Sign in to use this feature.

Years

Between: -

Subjects

remove_circle_outline
remove_circle_outline
remove_circle_outline
remove_circle_outline
remove_circle_outline
remove_circle_outline
remove_circle_outline
remove_circle_outline
remove_circle_outline

Journals

remove_circle_outline
remove_circle_outline
remove_circle_outline
remove_circle_outline
remove_circle_outline
remove_circle_outline
remove_circle_outline
remove_circle_outline
remove_circle_outline
remove_circle_outline
remove_circle_outline
remove_circle_outline
remove_circle_outline
remove_circle_outline

Article Types

Countries / Regions

remove_circle_outline
remove_circle_outline
remove_circle_outline
remove_circle_outline
remove_circle_outline
remove_circle_outline
remove_circle_outline

Search Results (1,266)

Search Parameters:
Keywords = baking

Order results
Result details
Results per page
Select all
Export citation of selected articles as:
15 pages, 313 KB  
Article
Effect of Bentonite Pre-Treatment on Growth Performance, Mineral Enrichment, and Antioxidant Properties of Soybean Sprouts
by Mi-Ok Kim, Il-Doo Kim, Mee-Jung Kim, Arjun Adhikari and Jeong-Ho Kim
Foods 2026, 15(2), 285; https://doi.org/10.3390/foods15020285 - 13 Jan 2026
Abstract
Bentonite is a multifunctional material widely used in industry, agriculture, food processing, and medicine due to its strong binding and absorption properties. This study investigates the effects of bentonite pre-treatment at different concentrations (0.5–5%) on soybean sprout growth and nutritional quality. Moderate levels, [...] Read more.
Bentonite is a multifunctional material widely used in industry, agriculture, food processing, and medicine due to its strong binding and absorption properties. This study investigates the effects of bentonite pre-treatment at different concentrations (0.5–5%) on soybean sprout growth and nutritional quality. Moderate levels, particularly 1–3% (BP-1 and BP-3), significantly increased sprout yield (up to 16.1%) and vitamin C content (up to 18.91 mg/100 g FW), while maintaining desirable moisture and visual quality. Color evaluation showed higher yellowness (b*), suggesting improved consumer appeal. Mineral profiling indicated substantial enhancement of essential minerals across treatments, with the highest total mineral content recorded in the BP-5 group. Phosphorus, potassium, copper, and iron were notably enriched; however, elevated copper and reduced zinc at higher concentrations indicate potential nutritional risk. Isoflavone analysis revealed increased total isoflavones, especially glucoside forms such as daidzin and genistin, while aglycones like genistein decreased, reflecting bentonite’s selective influence on isoflavone metabolism. Antioxidant properties—including DPPH scavenging capacity, total polyphenols, flavonoids, and SOD-like activity—were significantly enhanced. Amino acid profiling also showed increases in essential amino acids, including methionine and valine, along with higher γ-aminobutyric acid (GABA). Overall, bentonite demonstrates strong potential as a natural additive for improving soybean sprout productivity and functional quality, with the most favorable outcomes observed at 1–3% concentrations. Full article
(This article belongs to the Section Food Biotechnology)
Show Figures

