Sign in to use this feature.

Years

Between: -

Subjects

remove_circle_outline
remove_circle_outline
remove_circle_outline
remove_circle_outline
remove_circle_outline
remove_circle_outline
remove_circle_outline
remove_circle_outline
remove_circle_outline

Journals

remove_circle_outline
remove_circle_outline
remove_circle_outline
remove_circle_outline
remove_circle_outline
remove_circle_outline

Article Types

Countries / Regions

Search Results (191)

Search Parameters:
Keywords = bio-inspired polymer

Order results
Result details
Results per page
Select all
Export citation of selected articles as:
16 pages, 3165 KB  
Article
Comparison of Compressive Properties of 3D-Printed Triply Periodic Minimal Surfaces and Honeycomb Lattice Structures
by Julia Wagner, Joshua Hall, Christopher Billings and Yingtao Liu
J. Compos. Sci. 2025, 9(11), 586; https://doi.org/10.3390/jcs9110586 - 1 Nov 2025
Viewed by 413
Abstract
Additive manufacturing has enabled the fabrication of complex, bioinspired lattice structures, such as Triply Periodic Minimal Surfaces (TPMSs), for use in lightweight structural applications. To assess their engineering viability, this study benchmarks the compressive properties of isotropic Gyroid and Primitive TPMS lattices against [...] Read more.
Additive manufacturing has enabled the fabrication of complex, bioinspired lattice structures, such as Triply Periodic Minimal Surfaces (TPMSs), for use in lightweight structural applications. To assess their engineering viability, this study benchmarks the compressive properties of isotropic Gyroid and Primitive TPMS lattices against those of the conventional, anisotropic Honeycomb structure, which is widely used in the aerospace industry. We employed a combined computational and experimental approach, using Finite Element Analysis (FEA) for initial evaluation followed by mechanical compression testing of stereolithography (SLA)-printed polymer samples. Full-field strain was measured using Digital Image Correlation (DIC) to validate the simulations. The results show that the Gyroid has a strength-to-density of 5.692, the Primitive has a ratio of 5.182, the Honeycomb in the axial direction has a ratio of 26.144, and the Honeycomb in the transverse direction has a ratio of 1.008, all in units of N·kg1m3. These results clearly indicate that the Honeycomb is best when uniaxially loaded. For other applications where the load paths will vary in multiple directions, the Gyroid is the better option. Full article
(This article belongs to the Special Issue Additive Manufacturing of Composites and Nanocomposites, 2nd Edition)
Show Figures

Figure 1

10 pages, 6058 KB  
Brief Report
Bio-Inspired 3D-Printed Modular System for Protection of Historic Floors: From Multilevel Knowledge to a Customized Solution
by Ernesto Grande, Maura Imbimbo, Assunta Pelliccio and Valentina Tomei
Heritage 2025, 8(11), 450; https://doi.org/10.3390/heritage8110450 - 27 Oct 2025
Viewed by 326
Abstract
Historic floors, including mosaics, stone slabs, and decorated pavements, are fragile elements that can be easily damaged during restoration works. Risks arise from falling tools, concentrated loads of scaffolding or equipment, and the repeated passage of workers. Traditional protection methods, such as plywood [...] Read more.
Historic floors, including mosaics, stone slabs, and decorated pavements, are fragile elements that can be easily damaged during restoration works. Risks arise from falling tools, concentrated loads of scaffolding or equipment, and the repeated passage of workers. Traditional protection methods, such as plywood sheets, mats, multilayer systems, or modular plastic panels, have been applied in different sites but often present limitations in adaptability to irregular surfaces, in moisture control, and in long-term reversibility. This paper introduces an innovative approach developed within the 3D-EcoCore project. The proposed solution consists of a bio-inspired modular sandwich system manufactured by 3D printing with biodegradable polymers. Each module contains a Voronoi-inspired cellular core, shaped to match the geometry of the floor obtained from digital surveys, and an upper flat skin that provides a safe and resistant surface. The design ensures mechanical protection, adaptability to uneven pavements, and the possibility to integrate ventilation gaps, cable pathways, and monitoring systems. Beyond heritage interventions, the system also supports routine architectural maintenance by enabling safe, reversible protection during inspections and minor repairs. The solution is strictly temporary and non-substitutive, fully aligned with conservation principles of reversibility, recognizability, and minimal intervention. The Ninfeo Ponari in Cassino is presented as a guiding example, showing how multilevel knowledge and thematic mapping become essential inputs for the tailored design of the modules. The paper highlights both the technical innovation of the system and the methodological contribution of a knowledge-based design process, opening future perspectives for durability assessment, pilot installations, and the integration of artificial intelligence to optimise core configurations. Full article
Show Figures

