilisporum, and T. pseudohimalayense included in subgroup 1 of the Melanosporum group. Full article
(This article belongs to the Special Issue New Perspectives on Tuber Fungi)
Show Figures

Figure 1

11 pages, 9067 KB  
Article
First Record of Summer Truffle (Tuber aestivum) in Portugal
by Celeste Santos-Silva and Clarisse Brígido
Microbiol. Res. 2024, 15(3), 1494-1504; https://doi.org/10.3390/microbiolres15030101 - 9 Aug 2024
Cited by 1 | Viewed by 3884
Abstract
Tuber aestivum, commonly known as the summer truffle, is typically found in various parts of Europe where it grows naturally. However, its presence in Portugal was not confirmed until now. The first fruit bodies were collected in April 2024 at stone pine [...] Read more.
Tuber aestivum, commonly known as the summer truffle, is typically found in various parts of Europe where it grows naturally. However, its presence in Portugal was not confirmed until now. The first fruit bodies were collected in April 2024 at stone pine stands (Alenquer and Arruda dos Vinhos, Lisbon) and in June at holm oak stands (Salir, Faro). These specimens are characterized by hypogeous, subglobose, black ascomata with a peridium surface covered with pyramidal warts. Ascopores are subglobose-to-broadly ellipsoid, distinctively ornamented, usually 1–6 per asci. According to the results of the internal transcribed spacer (ITS) rDNA sequence analysis, these specimens form a well-supported group within the Aestivum clade, with T. aestivum being the closest phylogenetic taxon. This remarkable discovery opens up new opportunities for truffle exploitation in Portugal thanks to the summer truffle’s gastronomical value and high market prices. Full article
Show Figures

Figure 1

15 pages, 1753 KB  
Article
Odour Fingerprints of Black (Tuber mesentericum) and Bianchetto (Tuber borchii) Truffles from Different Areas of the Campania Region
by Andrea Balivo, Enrica De Falco, Luca Branca, Michele Caputo, Raffaele Sacchi and Alessandro Genovese
Horticulturae 2024, 10(6), 557; https://doi.org/10.3390/horticulturae10060557 - 25 May 2024
Cited by 2 | Viewed by 1891
Abstract
In this study, E-nose and SPME-GC/MS were applied to compare the odour patterns and volatile compounds of two truffle species harvested in different areas of Campania (Southern Italy). In total, 107 Tuber mesentericum (black truffle) and 60 Tuber borchii (bianchetto truffle) truffles were [...] Read more.
In this study, E-nose and SPME-GC/MS were applied to compare the odour patterns and volatile compounds of two truffle species harvested in different areas of Campania (Southern Italy). In total, 107 Tuber mesentericum (black truffle) and 60 Tuber borchii (bianchetto truffle) truffles were sampled in areas of Avellino, Salerno, Benevento, and Caserta. The E-nose correctly discriminated between Tuber mesentericum and Tuber borchii truffles. The GC/MS analysis revealed qualitative-quantitative differences between Tuber mesentericum and Tuber borchii, with a prevalence of volatile phenols and aromatic compounds for the black truffle, which are responsible for smoky and floral aromas, and ketones, alcohols, aldehydes, and thiophene derivatives for the bianchetto truffle, mostly responsible for earthy mushroom- and garlic-like aromas. The discriminant analysis performed on the E-nose data pattern provided an average correct classification between 55 and 60% for the same species collected in different sites. Tuber borchii truffles were better discriminated based on the harvesting altitude (hilly and coastal areas). GC/MS revealed quantitative differences in the volatile compounds of truffles of the same species collected in different areas, with variations in abundance based on the harvesting site. The distinctive profile of volatile compounds could represent a useful chemical marker to be investigated to authenticate the truffle harvesting area. Full article
(This article belongs to the Section Postharvest Biology, Quality, Safety, and Technology)
Show Figures