Figure A1

25 pages, 2786 KB  
Article
Development of an Innovative Technology for the Production of Yeast-Free Bakery Products with Plant-Based Ingredients Through Mechanical Aeration Methods
by Sholpan Tursunbayeva, Auyelbek Iztayev, Baurzhan Iztayev, Bayan Muldabekova, Madina Yakiyayeva, Maxat Mamyrayev and Zhuldyz Nurgozhina
Processes 2026, 14(2), 212; https://doi.org/10.3390/pr14020212 - 7 Jan 2026
Viewed by 127
Abstract
This study investigates a mechanically aerated, yeast-free bread technology incorporating apple-derived plant ingredients (juice, purée, and powder) in response to the growing demand for clean-label bakery products. The global bakery sector represents one of the largest food markets worldwide, with the baking yeast [...] Read more.
This study investigates a mechanically aerated, yeast-free bread technology incorporating apple-derived plant ingredients (juice, purée, and powder) in response to the growing demand for clean-label bakery products. The global bakery sector represents one of the largest food markets worldwide, with the baking yeast segment alone accounting for several billion USD annually, while interest in yeast-free and yeastless-dough products continues to expand. To address technological limitations associated with yeast exclusion, dough aeration was achieved using a two-stage whipping protocol (1000 rpm for 4 min, followed by 500 rpm for 1 min and stabilization at 500 rpm for 1 min under 4.0 ± 0.1 MPa gauge pressure), forming a stable protein–carbohydrate foam system. Rheological evaluation using Mixolab 2 showed that formulations containing 3–5% apple purée exhibited the most favorable dough development characteristics, with stability increasing from 3.30 ± 0.15 min in the control to 8.90 ± 0.20 min. Texture profiling using a CT-2 analyzer equipped with a cylindrical probe (50% compression, 60 mm/min, slices 25 mm thick, n = 5) revealed a significant reduction in crumb firmness, from 3.01 ± 0.15 N in the control to 2.12 ± 0.10 N in the purée- and powder-enriched samples (p < 0.05). Nutritional assessment indicated improvements in vitamin C content (up to 2.23 mg/100 g) and protein quality: the amino acid score, calculated according to FAO/WHO reference patterns on a mg/g-protein basis, increased from 76.5 ± 1.8% to 89.2 ± 2.3%. Microbiological analysis showed reduced total aerobic mesophilic counts after 72 h of storage—4.7 × 103 CFU/g in the control versus 1.8–3.4 × 103 CFU/g in apple-enriched breads. Overall, the results demonstrate that mechanical aeration combined with apple-derived ingredients enhances the structural, nutritional, and microbiological quality of yeast-free bread, offering a promising clean-label approach for functional bakery products. Full article
(This article belongs to the Section Food Process Engineering)
Show Figures

Figure 1

34 pages, 797 KB  
Review
Effect of the Sous-Vide Method on the Quality of Vegetables—A Review
by Artur Głuchowski, Ewa Czarniecka-Skubina and Marlena Pielak
Foods 2026, 15(2), 206; https://doi.org/10.3390/foods15020206 - 7 Jan 2026
Viewed by 180
Abstract
Modern gastronomy strives to combine high-quality food with the preservation of nutritional value, microbiological safety, and the sustainable use of raw materials. With the development of culinary technologies, precise heat treatment methods are gaining increasing importance, enabling better process control and more consistent [...] Read more.
Modern gastronomy strives to combine high-quality food with the preservation of nutritional value, microbiological safety, and the sustainable use of raw materials. With the development of culinary technologies, precise heat treatment methods are gaining increasing importance, enabling better process control and more consistent quality results. This analysis aims to present the effects of the sous-vide (SV) method on the quality of vegetables in comparison with conventional heat treatment methods, such as boiling in water, steaming, cooking under increased pressure, cooking in a microwave oven, baking, grilling, and the cook-vide method. Analysis of the scientific literature has shown that the sous-vide method usually allows for the retention of greater amounts of vitamins (especially vitamin C), phenolic compounds and minerals, resulting in products with higher nutritional value and bioavailability of bioactive ingredients. Maintaining a controlled, low temperature in a vacuum environment reduces the loss of water and volatile components, which has a positive impact on the process yield as well as the color, texture, and aroma of vegetables. SV processing enhances product digestibility, preserves natural appearance, and improves food safety. Due to its hermetic packaging and limited oxygen access, this method ensures good microbiological quality and extends product shelf life. In the food service industry, SV allows for repeatable results, high sensory and technological quality, and reduced food waste. In the context of contemporary nutritional challenges and the experiences of the COVID-19 pandemic, sous-vide technology is gaining importance as a method supporting food safety, sustainability, and efficient resource management in the food service industry. Full article
Show Figures