Figure 1

30 pages, 4237 KB  
Review
A Review of Hydrodynamic Cavitation Passive and Active Control Methods in Marine Engineering Applications
by Ebrahim Kadivar and Pankaj Kumar
Symmetry 2025, 17(11), 1782; https://doi.org/10.3390/sym17111782 - 22 Oct 2025
Viewed by 496
Abstract
Hydrodynamic cavitation usually occurs in marine and ocean engineering and hydraulic systems and may lead to destructive effects such as an enhanced drag force, noise, vibration, surface damage, and reduced efficiency. Previous studies employed several passive and active control strategies to manage unstable [...] Read more.
Hydrodynamic cavitation usually occurs in marine and ocean engineering and hydraulic systems and may lead to destructive effects such as an enhanced drag force, noise, vibration, surface damage, and reduced efficiency. Previous studies employed several passive and active control strategies to manage unstable cavitation and its adverse effects. This study reviews various passive and active control strategies for managing diverse cavitation stages, such as partial, cloud, and tip vortex. Regarding the passive methods, different control factors, including the sweep angle of the foil, roughness, bio-inspired riblets, V-shaped grooves, J grooves, obstacles, surface roughness, blunt trailing edge, slits, various vortex generators, and triangular slots, are discussed. Regarding the active methods, various injection methods including air, water, polymer, and synthetic jet and piezoelectric actuators are reviewed. It can be concluded that unstable cavitation can be controlled by both the active and passive approaches independently. However, in the severe conditions of cavitation and higher angles of attack, the passive control methods can only alleviate some re-entrant jets propagating in the downward direction, and proper control of the cavity structure cannot be achieved. In addition, active control methods mostly require supplementary energy and, consequently, lead to higher expenses. Combined passive active control technologies are suggested by the author, using the strengths of both methods to suppress cavitation and control the cavitation instability for a broad range of cavitating flows efficiently in future works. Full article
(This article belongs to the Special Issue Symmetry in Marine Hydrodynamics: Applications to Ocean Engineering)
Show Figures

Figure 1

18 pages, 2376 KB  
Article
pH-Responsive Nanogels from Bioinspired Comb-like Polymers with Hydrophobic Grafts for Effective Oral Delivery
by Qinglong Liu, Dewei Ma, Haoze Cheng, Keke Yang, Bo Hou, Ziwen Heng, Yu Qian, Wei Liu and Siyuan Chen
Gels 2025, 11(10), 806; https://doi.org/10.3390/gels11100806 - 8 Oct 2025
Cited by 1 | Viewed by 498
Abstract
Oral administration remains the most patient-friendly drug delivery route, yet its efficacy is limited by physiological barriers including gastric degradation and inefficient cellular uptake. pH-responsive nanogels have shown promise for gastrointestinal drug delivery, though their effectiveness is often constrained by poor membrane interaction. [...] Read more.
Oral administration remains the most patient-friendly drug delivery route, yet its efficacy is limited by physiological barriers including gastric degradation and inefficient cellular uptake. pH-responsive nanogels have shown promise for gastrointestinal drug delivery, though their effectiveness is often constrained by poor membrane interaction. Inspired by natural membrane-anchoring mechanisms, a series of comb-like anionic polymers were designed via grafting alkylamines of different chain lengths (C10, C14, C18) at varying densities (10–30%) onto a biodegradable poly(L-lysine isophthalamide) (PLP) backbone. These pH-responsive comb-like polymers self-assembled into nanogels for loading the hydrophobic chemotherapeutic agent camptothecin. The alkyl length and grafting density significantly influenced pH-responsive behavior, membrane disruption, and drug release profiles. The optimal formulation—the nanogel prepared with PLP grafted 30% C14—achieved a high drug-loading capacity, ideal particle size and stability, and offered superior protection in acidic conditions (only 7 ± 5% release at pH 1.2 over 24 h), while enabling rapid intestinal release (78 ± 2% at pH 7.4 within 24 h). The nanogels significantly enhanced cellular uptake, cytoplasmic delivery, and cytotoxicity against colorectal carcinoma cells. This study demonstrates the key role of hydrophobic modification in designing effective oral nanocarriers, providing a promising platform for the treatment of intestinal diseases. Full article
(This article belongs to the Special Issue Recent Advances in Hydrogel Materials)
Show Figures