Graphical abstract

22 pages, 6656 KB  
Article
Changes in Black Truffle (Tuber melanosporum) Aroma during Storage under Different Conditions
by Ruben Epping, Jan Lisec and Matthias Koch
J. Fungi 2024, 10(5), 354; https://doi.org/10.3390/jof10050354 - 15 May 2024
Cited by 2 | Viewed by 2960
Abstract
The enticing aroma of truffles is a key factor for their culinary value. Although all truffle species tend to be pricy, the most intensely aromatic species are the most sought after. Research into the aroma of truffles encompasses various disciplines including chemistry, biology, [...] Read more.
The enticing aroma of truffles is a key factor for their culinary value. Although all truffle species tend to be pricy, the most intensely aromatic species are the most sought after. Research into the aroma of truffles encompasses various disciplines including chemistry, biology, and sensory science. This study focusses on the chemical composition of the aroma of black truffles (Tuber melanosporum) and the changes occurring under different storage conditions. For this, truffle samples were stored under different treatments, at different temperatures, and measured over a total storage time of 12 days. Measurements of the truffle aroma profiles were taken with SPME/GC–MS at regular intervals. To handle the ample data collected, a systematic approach utilizing multivariate data analysis techniques was taken. This approach led to a vast amount of data which we made publicly available for future exploration. Results reveal the complexity of aroma changes, with 695 compounds identified, highlighting the need for a comprehensive understanding. Principal component analyses offer initial insights into truffle composition, while individual compounds may serve as markers for age (formic acid, 1-methylpropyl ester), freshness (2-Methyl-1-propanal; 1-(methylthio)-propane), freezing (tetrahydrofuran), salt treatment (1-chloropentane), or heat exposure (4-hydroxy-3-methyl-2-butanone). This research suggests that heat treatment or salt contact significantly affects truffle aroma, while freezing and cutting have less pronounced effects in comparison. The enrichment of compounds showing significant changes during storage was investigated with a metabolomic pathway analysis. The involvement of some of the enriched compounds on the pyruvate/glycolysis and sulfur pathways was shown. Full article
(This article belongs to the Special Issue New Perspectives on Tuber Fungi)
Show Figures

Graphical abstract

16 pages, 3003 KB  
Article
Black Truffle Aroma Evaluation: SPME-GC-MS vs. Sensory Experts
by Eva Tejedor-Calvo, Sergi García-Barreda, Sergio Sánchez, María Ángeles Sanz and Pedro Marco
Foods 2024, 13(6), 837; https://doi.org/10.3390/foods13060837 - 9 Mar 2024
Cited by 5 | Viewed by 3786
Abstract
Nowadays, the truffle aroma attribute is not included as a quality parameter in the current recommendation that explains the truffle quality (UNECE standard 53 FFV3) and establishes the truffle commercial categories. However, the aroma is the main reason why truffles are worldwide appreciated. [...] Read more.
Nowadays, the truffle aroma attribute is not included as a quality parameter in the current recommendation that explains the truffle quality (UNECE standard 53 FFV3) and establishes the truffle commercial categories. However, the aroma is the main reason why truffles are worldwide appreciated. Indeed, more than 30 aromatic molecules compose it, and this is the reason why the human evaluation and identification of these odorants, without previous training, is quite subjective. Analytical techniques such as gas chromatography techniques, however, can establish an aromatic profile and detect potential aromatic markers. In this study, 16 tasting experts were trained to make more objective the truffle aroma evaluation and odorants identification. For this, a comparison between solid-phase microextraction gas chromatography coupled with mass spectrometry (SPME-GC-MS) and sensory expert evaluation was carried out in six sessions during different harvesting times in the black truffle season (December, January, and February). Both techniques were able to separate truffles depending on the harvesting time. Also, a list of volatile organic compounds related to the aromatic attributes was reported. This information will help to provide a more objective T. melanosporum truffle sensory evaluation. Full article
(This article belongs to the Special Issue Recent Advances in Food Flavor and Sensory Attributes Analysis)
Show Figures

Figure 1

16 pages, 5535 KB  
Article
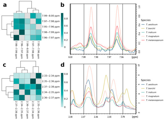
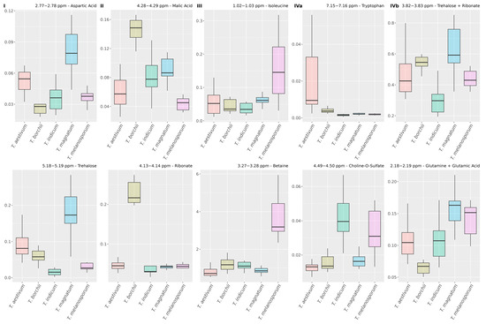
Opening the Random Forest Black Box of 1H NMR Metabolomics Data by the Exploitation of Surrogate Variables
by Soeren Wenck, Thorsten Mix, Markus Fischer, Thomas Hackl and Stephan Seifert
Metabolites 2023, 13(10), 1075; https://doi.org/10.3390/metabo13101075 - 13 Oct 2023
Cited by 7 | Viewed by 2662
Abstract
The untargeted metabolomics analysis of biological samples with nuclear magnetic resonance (NMR) provides highly complex data containing various signals from different molecules. To use these data for classification, e.g., in the context of food authentication, machine learning methods are used. These methods are [...] Read more.
The untargeted metabolomics analysis of biological samples with nuclear magnetic resonance (NMR) provides highly complex data containing various signals from different molecules. To use these data for classification, e.g., in the context of food authentication, machine learning methods are used. These methods are usually applied as a black box, which means that no information about the complex relationships between the variables and the outcome is obtained. In this study, we show that the random forest-based approach surrogate minimal depth (SMD) can be applied for a comprehensive analysis of class-specific differences by selecting relevant variables and analyzing their mutual impact on the classification model of different truffle species. SMD allows the assignment of variables from the same metabolites as well as the detection of interactions between different metabolites that can be attributed to known biological relationships. Full article
(This article belongs to the Section Metabolomic Profiling Technology)
Show Figures