Figure 1

13 pages, 2232 KB  
Article
Effects of Grape Seed Proanthocyanidins and Malic Acid on Digestive Characteristics of Starch in Bread
by Xinguang Qin, Qinyue Zhu, Guanxi Li, Haizhi Zhang, Xiaohui Di, Liang Liu, Gang Liu and Andreas Blennow
Foods 2026, 15(1), 149; https://doi.org/10.3390/foods15010149 - 2 Jan 2026
Viewed by 322
Abstract
The effects of grape-seed proanthocyanidins (GSP) and malic acid (MA) on the multiscale structure and digestibility of starch in a bread model were investigated. Fourier transform infrared (FTIR), Raman spectroscopy analyses, long-range order (crystallinity), amylolytic release of glucose, as well as the effect [...] Read more.
The effects of grape-seed proanthocyanidins (GSP) and malic acid (MA) on the multiscale structure and digestibility of starch in a bread model were investigated. Fourier transform infrared (FTIR), Raman spectroscopy analyses, long-range order (crystallinity), amylolytic release of glucose, as well as the effect on α-amylase activity of starch in the bread, were determined. The combination of GSP and MA increased the molecular order but decreased the crystallinity of the starch. Amylase fluorescence spectra showed that the α-amylase was notably quenchable by adding GSP and MA, and the inhibition rate of α-amylase reached 10.3%. Confocal Laser Scanning Microscopy (CLSM) imaging confirmed the digestion data in vitro showing that in the presence of 0.3% GSP and 0.5% MA in the bread, the glucose release of the bread was reduced to 5.43%. These findings demonstrate that GSP and MA can effectively modulate starch structure and digestibility in bread, offering a strategy to control glucose release in baked foods. Full article
(This article belongs to the Special Issue Starch: Properties and Functionality in Food Systems)
Show Figures

Figure 1

23 pages, 1795 KB  
Article
Permeability of Phospholipid Membranes to Divalent Cations: The Effect of Pulsed Electric Field
by Małgorzata Jurak, Monika Sujka, Agnieszka Ewa Wiącek and Urszula Pankiewicz
Molecules 2026, 31(1), 151; https://doi.org/10.3390/molecules31010151 - 1 Jan 2026
Viewed by 221
Abstract
Achieving a high nutritional value of food often involves fortifying microorganisms (such as bacteria and yeast) used in baking and dairy industry with essential elements. The aim of this study was to investigate the effect of a pulsed electric field (PEF) on the [...] Read more.
Achieving a high nutritional value of food often involves fortifying microorganisms (such as bacteria and yeast) used in baking and dairy industry with essential elements. The aim of this study was to investigate the effect of a pulsed electric field (PEF) on the penetration and accumulation of Ca2+ and Mg2+ ions into model membranes of the food-grade yeast Saccharomyces cerevisiae. Simplified model membranes (monolayers and liposomes) were constructed using the phospholipid 1-palmitoyl-2-oleoyl-sn-glycero-3-phosphatidylcholine (POPC). The Langmuir monolayer technique, dynamic light scattering (DLS) and microelectrophoresis were employed to characterize the physicochemical properties of the model membranes investigated. The results showed significant molecular-level differences in the interactions of the selected cations with lipid monolayers and bilayers in liposome structures. Both cations deeply penetrated the membrane’s hydrophilic region, yet two competing effects were evident: expansion induced by hydrated Mg2+ and condensation driven by Ca2+ bridging. Furthermore, the application of PEF increased the concentration of ions absorbed by the liposomes. Specifically, optimized PEF parameters resulted in cation accumulation within the model membranes, ranging from 6 to 13%. This finding correlates well with the increased Ca2+ and Mg2+ uptake observed in real yeast cells, providing a deeper understanding of the cell membrane-environment interface and the underlying processes. Full article
(This article belongs to the Special Issue Novel Membranes and Coatings for Biomedical and Food Applications)
Show Figures