Figure 1

13 pages, 8153 KB  
Article
The Effect of Overlap Distance on the Strength and Toughness of “Brick-Mortar” Graphene–Polyethylene Nanocomposites: Competition Between Tension and Shear in the Polymer Phase
by Ning Liu, Ke Huang, Zhongsen Zhang, Dongdong Xu and Lihua Wang
Appl. Sci. 2025, 15(19), 10343; https://doi.org/10.3390/app151910343 - 24 Sep 2025
Viewed by 459
Abstract
This study employs coarse-grained molecular dynamics simulations to investigate how the overlap distance between graphene nanosheets influences the mechanical properties of “brick-mortar”-structured graphene–polyethylene nanocomposites. Simulations are conducted in a fixed box size while varying the overlap distance from 2.4 to 24 nm. The [...] Read more.
This study employs coarse-grained molecular dynamics simulations to investigate how the overlap distance between graphene nanosheets influences the mechanical properties of “brick-mortar”-structured graphene–polyethylene nanocomposites. Simulations are conducted in a fixed box size while varying the overlap distance from 2.4 to 24 nm. The stress–strain response exhibits three distinct stages: elastic increase, plastic plateau, and slow decrease. The yield strength increases nearly linearly from 115.3 ± 3.8 to 347.9 ± 33.0 MPa with increasing overlap distance, a trend well captured by an extended shear-lag model incorporating polymer stretch. The critical failure strain, marking the onset of strain localization, first increases and then decreases, peaking at an overlap distance of 4.8 nm. This non-monotonic behavior is attributed to a competition between polymer stretch and polymer shear in interfacial stress transfer. Similarly, the plateau stress and toughness show two-stage evolution: the plateau stress remains constant (~100 MPa) up to 4.8 nm before increasing significantly, while toughness rises from 16.9 ± 0.2 to 51.0 ± 4.0 MJ/m3 across the range. These findings reveal the nanoscale mechanisms behind strength and toughness in bioinspired nanocomposites and provide guidelines for optimizing performance through overlap distance tuning. Full article
(This article belongs to the Special Issue Phase Transitions in Polymer Composites)
Show Figures

