Multisource Mapping of Lagoon Bathymetry for Hydrodynamic Models and Decision-Support Spatial Tools: The Case of the Gambier Islands in French Polynesia
Abstract
1. Introduction
2. Materials and Methods
2.1. Study Site
2.2. The Different Scales of Lagoon Rugosity: Implications in Bathymetric Product Designs and Their Accuracy Assessments
- (1)
- 10 cm to 1 m scale resolution rugosity (Figure 2A), due to small abiotic and biotic construction features such as coral and algal canopy, growth sizes and forms. This is often the scale used by biologists when studying in the field biological communities, but it is not relevant here. None of our geospatial data sets used afterwards are able to capture this very fine level of rugosity, but single depth sounding data points are affected at that scale. Therefore, for a bathymetry grid at 1 m spatial resolution, a range of uncertainty of the order of 1 m when comparing with a sounding data point can be expected.
- (2)
- 1–10 m scale resolution rugosity (Figure 2B). This scale of rugosity can be captured by various types of observation means, including multibeam data, very high spatial resolution satellite imagery, or very dense sounding points. Rugosity is created by various sedimentological and construction/erosion soft and hard-bottom features such as large coral colonies, coral growth reticulations, sand and rubble deposits, and narrow geomorphological features such drop-offs, crests, channels, etc. At that spatial scale, depth variation and uncertainty can be of the same order (1 to 10 m); therefore, for a grid at 10 m spatial resolution, a maximum uncertainty of up to 10 m when comparing with sounding data points can be expected.
- (3)
- Finally, a 100 m scale rugosity (Figure 2C) is due to variation in the depth of large geomorphological features, such as enclosed sub-basins and lagoons within reef flats, large patch reefs systems, submerged reef flats, slopes, etc. At that spatial scale, depth variations within a bathymetric grid can be of the order of 10 to 50 m, with extremes found along walls, drop-offs, edges of deep channels, etc.
2.3. SHOM Bathymetry Data
2.4. Multibeam Bathymetry Data
2.5. SDB Data
2.6. Bathymetric Map and Statistics at 100 M Spatial Resolution
2.7. Accuracy Assessment of the SDB Product
2.8. Accuracy Assessment of the 100 M Bathymetric Grid
2.9. Flow Chart
3. Results
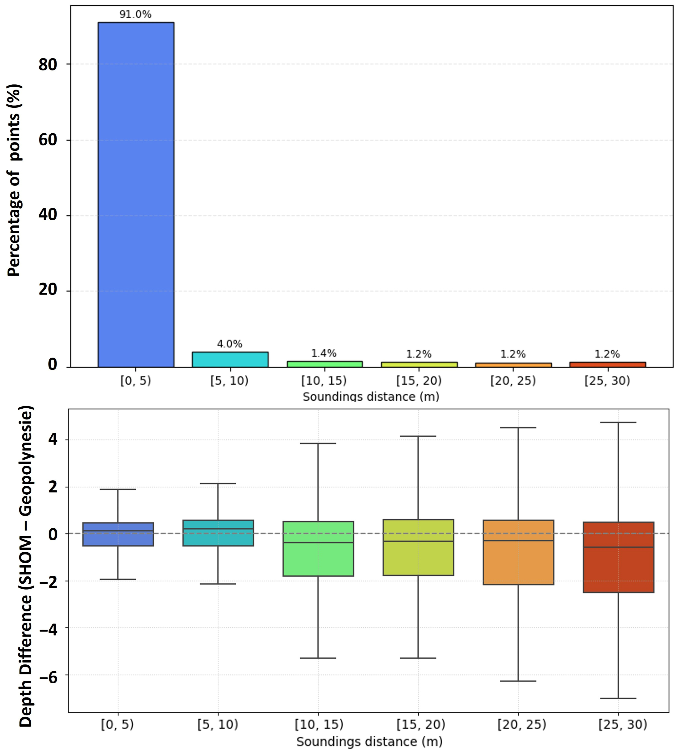
3.1. Comparison of SHOM and Multibeam Bathymetry Data
3.2. SDB Results
3.3. Comparison of SDB Outputs for the Overlapping Area of the Two Sentinel Images
3.4. Accuracy Computed Using Geopolynesie Data Subset
3.5. Final Product at 100 M Spatial Resolution
4. Discussion
5. Conclusions
Author Contributions
Funding
Data Availability Statement
Acknowledgments
Conflicts of Interest
Abbreviations
| DRM | Direction des Resources Marines |
| IMBR | Iterative Multiple Band Ratio |
| IFREMER | Institut Français de Recherche pour l’Exploitation de la Mer |
