Bimodal Nd-Doped LuVO4 Nanoprobes Functionalized with Polyacrilic Acid for X-Ray Computed Tomography and NIR Luminescent Imaging
Abstract
1. Introduction
2. Materials and Methods
2.1. Materials
2.2. Synthesis of LuVO4 Nanoparticles
2.3. PAA Functionalization of LuVO4 Nanoparticles
2.4. Characterization
3. Results
3.1. Samples Preparation and Characterization
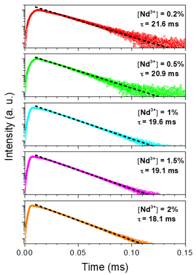
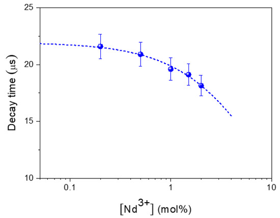
3.2. NIR Luminescence
3.3. X-Ray Attenuation
3.4. Colloidal Stability and PAA Surface Modification
3.5. Biocompatibility
4. Conclusions
Author Contributions
Funding
Acknowledgments
Conflicts of Interest
References
- Leary, J.F.; Key, J. Nanoparticles for multimodal in vivo imaging in nanomedicine. Int. J. Nanomed. 2014, 9, 711–726. [Google Scholar] [CrossRef] [PubMed]
- Nuñez, N.O.; Rivera, S.; Alcántara, D.; De La Fuente, J.M.; García-Sevillano, J.; Ocaña, M. Surface modified Eu:GdVO4 nanocrystals for optical and MRI imaging. Dalton Trans. 2013, 42, 10725. [Google Scholar] [CrossRef] [PubMed]
- Dong, K.; Ju, E.; Liu, J.; Han, X.; Ren, J.; Qu, X. Ultrasmall biomolecule-anchored hybrid GdVO4 nanophosphors as a metabolizable multimodal bioimaging contrast agent. Nanoscale 2014, 6, 12042–12049. [Google Scholar] [CrossRef] [PubMed]
- Abdesselem, M.; Schoeffel, M.; Maurin, I.; Ramodiharilafy, R.; Autret, G.; Clément, O.; Tharaux, P.-L.; Boilot, J.-P.; Gacoin, T.; Bouzigues, C.; et al. Multifunctional Rare-Earth Vanadate Nanoparticles: Luminescent Labels, Oxidant Sensors, and MRI Contrast Agents. ACS Nano 2014, 8, 11126–11137. [Google Scholar] [CrossRef] [PubMed]
- Liu, Y.X.; Liu, G.X.; Dong, X.T.; Wang, J.X.; Yu, W.S. Tunable photoluminescence and magnetic properties of Dy3+ and Eu3+ doped GdVO4 multifunctional phosphors. Phys. Chem. Chem. Phys. 2015, 17, 26638–26644. [Google Scholar] [CrossRef] [PubMed]
- Liu, Y.; Liu, G.; Wang, J.; Dong, X.T.; Yu, W.S. Reddish-orange-emitting and paramagnetic properties of GdVO4:Sm3+/Eu3+ multifunctional nanomaterials. New J. Chem. 2015, 39, 8282–8290. [Google Scholar] [CrossRef]
- Núñez, N.O.; Zambrano, P.; García-Sevillano, J.; Cantelar, E.; Rivera-Fernández, S.; De La Fuente, J.M.; Ocaña, M. Uniform Poly(acrylic acid)-Functionalized Lanthanide-Doped LaVO4 Nanophosphors with High Colloidal Stability and Biocompatibility. Eur. J. Inorg. Chem. 2015, 2015, 4546–4554. [Google Scholar] [CrossRef]
- Jeyaraman, J.; Shukla, A.; Sivakumar, S. Targeted Stealth Polymer Capsules Encapsulating Ln(3+)-Doped LaVO4 Nanoparticles for Bioimaging Applications. ACS Biomater. Sci. Eng. 2016, 2, 1330–1340. [Google Scholar] [CrossRef]
- Kolesnikov, I.E.; Kalinichev, A.A.; Kurochkin, M.A.; Golyeva, E.V.; Kolesnikov, E.Y.; Kurochkin, A.V.; Lahderanta, E.; Mikhailov, M.D. YVO4:Nd3+ nanophosphors as NIR-to-NIR thermal sensors in wide temperature range. Sci. Rep. 2017, 7, 18002. [Google Scholar] [CrossRef]
- Spyrogianni, A.; Tiefenboeck, P.; Starsich, F.H.; Keevend, K.; Krumeich, F.; Herrmann, I.K.; Leroux, J.C.; Sotiriou, G.A. Near-UV Activated, Photostable Nanophosphors for In Vitro Dosimetry and Dynamic Bioimaging. AICHE J. 2018, 64, 2947–2957. [Google Scholar] [CrossRef]
- Gupta, B.K.; Rathee, V.; Narayan, T.N.; Thanikaivelan, P.; Saha, A.; Singh, S.P.; Shanker, V.; Narti, A.A.; Alayan, P.M. Probing a Bifunctional Luminomagnetic Nanophosphor for Biological Applications: A Photoluminescence and Time-Resolved Spectroscopic Study. Small 2011, 7, 1767. [Google Scholar] [CrossRef] [PubMed]