Figure 1

1 pages, 132 KB  
Retraction
RETRACTED: Abbas et al. Recent Developments in Artificial Super-Wettable Surfaces Based on Bioinspired Polymeric Materials for Biomedical Applications. Polymers 2022, 14, 238
by Ansar Abbas, Chen Zhang, Muhammad Asad, Ahsan Waqas, Asma Khatoon, Sameer Hussain and Sajjad Husain Mir
Polymers 2025, 17(18), 2520; https://doi.org/10.3390/polym17182520 - 18 Sep 2025
Viewed by 417
Abstract
The journal retracts the article titled “Recent Developments in Artificial Super-Wettable Surfaces Based on Bioinspired Polymeric Materials for Biomedical Applications” [...] Full article
19 pages, 9861 KB  
Article
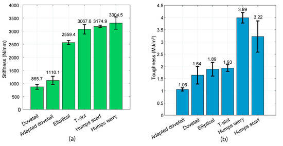
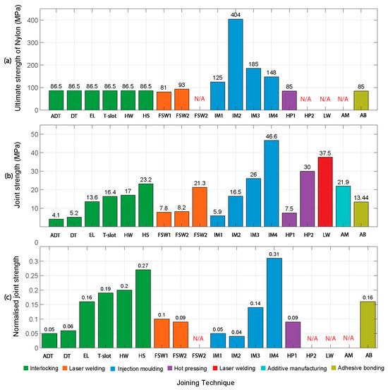
Bio-Inspired Novel Joints with Superior Mechanical Performance
by Khishigdorj Davaasambuu, Animesh Kumar Basak, Yu Dong and Alokesh Pramanik
J. Compos. Sci. 2025, 9(9), 501; https://doi.org/10.3390/jcs9090501 - 17 Sep 2025
Viewed by 995
Abstract
Joining metals and polymers in engineering applications remains a significant challenge, among which interlocking joints offer a promising solution. Nonetheless, conventional interlocking joints often suffer from outward bending of the female part, leading to the disengagement of joining components. This study introduced novel [...] Read more.
Joining metals and polymers in engineering applications remains a significant challenge, among which interlocking joints offer a promising solution. Nonetheless, conventional interlocking joints often suffer from outward bending of the female part, leading to the disengagement of joining components. This study introduced novel interlocking joint designs such as humps scarf joints and humps wavy joints, which incorporate the main and auxiliary interlocking features to enhance the mechanical performance of aluminium–nylon joints. Our experimental tests demonstrated that our designed novel joints remarkably outperform conventional designs in terms of ultimate tensile strength, initial stiffness, and toughness. In particular, the humps scarf joint achieved an ultimate tensile strength of 22.6 MPa, which was 1.39, 1.45, 1.71, 4.61, and 5.95 times higher than those of the humps wavy, T-slot, elliptical, original dovetail, and adapted dovetail joints, respectively. Using joint strength normalised by the polymer’s bulk tensile strength, the best-performing injection-moulded aluminium–nylon joint in the recent literature reached the highest normalised joint strength value of 0.31, while our humps scarf joint ranked the second at 0.27 among 12 joints investigated. Accordingly, the design of two novel interlocking joints is effective for various engineering applications owing to their ease of fabrication and assembly, as well as superior strength, stiffness, and toughness. Full article
(This article belongs to the Special Issue Mechanical Properties of Composite Materials and Joints)
Show Figures

Figure 1

12 pages, 5729 KB  
Communication
Biomimetic Dual-Sensing Bone Scaffolds: Characterization and In Vitro Evaluation Under Dynamic Culturing Conditions
by Damion T. Dixon, Erika N. Landree and Cheryl T. Gomillion
Biomimetics 2025, 10(9), 598; https://doi.org/10.3390/biomimetics10090598 - 8 Sep 2025
Viewed by 792
Abstract
The regeneration of large segmental bone defects remains a significant challenge. While electrical stimulation has demonstrated the potential to accelerate bone healing, clinical translation has been hindered by the lack of safe, localized delivery methods. In this study, we present a novel strategy [...] Read more.
The regeneration of large segmental bone defects remains a significant challenge. While electrical stimulation has demonstrated the potential to accelerate bone healing, clinical translation has been hindered by the lack of safe, localized delivery methods. In this study, we present a novel strategy combining piezoelectric and electrically conductive polymers with allograft demineralized bones to create stimuli-responsive, biologically relevant scaffolds via pneumatic 3D printing. These scaffolds exhibit enhanced piezoelectric potential and tunable electrical properties, enabling both electrical and mechanical stimulation of cells (without external stimulators). Under dynamic culturing conditions (i.e., ultrasound stimulation), human bone marrow-derived mesenchymal stromal cells cultured on these scaffolds displayed significantly elevated osteogenic protein expression (i.e., alkaline phosphatase and osteocalcin) and mineralization (confirmed via xylenol orange mineral staining) after two weeks. This work introduces a bioinspired, printable ink in conjunction with a simple fabrication approach for creating dual-responsive scaffolds with high potential for functional bone tissue regeneration. Full article
(This article belongs to the Special Issue Biomimetic Materials for Bone Tissue Engineering)
Show Figures