Graphical abstract

17 pages, 1346 KB  
Article
Alginate-Based Beads Containing Artemisia absinthium L. Extract as Innovative Ingredients for Baked Products
by Alessandro Candiani, Giada Diana, Vincenzo Disca, Yassine Jaouhari, Margherita Stampini, Stefano Salamone, Federica Pollastro, Jessica Baima, Flavia Prodam, Sabrina Tini, Marta Bertolino, Lorella Giovannelli, Lorena Segale, Jean Daniel Coïsson and Marco Arlorio
Gels 2026, 12(1), 43; https://doi.org/10.3390/gels12010043 - 1 Jan 2026
Viewed by 200
Abstract
Artemisia absinthium L. is a medicinal plant well known for the bitterness of its sesquiterpenoids. To mask its intense taste while preserving these active compounds, an ethanolic extract (AAE) was prepared, and two microencapsulation techniques (spray drying and ionotropic gelation) were investigated under [...] Read more.
Artemisia absinthium L. is a medicinal plant well known for the bitterness of its sesquiterpenoids. To mask its intense taste while preserving these active compounds, an ethanolic extract (AAE) was prepared, and two microencapsulation techniques (spray drying and ionotropic gelation) were investigated under different process conditions. The best-performing formulation was selected for larger-scale production and a characterisation of the microparticles (MPs) was carried out. MPs were then incorporated into baked products (biscuits), which were subsequently characterised for proximate composition, total phenolic content (TPC) and antioxidant activity (AA). Bitter compounds were quantified through HPLC-DAD. A panel test was conducted on 50 volunteers, which compiled a satisfactory questionnaire. Ionotropic gelation proved to be the most suitable technique for producing AAE alginate-based MPs for incorporation into biscuit dough, yielding a product with a desirable particle size and flowability. The biscuits still retained a significant amount of TPC and AA, indicating that microencapsulation is a suitable strategy. Data from the acceptance questionnaire revealed that biscuits containing MPs loaded with absinthin-rich extract were comparable to the control ones regarding overall acceptance. In conclusion, a promising product was developed that effectively masks the bitterness of appetite-modulating bioactive compounds, with significant health-promoting potential. However, further investigation into the biological effects (e.g., hormonal responses, feelings of hunger, etc.) of these baked products is required. Full article
(This article belongs to the Special Issue Gels: Diversity of Structures and Applications in Food Science)
Show Figures

Graphical abstract

10 pages, 15128 KB  
Communication
Research on Microstructure Evolution and Rapid Hardening Mechanism of Ultra-Low Carbon Automotive Outer Panel Steel Under Minor Deformation
by Jiandong Guan, Yi Li, Guoming Zhu, Yonglin Kang, Feng Wang, Jun Xu and Meng Xun
Materials 2026, 19(1), 128; https://doi.org/10.3390/ma19010128 - 30 Dec 2025
Viewed by 161
Abstract
With the rapid development of the automotive industry, particularly the year-on-year growth in sales of new energy vehicles, automobile outer panel materials have shown a trend toward high-strength lightweight solutions. Regarding steel for outer panels, existing research has paid less attention to the [...] Read more.
With the rapid development of the automotive industry, particularly the year-on-year growth in sales of new energy vehicles, automobile outer panel materials have shown a trend toward high-strength lightweight solutions. Regarding steel for outer panels, existing research has paid less attention to the UF steel that has entered the market in recent years. Moreover, studies on the similarities and differences in deformation behavior among various outer panel steels are lacking. In this study, room-temperature tensile tests at 5% and 8% strain were conducted in accordance with the stamping deformation range on commonly used ultra-low carbon automotive outer panel steels of comparable strength grades, namely, UF340, HC180BD, and DX53D+Z. Prior to deformation, the three materials exhibited similar texture components, predominantly characterized by the γ-fiber texture beneficial for deep drawing, and their room-temperature tensile deformation behaviors were fundamentally identical. After transverse tensile deformation, the textures concentrated towards {111}<112> texture. After 8% deformation, UF340 demonstrated a more rapid stress increase and a higher degree of work hardening. This phenomenon is attributed to the presence of the precipitate free zone (PFZ) near grain boundaries in the UF340, which facilitates the continuous generation of dislocations at grain boundaries during deformation, leading to a rapid increase in dislocation density within the grains. Consequently, this induces accelerated work hardening under small-strain conditions. This mechanism enables UF steels to achieve a strength level comparable to that of bake-hardened (BH) steels, exhibiting a significant performance advantage. Full article
Show Figures