- Wang, R.; Zhang, F. NIR luminescent nanomaterials for biomedical imaging. J. Mater. Chem. B 2014, 2, 2422–2443. [Google Scholar] [CrossRef]
- Lusic, H.; Grinstaff, M.W. X-ray-Computed Tomography Contrast Agents. Chem. Rev. 2013, 113, 1641–1666. [Google Scholar] [CrossRef] [PubMed]
- Chen, C.; Li, C.; Li, T.; Liu, J.; Huang, H.; Bai, T.; Wang, Z.; Shi, Z.; Feng, S. Water-Soluble, Monodisperse, Lanthanide-Doped Y(Gd)VO4 Nanocrystals as Promising Multimodal Bioprobe. Eur. J. Inorg. Chem. 2015, 2015, 3108–3115. [Google Scholar] [CrossRef]
- Gnach, A.; Bednarkiewicz, A. Lanthanide-doped up-converting nanoparticles: Merits and challenges. Nano Today 2012, 7, 532–563. [Google Scholar] [CrossRef]
- Duan, X.; Li, Y. Physicochemical characteristics of nanoparticles affect circulation, biodistribution, cellular internalization, and trafficking. Small 2013, 9, 1521–1532. [Google Scholar] [CrossRef] [PubMed]
- Mosmann, T.J. Rapid colorimetric assay for cellular growth and survival: Application to proliferation and cytotoxicity assays. J. Immunol. Methods 1993, 65, 55–63. [Google Scholar] [CrossRef]
- Shannon, R.D. Revised effective ionic radii and systematic studies of interatomic distances in halides and chalcogenides. Acta Cryst. A 1976, 32, 751–767. [Google Scholar] [CrossRef]
- Matsuura, H.; Miyazawa, T. Infrared spectra and molecular vibrations of ethylene glycol and deuterated derivatives. Bull. Chem. Soc. Jpn. 1967, 40, 85–94. [Google Scholar] [CrossRef]










| Nd/(Nd + Lu) | Mean Size | a = b | c | Cell Volume |
|---|---|---|---|---|
| (% Nominal) | (nm) | (Å) | (Å) | (Å3) |
| 0 | 60 (14) | 7.0330(9) | 6.2180(1) | 307.58 |
| 0.2 | 73 (11) | 7.0305(7) | 6.2274(7) | 307.80 |
| 0.5 | 70 (12) | 7.0332(7) | 6.2280(7) | 308.07 |
| 1.0 | 75 (9) | 7.0341(6) | 6.2296(6) | 308.20 |
| 1.5 | 77 (13) | 7.0352(5) | 6.2294(5) | 308.31 |
| 2.0 | 75 (10) | 7.0367(6) | 6.2321(6) | 308.58 |
© 2020 by the authors. Licensee MDPI, Basel, Switzerland. This article is an open access article distributed under the terms and conditions of the Creative Commons Attribution (CC BY) license (http://creativecommons.org/licenses/by/4.0/).
Share and Cite
Nuñez, N.O.; Cussó, F.; Cantelar, E.; Martin-Gracia, B.; de la Fuente, J.M.; Corral, A.; Balcerzyk, M.; Ocaña, M. Bimodal Nd-Doped LuVO4 Nanoprobes Functionalized with Polyacrilic Acid for X-Ray Computed Tomography and NIR Luminescent Imaging. Nanomaterials 2020, 10, 149. https://doi.org/10.3390/nano10010149
Nuñez NO, Cussó F, Cantelar E, Martin-Gracia B, de la Fuente JM, Corral A, Balcerzyk M, Ocaña M. Bimodal Nd-Doped LuVO4 Nanoprobes Functionalized with Polyacrilic Acid for X-Ray Computed Tomography and NIR Luminescent Imaging. Nanomaterials. 2020; 10(1):149. https://doi.org/10.3390/nano10010149
Chicago/Turabian StyleNuñez, Nuria O, Fernando Cussó, Eugenio Cantelar, Beatriz Martin-Gracia, Jesús M de la Fuente, Ariadna Corral, Marcin Balcerzyk, and Manuel Ocaña. 2020. "Bimodal Nd-Doped LuVO4 Nanoprobes Functionalized with Polyacrilic Acid for X-Ray Computed Tomography and NIR Luminescent Imaging" Nanomaterials 10, no. 1: 149. https://doi.org/10.3390/nano10010149
APA StyleNuñez, N. O., Cussó, F., Cantelar, E., Martin-Gracia, B., de la Fuente, J. M., Corral, A., Balcerzyk, M., & Ocaña, M. (2020). Bimodal Nd-Doped LuVO4 Nanoprobes Functionalized with Polyacrilic Acid for X-Ray Computed Tomography and NIR Luminescent Imaging. Nanomaterials, 10(1), 149. https://doi.org/10.3390/nano10010149