Figure 1

28 pages, 5175 KB  
Article
Buckling Characteristics of Bio-Inspired Helicoidal Laminated Composite Spherical Shells Under External Normal and Torsional Loads Subjected to Elastic Support
by Mohammad Javad Bayat, Amin Kalhori, Masoud Babaei and Kamran Asemi
Buildings 2025, 15(17), 3165; https://doi.org/10.3390/buildings15173165 - 3 Sep 2025
Viewed by 3472
Abstract
Spherical shells exhibit superior strength-to-geometry efficiency, making them ideal for industrial applications such as fluid storage tanks, architectural domes, naval vehicles, nuclear containment systems, and aeronautical and aerospace components. Given their critical role, careful attention to the design parameters and engineering constraints is [...] Read more.
Spherical shells exhibit superior strength-to-geometry efficiency, making them ideal for industrial applications such as fluid storage tanks, architectural domes, naval vehicles, nuclear containment systems, and aeronautical and aerospace components. Given their critical role, careful attention to the design parameters and engineering constraints is essential. The present paper investigates the buckling responses of bio-inspired helicoidal laminated composite spherical shells under normal and torsional loading, including the effects of a Winkler elastic medium. The pre-buckling equilibrium equations are derived using linear three-dimensional (3D) elasticity theory and the principle of virtual work, solved via the classical finite element method (FEM). The buckling load is computed using a nonlinear Green strain formulation and a generalized geometric stiffness approach. The shell material employed in this study is a T300/5208 graphite/epoxy carbon fiber-reinforced polymer (CFRP) composite. Multiple helicoidal stacking sequences—linear, Fibonacci, recursive, exponential, and semicircular—are analyzed and benchmarked against traditional unidirectional, cross-ply, and quasi-isotropic layups. Parametric studies assess the effects of the normal/torsional loads, lamination schemes, ply counts, polar angles, shell thickness, elastic support, and boundary constraints on the buckling performance. The results indicate that quasi-isotropic (QI) laminate configurations exhibit superior buckling resistance compared to all the other layup arrangements, whereas unidirectional (UD) and cross-ply (CP) laminates show the least structural efficiency under normal- and torsional-loading conditions, respectively. Furthermore, this study underscores the efficacy of bio-inspired helicoidal stacking sequences in improving the mechanical performance of thin-walled composite spherical shells, exhibiting significant advantages over conventional laminate configurations. These benefits make helicoidal architectures particularly well-suited for weight-critical, high-performance applications in aerospace, marine, and biomedical engineering, where structural efficiency, damage tolerance, and reliability are paramount. Full article
(This article belongs to the Special Issue Computational Mechanics Analysis of Composite Structures)
Show Figures