| KSLOF | Khaled Bin Sultan Living Oceans Foundation |
| LIDAR | Laser Imaging Detection and Ranging |
| MSP | Marine Spatial Planning |
| SDB | Satellite-Derived Bathymetry |
| SHOM | Service Hydrographique et Océanographique de la Marine |
| SPOT | Satellite Pour l’Observation de la Terre |
References
- Abe, H.; Yamano, H. Simulated Connectivity of Crown-of-Thorns Starfish around Ashizuri-Uwakai National Park (Western Japan) Based on a High-Resolution Hydrodynamic Modeling. Coral Reefs 2024, 43, 371–390. [Google Scholar] [CrossRef]
- Raapoto, H.; Monaco, C.J.; Van Wynsberge, S.; Le Gendre, R.; Le Luyer, J. Assessing Regional Connectivity Patterns of Bivalvia in Fragmented Archipelagos: Insights from Biophysical Modeling in French Polynesia. Ecol. Model. 2024, 489, 110626. [Google Scholar] [CrossRef]
- Andréfouët, S.; Le Gendre, R.; Thomas, Y.; Lo-Yat, A.; Reisser, C.M.O. Understanding Connectivity of Pearl Oyster Populations within Tuamotu Atoll Semi-Closed Lagoons: Cumulative Insight from Genetics and Bio-physical Modelling Approaches. Mar. Pollut. Bull. 2021, 167, 112324. [Google Scholar] [CrossRef] [PubMed]
- Andréfouët, S.; Adjeroud, M. French Polynesia. In World Seas: An Environmental Evaluation; Elsevier: Amsterdam, The Netherlands, 2019; pp. 827–854. ISBN 978-0-08-100853-9. [Google Scholar]
- Andréfouët, S.; Chagnaud, N.; Chauvin, C.; Kranenburg, C. Atlas des Récifs Coralliens de France Outre-Mer; Centre IRD de Nouméa: Nouméa, New Caledonia, 2008; 153p.
- Andréfouët, S.; Genthon, P.; Pelletier, B.; Le Gendre, R.; Friot, C.; Smith, R.; Liao, V. The Lagoon Geomorphology of Pearl Farming Atolls in the Central Pacific Ocean Revisited Using Detailed Bathymetry Data. Mar. Pollut. Bull. 2020, 160, 111580. [Google Scholar] [CrossRef]
- Andréfouët, S.; Bruyère, O.; Paul, M.; Loubrieu, B.; Le Gendre, R.; Barazer, J.-F. Characterizing the Extent of the Oceanic 60–150 m Deep Mesophotic Zone in Tuamotu-Gambier Archipelago Atolls Using Multibeam Bathymetry and Geomorphology Data. Coral Reefs 2025, 44, 835–850. [Google Scholar] [CrossRef]
- Fourgassié, A. La Spatiocarte Marine, Une Solution pour la Cartographie des Atolls Polynésiens. In Proceedings of the Pix’Iles 90: International Workshop on Remote Sensing and Insular Environments in the Pacific: Integrated Approaches, Nouméa, New Caledonia, 19–24 November 1990; ORSTOM: Nouméa, New Caledonia, 1990; pp. 329–341. [Google Scholar]
- Morel, Y.; Favoretto, F. 4SM: A Novel Self-Calibrated Algebraic Ratio Method for Satellite-Derived Bathymetry and Water Column Correction. Sensors 2017, 17, 1682. [Google Scholar] [CrossRef]
- Purkis, S.J.; Gleason, A.C.R.; Purkis, C.R.; Dempsey, A.C.; Renaud, P.G.; Faisal, M.; Saul, S.; Kerr, J.M. High-Resolution Habitat and Bathymetry Maps for 65,000 Sq. Km of Earth’s Remotest Coral Reefs. Coral Reefs 2019, 38, 467–488. [Google Scholar] [CrossRef]
- Kutser, T.; Hedley, J.; Giardino, C.; Roelfsema, C.; Brando, V.E. Remote Sensing of Shallow Waters—A 50 Year Retrospective and Future Directions. Remote Sens. Environ. 2020, 240, 111619. [Google Scholar] [CrossRef]
