Sign in to use this feature.

Years

Between: -

Subjects

remove_circle_outline
remove_circle_outline
remove_circle_outline
remove_circle_outline
remove_circle_outline
remove_circle_outline
remove_circle_outline
remove_circle_outline

Journals

Article Types

Countries / Regions

remove_circle_outline
remove_circle_outline
remove_circle_outline
remove_circle_outline
remove_circle_outline

Search Results (236)

Search Parameters:
Keywords = bathymetric maps

Order results
Result details
Results per page
Select all
Export citation of selected articles as:
18 pages, 5062 KB  
Article
Multisource Mapping of Lagoon Bathymetry for Hydrodynamic Models and Decision-Support Spatial Tools: The Case of the Gambier Islands in French Polynesia
by Serge Andréfouët, Oriane Bruyère and Thomas Trophime
Geomatics 2025, 5(4), 81; https://doi.org/10.3390/geomatics5040081 - 18 Dec 2025
Abstract
Precise lagoon bathymetry remains scarcely available for most tropical islands despite its importance for navigation, resource assessment, spatial planning, and numerical hydrodynamic modeling. Hydrodynamic models are increasingly used for instance to understand the ecological connectivity between marine populations of interest. Island remoteness and [...] Read more.
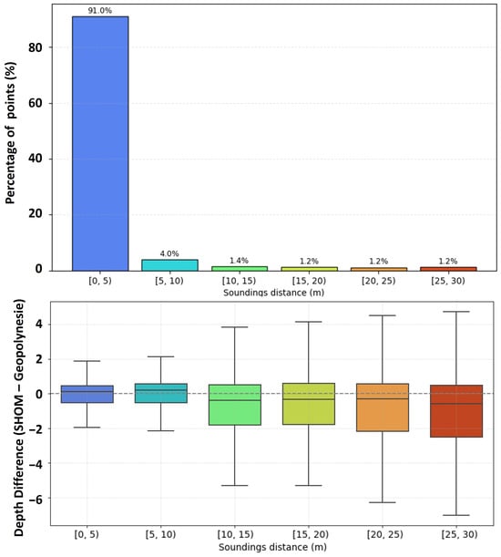
Precise lagoon bathymetry remains scarcely available for most tropical islands despite its importance for navigation, resource assessment, spatial planning, and numerical hydrodynamic modeling. Hydrodynamic models are increasingly used for instance to understand the ecological connectivity between marine populations of interest. Island remoteness and shallow waters complicate in situ bathymetric surveys, which are substantially costly. A multisource strategy using historical point sounding, multibeam surveys and well calibrated satellite-derived bathymetry (SDB) can offer the possibility to map entirely extensive and geomorphologically complex lagoons. The process is illustrated here for the rugose complex lagoon of Gambier Islands in French Polynesia. The targeted bathymetry product was designed to be used in priority for numerical larval dispersal modeling at 100 m spatial resolution. Spatial gaps in in situ data were filed with Sentinel-2 satellite images processed with the Iterative Multi-Band Ratio method that provided an accurate bathymetric model (1.42 m Mean Absolute Error in the 0–15 m depth range). Processing was optimized here, considering the specifications and the constraints related to the targeted hydrodynamic modeling application. In the near future, a similar product, possibly at higher spatial resolution, could improve spatial planning zoning scenarios and resource-restocking programs. For tropical island countries and for French Polynesia, in particular, the needs for lagoon hydrodynamic models remain high and solutions could benefit from such multisource coverage to fill the bathymetry gaps. Full article
(This article belongs to the Special Issue Advances in Ocean Mapping and Hydrospatial Applications)
Show Figures

