Sign in to use this feature.

Years

Between: -

Subjects

remove_circle_outline
remove_circle_outline
remove_circle_outline
remove_circle_outline
remove_circle_outline
remove_circle_outline

Journals

Article Types

Countries / Regions

Search Results (9)

Search Parameters:
Keywords = bimodal nanoprobes

Order results
Result details
Results per page
Select all
Export citation of selected articles as:
4 pages, 765 KB  
Proceeding Paper
Bimodal Nanoprobes Containing AgInSe2 Hydrophilic Quantum Dots and Paramagnetic Chelates for Diagnostic Magnetic Resonance Imaging
by Rebeca Muniz de Melo, Gabriela Marques de Albuquerque, Goreti Pereira and Giovannia Araujo de Lima Pereira
Eng. Proc. 2023, 56(1), 6; https://doi.org/10.3390/ASEC2023-15272 - 26 Oct 2023
Cited by 2 | Viewed by 994
Abstract
The development of bimodal systems with signals for two diagnostic techniques has been increasing. Magnetic resonance imaging (MRI) is a non-invasive technique that distinguishes pathological tissues from healthy ones. To improve the images’ contrast, nanoparticulate contrast agents (CAs) have been developed, allowing for [...] Read more.
The development of bimodal systems with signals for two diagnostic techniques has been increasing. Magnetic resonance imaging (MRI) is a non-invasive technique that distinguishes pathological tissues from healthy ones. To improve the images’ contrast, nanoparticulate contrast agents (CAs) have been developed, allowing for the attachment of several CA molecules in one nanoparticle. In this work, we associated AgInSe2 quantum dots (QDs) with gadolinium complexes, obtaining nanoprobes for MRI and optical imaging. The nanosystems showed good optical properties and values of relaxivity superior to the CAs used clinically. Thus, these nanoprobes have the potential to be used as CAs for MRI and optical imaging. Full article
(This article belongs to the Proceedings of The 4th International Electronic Conference on Applied Sciences)
Show Figures

Figure 1

10 pages, 1672 KB  
Article
Gadolinium-Doped Carbon Nanoparticles with Red Fluorescence and Enhanced Proton Relaxivity as Bimodal Nanoprobes for Bioimaging Applications
by Dariia U. Musaeva, Alexey N. Kopylov, Alexander V. Syuy, Valentyn S. Volkov, Nikita D. Mitiushev, Olga S. Pavlova, Yury A. Pirogov, Andrey N. Baranov and Victor Yu. Timoshenko
Appl. Sci. 2023, 13(16), 9322; https://doi.org/10.3390/app13169322 - 16 Aug 2023
Cited by 5 | Viewed by 2565
Abstract
Carbon-based nanoparticles (CNPs) have demonstrated great potential in biomedical applications because of their unique physical and chemical properties, and excellent biocompatibility. Herein, we have studied two types of CNPs with gadolinium (Gd) impurities (Gd-CNPs), which were prepared by microwave synthesis (MWS) and hydrothermal [...] Read more.
Carbon-based nanoparticles (CNPs) have demonstrated great potential in biomedical applications because of their unique physical and chemical properties, and excellent biocompatibility. Herein, we have studied two types of CNPs with gadolinium (Gd) impurities (Gd-CNPs), which were prepared by microwave synthesis (MWS) and hydrothermal synthesis (HTS), for potential applications as photoluminescent (PL) labels and contrast agents in magnetic resonance imaging (MRI). The prepared Gd-CNPs were investigated by means of transmission electron microscopy (TEM), Fourier-transform infrared spectroscopy, UV–visible absorption spectroscopy, and magnetic-resonance relaxometry, which allowed us to reveal specific features and functional properties of the prepared samples. While the TEM data showed similar size distributions of both types of Gd-CNPs with mean sizes of 4–5 nm, the optical absorption spectroscopy showed higher absorption in the visible spectral region and stronger PL in the red and near-infrared (NIR) spectral regions for the MWS samples in comparison with those prepared by HTS. Under green light excitation the former samples exhibited the bright red-NIR PL with quantum efficiency of the order of 10%. The proton relaxometry measurements demonstrated that the HTS samples possessed longitudinal and transverse relaxivities of about 42 and 70 mM−1s−1, whereas the corresponding values for the MWS samples were about 8 and 13 mM−1s−1, respectively. The obtained results can be useful for the selection of appropriate synthesis conditions for carbon-based nanoparticles for bimodal bioimaging applications. Full article
(This article belongs to the Special Issue Nanotechnology and Functional Nanomaterials)
Show Figures