- Amrari, S.; Bourassin, E.; Andréfouët, S.; Soulard, B.; Lemonnier, H.; Le Gendre, R. Shallow Water Bathymetry Retrieval Using a Band-Optimization Iterative Approach: Application to New Caledonia Coral Reef Lagoons Using Sentinel-2 Data. Remote Sens. 2021, 13, 4108. [Google Scholar] [CrossRef]
- Specht, O.; Stateczny, A. A novel method for coastal zone bathymetry based on multisensor data fusion and unmanned Systems. Sci. Rep. 2025, 15, 35637. [Google Scholar] [CrossRef]
- Andréfouët, S.; Lo-Yat, A.; Lefebvre, S.; Bionaz, O.; Liao, V. The MANA (MANagement of Atolls, 2017–2022) Project for Pearl Oyster Aquaculture Management in the Central Pacific Ocean Using Modelling Approaches: Overview of First Results. Mar. Pollut. Bull. 2022, 178, 113649. [Google Scholar] [CrossRef] [PubMed]
- Bruyère, O.; Chauveau, M.; Le Gendre, R.; Liao, V.; Andréfouët, S. Larval Dispersal of Pearl Oysters Pinctada margaritifera in the Gambier Islands (French Polynesia) and Exploring Options for Adult Restocking Using in Situ Data and Numerical Modelling. Mar. Pollut. Bull. 2023, 192, 115059. [Google Scholar] [CrossRef] [PubMed]
- Violette, C.; Le Gendre, R.; Chauveau, M.; Andréfouët, S. A Multivariate Approach to Synthetize Large Amount of Connectivity Matrices for Management Decisions: Application to Oyster Population Restocking in the Pearl Farming Context of Tuamotu Archipelago Semi-Closed Atolls. Mar. Pollut. Bull. 2023, 189, 114748. [Google Scholar] [CrossRef] [PubMed]
- Lefebvre, S.; Verpoorter, C.; Rodier, M.; Sangare, N.; Andréfouët, S. Remote Sensing Provides New Insights on Phytoplankton Biomass Dynamics and Black Pearl Oyster Life-History Traits in a Pacific Ocean Deep Atoll. Mar. Pollut. Bull. 2022, 181, 113863. [Google Scholar] [CrossRef]
- Van Wynsberge, S.; Quéré, R.; Andréfouët, S.; Autret, E.; Le Gendre, R. Spatial Variability of Temperature inside Atoll Lagoons Assessed with Landsat-8 Satellite Imagery. Remote Sens. Appl. Soc. Environ. 2024, 36, 101340. [Google Scholar] [CrossRef]
- André, L.V.; Van Wynsberge, S.; Chinain, M.; Gatti, C.M.I.; Liao, V.; Andréfouët, S. Spatial Solutions and Their Impacts When Reshuffling Coastal Management Priorities in Small Islands with Limited Diversification Opportunities. Sustainability 2022, 14, 3871. [Google Scholar] [CrossRef]
- André, L.V.; Chinain, M.; Gatti, C.M.i.; Liao, V.; Van Wynsberge, S.; Tedesco, P.; Andréfouët, S. A Systematic Prioritization Approach for Identifying Suitable Pearl Oyster Restocking Zones Following a Mass Mortality Event in Takaroa Atoll, French Polynesia. Mar. Pollut. Bull. 2022, 176, 113472. [Google Scholar] [CrossRef]
- Leon, J.X.; Phinn, S.R.; Hamylton, S.; Saunders, M.I. Filling the ‘White Ribbon’—A Multisource Seamless Digital Elevation Model for Lizard Island, Northern Great Barrier Reef. Int. J. Remote Sens. 2013, 34, 6337–6354. [Google Scholar] [CrossRef]