Figure 1

30 pages, 27251 KB  
Article
A Semi-Analytical–Empirical Hybrid Model for Shallow Water Bathymetry Using Multispectral Imagery Without In Situ Data
by Chunlong He, Sen Zhang, Qigang Jiang, Xin Gao and Zhenchao Zhang
Remote Sens. 2025, 17(23), 3879; https://doi.org/10.3390/rs17233879 - 29 Nov 2025
Viewed by 408
Abstract
Water depth in shallow marine environments is a fundamental parameter for oceanographic research and coastal engineering applications. High-resolution satellite imagery and long-term medium-resolution imagery offer significant potential for detailed bathymetric mapping and monitoring spatiotemporal variations in bathymetry. However, most of these images contain [...] Read more.
Water depth in shallow marine environments is a fundamental parameter for oceanographic research and coastal engineering applications. High-resolution satellite imagery and long-term medium-resolution imagery offer significant potential for detailed bathymetric mapping and monitoring spatiotemporal variations in bathymetry. However, most of these images contain only three visible bands (blue, green, and red), making bathymetric mapping from such images challenging in practical applications. For the empirical approach, high-quality in situ depth calibration data, which are essential for establishing a reliable empirical bathymetric model, are either unavailable or excessively expensive. For the physics-based approach, images containing only three visible bands can be problematic in accurately deriving depths. To address this limitation, this study proposes a novel semi-analytical-empirical hybrid model for water depth retrieval. The core of the proposed method is the integration of a semi-analytical model with a physics-based dual-band model. This integration quantifies the relative depth relationships among pixels and uses them as a physical constraint. Through this constraint, the method identifies physically reliable depth estimates from the multiple numerical solutions of the semi-analytical model for a subset of shallow-water pixels, which then serve as an in situ–free calibration dataset. This dataset is subsequently used to determine the empirically based optimal retrieval model, which is finally applied to generate the complete bathymetric map. The results from four typical coral reef regions—Buck Island, Yongxing Island, Kaneohe Bay, and Yongle Atoll—demonstrated that the proposed model achieved root-mean-square errors (RMSE) of 0.98–1.62 m, mean absolute errors (MAE) of 0.73–1.13 m, and coefficients of determination (R2) of 0.91–0.95 in comparison to in situ measurements. Compared to both the physics-based dual-band model and the L-S model (i.e., the bathymetry mapping approach combining Log-ratio and Semi-analytical models), the proposed model reduced the RMSE by 9–55%, reduced the MAE by 4–56%, and improved the R2 by 0.01–0.29. Additionally, the accuracy of the proposed model surpasses that of both the physics-based dual-band model and the L-S model across all depth intervals, particularly in deeper depth waters (>15 m). This study offers a robust solution for bathymetric mapping in areas lacking in situ depth data and contributes significantly to advancing optical remote sensing techniques for underwater topography detection. Full article
Show Figures

Figure 1

44 pages, 10199 KB  
Article
Predictive Benthic Habitat Mapping Reveals Significant Loss of Zostera marina in the Puck Lagoon, Baltic Sea, over Six Decades
by Łukasz Janowski, Anna Barańska, Krzysztof Załęski, Maria Kubacka, Monika Michałek, Anna Tarała, Michał Niemkiewicz and Juliusz Gajewski
Remote Sens. 2025, 17(22), 3725; https://doi.org/10.3390/rs17223725 - 15 Nov 2025
Viewed by 574
Abstract
This research presents a comprehensive analysis of the spatial extent and temporal change in benthic habitats within the Puck Lagoon in the southern Baltic Sea, utilizing integrated machine learning classification and multi-sourced remote sensing. Object-based image analysis was integrated with Random Forest, Support [...] Read more.
This research presents a comprehensive analysis of the spatial extent and temporal change in benthic habitats within the Puck Lagoon in the southern Baltic Sea, utilizing integrated machine learning classification and multi-sourced remote sensing. Object-based image analysis was integrated with Random Forest, Support Vector Machine, and K-Nearest Neighbors algorithms for benthic habitat classification based on airborne bathymetric LiDAR (ALB), multibeam echosounder (MBES), satellite bathymetry, and high-resolution aerial photography. Ground-truth data collected by 2023 field surveys were supplemented with long temporal datasets (2010–2023) for seagrass meadow analysis. Boruta feature selection showed that geomorphometric variables (aspect, slope, and terrain ruggedness index) and optical features (ALB intensity and spectral bands) were the most significant discriminators in each classification case. Binary classification models were more effective (93.3% accuracy in the presence/absence of Zostera marina) compared to advanced multi-class models (43.3% for EUNIS Level 4/5), which identified the inherent equilibrium between ecological complexity and map validity. Change detection between contemporary and 1957 habitat data revealed extensive Zostera marina loss, with 84.1–99.0% cover reduction across modeling frameworks. Seagrass coverage declined from 61.15% of the study area to just 9.70% or 0.63%, depending on the model. Seasonal mismatch may inflate loss estimates by 5–15%, but even adjusted values (70–94%) indicate severe ecosystem degradation. Spatial exchange components exhibited patterns of habitat change, whereas net losses in total were many orders of magnitude larger than any redistribution in space. These findings recorded the most severe seagrass habitat destruction ever described within Baltic Sea ecosystems and emphasize the imperative for conservation action at the landscape level. The methodology framework provides a reproducible model for analogous change detection analysis in shallow nearshore habitats, creating critical baselines to inform restoration planning and biodiversity conservation activities. It also demonstrated both the capabilities and limitations of automatic techniques for habitat monitoring. Full article
Show Figures