Figure 1

15 pages, 2770 KB  
Article
Facile One-Pot Green Synthesis of Magneto-Luminescent Bimetallic Nanocomposites with Potential as Dual Imaging Agent
by Radek Ostruszka, Denisa Půlpánová, Tomáš Pluháček, Ondřej Tomanec, Petr Novák, Daniel Jirák and Karolína Šišková
Nanomaterials 2023, 13(6), 1027; https://doi.org/10.3390/nano13061027 - 13 Mar 2023
Cited by 14 | Viewed by 3075
Abstract
Nanocomposites serving as dual (bimodal) probes have great potential in the field of bio-imaging. Here, we developed a simple one-pot synthesis for the reproducible generation of new luminescent and magnetically active bimetallic nanocomposites. The developed one-pot synthesis was performed in a sequential manner [...] Read more.
Nanocomposites serving as dual (bimodal) probes have great potential in the field of bio-imaging. Here, we developed a simple one-pot synthesis for the reproducible generation of new luminescent and magnetically active bimetallic nanocomposites. The developed one-pot synthesis was performed in a sequential manner and obeys the principles of green chemistry. Briefly, bovine serum albumin (BSA) was exploited to uptake Au (III) and Fe (II)/Fe (III) ions simultaneously. Then, Au (III) ions were transformed to luminescent Au nanoclusters embedded in BSA (AuNCs-BSA) and majority of Fe ions were bio-embedded into superparamagnetic iron oxide nanoparticles (SPIONs) by the alkalization of the reaction medium. The resulting nanocomposites, AuNCs-BSA-SPIONs, represent a bimodal nanoprobe. Scanning transmission electron microscopy (STEM) imaging visualized nanostructures with sizes in units of nanometres that were arranged into aggregates. Mössbauer spectroscopy gave direct evidence regarding SPION presence. The potential applicability of these bimodal nanoprobes was verified by the measurement of their luminescent features as well as magnetic resonance (MR) imaging and relaxometry. It appears that these magneto-luminescent nanocomposites were able to compete with commercial MRI contrast agents as MR displays the beneficial property of bright luminescence of around 656 nm (fluorescence quantum yield of 6.2 ± 0.2%). The biocompatibility of the AuNCs-BSA-SPIONs nanocomposite has been tested and its long-term stability validated. Full article
Show Figures