Figure 1

15 pages, 1089 KB  
Review
Machine Learning in Transforming the Food Industry
by Malik A. Hussain, Md Imran H. Khan and Azharul Karim
Foods 2026, 15(1), 90; https://doi.org/10.3390/foods15010090 - 29 Dec 2025
Viewed by 454
Abstract
The continued evolution and advances in Artificial Intelligence (AI) technologies are offering innovative solutions and setting the futuristic trends in the food sector. The use of different Machine Learning (ML)-based models has demonstrated promising applications in the food processing industry. Processing operations such [...] Read more.
The continued evolution and advances in Artificial Intelligence (AI) technologies are offering innovative solutions and setting the futuristic trends in the food sector. The use of different Machine Learning (ML)-based models has demonstrated promising applications in the food processing industry. Processing operations such as drying, frying, cooking, heating, and baking are complex and challenged by multifaceted problems due to simultaneous heat, mass and momentum transport processes. The ML-based tools could potentially categorize each food material and efficiently predict its processing kinetics for optimization of the processing conditions. Furthermore, ML technologies have shown excellent applications in ensuring the traceability of food provenance and quality, enhancing the transparency and traceability from farm to fork, and providing consumers with more reliable product information. Overall, ML tools have untapped potential to identify and accelerate multiple development opportunities across the entire agri-food sector to improve productivity, profitability, and sustainability in the future. Full article
(This article belongs to the Special Issue Artificial Intelligence for the Food Industry)
Show Figures

Figure 1

20 pages, 2000 KB  
Article
Technological Performance and Nutritional Modulation of Bread Enriched with Cnidoscolus aconitifolius and Crotalaria longirostrata Leaf Flours
by Kimberly Calonico, Esther Pérez-Carrillo and Julian De La Rosa-Millan
Plants 2026, 15(1), 71; https://doi.org/10.3390/plants15010071 - 25 Dec 2025
Viewed by 340
Abstract
Bread typically exhibits a high glycemic index (GI), motivating interest in plant-based ingredients that can modulate starch digestibility while enhancing nutritional value. This study evaluated the technological, compositional, and digestibility effects of incorporating leaf flours from Cnidoscolus aconitifolius and Crotalaria longirostrata into wheat [...] Read more.
Bread typically exhibits a high glycemic index (GI), motivating interest in plant-based ingredients that can modulate starch digestibility while enhancing nutritional value. This study evaluated the technological, compositional, and digestibility effects of incorporating leaf flours from Cnidoscolus aconitifolius and Crotalaria longirostrata into wheat bread. Both flours increased protein, dietary fiber, and phenolic content, while modifying dough performance and crumb structure. C. longirostrata produced the strongest reduction in predicted glycemic index (pGI), decreasing values by 5.2% on Day 0 and up to 17.8% by Day 5, associated with the highest accumulation of resistant starch. However, this nutritional advantage was accompanied by marked technological drawbacks, including reduced loaf volume and denser crumb. In contrast, C. aconitifolius exhibited better technological compatibility, generating breads with higher volume and more cohesive crumb structure, while still achieving meaningful pGI reductions (6.1% on Day 0 and 9.6% by Day 5). Firmness evolution during storage reflected staling-related structural changes but did not involve direct measurement of starch retrogradation. Overall, this work highlights the functional potential of whole leaf flours to enhance the nutritional profile and glycemic behavior of bread, while underscoring the formulation-dependent trade-offs that influence technological quality. These findings provide a foundation for developing optimized, lower-glycemic baked products using underutilized botanical ingredients. Full article
(This article belongs to the Special Issue Bioactives from Plants: From Extraction to Functional Food Innovation)
Show Figures