Figure 1

25 pages, 11372 KB  
Article
OptiFusionStack: A Physio-Spatial Stacking Framework for Shallow Water Bathymetry Integrating QAA-Derived Priors and Neighborhood Context
by Wei Shen, Jinzhuang Liu, Xiaojuan Li, Dongqing Zhao, Zhongqiang Wu and Yibin Xu
Remote Sens. 2025, 17(22), 3712; https://doi.org/10.3390/rs17223712 - 14 Nov 2025
Viewed by 381
Abstract
Conventional pixel-wise satellite-derived bathymetry (SDB) models face dual challenges: physical ambiguity from variable water quality and spatial incoherence from ignoring geographic context. This study addresses these limitations by proposing and validating OptiFusionStack, a novel two-stage physio-spatial synergistic framework that operates without in situ [...] Read more.
Conventional pixel-wise satellite-derived bathymetry (SDB) models face dual challenges: physical ambiguity from variable water quality and spatial incoherence from ignoring geographic context. This study addresses these limitations by proposing and validating OptiFusionStack, a novel two-stage physio-spatial synergistic framework that operates without in situ optical data for model calibration. The framework first generates diverse, physics-informed predictions by integrating Quasi-Analytical Algorithm (QAA)-derived inherent optical properties (IOPs) with multiple base learners. Critically, it then constructs a multi-scale spatial context by computing neighborhood statistics over an experimentally optimized 9 × 9-pixel window. These physical priors and spatial features are then effectively fused by a StackingMLP meta-learner. Validation in optically diverse environments demonstrates that OptiFusionStack significantly surpasses the performance plateau of pixel-wise methods, elevating inversion accuracy (e.g., R2 elevated from 0.66 to >0.92 in optically complex inland waters). More importantly, the framework substantially reduces spatial artifacts, producing bathymetric maps with superior spatial coherence. A rigorous benchmark against several state-of-the-art, end-to-end deep learning models further confirms the superior performance of our proposed hierarchical fusion architecture in terms of accuracy. This research offers a robust and generalizable new approach for high-fidelity geospatial modeling, particularly under the common real-world constraint of having no in situ data for optical model calibration. Full article
Show Figures

Figure 1

23 pages, 12580 KB  
Article
Shallow Sea Bathymetric Inversion of Active–Passive Satellite Remote Sensing Data Based on Virtual Control Point Inverse Distance Weighting
by Zhipeng Dong, Junlin Tao, Yanxiong Liu, Yikai Feng, Yilan Chen and Yanli Wang
Remote Sens. 2025, 17(21), 3621; https://doi.org/10.3390/rs17213621 - 31 Oct 2025
Viewed by 537
Abstract
Satellite-derived bathymetry (SDB) using Ice, Cloud, and Land Elevation satellite-2 (ICESat-2) LiDAR data and remote sensing images faces challenges in the difficulty of uniform coverage of the inversion area by the bathymetric control points due to the linear sampling pattern of ICESat-2. This [...] Read more.
Satellite-derived bathymetry (SDB) using Ice, Cloud, and Land Elevation satellite-2 (ICESat-2) LiDAR data and remote sensing images faces challenges in the difficulty of uniform coverage of the inversion area by the bathymetric control points due to the linear sampling pattern of ICESat-2. This study proposes a novel virtual control point optimization framework integrating inverse distance weighting (IDW) and spectral confidence analysis (SCA). The methodology first generates baseline bathymetry through semi-empirical band ratio modeling (control group), then extracts virtual control points via SCA. An optimization scheme based on spectral confidence levels is applied to the control group, where high-confidence pixels utilized a residual correction-based strategy, while low-confidence pixels employed IDW interpolation based on a virtual control point. Finally, the preceding optimization scheme uses weighting-based fusion with the control group to generate the final bathymetry map, which is also called the optimized group. Accuracy assessments over the three research areas revealed a significant increase in accuracy from the control group to the optimized group. When compared with in situ data, the determination coefficient (R2), RMSE, MRE, and MAE in the optimized group are better than 0.83, 1.48 m, 12.36%, and 1.22 m, respectively, and all these indicators are better than those in the control group. The key innovation lies in overcoming ICESat-2’s spatial sampling limitation through spectral confidence stratification, which uses SCA to generate virtual control points and IDW to adjust low-confidence pixel values. It is also suggested that when applying ICESat-2 satellite data in active–passive-fused SDB, the distribution of training data in the research zone should be adequately considered. Full article
Show Figures