Figure 1

12 pages, 2138 KB  
Article
Effect of Irrigation Methods on Black Truffle Production
by Alba Magarzo, Sonia Alba, Luis Santos del Blanco, Iván Franco Manchón, Jaime Olaizola, Pablo Martín Pinto and Olaya Mediavilla
Agronomy 2023, 13(10), 2505; https://doi.org/10.3390/agronomy13102505 - 28 Sep 2023
Cited by 4 | Viewed by 8085
Abstract
Spain is one of the main producers of black truffle (Tuber melanosporum Vittad.), a fungus of great economic importance. Black truffles are usually cultivated in Quercus ilex orchards, as water availability is one of the most important factors influencing truffle production. Optimizing [...] Read more.
Spain is one of the main producers of black truffle (Tuber melanosporum Vittad.), a fungus of great economic importance. Black truffles are usually cultivated in Quercus ilex orchards, as water availability is one of the most important factors influencing truffle production. Optimizing watering systems is essential to reduce the amount of water wasted. Nevertheless, up to now, no study has been carried out comparing the efficiency of different irrigation systems in truffle plantations. The aim of this study was to compare the efficiency of two different irrigation systems, namely a drip irrigation system and a micro-sprinkler system, in a Quercus ilex plantation situated in Burgos, Spain. Our data showed that there were no differences between the two irrigation systems in terms of truffle yields, the number of truffles, quality (based on truffle size), or the date of truffle harvesting. However, when other parameters were taken into consideration, such as the economic and environmental impact of installing and running these systems, drip irrigation was deemed the superior irrigation system because it uses less water. This study validates for the first time the use of drip irrigation rather than a micro-sprinkler system (the most commonly used in truffle plantations) because of its greater water use efficiency, which is an increasingly important consideration given future climate change scenarios marked by global water scarcity. Full article
(This article belongs to the Special Issue Water Saving in Irrigated Agriculture)
Show Figures

Figure 1

14 pages, 2896 KB  
Article
Reevaluating Near-Infrared Reflectance as a Tool for the Study of Plant Water Status in Holm Oak (Quercus ilex subsp. rotundifolia)
by José Javier Peguero-Pina, Domingo Sancho-Knapik, Juan Pedro Ferrio, Ana López-Ballesteros, Marta Ruiz-Llata and Eustaquio Gil-Pelegrín
Forests 2023, 14(9), 1825; https://doi.org/10.3390/f14091825 - 7 Sep 2023
Viewed by 2626
Abstract
Plant water status can be assessed through leaf spectral reflectance in the near-infrared (NIR), the “water bands”, considering indices that include the reflectance at a band absorbed by water over and another one as reference. We have assessed i/ the accuracy of reflectance [...] Read more.
Plant water status can be assessed through leaf spectral reflectance in the near-infrared (NIR), the “water bands”, considering indices that include the reflectance at a band absorbed by water over and another one as reference. We have assessed i/ the accuracy of reflectance at 1450, 1599 and 1940 nm without reference bands and ii/ the potential use of leaf water content index (LWCI) for the estimation of plant water status in holm oak, the main host plant for black truffle cultivation. We demonstrated that contact measurements of leaf reflectance in the “water bands” constitute an accurate and non-invasive estimator of relative water content (RWC) in holm oak, despite the absence of a reference wavelength, probably due to the low variation in leaf thickness under dehydration. The use of a reference wavelength, which is needed for remote sensing, diminished the accuracy of RWC estimation. Contrastingly, LWCI increased the accuracy of RWC estimation as well as a reference wavelength were used. However, LWCI required the reflectance value at full turgor, diminishing its potential for implementation at field level. In conclusion, this technique would allow the continuous monitoring of the physiological state of holm oak and intelligent water control in truffle cultivation. Full article
(This article belongs to the Special Issue Mechanisms of Adaptation of Forest Trees to Limiting Environments)
Show Figures