Figure 1

24 pages, 1280 KB  
Review
Bioprocessing of Grape Pomace for Value Added Ingredients with Utilization in Baked Products
by Alexandru Zmuncilă, Carmen Rodica Pop, Anca Corina Fărcaş, Simona Maria Man, Maria Simona Chiș, Alexandra Lițoiu and Adriana Păucean
Foods 2026, 15(1), 50; https://doi.org/10.3390/foods15010050 - 23 Dec 2025
Viewed by 430
Abstract
Bioprocessing grape pomace (GP) presents a sustainable solution aligned with circular economic principles and transforms it into valuable functional ingredients for baked products. This review (2020–2025) synthesizes enzymatic and microbial strategies that modify the fiber–phenolic matrix and improve dough performance. Enzyme-assisted extraction, alone [...] Read more.
Bioprocessing grape pomace (GP) presents a sustainable solution aligned with circular economic principles and transforms it into valuable functional ingredients for baked products. This review (2020–2025) synthesizes enzymatic and microbial strategies that modify the fiber–phenolic matrix and improve dough performance. Enzyme-assisted extraction, alone or combined with ultrasound or pressurized liquids, increases extractable polyphenols and antioxidant capacity in GP fractions used as flour substitutions or pre-ferments. Fungal solid-state and lactic fermentations liberate bound phenolic compounds and generate acids and exopolysaccharides. Among these routes, enzyme-assisted extraction and lactic sourdough-type fermentations currently appear the most compatible with bakery-scale implementation, offering substantial phenolic enrichment while relying on relatively simple, food-grade equipment. In current bakery applications, GP is mainly used as crude grape pomace powder, which typically shows higher total phenolics and antioxidant capacity. Moreover, in several models it lowers starch hydrolysis and predicted glycemic index. The practical substitution rate is between 5 and 10% of flour, which balances nutritional gains with processing disadvantages. These can be mitigated by fractionation toward soluble dietary fiber or co-fortification with flours rich in protein and fiber. An additional benefit of these methods includes reduced mycotoxin bioaccessibility in vitro. A key evidence gap is the absence of standardized comparisons between raw and bioprocessed GP in identical formulations. Overall, GP emerges as a promising ingredient for bakery products, while the added technological and nutritional value of bioprocessing remains to be quantified. Full article
(This article belongs to the Section Food Biotechnology)
Show Figures

Figure 1

18 pages, 465 KB  
Article
The Chemical Composition and Baking Quality of Rye Flour from Grain with Organic Production
by Sylwia Stępniewska, Grażyna Cacak-Pietrzak, Anna Fraś, Magdalena Wiśniewska, Katarzyna Sujka, Justyna Grabarczyk and Dariusz Dziki
Foods 2026, 15(1), 3; https://doi.org/10.3390/foods15010003 - 19 Dec 2025
Viewed by 363
Abstract
The aim of this study was to evaluate the influence of rye genotype, harvest year, and growing location on the chemical composition and baking quality of rye flour (55% extraction rate). Flours were produced from five population cultivars and two hybrid cultivars, cultivated [...] Read more.
The aim of this study was to evaluate the influence of rye genotype, harvest year, and growing location on the chemical composition and baking quality of rye flour (55% extraction rate). Flours were produced from five population cultivars and two hybrid cultivars, cultivated in two locations in Poland, Osiny and Grabów, during the 2018/2019 and 2019/2020 seasons under organic farming conditions. Basic chemical composition (lipids, minerals, protein, carbohydrates), dietary fiber and its fractions (non-starch polysaccharides and lignin), and water extract viscosity were determined. Baking quality was assessed using falling number and water absorption. The results showed that harvest year exerted the strongest effect on rye flour properties. Flour produced from grain harvested in 2019 contained higher levels of protein (7.9% d.m.), lipids (0.74% d.m.), nutrition compounds, and falling number (297 s) but lower water absorption (63.3%). Rye flour samples from the 2020 harvest had a higher proportion of soluble fractions, which increased water extract viscosity. Among the cultivars, Dańkowskie Skand demonstrated the most favorable baking characteristics, with the lowest falling number (271 s) and the highest water absorption (65.5%). The most advantageous chemical components were observed in Dańkowskie Hadron flour due to its high contents of dietary fiber (7.47% d.m.), non-starch polysaccharides (6.63% d.m.), lignin (0.83% d.m.), and elevated water extract viscosity (5.21 mPa·s). Hybrid cultivars were characterized by lower protein content and lower amylolytic activity, while no significant differences between hybrid and population cultivars were found in terms of dietary fiber and its components. Full article
Show Figures