Figure 1

21 pages, 18006 KB  
Article
Shallow Bathymetry from Hyperspectral Imagery Using 1D-CNN: An Innovative Methodology for High Resolution Mapping
by Steven Martínez Vargas, Sibila A. Genchi, Alejandro J. Vitale and Claudio A. Delrieux
Remote Sens. 2025, 17(21), 3584; https://doi.org/10.3390/rs17213584 - 30 Oct 2025
Viewed by 689
Abstract
The combined application of machine or deep learning algorithms and hyperspectral imagery for bathymetry estimation is currently an emerging field with widespread uses and applications. This research topic still requires further investigation to achieve methodological robustness and accuracy. In this study, we introduce [...] Read more.
The combined application of machine or deep learning algorithms and hyperspectral imagery for bathymetry estimation is currently an emerging field with widespread uses and applications. This research topic still requires further investigation to achieve methodological robustness and accuracy. In this study, we introduce a novel methodology for shallow bathymetric mapping using a one-dimensional convolutional neural network (1D-CNN) applied to PRISMA hyperspectral images, including refinements to enhance mapping accuracy, together with the optimization of computational efficiency. Four different 1D-CNN models were developed, incorporating pansharpening and spectral band optimization. Model performance was rigorously evaluated against reference bathymetric data obtained from official nautical charts provided by the Servicio de Hidrografía Naval (Argentina). The BoPsCNN model achieved the best testing accuracy with a coefficient of determination of 0.96 and a root mean square error of 0.65 m for a depth range of 0–15 m. The implementation of band optimization significantly reduced computational overhead, yielding a time-saving efficiency of 31–38%. The resulting bathymetric maps exhibited a coherent depth gradient from nearshore to offshore zones, with enhanced seabed morphology representation, particularly in models using pansharpened data. Full article
Show Figures

Figure 1

19 pages, 6914 KB  
Article
Machine Learning-Constrained Semi-Analysis Model for Efficient Bathymetric Mapping in Data-Scarce Coastal Waters
by Qifei Wang, Xianliang Zhang, Zhongqiang Wu, Chang Han, Longwei Zhang, Pinyan Xu, Zhihua Mao, Yueming Wang and Changxing Zhang
Remote Sens. 2025, 17(18), 3179; https://doi.org/10.3390/rs17183179 - 13 Sep 2025
Cited by 1 | Viewed by 883
Abstract
Nearshore bathymetry is critical for coastal management and ecology. While airborne hyperspectral remote sensing provides high-resolution image data, obtaining rapid and accurate bathymetric inversion in coastal areas lacking in situ data remains challenging. The widely used Hyperspectral Optimization Process Exemplar (HOPE) achieves high [...] Read more.
Nearshore bathymetry is critical for coastal management and ecology. While airborne hyperspectral remote sensing provides high-resolution image data, obtaining rapid and accurate bathymetric inversion in coastal areas lacking in situ data remains challenging. The widely used Hyperspectral Optimization Process Exemplar (HOPE) achieves high accuracy but suffers from computational inefficiency, making it impractical for large-scale, high-resolution datasets. By contrast, HOPE-Pure Water (HOPE-PW) offers computational efficiency but exhibits limitations in capturing fine-scale spatial patterns of bottom reflectance (ρ), and its applicability in transitional waters between Case I and II types requires further validation. Against this background, we employed machine learning-based substrate classification (support vector machine, random forest, maximum likelihood) in Wenchang coastal waters, China, to constrain ρ estimation in HOPE-PW, with validation using ICESat-2 data that extends its conventional application scenarios. Results demonstrate that when constrained by the optimal classifier (random forest), HOPE-PW achieves comparable accuracy to HOPE in shallow water while reducing runtime by 56% and memory usage by 68%. However, HOPE-PW exhibits slight underestimation in deeper areas, likely because simplification reduces sensitivity to water optical properties. Future research will focus on this issue. This study proposes an efficient and reliable framework for monitoring and evaluating water depth in areas lacking in situ data, offering a practical solution for integrated coastal zone management. Full article
(This article belongs to the Special Issue Remote Sensing of Coastal, Wetland, and Intertidal Zones)
Show Figures