Figure 1

28 pages, 2546 KB  
Systematic Review
Sustainable Polymer Composites for Thermal Insulation in Automotive Applications: A Systematic Literature Review
by Dan Dobrotă, Gabriela-Andreea Sava, Andreea-Mihaela Bărbușiu and Gabriel Tiberiu Dobrescu
Polymers 2025, 17(16), 2200; https://doi.org/10.3390/polym17162200 - 12 Aug 2025
Viewed by 1364
Abstract
This systematic literature review explores recent advancements in polymer-based composite materials designed for thermal insulation in automotive applications, with a particular focus on sustainability, performance optimization, and scalability. The methodology follows PRISMA 2020 guidelines and includes a comprehensive bibliometric and thematic analysis of [...] Read more.
This systematic literature review explores recent advancements in polymer-based composite materials designed for thermal insulation in automotive applications, with a particular focus on sustainability, performance optimization, and scalability. The methodology follows PRISMA 2020 guidelines and includes a comprehensive bibliometric and thematic analysis of 229 peer-reviewed articles published over the past 15 years across major databases (Scopus, Web of Science, ScienceDirect, MDPI). The findings are structured around four central research questions addressing (1) the functional role of insulation in automotive systems; (2) criteria for selecting suitable polymer systems; (3) optimization strategies involving nanostructuring, self-healing, and additive manufacturing; and (4) future research directions involving smart polymers, bioinspired architectures, and AI-driven design. Results show that epoxy resins, polyurethane, silicones, and polymeric foams offer distinct advantages depending on the specific application, yet each presents trade-offs between thermal resistance, recyclability, processing complexity, and ecological impact. Comparative evaluation tables and bibliometric mapping (VOSviewer) reveal an emerging research trend toward hybrid systems that combine bio-based matrices with functional nanofillers. The study concludes that no single material system is universally optimal, but rather that tailored solutions integrating performance, sustainability, and cost-effectiveness are essential for next-generation automotive thermal insulation. Full article
(This article belongs to the Special Issue Sustainable Polymer Materials for Industrial Applications)
Show Figures

Figure 1

30 pages, 11860 KB  
Review
Bioprinting Vascularized Constructs for Clinical Relevance: Engineering Hydrogel Systems for Biological Maturity
by Jeonghyun Son, Siyuan Li and Wonwoo Jeong
Gels 2025, 11(8), 636; https://doi.org/10.3390/gels11080636 - 12 Aug 2025
Cited by 2 | Viewed by 2225 | Correction
Abstract
Vascularization remains a critical challenge in tissue engineering, limiting graft survival, integration, and clinical translation. Although bioprinting enables spatial control over vascular architectures, many existing approaches prioritize geometric precision over biological performance. Bioprinted vasculature can be understood as a dynamic and time-dependent system [...] Read more.
Vascularization remains a critical challenge in tissue engineering, limiting graft survival, integration, and clinical translation. Although bioprinting enables spatial control over vascular architectures, many existing approaches prioritize geometric precision over biological performance. Bioprinted vasculature can be understood as a dynamic and time-dependent system that requires tissue-specific maturation. Within this framework, hydrogel systems act as active microenvironments rather than passive scaffolds. Hydrogel platforms vary from natural matrices and synthetic polymers to bioinspired or stimuli-responsive systems, each offering tunable control over stiffness, degradation, and biochemical signaling needed for vascular maturation. The design requirements of large and small vessels differ in terms of mechanical demands, remodeling capacity, and host integration. A key limitation in current models is the absence of time-resolved evaluation, as critical processes such as lumen formation, pericyte recruitment, and flow-induced remodeling occur progressively and are not captured by static endpoints. Advancements in bioprinting technologies are evaluated based on their capacity to support hydrogel-mediated vascularization across varying length scales and structural complexities. A framework for functional assessment is proposed, and translational challenges related to immunogenicity, scalability, and regulatory requirements are discussed. Such integration of hydrogel-driven biological cues and bioprinting fidelity is critical to advancing vascularized constructs toward clinical translation. Full article
(This article belongs to the Special Issue Advances in Hydrogels for Regenerative Medicine)
Show Figures