Figure 1

15 pages, 2382 KB  
Article
From Vegetable Waste to By-Product: Rheological Analysis of a Potential High-Protein Vegetable Burger
by Olga Mileti, Francesco Filice, Francesca R. Lupi, Domenico Gabriele and Noemi Baldino
Gels 2025, 11(12), 1017; https://doi.org/10.3390/gels11121017 - 18 Dec 2025
Viewed by 222
Abstract
(1) Foods with attractive shapes have been receiving increasing interest from researchers, particularly for foods for children. The ability to particularize foods by imparting attractive aspects to nutritious and less attractive food ingredients, such as vegetables or proteins, is an interesting challenge for [...] Read more.
(1) Foods with attractive shapes have been receiving increasing interest from researchers, particularly for foods for children. The ability to particularize foods by imparting attractive aspects to nutritious and less attractive food ingredients, such as vegetables or proteins, is an interesting challenge for the food industry. In this context, the rheological characteristics of food doughs are fundamental for obtaining form-forming foods that are able to maintain a shape of their own. (2) Broccoli, pumpkin, carrot and zucchini wastes (stems, leaves, and off-gauge veggies), which are still rich in nutrients, from the food industry were used in this work to enrich burgers with vegetable proteins. The doughs were characterized by rheological analysis using a frequency sweep test and a temperature ramp test. They were also shaped with attractive molds and baked. (3) From the frequency sweep test, the formulation with brown rice proteins resulted in better consistency; all samples showed a solid-like behavior. (4) Workable doughs were formulated using vegetal wastes from the food industry. Among the proteins used, those from brown rice were found to be the most suitable for the preparation of a vegetable burger. Full article
Show Figures

Graphical abstract

15 pages, 3425 KB  
Article
Nanoindentation Analysis of SU-8 Coated Wafers at Different Baking Phases
by Tamás Tarjányi, Gábor Gulyás, Krisztián Bali, Márton Sámi, Rebeka Anna Kiss, Barbara Beiler, Péter Fürjes and Tibor Szabó
Polymers 2025, 17(24), 3337; https://doi.org/10.3390/polym17243337 - 18 Dec 2025
Viewed by 408
Abstract
SU-8 photoresist is extensively used as a structural and passivation layer in microelectromechanical systems, microfluidic devices, and related microscale technologies. The long-term reliability of these devices critically depends on the mechanical integrity and viscoelastic behaviour of the SU-8 coating. In this study, the [...] Read more.
SU-8 photoresist is extensively used as a structural and passivation layer in microelectromechanical systems, microfluidic devices, and related microscale technologies. The long-term reliability of these devices critically depends on the mechanical integrity and viscoelastic behaviour of the SU-8 coating. In this study, the mechanical and viscoelastic behaviour of SU-8 polymer thin films was systematically investigated using nanoindentation at different baking stages representative of standard photolithographic processing. SU-8 layers were spin-coated on silicon wafers and subjected to pre-bake, post-bake, and hard-bake treatments to evaluate the effects of progressive cross-linking. Static nanoindentation revealed that the elastic modulus did not change significantly during the baking phases and remained near 6.2 GPa; however, a significant change in hardness was observed from 0.173 ± 0.012 GPa after pre-bake to 0.365 ± 0.011 GPa and 0.364 ± 0.016 GPa after post- and hard bake, respectively. Creep tests analysed by the Burgers viscoelastic model showed a significant increase in both the retarded modulus and viscosity parameters with thermal curing, indicating the suppression of long-term viscoelastic deformation. The combined results demonstrate that nanoindentation provides a sensitive, nondestructive tool for monitoring the evolution of cross-linking and viscoelastic stability in SU-8 films, offering valuable insight for process optimization and mechanical reliability in MEMS and microfluidic applications. Full article
(This article belongs to the Special Issue Silicon-Based Polymers: From Synthesis to Applications)
Show Figures