Figure 1

22 pages, 6748 KB  
Article
Spatial Analysis of Bathymetric Data from UAV Photogrammetry and ALS LiDAR: Shallow-Water Depth Estimation and Shoreline Extraction
by Oktawia Specht
Remote Sens. 2025, 17(17), 3115; https://doi.org/10.3390/rs17173115 - 7 Sep 2025
Cited by 2 | Viewed by 1669
Abstract
The shoreline and seabed topography are key components of the coastal zone and are essential for hydrographic surveys, shoreline process modelling, and coastal infrastructure management. The development of unmanned aerial vehicles (UAVs) and optoelectronic sensors, such as photogrammetric cameras and airborne laser scanning [...] Read more.
The shoreline and seabed topography are key components of the coastal zone and are essential for hydrographic surveys, shoreline process modelling, and coastal infrastructure management. The development of unmanned aerial vehicles (UAVs) and optoelectronic sensors, such as photogrammetric cameras and airborne laser scanning (ALS) using light detection and ranging (LiDAR) technology, has enabled the acquisition of high-resolution bathymetric data with greater accuracy and efficiency than traditional methods using echo sounders on manned vessels. This article presents a spatial analysis of bathymetric data obtained from UAV photogrammetry and ALS LiDAR, focusing on shallow-water depth estimation and shoreline extraction. The study area is Lake Kłodno, an inland waterbody with moderate ecological status. Aerial imagery from the photogrammetric camera was used to model the lake bottom in shallow areas, while the LiDAR point cloud acquired through ALS was used to determine the shoreline. Spatial analysis of support vector regression (SVR)-based bathymetric data showed effective depth estimation down to 1 m, with a reported standard deviation of 0.11 m and accuracy of 0.22 m at the 95% confidence, as reported in previous studies. However, only 44.5% of 1 × 1 m grid cells met the minimum point density threshold recommended by the National Oceanic and Atmospheric Administration (NOAA) (≥5 pts/m2), while 43.7% contained no data. In contrast, ALS LiDAR provided higher and more consistent shoreline coverage, with an average density of 63.26 pts/m2, despite 27.6% of grid cells being empty. The modified shoreline extraction method applied to the ALS data achieved a mean positional accuracy of 1.24 m and 3.36 m at the 95% confidence level. The results show that UAV photogrammetry and ALS laser scanning possess distinct yet complementary strengths, making their combined use beneficial for producing more accurate and reliable maps of shallow waters and shorelines. Full article
Show Figures

Figure 1

20 pages, 4665 KB  
Article
Robust Bathymetric Mapping in Shallow Waters: A Digital Surface Model-Integrated Machine Learning Approach Using UAV-Based Multispectral Imagery
by Mandi Zhou, Ai Chin Lee, Ali Eimran Alip, Huong Trinh Dieu, Yi Lin Leong and Seng Keat Ooi
Remote Sens. 2025, 17(17), 3066; https://doi.org/10.3390/rs17173066 - 3 Sep 2025
Cited by 1 | Viewed by 1842
Abstract
The accurate monitoring of short-term bathymetric changes in shallow waters is essential for effective coastal management and planning. Machine Learning (ML) applied to Unmanned Aerial Vehicle (UAV)-based multispectral imagery offers a rapid and cost-effective solution for bathymetric surveys. However, models based solely on [...] Read more.
The accurate monitoring of short-term bathymetric changes in shallow waters is essential for effective coastal management and planning. Machine Learning (ML) applied to Unmanned Aerial Vehicle (UAV)-based multispectral imagery offers a rapid and cost-effective solution for bathymetric surveys. However, models based solely on multispectral imagery are inherently limited by confounding factors such as shadow effects, poor water quality, and complex seafloor textures, which obscure the spectral–depth relationship, particularly in heterogeneous coastal environments. To address these issues, we developed a hybrid bathymetric inversion model that integrates digital surface model (DSM) data—providing high-resolution topographic information—with ML applied to UAV-based multispectral imagery. The model training was supported by multibeam sonar measurements collected from an Unmanned Surface Vehicle (USV), ensuring high accuracy and adaptability to diverse underwater terrains. The study area, located around Lazarus Island, Singapore, encompasses a sandy beach slope transitioning into seagrass meadows, coral reef communities, and a fine-sediment seabed. Incorporating DSM-derived topographic information substantially improved prediction accuracy and correlation, particularly in complex environments. Compared with linear and bio-optical models, the proposed approach achieved accuracy improvements exceeding 20% in shallow-water regions, with performance reaching an R2 > 0.93. The results highlighted the effectiveness of DSM integration in disentangling spectral ambiguities caused by environmental variability and improving bathymetric prediction accuracy. By combining UAV-based remote sensing with the ML model, this study presents a scalable and high-precision approach for bathymetric mapping in complex shallow-water environments, thereby enhancing the reliability of UAV-based surveys and supporting the broader application of ML in coastal monitoring and management. Full article
Show Figures