- Andréfouët, S.; Chenon, F.; Loubersac, L.; Varet, H.; Wibaux, B. Bathymetric modelling of an atoll lagoon, application to the three dimensionnal representation of an island and its lagoon. In Proceedings of the Pix’Iles 90: International Workshop on Remote Sensing and Insular Environments in the Pacific: Integrated Approaches, Nouméa, New Caledonia, 19–24 November 1990; ORSTOM: Nouméa, New Caledonia, 1990; pp. 329–341. [Google Scholar]
- Bionaz, O.; Le Gendre, R.; Liao, V.; Andréfouët, S. Natural Stocks of Pinctada margaritifera Pearl Oysters in Tuamotu and Gambier Lagoons: New Assessments, Temporal Evolutions, and Consequences for the French Polynesia Pearl Farming Industry. Mar. Pollut. Bull. 2022, 183, 114055. [Google Scholar] [CrossRef]
- Mesa-Mingorance, J.L.; Ariza-López, F.J. Accuracy Assessment of Digital Elevation Models (DEMs): A Critical Review of Practices of the Past Three Decades. Remote Sens. 2020, 12, 2630. [Google Scholar] [CrossRef]
- Stumpf, R.P.; Holderied, K.; Sinclair, M. Determination of Water Depth with High-Resolution Satellite Imagery over Variable Bottom Types. Limnol. Oceanogr. 2003, 48, 547–556. [Google Scholar] [CrossRef]
- Sikirić, M.D.; Janeković, I.; Kuzmić, M. A New Approach to Bathymetry Smoothing in Sigma-Coordinate Ocean Models. Ocean Model. 2009, 29, 128–136. [Google Scholar] [CrossRef]
- Berntsen, J.; Thiem, Ø.; Avlesen, H. Internal Pressure Gradient Errors in σ-Coordinate Ocean Models in High Resolution Fjord Studies. Ocean Model. 2015, 92, 42–55. [Google Scholar] [CrossRef]
- Kliem, N.; Pietrzak, J.D. On the Pressure Gradient Error in Sigma Coordinate Ocean Models: A Comparison with a Laboratory Experiment. J. Geophys. Res. 1999, 104, 29781–29799. [Google Scholar] [CrossRef]
- Theetten Thiebault, B.; Dumas, F.; Paul, J. BMGTools: A community tool to handle model grid and bathymetry. Mercat. Ocean-Q. Newsl. 2014, 49, 94–98. [Google Scholar]
- Rencher, A.C. Methods of Multivariate Analysis; Wiley: New York, NY, USA, 1995; 627p. [Google Scholar]
- Kerr, J.M.; Purkis, S. An Algorithm for Optically-Deriving Water Depth from Multispectral Imagery in Coral Reef Landscapes in the Absence of Ground-Truth Data. Remote Sens. Environ. 2018, 210, 307–324. [Google Scholar] [CrossRef]
- Zhang, X.; Al Shehhi, M.R. Bathymetry Estimation for Coastal Regions Using Self-Attention. Sci. Rep. 2025, 15, 970. [Google Scholar] [CrossRef]
- Collin, A.; Hench, J.L.; Pastol, Y.; Planes, S.; Thiault, L.; Schmitt, R.J.; Holbrook, S.J.; Davies, N.; Troyer, M. High Resolution Topobathymetry Using a Pleiades-1 Triplet: Moorea Island in 3D. Remote Sens. Environ. 2018, 208, 109–119. [Google Scholar] [CrossRef]
- Bruyère, O.; Le Gendre, R.; Liao, V.; Andréfouët, S. Lagoon Hydrodynamics of Pearl Farming Islands: The Case of Gambier (French Polynesia). Earth Syst. Sci. Data 2024, 16, 667–679. [Google Scholar] [CrossRef]