Graphical abstract

24 pages, 5533 KB  
Article
Impact of Cooking Method on the Physicochemical Properties, Digestibility, and Sensory and Flavor Profiles of Chinese Chestnuts
by Lijun Song, Man Xu, Kai Zhang, Gang Guo, Lixiang Huai, Yue Zhao, Taohong Wang, Leiqing Pan, Ruiguo Cui and Li Zhang
Foods 2025, 14(24), 4331; https://doi.org/10.3390/foods14244331 - 16 Dec 2025
Viewed by 540
Abstract
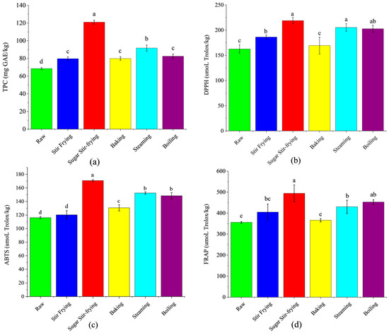
The impact of cooking method (stir frying, sugar stir-frying, baking, steaming, and boiling) on the physicochemical and sensory properties of Chinese chestnuts was evaluated. Dry heat treatment (stir frying, sugar stir-frying, and baking) increased hardness and chewiness because of water loss. Moist heat [...] Read more.
The impact of cooking method (stir frying, sugar stir-frying, baking, steaming, and boiling) on the physicochemical and sensory properties of Chinese chestnuts was evaluated. Dry heat treatment (stir frying, sugar stir-frying, and baking) increased hardness and chewiness because of water loss. Moist heat treatment (steaming and boiling) resulted in a softer texture and brighter color as a result of water absorption and starch gelatinization. Samples cooked with stir frying and boiling had a 50.82–54.17% reduction in resistant starch content. In contrast, the stir-frying, sugar stir-frying, and baking samples experienced a decrease of 37.16–47.18%. Concurrent changes in the glycemic index were observed. The polyphenol content and antioxidant activity were highest in the samples cooked using sugar stir-frying. A total of 34 volatile compounds were identified, but only 8 were key in the olfactory analysis (hexanal, (E)-2-hexenal, 3-methylbutanal, ethyl 3-methylbutyrate, ethyl acetate, 2-pentanone, 3-hydroxy-2-butanone, and 2-pentylfuran). At the same time, combined with sensory evaluation, sugar stir-frying can highlight the caramel and sweetness of chestnut; then baking can bring a strong aroma of nuts, and sugar stir-frying is a more popular method. Full article
Show Figures

Graphical abstract

12 pages, 328 KB  
Article
Influence of Sourdough Fermentation-Induced Dephytinization on Iron Absorption from Whole Grain Rye Bread–Double-Isotope Crossover and Single-Blind Absorption Studies
by Michael Hoppe, Ann-Sofie Sandberg and Lena Hulthén
Nutrients 2025, 17(24), 3891; https://doi.org/10.3390/nu17243891 - 12 Dec 2025
Viewed by 582
Abstract
Background/Objectives: There are substantial beneficial health effects from a diet rich in whole grains. However, a high intake of whole grain, and hence a high intake of the iron absorption inhibitor phytate, may result in the impaired bioavailability of non-heme iron. The [...] Read more.
Background/Objectives: There are substantial beneficial health effects from a diet rich in whole grains. However, a high intake of whole grain, and hence a high intake of the iron absorption inhibitor phytate, may result in the impaired bioavailability of non-heme iron. The study examined non-heme iron absorption in healthy women from two portions (80 g and 120 g) of identical whole grain bread, baked with or without phytate-degrading techniques. Methods: The study included two single-blinded iron isotope trials. Subjects were served meals containing whole grain rye bread, which was either baked from scalded flour or sourdough-fermented flour labeled with 55Fe or 59Fe. The absorption of non-heme iron from the meals was measured through the erythrocyte incorporation of radioiron isotopes. Results: Iron absorption from the 80 g high-phytate bread was 7.0 ± 4.1% (mean ± SD, n = 8). Iron absorption from the 80 g dephytinized bread was 19.1 ± 15.1% (mean ± SD) and thus on average 2.8 times higher compared to the absorption from the high-phytate bread (p = 0.001). Iron absorption from the 120 g high-phytate bread was 4.6 ± 2.9% (mean ± SD, n = 17). Iron absorption from the 120 g dephytinized bread was 15.0 ± 9.2% (mean ± SD) and thus on average 3.5 times higher compared to the absorption from the high-phytate bread (p = 0.001). Conclusions: Iron uptake was significantly higher from dephytinized bread compared to scalded bread. And the higher the amount of phytate, the higher the beneficial effects on iron absorption from dephytinization. Full article
(This article belongs to the Section Nutrition and Public Health)
Show Figures

Figure 1

Back to TopTop