Figure 1

21 pages, 6845 KB  
Article
The Impact of Climate Change on the State of Moraine Lakes in Northern Tian Shan: Case Study on Four Moraine Lakes
by Nurmakhambet Sydyk, Gulnara Iskaliyeva, Madina Sagat, Aibek Merekeyev, Larissa Balakay, Azamat Kaldybayev, Zhaksybek Baygurin and Bauyrzhan Abishev
Water 2025, 17(17), 2533; https://doi.org/10.3390/w17172533 - 26 Aug 2025
Cited by 1 | Viewed by 1808
Abstract
Glacial-lake outburst floods (GLOFs) threaten more than three million residents of south-east Kazakhstan, yet quantitative data on lake growth and storage are scarce. We inventoried 154 lakes on the northern flank of the Ile-Alatau and selected four moraine-dammed basins with the greatest historical [...] Read more.
Glacial-lake outburst floods (GLOFs) threaten more than three million residents of south-east Kazakhstan, yet quantitative data on lake growth and storage are scarce. We inventoried 154 lakes on the northern flank of the Ile-Alatau and selected four moraine-dammed basins with the greatest historical flood activity for detailed study. Annual lake outlines (2016–2023) were extracted from 3 m PlanetScope imagery with a Normalised Difference Water Index workflow, while late-ablation echo-sounder surveys (2023–2024) yielded sub-metre bathymetric grids. A regionally calibrated area–volume power law translated each shoreline to water storage, and field volumes served as an independent accuracy check. The lakes display divergent trajectories. Rapid thermokarst development led to a 37% increase in the surface area of Lake 13bis, expanding from 0.039 km2 to 0.054 km2 over a 5-year period. In contrast, engineering-induced drawdown resulted in a 44% reduction in the area of Lake 6, from 0.019 km2 to 0.011 km2. Lakes 5 and 2, which are supplied by actively retreating glaciers, exhibited surface area increases of 4.8% and 15%, expanding from 0.077 km2 to 0.088 km2 and from 0.061 km2 to 0.070 km2, respectively. The empirical model reproduces field volumes to within ±25% for four lakes, confirming its utility for rapid hazard screening, but overestimates storage in low-relief basins and underestimates artificially drained lakes. This is the first study in Ile-Alatau to fuse daily 3 m multispectral imagery with ground-truth bathymetry, delivering an 8-year, volume-resolved record of lake evolution. The results identify Lake 5 and Lake 2 as priority targets for early-warning systems and demonstrate that sustained intervention can effectively suppress GLOF risk. Incorporating these storage trajectories into regional disaster plans will sharpen evacuation mapping, optimise resource allocation, and inform transboundary water-hazard policy under accelerating climate change. Full article
(This article belongs to the Section Water and Climate Change)
Show Figures

Figure 1

18 pages, 4329 KB  
Article
Semi-Automated Mapping of Pockmarks from MBES Data Using Geomorphometry and Machine Learning-Driven Optimization
by Vasileios Giannakopoulos, Peter Feldens and Elias Fakiris
Remote Sens. 2025, 17(16), 2917; https://doi.org/10.3390/rs17162917 - 21 Aug 2025
Viewed by 1262
Abstract
Accurate mapping of seafloor morphological features, such as pockmarks, is essential for marine spatial planning, geological hazard assessment, and environmental monitoring. Traditional manual delineation methods are often subjective and inefficient when applied to large, high-resolution bathymetric datasets. This study presents a semi-automated workflow [...] Read more.
Accurate mapping of seafloor morphological features, such as pockmarks, is essential for marine spatial planning, geological hazard assessment, and environmental monitoring. Traditional manual delineation methods are often subjective and inefficient when applied to large, high-resolution bathymetric datasets. This study presents a semi-automated workflow based on the CoMMa (Confined Morphologies Mapping) toolbox to classify pockmarks in Flensburg Fjord, Germany–Denmark. Initial detection employed the Bathymetric Position Index (BPI) with intentionally permissive parameters to ensure high recall of morphologically diverse features. Morphometric descriptors were then extracted and used to train a Random Forest classifier, enabling noise reduction and refinement of overinclusive delineations. Validation against expert-derived mappings showed that the model achieved an overall classification accuracy of 86.16%, demonstrating strong performance across the validation area. These findings highlight how integrating a GIS-based geomorphometry toolbox with machine learning yields a reproducible, objective, and scalable approach to seabed mapping, supporting decision-making processes and advancing standardized methodologies in marine geomorphology. Full article
(This article belongs to the Special Issue Underwater Remote Sensing: Status, New Challenges and Opportunities)
Show Figures