Graphical abstract

1 pages, 200 KB  
Abstract
Bimodal Nanoprobes Containing Hydrophilic Quantum Dots and Paramagnetic Chelates
by Rebeca Muniz de Melo, Gabriela Marques Albuquerque, Giovannia Araújo de Lima Pereira and Maria Goreti Carvalho Pereira
Med. Sci. Forum 2022, 14(1), 114; https://doi.org/10.3390/ECMC2022-13307 - 1 Nov 2022
Viewed by 1151
Abstract
Currently, there is a growing interest in the development of bimodal systems that have a signal for more than one diagnostic imaging technique, such as magnetic resonance imaging (MRI). MRI is able to distinguish pathological from healthy tissues; however, in some cases, a [...] Read more.
Currently, there is a growing interest in the development of bimodal systems that have a signal for more than one diagnostic imaging technique, such as magnetic resonance imaging (MRI). MRI is able to distinguish pathological from healthy tissues; however, in some cases, a high local concentration of contrast agents (CAs) is necessary to improve the contrast in images. Nanoparticulate CAs are able to concentrate several CA molecules into one nanoparticle, increasing the local concentrations of paramagnetic ions. In this work, we intend to associate AgInSe2 quantum dots (QDs) with gadolinium complexes (DOTA-Gd) to develop bimodal systems. The QDs were prepared in water and the synthesis parameters were optimized. The ligand DOTA was conjugated with cysteamine and complexed with Gd3+. The complex was then conjugated to QDs through the metal–thiol bond, obtaining the bimodal systems. Optical characterization indicated that the QDs remained stable and fluorescent, and an increase in emission intensity after conjugation was observed. The systems were characterized by relaxometry at 20 MHz (0.47 T) and 37 °C, obtaining longitudinal relaxivities by Gd3+ higher than the CAs used clinically. Thus, the prepared nanoprobes showed promising properties for MRI and optical imaging. Full article
(This article belongs to the Proceedings of The 8th International Electronic Conference on Medicinal Chemistry)
34 pages, 13858 KB  
Review
Design and Synthesis of Luminescent Lanthanide-Based Bimodal Nanoprobes for Dual Magnetic Resonance (MR) and Optical Imaging
by Walid Mnasri, Mahsa Parvizian and Souad Ammar-Merah
Nanomaterials 2021, 11(2), 354; https://doi.org/10.3390/nano11020354 - 1 Feb 2021
Cited by 20 | Viewed by 4937
Abstract
Current biomedical imaging techniques are crucial for the diagnosis of various diseases. Each imaging technique uses specific probes that, although each one has its own merits, do not encompass all the functionalities required for comprehensive imaging (sensitivity, non-invasiveness, etc.). Bimodal imaging methods are [...] Read more.
Current biomedical imaging techniques are crucial for the diagnosis of various diseases. Each imaging technique uses specific probes that, although each one has its own merits, do not encompass all the functionalities required for comprehensive imaging (sensitivity, non-invasiveness, etc.). Bimodal imaging methods are therefore rapidly becoming an important topic in advanced healthcare. This bimodality can be achieved by successive image acquisitions involving different and independent probes, one for each mode, with the risk of artifacts. It can be also achieved simultaneously by using a single probe combining a complete set of physical and chemical characteristics, in order to record complementary views of the same biological object at the same time. In this scenario, and focusing on bimodal magnetic resonance imaging (MRI) and optical imaging (OI), probes can be engineered by the attachment, more or less covalently, of a contrast agent (CA) to an organic or inorganic dye, or by designing single objects containing both the optical emitter and MRI-active dipole. If in the first type of system, there is frequent concern that at some point the dye may dissociate from the magnetic dipole, it may not in the second type. This review aims to present a summary of current activity relating to this kind of dual probes, with a special emphasis on lanthanide-based luminescent nano-objects. Full article
Show Figures