Figure 1

40 pages, 14675 KB  
Review
Recent Advances in Hydrogel-Promoted Photoelectrochemical Sensors
by Yali Cui, Yanyuan Zhang, Lin Wang and Yuanqiang Hao
Biosensors 2025, 15(8), 524; https://doi.org/10.3390/bios15080524 - 10 Aug 2025
Cited by 2 | Viewed by 1980
Abstract
Photoelectrochemical (PEC) sensors have garnered increasing attention due to their high sensitivity, low background signal, and rapid response. The incorporation of hydrogels into PEC platforms has significantly expanded their analytical capabilities by introducing features such as biocompatibility, tunable porosity, antifouling behavior, and mechanical [...] Read more.
Photoelectrochemical (PEC) sensors have garnered increasing attention due to their high sensitivity, low background signal, and rapid response. The incorporation of hydrogels into PEC platforms has significantly expanded their analytical capabilities by introducing features such as biocompatibility, tunable porosity, antifouling behavior, and mechanical flexibility. This review systematically categorizes hydrogel materials into four main types—nucleic acid-based, synthetic polymer, natural polymer, and carbon-based—and summarizes their functional roles in PEC sensors, including structural support, responsive amplification, antifouling interface construction, flexible electrolyte integration, and visual signal output. Representative applications are highlighted, ranging from the detection of ions, small biomolecules, and biomacromolecules to environmental pollutants, photodetectors, and flexible bioelectronic devices. Finally, key challenges—such as improving fabrication scalability, enhancing operational stability, integrating emerging photoactive materials, and advancing bio-inspired system design—are discussed to guide the future development of hydrogel-enhanced PEC sensing technologies. Full article
(This article belongs to the Special Issue Biosensors Based on Self-Assembly and Boronate Affinity Interaction)
Show Figures

Figure 1

27 pages, 40365 KB  
Article
Formation of Hybrid Spherical Silica Particles Using a Novel Alkoxy-Functional Polysilsesquioxane Macromonomer as a Precursor in an Acid-Catalyzed Sol-Gel Process
by Anna Kowalewska, Kamila Majewska-Smolarek, Agata S. Herc, Sławomir Kaźmierski and Joanna Bojda
Materials 2025, 18(14), 3357; https://doi.org/10.3390/ma18143357 - 17 Jul 2025
Viewed by 841
Abstract
The interest in macromolecular alkoxysilyl-functionalized hybrids (self-assembling or nanostructured), which could be used as precursors in biomimetic silica precipitation and for the synthesis of hollow spherical silica particles, is growing. Nevertheless, reports on all-organosilicon systems for bioinspired silica precipitation are scarce. Therefore, a [...] Read more.
The interest in macromolecular alkoxysilyl-functionalized hybrids (self-assembling or nanostructured), which could be used as precursors in biomimetic silica precipitation and for the synthesis of hollow spherical silica particles, is growing. Nevertheless, reports on all-organosilicon systems for bioinspired silica precipitation are scarce. Therefore, a new kind of polyalkoxysilane macromonomer–linear polysilsesquioxane (LPSQ) of ladder-like backbone, functionalized in side chains with trimethoxysilyl groups (LPSQ-R-Si(OMe)3), was designed following this approach. It was obtained by photoinitiated thiol-ene addition of 3-mercaptopropyltrimethoxysilane to the vinyl-functionalized polysilsesquioxane precursor, carried out in situ in tetraethoxysilane (TEOS). The mixture of LPSQ-R-Si(OMe)3 and TEOS (co-monomers) was used in a sol–gel process conducted under acidic conditions (0.5 M HCl/NaCl) in the presence of Pluronic® F-127 triblock copolymer as a template. LPSQ-R-Si(OMe)3 played a key role for the formation of microparticles of a spherical shape that were formed under the applied conditions, while their size (as low as 3–4 µm) was controlled by the stirring rate. The hybrid materials were hydrophobic and showed good thermal and oxidative stability. Introduction of zinc acetate (Zn(OAc)2) as an additive in the sol–gel process influenced the pH of the reaction medium, which resulted in structural reinforcement of the hybrid microparticles owing to more effective condensation of silanol groups and a relative increase of the content of SiO2. The proposed method shows directions in designing the properties of hybrid materials and can be translated to other silicon–organic polymers and oligomers that could be used to produce hollow silica particles. The established role of various factors (macromonomer structure, pH, and stirring rate) allows for the modulation of particle morphology. Full article
Show Figures