Figure 1

22 pages, 9182 KB  
Article
Sensor Synergy in Bathymetric Mapping: Integrating Optical, LiDAR, and Echosounder Data Using Machine Learning
by Emre Gülher and Ugur Alganci
Remote Sens. 2025, 17(16), 2912; https://doi.org/10.3390/rs17162912 - 21 Aug 2025
Viewed by 1432
Abstract
Bathymetry, the measurement of water depth and underwater terrain, is vital for scientific, commercial, and environmental applications. Traditional methods like shipborne echosounders are costly and inefficient in shallow waters due to limited spatial coverage and accessibility. Emerging technologies such as satellite imagery, drones, [...] Read more.
Bathymetry, the measurement of water depth and underwater terrain, is vital for scientific, commercial, and environmental applications. Traditional methods like shipborne echosounders are costly and inefficient in shallow waters due to limited spatial coverage and accessibility. Emerging technologies such as satellite imagery, drones, and spaceborne LiDAR offer cost-effective and efficient alternatives. This research explores integrating multi-sensor datasets to enhance bathymetric mapping in coastal and inland waters by leveraging each sensor’s strengths. The goal is to improve spatial coverage, resolution, and accuracy over traditional methods using data fusion and machine learning. Gülbahçe Bay in İzmir, Turkey, serves as the study area. Bathymetric modeling uses Sentinel-2, Göktürk-1, and aerial imagery with varying resolutions and sensor characteristics. Model calibration evaluates independent and integrated use of single-beam echosounder (SBE) and satellite-based LiDAR (ICESat-2) during training. After preprocessing, Random Forest and Extreme Gradient Boosting algorithms are applied for bathymetric inference. Results are assessed using accuracy metrics and IHO CATZOC standards, achieving A1 level for 0–10 m, A2/B for 0–15 m, and C level for 0–20 m depth intervals. Full article
(This article belongs to the Section Environmental Remote Sensing)
Show Figures

Figure 1

25 pages, 2682 KB  
Article
A Semi-Automated, Hybrid GIS-AI Approach to Seabed Boulder Detection Using High Resolution Multibeam Echosounder
by Eoin Downing, Luke O’Reilly, Jan Majcher, Evan O’Mahony and Jared Peters
Remote Sens. 2025, 17(15), 2711; https://doi.org/10.3390/rs17152711 - 5 Aug 2025
Viewed by 2174
Abstract
The detection of seabed boulders is a critical step in mitigating geological hazards during the planning and construction of offshore wind energy infrastructure, as well as in supporting benthic ecological and palaeoglaciological studies. Traditionally, side-scan sonar (SSS) has been favoured for such detection, [...] Read more.
The detection of seabed boulders is a critical step in mitigating geological hazards during the planning and construction of offshore wind energy infrastructure, as well as in supporting benthic ecological and palaeoglaciological studies. Traditionally, side-scan sonar (SSS) has been favoured for such detection, but the growing availability of high-resolution multibeam echosounder (MBES) data offers a cost-effective alternative. This study presents a semi-automated, hybrid GIS-AI approach that combines bathymetric position index filtering and a Random Forest classifier to detect boulders and delineate boulder fields from MBES data. The method was tested on a 0.24 km2 site in Long Island Sound using 0.5 m resolution data, achieving 83% recall, 73% precision, and an F1-score of 77—slightly outperforming the average of expert manual picks while offering a substantial improvement in time-efficiency. The workflow was validated against a consensus-based master dataset and applied across a 79 km2 study area, identifying over 75,000 contacts and delineating 89 contact clusters. The method enables objective, reproducible, and scalable boulder detection using only MBES data. Its ability to reduce reliance on SSS surveys while maintaining high accuracy and offering workflow customization makes it valuable for geohazard assessment, benthic habitat mapping, and offshore infrastructure planning. Full article
(This article belongs to the Section Ocean Remote Sensing)
Show Figures