Figure 1

13 pages, 1708 KB  
Article
Aromatic Plants and Their Associated Arbuscular Mycorrhizal Fungi Outcompete Tuber melanosporum in Compatibility Assays with Truffle-Oaks
by Vasiliki Barou, Ana Rincón, Cinta Calvet, Amelia Camprubí and Javier Parladé
Biology 2023, 12(4), 628; https://doi.org/10.3390/biology12040628 - 20 Apr 2023
Cited by 5 | Viewed by 3612
Abstract
The high value of black truffle recompenses the slow growth of the fungus when established in the field. Adding a secondary crop, such as medicinal and aromatic plants (MAPs), could further enhance the sustainability of truffle production agro-forest systems. The dual cultures of [...] Read more.
The high value of black truffle recompenses the slow growth of the fungus when established in the field. Adding a secondary crop, such as medicinal and aromatic plants (MAPs), could further enhance the sustainability of truffle production agro-forest systems. The dual cultures of ectomycorrhizal truffle-oak seedlings and MAPs (lavender, thyme, and sage) previously inoculated and non-inoculated with native arbuscular mycorrhizal fungi (AMF), were established to evaluate plant–fungi relationships. After 12 months in a shadehouse, plants’ growth, mycorrhizal colonization, and extraradical soil mycelium (both of Tuber melanosporum and AMF) were measured. Overall, truffle-oaks’ growth was negatively affected by the presence of MAPs, especially when inoculated with AMF. In turn, the presence of truffle-oaks barely affected the co-cultured MAPs, and only lavenders showed a significant growth reduction. All AMF-inoculated MAPs showed higher shoot and root biomass than non-inoculated ones. Compared to truffle-oaks growing alone, the presence of co-cultured MAPs, especially when they were AMF-inoculated, significantly decreased both the ectomycorrhizas and soil mycelium of T. melanosporum. These results reveal the strong competition between AMF and T. melanosporum and warn about the need for the protection of intercropping plants and their associated symbiotic fungi to avoid reciprocal counterproductive effects in mixed truffle-oak–AMF–MAP plantations. Full article
Show Figures

Graphical abstract

13 pages, 3552 KB  
Article
Evaluation of Pecan [Carya illinoinensis (Wangenh.) K. Koch] Cultivars for Possible Cultivation for Both Fruit and Truffle Production in the Puglia Region, Southeastern Italy
by Giuseppe Ferrara, Leonardo Lombardini, Andrea Mazzeo and Giovanni Luigi Bruno
Horticulturae 2023, 9(2), 261; https://doi.org/10.3390/horticulturae9020261 - 15 Feb 2023
Cited by 14 | Viewed by 4730
Abstract
Yield and different nut parameters were measured for two growing seasons on mature (28–29 years) trees of 11 pecan cultivars grown in an experimental orchard located in the Puglia Region, Southeastern Italy. ‘Shoshoni’ and ‘Shawnee’ pecan seedlings were inoculated with three truffle species [...] Read more.
Yield and different nut parameters were measured for two growing seasons on mature (28–29 years) trees of 11 pecan cultivars grown in an experimental orchard located in the Puglia Region, Southeastern Italy. ‘Shoshoni’ and ‘Shawnee’ pecan seedlings were inoculated with three truffle species (Tuber borchii—known as the ‘whitish truffle’, T. aestivum—called the ‘summer truffle’, and T. melanosporum—the common ‘Black truffle’) and investigated for six months. The level of ectomycorrhizal colonization was assessed 6 and 12 months after inoculation. Results indicated that ‘Wichita’, ‘Shoshoni’, and ‘Pawnee’ performed well in the pedoclimatic conditions of the area with a yield higher than 20 kg/tree and a kernel dry weight of ≅3 g. These preliminary yield results suggested that some pecan cultivars could deserve consideration for cultivation in the Puglia Region, whereas others with low yield and a stronger alternate bearing should not be considered. Plant height, number of leaves, chlorophyll content (expressed as a SPAD unit) and stem diameter partially indicated the increase in ecological fitness in truffles-inoculated plants. Successful mycorrhization indicated ‘Shoshoni’ and ‘Shawnee’ as suitable to establish ectomycorrhizal symbiosis with T. aestivum, T. borchii, and T. melanosporum cultivation under Puglia climatic conditions. The results also showed that the applied protocol was adequate to obtain healthy mycorrhized seedlings appropriate for commercialization and plantation for truffles production on pecan in the future. Full article
Show Figures

Figure 1

Back to TopTop