Graphical abstract

68 pages, 10407 KB  
Review
Bioinspired Morphing in Aerodynamics and Hydrodynamics: Engineering Innovations for Aerospace and Renewable Energy
by Farzeen Shahid, Maqusud Alam, Jin-Young Park, Young Choi, Chan-Jeong Park, Hyung-Keun Park and Chang-Yong Yi
Biomimetics 2025, 10(7), 427; https://doi.org/10.3390/biomimetics10070427 - 1 Jul 2025
Viewed by 4975
Abstract
Bioinspired morphing offers a powerful route to higher aerodynamic and hydrodynamic efficiency. Birds reposition feathers, bats extend compliant membrane wings, and fish modulate fin stiffness, tailoring lift, drag, and thrust in real time. To capture these advantages, engineers are developing airfoils, rotor blades, [...] Read more.
Bioinspired morphing offers a powerful route to higher aerodynamic and hydrodynamic efficiency. Birds reposition feathers, bats extend compliant membrane wings, and fish modulate fin stiffness, tailoring lift, drag, and thrust in real time. To capture these advantages, engineers are developing airfoils, rotor blades, and hydrofoils that actively change shape, reducing drag, improving maneuverability, and harvesting energy from unsteady flows. This review surveys over 296 studies, with primary emphasis on literature published between 2015 and 2025, distilling four biological archetypes—avian wing morphing, bat-wing elasticity, fish-fin compliance, and tubercled marine flippers—and tracing their translation into morphing aircraft, ornithopters, rotorcraft, unmanned aerial vehicles, and tidal or wave-energy converters. We compare experimental demonstrations and numerical simulations, identify consensus performance gains (up to 30% increase in lift-to-drag ratio, 4 dB noise reduction, and 15% boost in propulsive or power-capture efficiency), and analyze materials, actuation, control strategies, certification, and durability as the main barriers to deployment. Advances in multifunctional composites, electroactive polymers, and model-based adaptive control have moved prototypes from laboratory proof-of-concept toward field testing. Continued collaboration among biology, materials science, control engineering, and fluid dynamics is essential to unlock robust, scalable morphing technologies that meet future efficiency and sustainability targets. Full article
Show Figures

Figure 1

40 pages, 10781 KB  
Review
Recent Developments in Additively Manufactured Crash Boxes: Geometric Design Innovations, Material Behavior, and Manufacturing Techniques
by Ahmed Saber, A. M. Amer, A. I. Shehata, H. A. El-Gamal and A. Abd_Elsalam
Appl. Sci. 2025, 15(13), 7080; https://doi.org/10.3390/app15137080 - 24 Jun 2025
Cited by 2 | Viewed by 1868
Abstract
Crash boxes play a vital role in improving vehicle safety by absorbing collision energy and reducing the forces transmitted to occupants. Additive manufacturing (AM) has become a powerful method for developing advanced crash boxes by enabling complex geometries. This review provides a comprehensive [...] Read more.
Crash boxes play a vital role in improving vehicle safety by absorbing collision energy and reducing the forces transmitted to occupants. Additive manufacturing (AM) has become a powerful method for developing advanced crash boxes by enabling complex geometries. This review provides a comprehensive examination of recent progress in AM crash boxes, with a focus on three key aspects: geometric design innovations, material behavior, and manufacturing techniques. The review investigates the influence of various AM-enabled structural configurations, including tubular, origami-inspired, lattice, and bio-inspired designs, on crashworthiness performance. Among these, bio-inspired structures exhibit superior energy absorption characteristics, achieving a mean specific energy absorption (SEA) of 21.51 J/g. Material selection is also explored, covering polymers, fiber-reinforced polymers, metals, and multi-material structures. Metallic AM crash boxes demonstrate the highest energy absorption capacity, with a mean SEA of 28.65 J/g. In addition, the performance of different AM technologies is evaluated, including Stereolithography (SLA), Material Jetting (MJT), Selective Laser Melting (SLM), Selective Laser Sintering (SLS), Fused Deposition Modeling (FDM), and hybrid manufacturing techniques. Among these, crash boxes produced by SLM show the most favorable energy absorption performance, with a mean SEA of 16.50 J/g. The findings presented in this review offer critical insights to guide future research and development in the design and manufacturing of next-generation AM crash boxes intended to enhance vehicle safety. Full article
(This article belongs to the Section Additive Manufacturing Technologies)
Show Figures

Figure 1

Back to TopTop