Figure 1

13 pages, 3407 KB  
Article
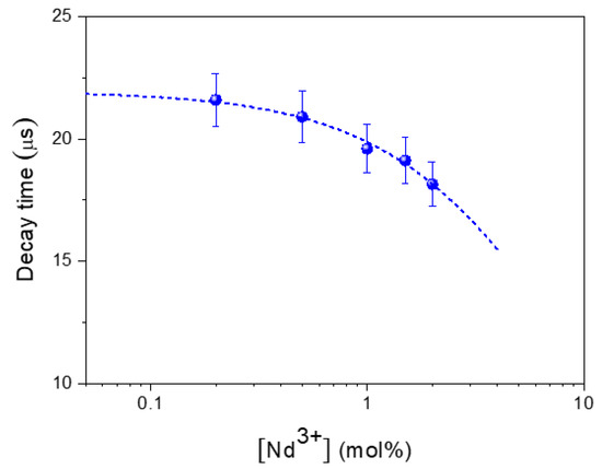
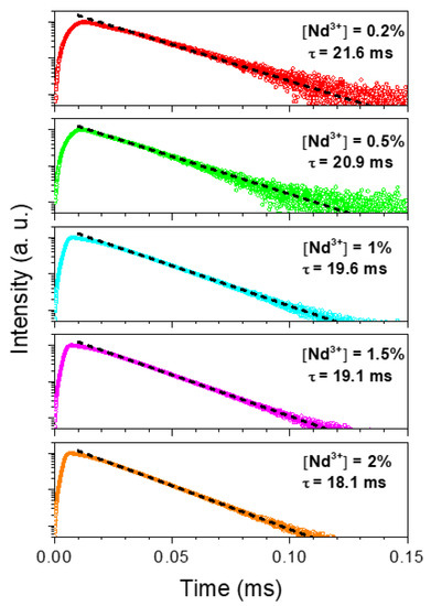
Bimodal Nd-Doped LuVO4 Nanoprobes Functionalized with Polyacrilic Acid for X-Ray Computed Tomography and NIR Luminescent Imaging
by Nuria O Nuñez, Fernando Cussó, Eugenio Cantelar, Beatriz Martin-Gracia, Jesús M de la Fuente, Ariadna Corral, Marcin Balcerzyk and Manuel Ocaña
Nanomaterials 2020, 10(1), 149; https://doi.org/10.3390/nano10010149 - 14 Jan 2020
Cited by 15 | Viewed by 3549
Abstract
Uniform Nd3+-doped LuVO4 nanophosphors have been synthesized for the first time in literature by using a poliol-based method at 120 °C from Nd3+ and vanadate precursors. After optimizing the Nd doping level, these phosphors present intense luminescence in the [...] Read more.
Uniform Nd3+-doped LuVO4 nanophosphors have been synthesized for the first time in literature by using a poliol-based method at 120 °C from Nd3+ and vanadate precursors. After optimizing the Nd doping level, these phosphors present intense luminescence in the near-infrared biological windows. The X-ray attenuation capacity of the optimum nanophosphor has been found to be higher than that of a commercial X-ray computed tomography contrast agent. After surface coating with polyacrylic acid, such nanoparticles present high colloidal stability in physiological pH medium and high cell viability. Because of these properties, the developed Nd3+-doped LuVO4 nanoparticles have potential applications as a bimodal probe for NIR luminescent bioimaging and X-ray computed tomography. Full article
(This article belongs to the Section Synthesis, Interfaces and Nanostructures)
Show Figures

Graphical abstract

5 pages, 823 KB  
Communication
Carbon Dots Doped with Dysprosium: A Bimodal Nanoprobe for MRI and Fluorescence Imaging
by Timur Sh. Atabaev, Zhonglie Piao and Anara Molkenova
J. Funct. Biomater. 2018, 9(2), 35; https://doi.org/10.3390/jfb9020035 - 18 May 2018
Cited by 15 | Viewed by 8460
Abstract
In recent years, functional nanoprobes with multiple imaging modalities have become an emerging field of biomedical research. In this preliminary study, we utilized a facile hydrothermal method for the preparation of magneto-fluorescent bimodal carbon dots doped with dysprosium (Dy-CDs). The prepared Dy-CDs have [...] Read more.
In recent years, functional nanoprobes with multiple imaging modalities have become an emerging field of biomedical research. In this preliminary study, we utilized a facile hydrothermal method for the preparation of magneto-fluorescent bimodal carbon dots doped with dysprosium (Dy-CDs). The prepared Dy-CDs have shown a good colloidal stability in a water solution and strong blue–green fluorescence, with a maximum at 452 nm. In addition, the excellent transverse relaxivity of the prepared Dy-CDs (r2 = 7.42 ± 0.07 mM−1s−1) makes them also suitable for T2-weighted magnetic resonance imaging (MRI). Thus, synthesized Dy-CDs could be potentially utilized for both MRI and fluorescence imaging of living cells. Full article
(This article belongs to the Special Issue Functional Materials for Healthcare)
Show Figures