Graphical abstract

25 pages, 12443 KB  
Article
Exploring Continental and Submerged Paleolandscapes at the Pre-Neolithic Site of Ouriakos, Lemnos Island, Northeastern Aegean, Greece
by Myrsini Gkouma, Panagiotis Karkanas, Olga Koukousioura, George Syrides, Areti Chalkioti, Evangelos Tsakalos, Maria Ntinou and Nikos Efstratiou
Quaternary 2025, 8(3), 42; https://doi.org/10.3390/quat8030042 - 1 Aug 2025
Viewed by 1266
Abstract
Recent archaeological discoveries across the Aegean, Cyprus, and western Anatolia have renewed interest in pre-Neolithic seafaring and early island colonization. However, the environmental contexts that support such early coastal occupations remain poorly understood, largely due to the submergence of Pleistocene shorelines following post-glacial [...] Read more.
Recent archaeological discoveries across the Aegean, Cyprus, and western Anatolia have renewed interest in pre-Neolithic seafaring and early island colonization. However, the environmental contexts that support such early coastal occupations remain poorly understood, largely due to the submergence of Pleistocene shorelines following post-glacial sea-level rise. This study addresses this gap through an integrated geoarchaeological investigation of the pre-Neolithic site of Ouriakos on Lemnos Island, northeastern Aegean (Greece), dated to the mid-11th millennium BCE. By reconstructing both the terrestrial and submerged paleolandscapes of the site, we examine ecological conditions, resource availability, and sedimentary processes that shaped human activity and site preservation. Employing a multiscale methodological approach—combining bathymetric survey, geomorphological mapping, soil micromorphology, geochemical analysis, and Optically Stimulated Luminescence (OSL) dating—we present a comprehensive framework for identifying and interpreting early coastal settlements. Stratigraphic evidence reveals phases of fluvial, aeolian, and colluvial deposition associated with an alternating coastline. The core findings reveal that Ouriakos was established during a phase of environmental stability marked by paleosol development, indicating sustained human presence. By bridging terrestrial and marine data, this research contributes significantly to the understanding of human coastal mobility during the Pleistocene–Holocene transition. Full article
Show Figures

Figure 1

22 pages, 6820 KB  
Article
Bathymetric Profile and Sediment Composition of a Dynamic Subtidal Bedform Habitat for Pacific Sand Lance
by Matthew R. Baker, H. G. Greene, John Aschoff, Michelle Hoge, Elisa Aitoro, Shaila Childers, Junzhe Liu and Jan A. Newton
J. Mar. Sci. Eng. 2025, 13(8), 1469; https://doi.org/10.3390/jmse13081469 - 31 Jul 2025
Cited by 1 | Viewed by 1142
Abstract
The eastern North Pacific Ocean coastline (from the Salish Sea to the western Aleutian Islands) is highly glaciated with relic sediment deposits scattered throughout a highly contoured and variable bathymetry. Oceanographic conditions feature strong currents and tidal exchange. Sand wave fields are prominent [...] Read more.
The eastern North Pacific Ocean coastline (from the Salish Sea to the western Aleutian Islands) is highly glaciated with relic sediment deposits scattered throughout a highly contoured and variable bathymetry. Oceanographic conditions feature strong currents and tidal exchange. Sand wave fields are prominent features within these glaciated shorelines and provide critical habitat to sand lance (Ammodytes spp.). Despite an awareness of the importance of these benthic habitats, attributes related to their structure and characteristics remain undocumented. We explored the micro-bathymetric morphology of a subtidal sand wave field known to be a consistent habitat for sand lance. We calculated geomorphic attributes of the bedform habitat, analyzed sediment composition, and measured oceanographic properties of the associated water column. This feature has a streamlined teardrop form, tapered in the direction of the predominant tidal current. Consistent flow paths along the long axis contribute to well-defined and maintained bedform morphology and margin. Distinct patterns in amplitude and period of sand waves were documented. Strong tidal exchange has resulted in well-sorted medium-to-coarse-grained sediments with coarser sediments, including gravel and cobble, within wave troughs. Extensive mixing related to tidal currents results in a highly oxygenated water column, even to depths of 80 m. Our analysis provides unique insights into the physical characteristics that define high-quality habitat for these fish. Further work is needed to identify, enumerate, and map the presence and relative quality of these benthic habitats and to characterize the oceanographic properties that maintain these benthic habitats over time. Full article
(This article belongs to the Special Issue Dynamics of Marine Sedimentary Basin)
Show Figures

Figure 1

Back to TopTop