- Andréfouët, S.; Thomas, Y.; Dumas, F.; Lo, C. Revisiting Wild Stocks of Black Lip Oyster Pinctada margaritifera in the Tuamotu Archipelago: The Case of Ahe and Takaroa Atolls and Implications for the Cultured Pearl Industry. Estuar. Coast. Shelf Sci. 2016, 182, 243–253. [Google Scholar] [CrossRef]
- Andréfouët, S.; Thomas, Y.; Lo, C. Amount and Type of Derelict Gear from the Declining Black Pearl Oyster Aquaculture in Ahe Atoll Lagoon, French Polynesia. Mar. Pollut. Bull. 2014, 83, 224–230. [Google Scholar] [CrossRef]
- Crusot, M.; Gaertner, J.-C.; Rodriguez, T.; Lo, C.; Gaertner-Mazouni, N. Assessment of Plastic Waste Generated by the Aquaculture Industry: The Case Study of Pearl Farming in French Polynesia. J. Clean. Prod. 2023, 425, 138902. [Google Scholar] [CrossRef]
- Smallhorn-West, P.F.; Gordon, S.E.; Dempsey, A.C.; Purkis, S.J.; Malimali, S.; Halafihi, T.; Southgate, P.C.; Bridge, T.C.L.; Pressey, R.L.; Jones, G.P. Tongan Socio-Environmental Spatial Layers for Marine Ecosystem Management. Pac. Conserv. Biol. 2021, 27, 86–92. [Google Scholar] [CrossRef]











| Band Name | Central Wavelength (nm) | Spectral Bandwidth (nm) | Spatial Resolution (m) |
|---|---|---|---|
| Extra (shorter) Blue | 443.9 | 27 | 60 |
| Blue | 496.6 | 98 | 10 |
| Green | 560.0 | 45 | 10 |
| Red | 664.5 | 38 | 10 |
| Extra (longer) Red | 703.0 | 19 | 20 |
Disclaimer/Publisher’s Note: The statements, opinions and data contained in all publications are solely those of the individual author(s) and contributor(s) and not of MDPI and/or the editor(s). MDPI and/or the editor(s) disclaim responsibility for any injury to people or property resulting from any ideas, methods, instructions or products referred to in the content. |
© 2025 by the authors. Licensee MDPI, Basel, Switzerland. This article is an open access article distributed under the terms and conditions of the Creative Commons Attribution (CC BY) license (https://creativecommons.org/licenses/by/4.0/).
Share and Cite
Andréfouët, S.; Bruyère, O.; Trophime, T. Multisource Mapping of Lagoon Bathymetry for Hydrodynamic Models and Decision-Support Spatial Tools: The Case of the Gambier Islands in French Polynesia. Geomatics 2025, 5, 81. https://doi.org/10.3390/geomatics5040081
Andréfouët S, Bruyère O, Trophime T. Multisource Mapping of Lagoon Bathymetry for Hydrodynamic Models and Decision-Support Spatial Tools: The Case of the Gambier Islands in French Polynesia. Geomatics. 2025; 5(4):81. https://doi.org/10.3390/geomatics5040081
Chicago/Turabian StyleAndréfouët, Serge, Oriane Bruyère, and Thomas Trophime. 2025. "Multisource Mapping of Lagoon Bathymetry for Hydrodynamic Models and Decision-Support Spatial Tools: The Case of the Gambier Islands in French Polynesia" Geomatics 5, no. 4: 81. https://doi.org/10.3390/geomatics5040081
APA StyleAndréfouët, S., Bruyère, O., & Trophime, T. (2025). Multisource Mapping of Lagoon Bathymetry for Hydrodynamic Models and Decision-Support Spatial Tools: The Case of the Gambier Islands in French Polynesia. Geomatics, 5(4), 81. https://doi.org/10.3390/geomatics5040081