Graphical abstract

13 pages, 1241 KB  
Article
Mn2+-ZnSe/ZnS@SiO2 Nanoparticles for Turn-on Luminescence Thiol Detection
by Mohammad S. Yazdanparast, William R. Jeffries, Eric R. Gray and Emily J. McLaurin
J. Funct. Biomater. 2017, 8(3), 36; https://doi.org/10.3390/jfb8030036 - 23 Aug 2017
Cited by 4 | Viewed by 7716
Abstract
Biological thiols are antioxidants essential for the prevention of disease. For example, low levels of the tripeptide glutathione are associated with heart disease, cancer, and dementia. Mn2+-doped wide bandgap semiconductor nanocrystals exhibit luminescence and magnetic properties that make them attractive for [...] Read more.
Biological thiols are antioxidants essential for the prevention of disease. For example, low levels of the tripeptide glutathione are associated with heart disease, cancer, and dementia. Mn2+-doped wide bandgap semiconductor nanocrystals exhibit luminescence and magnetic properties that make them attractive for bimodal imaging. We found that these nanocrystals and silica-encapsulated nanoparticle derivatives exhibit enhanced luminescence in the presence of thiols in both organic solvent and aqueous solution. The key to using these nanocrystals as sensors is control over their surfaces. The addition of a ZnS barrier layer or shell produces more stable nanocrystals that are isolated from their surroundings, and luminescence enhancement is only observed with thinner, intermediate shells. Tunability is demonstrated with dodecanethiol and sensitivities decrease with thin, medium, and thick shells. Turn-on nanoprobe luminescence is also generated by several biological thiols, including glutathione, N-acetylcysteine, cysteine, and dithiothreitol. Nanoparticles prepared with different ZnS shell thicknesses demonstrated varying sensitivity to glutathione, which allows for the tuning of particle sensitivity without optimization. The small photoluminescence response to control amino acids and salts indicates selectivity for thiols. Preliminary magnetic measurements highlight the challenge of optimizing sensors for different imaging modalities. In this work, we assess the prospects of using these nanoparticles as luminescent turn-on thiol sensors and for MRI. Full article
(This article belongs to the Special Issue Magnetic Nanoparticle Design for Medical Diagnosis and Therapy)
Show Figures

Figure 1

13 pages, 648 KB  
Article
Fluorescent Magnetic Bioprobes by Surface Modification of Magnetite Nanoparticles
by Paula C. Pinheiro, Ana L. Daniel-da-Silva, Daniela S. Tavares, M. Pilar Calatayud, Gerardo F. Goya and Tito Trindade
Materials 2013, 6(8), 3213-3225; https://doi.org/10.3390/ma6083213 - 31 Jul 2013
Cited by 32 | Viewed by 8984
Abstract
Bimodal nanoprobes comprising both magnetic and optical functionalities have been prepared via a sequential two-step process. Firstly, magnetite nanoparticles (MNPs) with well-defined cubic shape and an average dimension of 80 nm were produced by hydrolysis of iron sulfate and were then surface modified [...] Read more.
Bimodal nanoprobes comprising both magnetic and optical functionalities have been prepared via a sequential two-step process. Firstly, magnetite nanoparticles (MNPs) with well-defined cubic shape and an average dimension of 80 nm were produced by hydrolysis of iron sulfate and were then surface modified with silica shells by using the sol-gel method. The Fe3O4@SiO2 particles were then functionalized with the fluorophore, fluorescein isothiocyanate (FITC), mediated by assembled shells of the cationic polyelectrolyte, polyethyleneimine (PEI). The Fe3O4 functionalized particles were then preliminary evaluated as fluorescent and magnetic probes by performing studies in which neuroblast cells have been contacted with these nanomaterials. Full article
(This article belongs to the Special Issue Luminescent Materials 2013)
Show Figures

Figure 1

Back to TopTop